Joint Emission-Dependent Optimal Production and Preventive Maintenance Policies of a Deteriorating Manufacturing System
Abstract
1. Introduction
2. Literature Review
| Authors | Stochastic Context | Preventive Maintenance | Age-Related Emissions | Adapted Control Policy | Optimal Control Policy | Regulatory Environmental Approach | Voluntary Environmental Approach |
|---|---|---|---|---|---|---|---|
| Class I. Production and/or maintenance planning of manufacturing system without GHG emission control | |||||||
| Akella and Kumar [11] | ✓ | ✓ | |||||
| Yang et al. [12] | ✓ | ✓ | |||||
| Ouaret et al. [13] | ✓ | ✓ | ✓ | ||||
| Diop et al. [14] | ✓ | ✓ | |||||
| Ouaret [15] | ✓ | ✓ | ✓ | ||||
| Aghdam et al. [16] | ✓ | ✓ | |||||
| Class II. Production and/or maintenance planning of manufacturing system with GHG emission control | |||||||
| Category 1. Models without considering the unreliability of the machines | |||||||
| Gong and Zhou [17] | ✓ | ||||||
| He et al. [18] | ✓ | ||||||
| Zhou et al. [19] | ✓ | ||||||
| Xu et al. [20] | ✓ | ||||||
| Pan and Li [21] | ✓ | ||||||
| Kumari et al. [22] | ✓ | ||||||
| Category 2. Models considering the unreliability of the machines | |||||||
| Hajej et al. [23] | ✓ | ✓ | ✓ | ✓ | |||
| Turki and Rezg [24] | ✓ | ✓ | |||||
| Turki et al. [25] | ✓ | ✓ | |||||
| Ben-Salem et al. [26] | ✓ | ✓ | ✓ | ✓ | |||
| Ben-Salem et al. [27] | ✓ | ✓ | ✓ | ✓ | ✓ | ✓ | |
| Afshar-B. et al. [28] | ✓ | ✓ | ✓ | ✓ | |||
| Behnamfar et al. [29] | ✓ | ✓ | ✓ | ||||
| This paper | ✓ | ✓ | ✓ | ✓ | ✓ | ✓ | ✓ |
3. Notations and Problem Statement
Problem Statement
- The mean time to failure decreases, and the emission index increases with the age of the machine.
- The PM completely restores the machine (its reliability, emission index, and emission level) to the initial conditions (as good as new (AGAN)).
- The corrective maintenance makes the machine return to production after the failure but without any effect on its degradation (as bad as old (ABAO)).
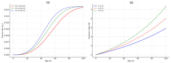
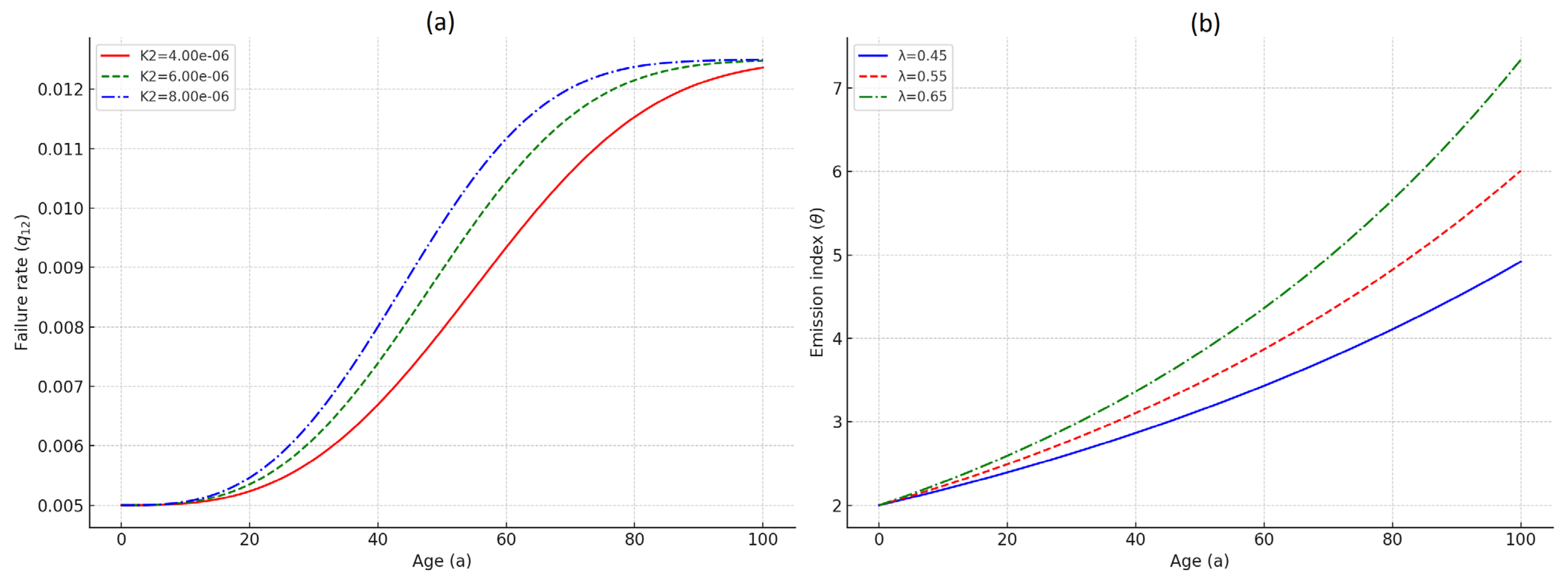
4. Numerical Results
- The production must be halted () if the current inventory level exceeds the critical threshold ;
- The production rate must be adjusted to the value of the demand rate when the current inventory level matches the critical ;
- The production rate must be adjusted to its maximum value if the current inventory is below the critical threshold .
5. Sensitivity Analysis
5.1. Shortage Cost
5.2. Inventory Cost
5.3. Emission Cost
5.4. PM Cost
5.5. Adjustment Parameter of Emission Index
6. Comparative Study
- Backlog cost () (see Figure 13a): As increases, policy-I demonstrates a consistently lower total cost compared to policy-II. Its flexibility and responsiveness allow the adjustment of the security inventory level according to the state of the system and better planning of preventive interventions, thus reducing costly failure stoppages and delays.
- Inventory cost () (see Figure 13b): With rising , policy-I shows a cost advantage, underscoring its efficiency in inventory management. Policy-I’s flexible thresholds allow for better adjustment of stock levels, thereby minimizing unnecessary inventory holding costs more effectively than policy-II.
- Emission cost () (see Figure 13c): The increasing highlights the environmental efficiency of policy-I. It proactively adjusts production to minimize emissions, effectively reducing emission-related costs more significantly than policy-II. Policy-I’s flexibility in adjusting thresholds related to emissions ensures better compliance with environmental regulations.
- PM cost () (see Figure 13d): The sensitivity to illustrates that policy-I maintains lower operational costs despite higher maintenance expenses. This is due to its capacity for effectively monitoring machine age based on failure rates and the finished products’ inventory level, thereby generating optimal costs, including preventive maintenance costs.
- Adjustment of emission index () (see Figure 13e): As increases, indicating a more stringent regulatory environment, policy-I adapts by further optimizing the trade-off between production throughput and emissions control. This flexibility allows policy-I to make more efficient decisions regarding finished product inventory size and preventive maintenance based on the evolution of emission volumes.
7. Managerial Implementation
8. Conclusions
Author Contributions
Funding
Institutional Review Board Statement
Informed Consent Statement
Data Availability Statement
Conflicts of Interest
Abbreviations
| Notations | |
| inventory level of products (product); | |
| critical finished products stock level (product); | |
| age of the machine according to its production rate (product); | |
| emission level of the manufacturing system (emission volume); | |
| emission index (emission volume per product); | |
| production rate of the manufacturing system (product per time unit); | |
| maximal production rate of the manufacturing system (product per time unit); | |
| customer demand rate (product per time unit); | |
| transition rate from mode α to mode β; | |
| stochastic process; | |
| discount rate; | |
| inventory unit cost of finished products ($ per product per time unit); | |
| backlog unit cost ($ per product per time unit); | |
| instantaneous repair cost ($ per action); | |
| preventive maintenance cost ($ per action); | |
| L | standard emission limit (emission volume); |
| penalty unit cost for emissions exceeding L (USD per emission unit per time unit); | |
| vector of limiting probabilities; | |
| instantaneous cost function (USD per time unit); | |
| total cost function; | |
| value function. |
Appendix A
References
- Ripple, W.J.; Wolf, C.; Gregg, J.W.; Rockström, J.; Newsome, T.M.; Law, B.E.; Marques, L.; Lenton, T.M.; Xu, C.; Huq, S.; et al. The 2023 state of the climate report: Entering uncharted territory. Bioscience 2023, 73, 841–850. [Google Scholar] [CrossRef]
- Karlina, A.I.; Karlina, Y.I.; Gladkikh, V.A. Analysis of Experience in the Use of Micro- and Nanoadditives from Silicon Production Waste in Concrete Technologies. Minerals 2023, 13, 1525. [Google Scholar] [CrossRef]
- Benjaafar, S.; Li, Y.; Daskin, M. Carbon Footprint and the Management of Supply Chains: Insights From Simple Models. IEEE Trans. Autom. Sci. Eng. 2013, 10, 99–116. [Google Scholar] [CrossRef]
- LEE, W.; YIK, F. Regulatory and voluntary approaches for enhancing building energy efficiency. Prog. Energy Combust. Sci. 2004, 30, 477–499. [Google Scholar] [CrossRef]
- Brouhle, K.; Griffiths, C.; Wolverton, A. Evaluating the role of EPA policy levers: An examination of a voluntary program and regulatory threat in the metal-finishing industry. J. Environ. Econ. Manag. 2009, 57, 166–181. [Google Scholar] [CrossRef]
- Rosen, M.A.; Kishawy, H.A. Sustainable Manufacturing and Design: Concepts, Practices and Needs. Sustainability 2012, 4, 154–174. [Google Scholar] [CrossRef]
- Hao, X.; Demir, E. Artificial intelligence in supply chain decision-making: An environmental, social, and governance triggering and technological inhibiting protocol. J. Model. Manag. 2024, 19, 605–629. [Google Scholar] [CrossRef]
- Cheng, K.; Srai, J.S. Special issue on sustainable manufacturing and the key enabling technologies. Proc. Inst. Mech. Eng. Part B J. Eng. Manuf. 2012, 226, 1603. [Google Scholar] [CrossRef]
- Setchi, R.; Maropoulos, P. Editorial for the Special Issue on Sustainable Design and Manufacturing. Proc. Inst. Mech. Eng. Part B J. Eng. Manuf. 2018, 232, 1689. [Google Scholar] [CrossRef]
- Bouslikhane, S.; Hajej, Z.; Rezg, N. An optimal mathematical modeling for manufacturing/remanufacturing problem under carbon emission constraint. In Proceedings of the 2017 7th International Conference on Modeling, Simulation, and Applied Optimization (ICMSAO), Sharjah, United Arab Emirates, 4–6 April 2017; IEEE: New York, NY, USA, 2017; pp. 1–5. [Google Scholar]
- Akella, R.; Kumar, P. Optimal control of production rate in a failure prone manufacturing system. IEEE Trans. Automat. Contr. 1986, 31, 116–126. [Google Scholar] [CrossRef]
- Yang, J.; Yan, H.; Taksar, M.I. Optimal production and setup scheduling: A one-machine, two-product system. Ann. Oper. Res. 2000, 98, 291–311. [Google Scholar] [CrossRef]
- Ouaret, S.; Kenné, J.-P.; Gharbi, A.; Polotski, V. Age-dependent production and replacement strategies in failure-prone manufacturing systems. Proc. Inst. Mech. Eng. Part B J. Eng. Manuf. 2017, 231, 540–554. [Google Scholar] [CrossRef]
- Diop, I.; Nadeau, S.; Emami-Mehrgani, B. A Mathematical Model: A Flexible Manufacturing System, Prone to Error, Making Two Products Each with Stochastic Demand Schedules. Am. J. Ind. Bus. Manag. 2019, 9, 139–168. [Google Scholar] [CrossRef][Green Version]
- Ouaret, S. Production control problem with semi-Markov jump under stochastic demands and deteriorating inventories. Appl. Math. Model. 2022, 107, 85–102. [Google Scholar] [CrossRef]
- Aghdam, S.S.; Fattahi, P.; Hosseini, S.M.H.; Babaeimorad, S.; Sana, S.S. Joint optimisation of the maintenance and buffer stock policies considering back orders. Int. J. Syst. Sci. Oper. Logist. 2023, 10, 2169054. [Google Scholar] [CrossRef]
- Gong, X.; Zhou, S.X. Optimal Production Planning with Emissions Trading. Oper. Res. 2013, 61, 908–924. [Google Scholar] [CrossRef]
- He, P.; Zhang, W.; Xu, X.; Bian, Y. Production lot-sizing and carbon emissions under cap-and-trade and carbon tax regulations. J. Clean. Prod. 2015, 103, 241–248. [Google Scholar] [CrossRef]
- Zhou, M.; Pan, Y.; Chen, Z.; Chen, X. Environmental resource planning under cap-and-trade: Models for optimization. J. Clean. Prod. 2016, 112, 1582–1590. [Google Scholar] [CrossRef]
- Xu, X.; Xu, X.; He, P. Joint production and pricing decisions for multiple products with cap-and-trade and carbon tax regulations. J. Clean. Prod. 2016, 112, 4093–4106. [Google Scholar] [CrossRef]
- Pan, X.; Li, S. Optimal control of a stochastic production–inventory system under deteriorating items and environmental constraints. Int. J. Prod. Res. 2015, 53, 607–628. [Google Scholar] [CrossRef]
- Kumari, M.; Kanti De, P.; Narang, P.; Shah, N.H. Integrated optimization of inventory, replenishment, and vehicle routing for a sustainable supply chain utilizing a novel hybrid algorithm with carbon emission regulation. Expert Syst. Appl. 2023, 220, 119667. [Google Scholar] [CrossRef]
- Hajej, Z.; Rezg, N.; Bouslikhane, S. A Joint Production and Maintenance Optimization of Closed-Loop Production System under Carbon Emission with a Switching Subcontractor Consideration. Appl. Sci. 2019, 9, 1105. [Google Scholar] [CrossRef]
- Turki, S.; Rezg, N. Impact of the Quality of Returned-Used Products on the Optimal Design of a Manufacturing/Remanufacturing System under Carbon Emissions Constraints. Sustainability 2018, 10, 3197. [Google Scholar] [CrossRef]
- Turki, S.; Sauvey, C.; Rezg, N. Modelling and optimization of a manufacturing/remanufacturing system with storage facility under carbon cap and trade policy. J. Clean. Prod. 2018, 193, 441–458. [Google Scholar] [CrossRef]
- Ben-Salem, A.; Gharbi, A.; Hajji, A. An Environmental Hedging Point Policy to control production rate and emissions in unreliable manufacturing systems. Int. J. Prod. Res. 2015, 53, 435–450. [Google Scholar] [CrossRef]
- Ben-Salem, A.; Gharbi, A.; Hajji, A. Environmental issue in an alternative production–maintenance control for unreliable manufacturing system subject to degradation. Int. J. Adv. Manuf. Technol. 2015, 77, 383–398. [Google Scholar] [CrossRef]
- Afshar-Bakeshloo, M.; Bozorgi-Amiri, A.; Sajadi, S.M.; Jolai, F. A multi-objective Environmental Hedging Point Policy with customer satisfaction criteria. J. Clean. Prod. 2018, 179, 478–494. [Google Scholar] [CrossRef]
- Behnamfar, R.; Sajadi, S.M.; Tootoonchy, M. Developing environmental hedging point policy with variable demand: A machine learning approach. Int. J. Prod. Econ. 2022, 254, 108640. [Google Scholar] [CrossRef]
- McKinnon, A.; Browne, M.; Whiteing, A.; Piecyk, M. Green Logistics: Improving the Environmental Sustainability of Logistics; Kogan Page Publishers: London, UK, 2015; ISBN 0749471867. [Google Scholar]
- Brandenburg, M.; Hahn, G.J.; Rebs, T. Social and Environmental Dimensions of Organizations and Supply Chains; Springer: Berlin/Heidelberg, Germany, 2018. [Google Scholar]
- Saihi, A.; Ben-Daya, M.; As’ad, R.A. Maintenance and sustainability: A systematic review of modeling-based literature. J. Qual. Maint. Eng. 2023, 29, 155–187. [Google Scholar] [CrossRef]
- Psarommatis, F.; May, G.; Azamfirei, V. Envisioning maintenance 5.0: Insights from a systematic literature review of Industry 4.0 and a proposed framework. J. Manuf. Syst. 2023, 68, 376–399. [Google Scholar] [CrossRef]
- Cheng, G.Q.; Zhou, B.H.; Li, L. Integrated production, quality control and condition-based maintenance for imperfect production systems. Reliab. Eng. Syst. Saf. 2018, 175, 251–264. [Google Scholar] [CrossRef]
- Kushner, H.J.; Dupuis, P.G. Numerical Methods for Stochastic Control Problems in Continuous Time; Springer: New York, NY, USA, 1992; ISBN 1-4612-6531-2. [Google Scholar]
- Zhao, Y.; He, Y.; Zhou, D.; Zhang, A.; Han, X.; Li, Y.; Wang, W. Functional risk-oriented integrated preventive maintenance considering product quality loss for multistate manufacturing systems. Int. J. Prod. Res. 2021, 59, 1003–1020. [Google Scholar] [CrossRef]
- Han, X.; Wang, Z.; Xie, M.; He, Y.; Li, Y.; Wang, W. Remaining useful life prediction and predictive maintenance strategies for multi-state manufacturing systems considering functional dependence. Reliab. Eng. Syst. Saf. 2021, 210, 107560. [Google Scholar] [CrossRef]
- Li, Y.; He, Y.; Liao, R.; Zheng, X.; Dai, W. Integrated predictive maintenance approach for multistate manufacturing system considering geometric and non-geometric defects of products. Reliab. Eng. Syst. Saf. 2022, 228, 108793. [Google Scholar] [CrossRef]
- Boukas, E.K.; Haurie, A. Manufacturing flow control and preventing maintenance: A stochastic control approach. IEEE Trans. Automat. Contr. 1990, 35, 1024–1031. [Google Scholar] [CrossRef]














| 5 | 100 | 25 | 2500 | 40 | 2 | 1.5 | 250 | 0.8 | 0.005 |
| 0.0075 | 5.10−6 | 0.02 | 2 | 0.6 | 0.01 | 106 | 12 |
Disclaimer/Publisher’s Note: The statements, opinions and data contained in all publications are solely those of the individual author(s) and contributor(s) and not of MDPI and/or the editor(s). MDPI and/or the editor(s) disclaim responsibility for any injury to people or property resulting from any ideas, methods, instructions or products referred to in the content. |
© 2024 by the authors. Licensee MDPI, Basel, Switzerland. This article is an open access article distributed under the terms and conditions of the Creative Commons Attribution (CC BY) license (https://creativecommons.org/licenses/by/4.0/).
Share and Cite
Gharbi, A.; Kenné, J.-P.; Takengny, A.L.K.; Assid, M. Joint Emission-Dependent Optimal Production and Preventive Maintenance Policies of a Deteriorating Manufacturing System. Sustainability 2024, 16, 6146. https://doi.org/10.3390/su16146146
Gharbi A, Kenné J-P, Takengny ALK, Assid M. Joint Emission-Dependent Optimal Production and Preventive Maintenance Policies of a Deteriorating Manufacturing System. Sustainability. 2024; 16(14):6146. https://doi.org/10.3390/su16146146
Chicago/Turabian StyleGharbi, Ali, Jean-Pierre Kenné, Armel Leonel Kuegoua Takengny, and Morad Assid. 2024. "Joint Emission-Dependent Optimal Production and Preventive Maintenance Policies of a Deteriorating Manufacturing System" Sustainability 16, no. 14: 6146. https://doi.org/10.3390/su16146146
APA StyleGharbi, A., Kenné, J.-P., Takengny, A. L. K., & Assid, M. (2024). Joint Emission-Dependent Optimal Production and Preventive Maintenance Policies of a Deteriorating Manufacturing System. Sustainability, 16(14), 6146. https://doi.org/10.3390/su16146146

