Abstract
This paper focuses on the role of high-speed rail (HSR) in promoting talent mobility and explores its heterogeneous impact in the employment distribution of local and neighboring regions. This empirical study uses data from 249 prefecture-level cities across the country from 2005 to 2018, combined with geographic spatial vector data. The results show that HSR connection significantly increases local city employment by 5.99%. This result is robust to a series of robustness tests. Heterogeneity results indicate that HSR connection has a significant positive effect on employment in eastern China and large cities, indicating a significant labor inflow from less-developed areas to more-developed areas. Moreover, HSR has a spill-over effect for employment in cities without HSR stations but within a 70 km radius. This spill-over effect is more salient for cities of medium size and in southern China. The mechanism analysis shows that the positive impact of HSR connection on employment mainly stems from the entry of new firms especially those in high-tech industries. This study not only highlights the important role of high-speed rail in promoting labor mobility and employment distribution but also provides strong evidence and insights on how to meet the demand for professionals in closed-loop system innovation and circular economy practices.
1. Introduction
With the current global economic integration and growing focus on environmental preservation, the adoption of closed-loop system innovation and circular economy practices has become essential in promoting sustainable development. The convergence of these two paradigms seeks to accomplish an environmentally friendly transformation of the economy by promoting the optimal utilization of resources, minimizing waste, and reducing environmental pollution. However, the success of this transition is a challenging task. It depends on professionals responding flexibly to global economic and environmental policy changes. These talents need profound professional knowledge; forward-looking, innovative thinking; and practical skills to lead the closed-loop system and circular economy to maturity.
In recent years, the rapid development of high-speed rail (HSR) has provided new opportunities for this transformation. HSR is triggering a global transportation revolution due to its rapid and handy features. China has achieved remarkable success in HSR development, as much as 45,000 km in operation by the end of 2023, forming a vast high-speed rail network. Figure 1 plots the dynamic pattern of the operating mileage of HSR in China from 2008 to 2018, illustrating a steadily increasing pattern. The development of this contemporary means of transportation has expedited the movement of labor, expertise, and assets across urban areas, and substantially enhanced the economic growth of nearby areas.

Figure 1.
Annual mileage of high-speed railways in operation.
In addition, the impact of HSR is wider than the economic dimension. As its network continues to expand, HSR’s role in promoting sustainable industrial chain construction is also becoming more and more prominent. As an efficient and environmentally friendly mode of transport, HSR strengthens inter-regional labor mobility and injects new vitality into the industrial development of regions along the routes. In particular, the HSR has shown great potential in promoting the clustering of high-technology and low-carbon industries. By facilitating the efficient allocation and utilization of resources and promoting the development of clean technology and a green economy, HSR plays an indispensable role in building an environmentally friendly industrial structure. The opening of high-speed rail has become an essential impetus for developing a closed-loop system and a circular economy, contributing to sustainable development by lowering transport costs and reducing carbon emissions [,]. By enhancing accessibility and regional inter-connectivity, HSR has changed the traditional transport pattern and brought new opportunities for the regional economy. Specifically, the opening of high-speed rail enables professionals to move more easily between cities, promoting inter-regional talent exchange and cooperation. This efficient mobility provides favorable conditions for attracting high-end talents to other regions, thus strengthening their innovation capacity and technology research and development (R&D) level.
In addition to increasing labor and capital flow efficiency and inter-regional connection, HSR also promotes closed-loop system innovation and the broad adoption of circular economy models []. These changes help promote the sustainable development of local industries and create more employment opportunities. Therefore, HSR not only represents the development direction of modern transport systems, but is also an important sustainable development strategy.
This study explores whether and how HSR can affect the employment of the local and neighboring areas by facilitating the entry of new firms especially in high-tech industries and the heterogeneity of impact, using the data on HSR operation in China from 2005 to 2018. This study adopts the generalized difference-in-difference (DID) method, which is used to conduct a comparative analysis of employment before and after the opening of HSR, with a specific focus on the heterogeneous impact of HSR connection in different regions of China, in cities of different sizes, and its spill-over effect on neighboring regions. This study also controls the level of economic development, policy changes, and other factors influencing the regions along the HSR to conduct comprehensive analyses and arguments.
There are three major findings. First, the opening of HSR has a significant positive impact on employment of 5.99 percent. This result is robust to the replacement of the dependent variable, the placebo test, and the two-stage-least-square approach. It also passes the parallel trend test. Second, the heterogeneity tests show that this positive effect is more salient for large cities and cities in eastern China. These patterns consistently point to the possibility that HSR connection generates labor outflow from less-developed regions to more-developed regions. Moreover, there is a spill-over effect from an HSR station to neighboring cities within a radius of 70 km. The spill-over effect is more salient to cities of medium size and cities located to the south of the Hu Line. (The Hu Huanyong Line (Hu Line) extends from Heihe (a city in northern China on the Russian border) to Tengchong (a city in southwestern China bordering Myanmar), dividing the region of China into two roughly equal parts.) Third, the positive effect on employment is caused by the entry of new firms, especially in high-tech industries. Firm entry in heavily polluting and labor-intensive industries is not significantly affected.
2. Literature Review
The construction of HSR has positively promoted talent mobility mechanisms [,]. On the one hand, the opening of HSR can shorten spatial distance, strengthen inter-regional links and information exchange, reduce transportation costs, expand the geographical search range of job seekers and the space of population mobility, and promote the entry of potential workers into the labor market, which in turn facilitates the mobility between neighboring workplaces and places of residence, and affects inter-regional employment [,,]. On the other hand, the construction of transportation infrastructure as a production input factor affects the location of firms [] and facilitates the entry of firms, which simultaneously will expand the market size and thus create more jobs.
The impact of HSR opening on neighboring areas has yet to be consistently concluded [,]. Givoni [] argues that HSR stations impact central and peripheral cities differently. Li and Xu [] found through their study that in Japan, there is agglomeration in urban areas within about 150 km of Tokyo from the opening of HSR and contraction in areas further away from Tokyo, with significant growth in manufacturing employment and a decline in service sector employment. Liu et al. [] based on a study of Chinese cities find that the opening of HSR has a more significant spatial employment effect on southern cities than on northern cities, and significantly promotes employment agglomeration in the eastern region. The opening of HSR promotes the development of secondary and tertiary industries more [], while more industries that require face-to-face communication, such as leasing, real estate, wholesale and retail trade, and scientific research, are more affected. For the impact of HSR on innovation, many studies, based on the perspective of knowledge and technology spill-overs, have found that the opening of HSR is conducive to the generation of knowledge and the development of knowledge-intensive industries, accelerating the flow of knowledge and technology, which in turn promotes the development of innovation in the city [,]. Huang and Wang [], using data from 108 cities in China’s Yangtze River Economic Belt from 2005 to 2016, find that the green innovation efficiency of cities along the route increased by about 11.3% on average after the opening of HSR stations and that the flow of innovation factors triggered by HSR operations was an essential mechanism for promoting the development of green innovation in cities along the route.
The scope of spill-overs from the opening of HSR to neighboring areas has yet to be consistently concluded. First is the impact of the opening of the HSR on its neighborhood. Liu [] propose that the significant impact of HSR disappears when the distance between the HSR stations and the city center is greater than 30 km; i.e., the effective radial distance of HSR on spatial employment is about 30 km. The HSR network for economic resilience exhibits spatial decaying with increasing distance of the law. Meng et al. [] found that there is a resource redistribution effect in the range of 30–110 km (26 min) from the station. However, the driving effect on different types of regions has significant differences. Second is the spill-over effect of the opening of HSR. According to [], after the opening of Germany’s HSR, the number of employees with a commuting distance of more than 150 km has increased by 20% in recent years, reaching 1.2 million people. Heuermann et al. [] found that infrastructure investment affects the commuting of workers who are between 150 and 400 km away from the HSR perimeter.
While the economic and transportation impacts of HSR have been extensively examined, there is still a lack of comprehensive research on its specific implications on job creation in the surrounding regions. To this end, this paper contributes to two aspects. First, it further explores the scope of impact of the opening of HSR on employment in neighboring regions without direct HSR connections. Second, it identifies effective mechanisms through which HSR increases employment, especially in high-tech industries.
3. Data and Methodology
3.1. Basic Model
Multi-temporal DID modeling is an estimation method commonly used in econometrics to assess the effect of a policy or intervention on the treatment and control groups in time-series data. To examine the impact of HSR opening on employment, this paper constructs the following multi-temporal DID model:
In Equation (1), lnemployit is the dependent variable, which represents the logarithm of the number of employees per 10,000 people in city i at the end of year t. The main independent variable HSRit is a dummy variable, which is taken to be 1 if city i opens the HSR in year t, and 0 otherwise. is the constant. α1 is the estimated coefficient of the core independent variable, which captures the impact of the opening of the high-speed railway on employment. If α1 > 0 is significant, it indicates that the opening of HSR positively affects employment and vice versa negatively. captures a city-fixed effect. is a time-fixed effect. is the error term.
is the set of control variables, including (1) road millage, which is measured by the logarithm of the number of road miles per kilometer; (2) social consumption demand scale, which is measured by the logarithm of retail sales of consumer goods per RMB 10,000; (3) human capital, which is measured by the proportion of the number of university students per 10,000 people in the total population per 10,000 people at the end of the year; (4) government intervention, which is measured by the proportion of every RMB 10,000 of public budget expenditure to every RMB 10,000 of regional GDP; (5) economic output per capita, which is measured by the logarithm of GDP per capita per RMB 10,000. Finally, this paper uses robust standard errors clustered to the city level to overcome the possible correlation of employment within the same city. Provincial capitals and municipalities are excluded from the data, and Table 1 presents descriptive statistics for some of the key variables designed in this study.

Table 1.
Descriptive statistics.
3.2. Data Description
The data sources of this paper are mainly open platforms such as China City Statistical Yearbook, local statistical bureaus across the country, China Statistical Yearbook on High Technology Industry, China Topographic Maps, Google Maps, China Transportation Atlas, and CSMAR (China Stock Market & Accounting Research Database). The data are broadly classified into the following three categories based on their contents:
3.2.1. HSR Data
The opening time and construction time of HSR stations mainly come from the websites of the State Railway Administration, and the China Railway Corporation in previous years, and the opening data of HSR stations in prefecture-level cities are obtained through manual collection and collation.
3.2.2. Data of Prefecture-Level Cities
Relevant data on economic characteristics at the city level were mainly obtained from the China City Statistical Yearbook. Among them, the China Regional Statistical Yearbook supplements missing values for some years. City-level data from the China Urban Statistical Yearbook cover retail sales of consumer goods, population, GDP per capita, GDP, the number of university students nationwide, public budget expenditures, and the number of urban employees at the end of the period. Road mileage data and new companies’ data are from the CSMAR.
3.2.3. Geographical Vector Data
This paper mainly obtains and constructs the instrumental variable “minimum spanning tree” through the China Geospatial Data Cloud DEM digital elevation data SRTM (Shuttle Radar Topography Mission, precision 90M), the China Traffic Atlas from 2005 to 2018, Google Maps, and the vector map of China’s administrative area planning. Next, the minimum spanning tree is discussed.
The construction method of the minimum spanning tree is as follows: the elevation data are imported into ArcGIS 10.8 by referring to [,], and the elevation map of China is obtained after pre-processing such as mosaic use and clipping. The spatial analysis module calculates the hydrological information (wateri), slope information (slopei), and fluctuation information (gradsi) from the elevation data after mask processing. The “grid calculator” in the spatial analysis module is used to calculate the minimum spanning tree according to the geographical development cost; that is, the lowest-construction-cost network is used as the tool variable for the HSR stations in prefecture-level cities.
4. Empirical Results and Analyses
4.1. Baseline Regression Result
Table 2 shows the results of the double-difference method regression of HSR employment. The results show that the impact of HSR stations on local employment has significant impact, with a coefficient of 0.0599. This is consistent with the empirical results of [] on the spatial clustering of employment by HSR and [] on the mobility of workers facilitated by inter-regional highway connectivity.

Table 2.
Baseline regression analysis.
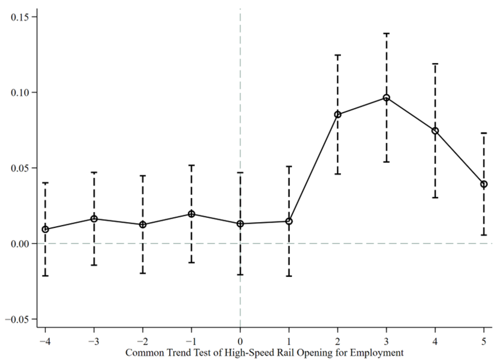
4.2. Common Trend Test
The model premise of this paper by using multi-temporal DID lies in the fact that the trend of change between the experimental group and the control group before the occurrence of the policy remains the same; i.e., it satisfies the assumption of the common trend test. This paper sets the relative time value as a dummy variable for the opening of HSR in each pilot city. This paper constructs Equation (3) for the common trend test as follows:
where the time dummy variable is the observed values of the first n years, the current year, and the next n years of the opening of HSR in each city. The dummy variable for cities without HSR is 0. The sample years for the study in this paper are 2005–2018, and the first cities with HSR were opened in 2008; there are some cities that do not have redundant sample values for the −5 period. In this case, the time before the −5 period of other cities is combined into the −5 period, and this time dummy variable is deleted to avoid multi-collinearity. At the same time, period 5 and the time after period 5 are merged into period 5. Figure 2 shows the dynamic gap between the opening of HSR and employment. The results show that before the opening of the HSR, there was no significant difference in employment between the experimental group and the control group; i.e., the parallel trend hypothesis was met. The results indicate that during the year of HSR opening, the effect of employment promotion did not stabilize. However, a year after the HSR opening, the impact of this promotion effect on employment is significantly positive and increasing, albeit with a certain lag.

Figure 2.
Common trend test.
4.3. Robustness Tests
4.3.1. Alternative Dependent Variable
The dependent variable is changed to test for robustness [,]. The ratio of year-end employees to year-end total population in each prefecture-level city is used as a proxy variable for employment, and the results are shown in column (1) of Table 3; the coefficient is significantly positive, indicating that the opening of the HSR has a significant impact on employment. The results are robust.

Table 3.
Robustness tests.
4.3.2. Placebo Test
To further ensure the robustness of the estimation results, this paper uses the following placebo test: to ensure that the opening of the HSR cannot have a real impact on employment, Stata 17 software is used to construct a random policy variable generated by the opening of the HSR for each of the prefectural-level cities, and then the random sampling is repeated 500 times and regressed. If the policy of HSR opening is a random event for all samples, i.e., employment in each city is relatively exogenous, the estimated coefficients generated by the placebo variable should be statistically significant at 0. Figure 3 illustrates the results of the placebo test. As can be seen, the placebo test coefficient is near 0, and the placebo test results indicate that the opening of HSR is exogenous to employment, and the results are robust.

Figure 3.
Placebo test.
4.3.3. Staggered Difference-in-Difference
Because of the potential bias in the estimation of the multi-temporal DID model for the benchmark regressions due to the consideration of heterogeneity in the treatment effects, this paper further analyses the impact of the opening of the HSR on employment based on the methodology of [] “Heterogeneity-Robust” estimator. In order to test the impact of the opening of the HSR on employment, the analysis is based on the staggered double-difference method based on model (1), and the group–period treatment effect results are reported in column (2) of Table 3, with the “non-treated group” as the control group, and all periods for all groups as the estimated group–period treatment effect results. The results for the period treatment effect show that the average treatment effect remains a significant positive effect, in line with the baseline regression results.
Figure 4 shows a pre-trend test of the common hypothesis using a robust estimator of heterogeneity for the multi-temporal DID, the staggered difference-in-difference model. In this case, as with the estimation results in Figure 2, employment is significantly positively affected one year after the opening of the HSR, while lagged effects are also reflected.

Figure 4.
Staggered difference-in-difference.
4.4. Instrumental Variable Method (IV)
The existence of non-randomness in the construction of HSR may cause natural selection bias, leading to endogeneity problems such as higher economic development levels and better resource allocation, which will give priority to the construction of HSR. Since manual measurement errors and omitted variables can also lead to endogeneity problems, the instrumental variable method is used here for treatment. Regarding the selection of instrumental variables, this paper adopts the “minimum spanning tree” and the Ming Dynasty post station as the instrumental variables for the opening of HSR.
4.4.1. Minimum Spanning Tree
The instrumental variables of HSR are constructed based on geographic information by drawing on []. Since the specific calculation process has been described in detail in “Data Description” above, it will not be repeated here. In addition, since the constructed instrumental variables are based on geographic information and do not change over time, the “minimum spanning tree” is constructed, and the dummy variable of the year is regressed as a new instrumental variable. As shown in column (1) of Table 4, the regression results are consistent with the baseline regression results.

Table 4.
Instrumental variable method.
4.4.2. Ming Dynasty Stagecoaches
To further rule out endogeneity caused by historical states and development paths, [] predicted the distribution of modern highways by adopting a historical highway planning map and early railway distribution maps in the U.S. This paper, drawing on the research ideas of the aforementioned scholars, adopts the presence or absence of Ming Dynasty post stations as an instrumental variable for the opening of HSR. Since the post stations in the Ming Dynasty were mainly built for military reasons 400 years ago, they have less influence on the level of social and economic development of today’s society. While the construction of HSR changes with time, whether there is a Ming Dynasty post station does not change with time, so this paper constructs the dummy variable of a Ming Dynasty post station and time to use the interaction term as a new instrumental variable for the regression analysis, as shown in column (2) of Table 4. The main findings have not changed significantly.
5. Heterogeneity Analysis
5.1. Regional Heterogeneity
Eastern and western China have different economic and social development levels in terms of the level of marketization, resource allocation, etc. To further analyze the impact on employment of HSR connection in the local area, the 249 prefectural-level cities are divided into two sub-samples. The benchmark regression is conducted on the sub-sample of eastern cities and western cities, and the results are presented in Table 5.

Table 5.
Geographic location heterogeneity.
For eastern China, HSR connection significantly increased the local employment by 6.1 percent, and the result is significant at the 10% level. In sharp contrast, HSR connection decreases employment in western cities by 4.7 percent. These patterns may be caused by the fact that eastern cities have a higher level of economic development and their economic activities are more concentrated. Eastern cities also have a better business environment, can attract more investments, and create more job opportunities. HSR strengthens the connectivity between cities in the eastern region, making it easier for people to commute or relocate between cities, thus driving labor inflow.
For western cities, the significant negative impact of HSR connection on employment may have been caused by the relative lack of an economic development level, differences in wages and benefits, insufficient education and personnel training, and imperfect infrastructure and public services. The opening of HSR has strengthened the connection between the east and the west, which is conducive to transferring the labor force from the west to the east.
5.2. City Size Heterogeneity
The impact of HSR connection on employment may also be different for cities of different sizes. Based on “the Notice on Adjusting the Standard for the Division of City Scale issued” by the State Council of the People’s Republic of China in 2014, the whole sample is divided into small cities, medium-sized cities, and large cities. We then run the benchmark regression on the three sub-samples, and present the results in Table 6.

Table 6.
Heterogeneity in city size.
Obviously, HSR connection does not significantly increase employment in small and medium-sized cities, but effectively increases the employment in large cities by 8 percent. The economic intuition is that large cities have more economic activities and job opportunities, which can attract more labor to move in, or to commute to large cities from surrounding cities. For small and medium-sized cities, although HSR may have attracted more investments and created more job opportunities, this positive effect may have been balanced out by the outflow of the labor force seeking opportunities in large cities.
5.3. Spill-Over Heterogeneity
Based on the extant literature, the spill-over effect of the HSR station may differ across distance. We next examine, among cities without HSR connections, within what radius can HSR stations in other cities affect their employment. For this purpose, at a given year t, we first pick all cities that had no HSR connection at that time, and then measure whether there was an HSR station within a certain distance away from a city center, at the unit of 10 km. ArcGIS 10.8 is used to download the latest map of HSR stations from Google Maps and to identify the name of each opened line, each station on the line, its opening year, and the corresponding latitude and longitude. The corresponding latitude and longitude of the HSR stations are then displayed on the ArcGIS map. Filtering of cities starts from ten kilometers away from each HSR station, and the city points are expressed in the coordinates specified by the city, or if there are no specified coordinates, the center-of-mass coordinates of each city are used to express the calculations. We check whether spill-over exists within 30, 60, and 70 km, and report the result in Table 7.

Table 7.
Distance heterogeneity.
Obviously, when the distance of the HSR stations from the neighboring city centers is less than 30 and 60 km, comparing to cities outside this range, no spill-over effect occurs. However, when the distance increases to 70 km, comparing to cities located outside this range, HSR connection can increase employment. This pattern may have been caused by the selection of HSR stations among adjacent cities: if a city does not have HSR connection but there is a station nearby, it indicates that its adjacent city with HSR connection has better potential to win the competition for HSR connection in the first place. Because of the lack of potential for economic development, being geographically close to HSR stations does not give such cities much advantage comparing to cities located at a further distance, e.g., 60–70 km.
Another possible reason is that the labor force in such cities can easily move to or commute to adjacent cities with HSR connection to find jobs. This force of outflow may have worked against the force that new investments may be attracted to such cities and create more job opportunities. Hence, the employment of such cities was not affected at the aggregate level.
Previous studies on the spill-over effect of HSR do not distinguish between whether the surrounding area belongs to the city owning the HSR station or other cities nearby. Hence, their estimated range of effective spill-over is smaller, e.g., 30 km. However, because the selection of the HSR station is not exogenous, our approach is better suitable. The finding about spill-over shows that being close to cities with HSR connection may not be a blessing for employment.
We further investigate whether the spill-over effect also differs among cities of different sizes and cities in different regions of China. We divide cities into northern and southern China according to the Hu Huanyong Line (Hu Line). Hu Line is an imaginary line extending from Heihe (a city in northern China on the Russian border) to Tengchong (a city in southwestern China bordering Myanmar), which divides the region of China into two roughly equal parts, and at the same time demonstrates an uneven geographic pattern of urbanization between southeastern and northwestern China []. In Table 8 and Table 9, we report the spill-over effect taking 70 km as the distance.

Table 8.
Spill-over to Cities of Different Sizes.

Table 9.
Spill-over to Cities in Northern and Southern China.
Obviously, the results are consistent with the previous analysis on heterogeneity. The spill-over effect is positive for cities of medium size but negative for small cities, implying that comparing to small cities outside of the 70 km range of HSR stations, the labor outflow from small cities within the range was facilitated, resulting in the negative impact. Cities of medium size are relatively more attractive to new investments if they are located near cities with HSR connection. Hence, the force of inflow is stronger than the force of outflow.
Cities in northern China are usually less developed than cities in southern China. Hence, being close to cities with HSR connection facilitates the labor outflow. In contrast, cities in southern China gain a big advantage from being located close to cities with HSR connection.
These results show that the spill-over effect from cities with HSR connection to other cities is consistent with the economic intuition.
6. Mechanism Analysis
We next investigate the influencing channels through which HSR can increase employment. An immediate thought is that HSR increases a region’s accessibility, which can attract new investment and create more job opportunities. Hence, we use the logarithm of the number of newly listed firms per year to denote firm entry []. The data of listed companies are obtained from CSMAR, which includes a listed company’s operation and financial status, registered address, legal representative, date of establishment, data on changes in basic information, affiliation and joint venture of subsidiaries, industry information, and data on the distribution of listed companies’ personnel in terms of professional structure, age, and education. We classify industries according to the industry classification of the Securities and Futures Commission (SFC).
We use the number of newly listed firms as the dependent variable in the benchmark regression, and report the results in column (1) of Table 10. In column (2) to column (4) of Table 10, we report firm entry in three representative industries: high-tech industries, heavily polluting industries, and labor-intensive industries.

Table 10.
Mechanism Analysis: Firm Entry.
The results are consistent with the economic intuition. HSR connection effectively increases firm entry by 9.75 percent. In particular, its impact on attracting high-tech industries is the most salient (induces an increase of 98.4 percent). However, firm entry in heavily polluting industries and labor-intensive industries is not affected. These patterns suggest that HSR connection, by facilitating the flow of skilled labor and talents, makes cities more attractive to high-tech industries. On the other hand, heavily polluting industries, especially labor-intensive industries, cannot benefit much from these talents, resulting in the insignificant but positive entry.
This finding supports HSR’s role in promoting sustainable development, talent mobility, and employment distribution. The significant increase in firm entry, particularly within high-tech industries, highlights HSR’s ability to attract industries that help the transition of economy to a sustainable growth path. By enhancing accessibility and connectivity, HSR facilitates the movement of skilled labor and talent, making cities more appealing to innovative and technologically advanced companies. This influx of high-tech firms not only boosts local economies but also encourages the development of a more sustainable industrial base.
7. Conclusions
This study investigates the sustainable impact of high-speed rail (HSR) station connections on employment in local and neighboring regions in China. The findings robustly demonstrate that HSR has a significant positive effect on employment, with more pronounced impacts observed in eastern China and large cities. This employment boost is largely driven by firm entry, especially from high-tech industries, highlighting the role of HSR in fostering a closed-loop innovation ecosystem. The accessibility provided by HSR facilitates the mobility of talent, making cities more attractive to innovative enterprises and thereby promoting sustainable development.
Moreover, the main radius of spill-overs from neighboring non-high-speed rail areas is 70 km. Medium-sized cities and cities in the southern part of China benefit more from these spill-overs, indicating that HSR can play a crucial role in regional economic integration and balanced development. The facilitation of talent mobility and attraction of high-tech firms in these areas further underscore the role of HSR in promoting a sustainable and innovative economic environment.
In conclusion, the establishment of HSR stations not only stimulates local employment growth but also enhances regional development through improved accessibility and talent mobility. These findings emphasize the crucial role of HSR in promoting sustainable development in China.
Author Contributions
Conceptualization, X.M. and X.X.; Software, Y.Q.; Methodology, X.M. and X.X.; Writing—original draft, X.M. and Y.Q.; Writing—review & editing, X.X.; Supervision, X.X. All authors have read and agreed to the published version of the manuscript.
Funding
This research was funded by [Shanghai Philosophy and Social Science Planning Project] grant number [2023EJB012].
Institutional Review Board Statement
Not applicable.
Informed Consent Statement
All authors have read and agreed to the published version of the manuscript.
Data Availability Statement
Data are available upon request.
Conflicts of Interest
The authors declare no conflict of interest.
References
- Ahlfeldt, G.M.; Feddersen, A. From periphery to core: Measuring agglomeration effects using highspeed rail. J. Econ. Geogr. 2018, 18, 355–390. [Google Scholar] [CrossRef]
- Sun, L.; Li, W. Has the opening of high-speed rail reduced urban carbon emissions? Empirical analysis based on panel data of cities in China. J. Clean. Prod. 2021, 321, 128958. [Google Scholar] [CrossRef]
- Charlson, A.; Dunwoody, A. Embedding circular thinking in a major UK infrastructure project. Proc. Inst. Civ. Eng. Eng. Sustain. 2018, 172, 97–104. [Google Scholar] [CrossRef]
- Banerjee, A.; Duflo, E.; Qian, N. On the road: Access to transportation infrastructure and economic growth in China. J. Dev. Econ. 2020, 145, 102442. [Google Scholar] [CrossRef]
- Donaldson, D. Railroads of the Raj: Estimating the impact of transportation infrastructure. Am. Econ. Rev. 2018, 108, 899–934. [Google Scholar] [CrossRef]
- Lin, Y. Travel costs and urban specialization patterns: Evidence from China’s high speed railway system. J. Urban Econ. 2017, 98, 98–123. [Google Scholar] [CrossRef]
- Qin, Y. No county left behind? The distributional impact of high-speed rail upgrades in China. J. Econ. Geogr. 2017, 17, 489–520. [Google Scholar] [CrossRef]
- Duffy-Deno, K.T.; Dalenberg, D.R. The municipal wage and employment effects of public infrastructure. Urban Stud. 1993, 30, 1577–1589. [Google Scholar] [CrossRef]
- Dong, Y.-M.; Zhu, Y.-M. Can high-speed rail construction reshape the layout of China’s economic space—Based on the perspective of regional heterogeneity of employment, wage and economic growth. China Ind. Econ. 2016, 10, 92–108. [Google Scholar]
- Kang, M.; Li, Y.; Zhao, Z.; Song, M.; Yi, J. Travel costs and inter-city collaborative innovation: Evidence of high-speed railway in China. Struct. Change Econ. Dyn. 2023, 65, 286–302. [Google Scholar] [CrossRef]
- Givoni, M. Development and impact of the modern high-speed train: A review. Transp. Rev. 2006, 26, 593–611. [Google Scholar] [CrossRef]
- Li, Z.; Xu, H. High-speed railroads and economic geography: Evidence from Japan. J. Reg. Sci. 2018, 58, 705–727. [Google Scholar] [CrossRef]
- Liu, Y.; Tang, D.; Bu, T.; Wang, X. The spatial employment effect of high-speed railway: Quasi-natural experimental evidence from China. Ann. Reg. Sci. 2022, 69, 333–359. [Google Scholar] [CrossRef]
- Chen, C.-L.; Hall, P. The impacts of high-speed trains on British economic geography: A study of the UK’s InterCity 125/225 and its effects. J. Transp. Geogr. 2011, 19, 689–704. [Google Scholar] [CrossRef]
- Chen, C.-L. Reshaping Chinese space-economy through high-speed trains: Opportunities and challenges. J. Transp. Geogr. 2012, 22, 312–316. [Google Scholar] [CrossRef]
- Huang, Y.; Wang, Y. How does high-speed railway affect green innovation efficiency? A perspective of innovation factor mobility. J. Clean. Prod. 2020, 265, 121623. [Google Scholar] [CrossRef]
- Meng, X.; Lin, S.; Zhu, X. The resource redistribution effect of high-speed rail stations on the economic growth of neighboring regions: Evidence from China. Transp. Policy 2018, 68, 178–191. [Google Scholar] [CrossRef]
- Putz, T. Verkehrsbild Deutschland. In Bundesinstitut für Bau-, Stadt- und Raumforschung; BBSR-Analysen KOMPAKT 15/2015; Bundesamt für Bauwesen und Raumordnung: Berlin, Germany, 2015. [Google Scholar]
- Heuermann, D.F.; Schmieder, J.F. The effect of infrastructure on worker mobility: Evidence from high-speed rail expansion in Germany. J. Econ. Geogr. 2019, 19, 335–372. [Google Scholar] [CrossRef]
- Faber, B. Trade integration, market size, and industrialization: Evidence from China’s National Trunk Highway System. Rev. Econ. Stud. 2014, 81, 1046–1070. [Google Scholar] [CrossRef]
- Rocha, B.T.; Melo, P.C.; Afonso, N.; de Abreu e Silva, J. Motorways, local economic activity and commuting. Reg. Stud. 2024, 58, 164–177. [Google Scholar] [CrossRef]
- Yan, L.; He, C.; Shi, Q. The impact of high-speed railway on labor spatial misallocation—Based on spatial difference-in-differences analysis. Transp. Res. Part A Policy Pract. 2022, 164, 82–97. [Google Scholar] [CrossRef]
- Callaway, B.; Sant’Anna, P.H. Difference-in-differences with multiple time periods. J. Econom. 2021, 225, 200–230. [Google Scholar] [CrossRef]
- Duranton, G.; Turner, M.A. Urban growth and transportation. Rev. Econ. Stud. 2012, 79, 1407–1440. [Google Scholar] [CrossRef]
- Chen, M.; Liu, W.; Lu, D.; Chen, H. Population distribution and urbanization on both sides of the Hu Huanyong Line: Answering the Premier’s question. J. Geogr. Sci. 2016, 26, 1593–1610. [Google Scholar] [CrossRef]
- Feng, Q.; Chen, Z.; Cheng, C.; Chang, H. Impact of high-speed rail on high-skilled labor mobility in China. Transp. Policy 2023, 133, 64–74. [Google Scholar] [CrossRef]
Disclaimer/Publisher’s Note: The statements, opinions and data contained in all publications are solely those of the individual author(s) and contributor(s) and not of MDPI and/or the editor(s). MDPI and/or the editor(s) disclaim responsibility for any injury to people or property resulting from any ideas, methods, instructions or products referred to in the content. |
© 2024 by the authors. Licensee MDPI, Basel, Switzerland. This article is an open access article distributed under the terms and conditions of the Creative Commons Attribution (CC BY) license (https://creativecommons.org/licenses/by/4.0/).