The Multi-Visit Vehicle Routing Problem with Drones under Carbon Trading Mechanism
Abstract
1. Introduction
2. Literature Review
2.1. Green Vehicle Routing Problem
2.2. Truck–Drone Collaborative Delivery Problem
3. Problem Formulation
3.1. Problem Description
- Each customer must be serviced once by either a truck or a drone;
- Drones may launch from or return to the central depot or any customer node visited by trucks, but they can only be launched and retrieved by the same truck. Therefore, when truck k is deployed, the corresponding drone k is also enabled;
- Each truck has a limited load capacity and a constant speed;
- Each drone can serve multiple customers per flight as long as its load capacity and flight distance are within limits;
- Drones can be launched and retrieved multiple times. However, the drone cannot be re-launched before being retracted, and the situation where the retraction point coincides with the launch point is not considered;
- If a drone arrives at a rendezvous node before the truck, it may land to conserve energy while awaiting the truck’s arrival for synchronization. Conversely, if the truck arrives first, it will wait for the drone to synchronize operations;
- When delivering by truck or drone, time windows are temporarily not considered.
3.2. Notations
3.3. Carbon Trading Cost
3.4. The Mathematical Model
- The routing constraints are the following:
- The loading constraints are the following:
- The drone flight distance constraints are the following:
4. Solution Method
| Algorithm 1: SHIA-EVNS |
| 1: Truck-only routes scanning method |
| heuristic insertion method |
| EVNS algorithm |
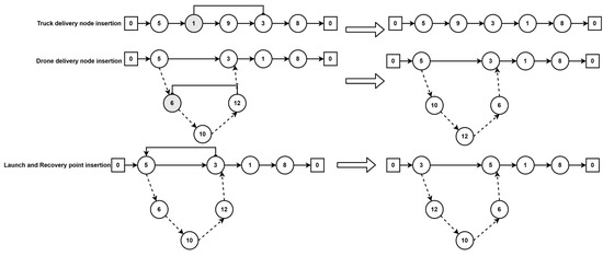
4.1. Initial Solution Construction
- (1)
- Select the node near the central depot as a drone launch point within each truck route, and the launch point cannot be located in a restricted area;
- (2)
- For each potential drone delivery point, calculate the drone delivery ratio , where represents the distance between the drone’s launched node and the truck’s delivery node, and is the demand for the distribution node. Sort the calculated ratios and select the delivery node corresponding to the smallest for drone delivery. Once the delivery point is located in a restricted area, then it will be prioritized for delivery by drones;
- (3)
- Remove the selected drone delivery point from the truck route, add it to the drone route, and update the drone’s remaining flight distance and payload, as illustrated in Figure 2b;
- (4)
- Reiterate Operations (2) and (3) until the drone’s payload and flight distance constraints are exceeded, marking the last point as a retrieved point. If a delivery point falls within a no-fly zone, exclude it from the drone route and add it back to the truck route;
- (5)
- Adjust the truck delivery route according to the updated drone delivery points;
- (6)
- Select the node near the retrieved point as the newly launched point;
- (7)
- Repeat Operations (2) to (6) until all customer points on each truck route are selected, as shown in Figure 2c;
4.2. Enhanced Variable Neighborhood Search (EVNS)
4.2.1. Neighborhood Construction
- Truck Point Insertion: Under the condition of not violating restricted area constraints, two points are randomly chosen within the truck route. Point (A) is inserted before point (B). Should the insertion result in an increase in the number of restricted arcs traversed, nodes are randomly replaced until the restricted area constraints are satisfied;
- Drone Point Insertion: A random drone service point is selected and inserted into one of the drone sub-routes associated with the same truck. The insertion location was chosen to minimize cost and could potentially be in another sub-route;
- Launch/Recovery Point Insertion: The launch or recovery point is inserted into a new position within its respective truck route. If the insertion causes the launch point to follow the recovery point or vice versa, the affected drone sub-route must be reversed. If the operation results in an increased number of restricted arcs, the operation is abandoned.
- Truck Point Insertion: A truck point is inserted into a drone route of the same truck, shifting responsibility for delivery to the drone, or a new drone sub-route is established for this truck point, choosing the less costly insertion location. If the truck point is within a no-fly zone, a new truck point is selected;
- Drone Point Insertion: A drone point is inserted into a truck route, enabling the truck to complete the delivery. The insertion is executed if it does not lead to an increase in restricted area arcs. Otherwise, a new selection is made;
- Launch/Recovery Point Insertion: The original launch point transforms into a drone service point, with the selection of a truck route point with the least cost as the new launch point. The original launch point is vacated in the truck route, while the new launch point remains unchanged. The handling of recovery points follows the same procedure.
- Truck Point Exchange: Two customer points are randomly picked from the truck route for exchange. The exchange is executed if it does not lead to an increase in restricted area arcs. Otherwise, one of the nodes is replaced until the exchange can be performed;
- Drone Point Exchange: Within the truck–drone route, two drone visit points are randomly selected, and their corresponding launch points are swapped in totality;
- Truck–Drone Inter-Route Exchange: A truck point is exchanged into a drone route of the same truck, transitioning to drone delivery, or a new drone sub-route is established for the truck point, selecting the location with minimal cost. If the truck point lies in a no-fly zone, a new selection is initiated;
- Launch/Recovery Point Same-Route Exchange: The launch (or landing) point of a drone is converted into a new launch (or landing) point, with a change in the delivery sequence;
- Launch/Recovery Point Inter-Route Exchange: The launch (or landing) point of a drone is removed from its existing route and inserted into another drone route, forming a novel drone delivery route. The original route’s launch (or landing) point is correspondingly adjusted.
4.2.2. Local Search
| Algorithm 2: random VND |
| then |
| 8. End While |
4.2.3. Solution Stopping Criteria
5. Numerical Experiments and Analysis
5.1. Case Study and Relevant Parameters
- Drone maximum flight distance: 20 km [28];
- Fixed cost per truck: 200 CNY per vehicle, delivery cost: 1.5 CNY per km;
- Fixed cost per drone: 45 CNY per unit, delivery cost: 0.3 CNY per km;
- Maximum truck payload: 150 kg, self-weight: 30 kg;
- Maximum drone payload: 5 kg, self-weight: 1 kg;
- Carbon emission coefficient for trucks: 1.2603 kg/mi, CO2 emission from drone charging: 0.0003773 kg/Wh;
- Carbon quota: 150 kg, carbon price: 0.5 CNY/kg;
- Drone energy consumption per km: 3.333 Wh/km [46];
- Average carbon emission price: 0.1332 CNY/kg.
5.2. Model and Algorithm Validation
5.2.1. Experiment with Small-Scale Instances
5.2.2. Experiment with Large-Scale Instances
5.3. Comparison of Different Distribution Methods
5.4. Analysis of the Carbon Trading Mechanism
5.5. Sensitivity Analysis
6. Conclusions
- (i)
- The effectiveness of the model and algorithm are validated through different scale comparisons. For small-scale instances, the SHIA-EVNS algorithm generally outperforms CPLEX in solution time and results. For large-scale instances, SHIA-EVNS outperforms GA and TPSCA in both aspects;
- (ii)
- Compared with truck-only delivery, the truck–drone collaboration reduces carbon trading costs, lowering total costs by 36.3%;
- (iii)
- Carbon emissions decrease step-wise with higher unit carbon prices. If the carbon quota is below the operational need, both carbon trading and total costs increase with the unit price. If the quota exceeds the need, both costs decrease with the unit price;
- (iv)
- Sensitivity analysis of parameters indicates that there is an optimal combination of drones and trucks; more drones do not necessarily lead to better outcomes.
Author Contributions
Funding
Institutional Review Board Statement
Informed Consent Statement
Data Availability Statement
Conflicts of Interest
References
- Neves-Moreira, F.; Almada-Lobo, B.; Cordeau, J.F.; Guimaraes, L.; Jans, R. Solving a large multi-product production-routing problem with delivery time windows. Omega 2019, 86, 154–172. [Google Scholar] [CrossRef]
- Dooley, K.J.; Pathak, S.D.; Kull, T.J.; Wu, Z.; Johnson, J.; Rabinovich, E. Process network modularity, commonality, and greenhouse gas emissions. J. Oper. Manag. 2019, 65, 93–113. [Google Scholar] [CrossRef]
- Zhang, D.; Kong, Q. Green energy transition and sustainable development of energy firms: An assessment of renewable energy policy. Energy Econ. 2022, 111, 106060. [Google Scholar] [CrossRef]
- Liu, X.; Ji, Q.; Yu, J. Sustainable development goals and firm carbon emissions: Evidence from a quasi-natural experiment in China. Energy Econ. 2021, 103, 105627. [Google Scholar] [CrossRef]
- Green, J.F. Does carbon pricing reduce emissions? A review of ex-post analyses. Environ. Res. Lett. 2021, 16, 043004. [Google Scholar] [CrossRef]
- Gugler, K.; Haxhimusa, A.; Liebensteiner, M. Effectiveness of climate policies: Carbon pricing vs. subsidizing renewables. J. Environ. Econ. Manag. 2021, 106, 102405. [Google Scholar] [CrossRef]
- Pei, Z.; Dai, X.; Yuan, Y.; Du, R.; Liu, C. Managing price and fleet size for courier service with shared drones. Omega 2021, 104, 102482. [Google Scholar] [CrossRef]
- Shindell, D.; Smith, C.J. Climate and air-quality benefits of a realistic phase-out of fossil fuels. Nature 2019, 573, 408–411. [Google Scholar] [CrossRef] [PubMed]
- Dantzig, G.B.; Ramser, J.H. The Truck Dispatching Problem. Manag. Sci. 1959, 6, 80–91. [Google Scholar] [CrossRef]
- Chen, J.M.; Dan, B.; Shi, J. A variable neighborhood search approach for the multi-compartment vehicle routing problem with time windows considering carbon emission. J. Clean. Prod. 2020, 277, 123932. [Google Scholar] [CrossRef]
- Li, Y.; Tan, W.R.; Sha, R.L. The empirical study on the optimal distribution route of minimum carbon footprint of the retail industry. J. Clean. Prod. 2016, 112, 4237–4264. [Google Scholar] [CrossRef]
- Pan, Y.M. Establishment and optimization of green logistics fuel consumption model based on ant colony algorithm. Chem. Eng. Trans. 2017, 62, 1495–1500. [Google Scholar]
- Figliozzi, M.A. The impacts of congestion on time-definitive urban freight distribution networks CO2 emission levels: Results from a case study in Portland, Oregon. Transp. Res. Part C Emerg. Technol. 2011, 19, 766–778. [Google Scholar] [CrossRef]
- Xiao, Y.; Konak, A. The heterogeneous green vehicle routing and scheduling problem with time-varying traffic congestion. Transp. Res. Part E Logist. Transp. Rev. 2016, 88, 146–166. [Google Scholar] [CrossRef]
- Wang, Y.; Bi, J.; Guan, W.; Zhao, X. Optimising route choices for the travelling and charging of battery electric vehicles by considering multiple objectives. Transp. Res. Part D Transp. Environ. 2018, 64, 246–261. [Google Scholar] [CrossRef]
- Liao, W.; Liu, L.; Fu, J. A Comparative Study on the Routing Problem of Electric and Fuel Vehicles Considering Carbon Trading. Int. J. Environ. Res. Public Health 2019, 16, 3120. [Google Scholar] [CrossRef] [PubMed]
- Goodchild, A.; Toy, J. Delivery by drone: An evaluation of unmanned aerial vehicle technology in reducing CO2 emissions in the delivery service industry. Transp. Res. Part D Transp. Environ. 2018, 61, 58–67. [Google Scholar] [CrossRef]
- Figliozzi, M.A. Lifecycle modeling and assessment of unmanned aerial vehicles (Drones) CO2e emissions. Transp. Res. Part D Transp. Environ. 2017, 57, 251–261. [Google Scholar] [CrossRef]
- Figliozzi, M.A. Carbon emissions reductions in last mile and grocery deliveries utilizing air and ground autonomous vehicles. Transp. Res. Part D Transp. Environ. 2020, 85, 102443. [Google Scholar] [CrossRef] [PubMed]
- Chiang, W.C.; Li, Y.; Shang, J.; Urban, T.L. Impact of drone delivery on sustainability and cost: Realizing the UAV potential through vehicle routing optimization. Appl. Energy 2019, 242, 1164–1175. [Google Scholar] [CrossRef]
- Wang, S.; Tao, F.; Shi, Y.; Wen, H. Optimization of Vehicle Routing Problem with Time Windows for Cold Chain Logistics Based on Carbon Tax. Sustainability 2017, 9, 694. [Google Scholar] [CrossRef]
- Chen, J.; Liao, W.; Yu, C. Route Optimization for Cold Chain Logistics of Front Warehouses Based on Traffic Congestion and Carbon Emission. Comput. Ind. Eng. 2021, 161, 107663. [Google Scholar] [CrossRef]
- Kwon, Y.J.; Choi, Y.J.; Lee, D.H. Heterogeneous Fixed Fleet Vehicle Routing Considering Carbon Emission. Transp. Res. Part D Transp. Environ. 2013, 23, 81–89. [Google Scholar] [CrossRef]
- Murray, C.C.; Chu, A.G. The flying sidekick traveling salesman problem: Optimization of drone-assisted parcel delivery. Transp. Res. Part C Emerg. Technol. 2015, 54, 86–109. [Google Scholar] [CrossRef]
- Dell’Amico, M.; Montemanni, R.; Novellani, S. Drone-assisted deliveries: New formulations for the flying sidekick traveling salesman problem. Optim. Lett. 2021, 15, 1617–1648. [Google Scholar] [CrossRef]
- Freitas, J.C.; Penna, P.H.V. A variable neighborhood search for flying sidekick traveling salesman problem. Int. Trans. Oper. Res. 2020, 27, 267–290. [Google Scholar] [CrossRef]
- Ha, Q.M.; Deville, Y.; Pham, Q.D.; Ha, M.H. On the min-cost traveling salesman problem with drone. Transp. Res. Part C Emerg. Technol. 2018, 86, 597–621. [Google Scholar] [CrossRef]
- Agatz, N.; Bouman, P.; Schmidt, M. Optimization Approaches for the Traveling Salesman Problem with Drone. Transp. Sci. 2018, 52, 965–981. [Google Scholar] [CrossRef]
- Bouman, P.; Agatz, N.; Schmidt, M. Dynamic programming approaches for the traveling salesman problem with drone. Networks 2018, 72, 528–542. [Google Scholar] [CrossRef]
- Poikonen, S.; Golden, B.; Wasil, E.A. A branch-and-bound approach to the traveling salesman problem with a drone. Inf. J. Comput. 2019, 31, 335–346. [Google Scholar] [CrossRef]
- Phan, A.T.; Nguyen, T.D.; Pham, Q.D. Traveling Salesman Problem with Multiple Drones. In Proceedings of the Ninth International Symposium on Information and Communication Technology, Danang, Vietnam, 6–7 December 2018. [Google Scholar]
- Agárdi, A.; Kovács, L.; Bányai, T. Vehicle routing in drone-based package delivery services. In Proceedings of the 1st International Conference on Engineering Solutions for Sustainable Development, Miskolc, Hungary, 3–4 October 2019. [Google Scholar]
- Marinelli, M.; Caggiani, L.; Ottomanelli, M.; Dell’Orco, M. En route truck–drone parcel delivery for optimal vehicle routing strategies. IET Intell. Transp. Syst. 2017, 12, 253–261. [Google Scholar] [CrossRef]
- Kim, S.; Moon, I. Traveling salesman problem with a drone station. IEEE Trans. Syst. Man Cybern. Syst. 2018, 49, 42–52. [Google Scholar] [CrossRef]
- Cavani, S.; Iori, M.; Roberti, R. Exact methods for the traveling salesman problem with multiple drones. Transp. Res. Part C Emerg. Technol. 2021, 130, 103280. [Google Scholar] [CrossRef]
- Meng, S.; Guo, X.; Li, D.; Liu, G. The multi-visit drone routing problem for pickup and delivery services. Transp. Res. Part E Logist. Transp. Rev. 2023, 169, 102990. [Google Scholar] [CrossRef]
- Jeong, H.Y.; Song, B.D.; Lee, S. Truck-Drone Hybrid Delivery Routing: Payload-Energy dependency and No-Fly Zones. Int. J. Prod. Econ. 2019, 214, 220–233. [Google Scholar] [CrossRef]
- Wang, X.; Poikonen, S.; Golden, B. The vehicle routing problem with drones: Several worst-case results. Optim. Lett. 2017, 11, 679–697. [Google Scholar] [CrossRef]
- Poikonen, S.; Wang, X.; Golden, B. The vehicle routing problem with drones: Extended models and connections. Networks 2017, 70, 34–43. [Google Scholar] [CrossRef]
- Wang, Z.; Sheu, J.B. Vehicle routing problem with drones. Transp. Res. Part B Methodol. 2019, 122, 350–364. [Google Scholar] [CrossRef]
- Schermer, D.; Moeini, M.; Wendt, O. Algorithms for Solving the Vehicle Routing Problem with Drones. In Proceedings of the Tenth Asian Conference on Intelligent Information and Database Systems, Dong Hoi, Vietnam, 19–21 March 2018. [Google Scholar]
- Sacramento, D.; Pisinger, D.; Ropke, S. An adaptive large neighborhood search metaheuristic for the vehicle routing problem with drones. Transp. Res. Part C Emerg. Technol. 2019, 102, 289–315. [Google Scholar] [CrossRef]
- Liu, Y.; Liu, Z.; Shi, J.; Wu, G.H.; Pedrycz, W. Two-Echelon Routing Problem for Parcel Delivery by Cooperated Truck and Drone. IEEE Trans. Syst. Man Cybern. Syst. 2021, 55, 7450–7465. [Google Scholar] [CrossRef]
- McKinnon, A.C.; Piecyk, M.I. Measurement of CO2 emissions from road freight transport: A review of UK experience. Energy Policy 2009, 37, 3733–3742. [Google Scholar] [CrossRef]
- Desrochers, M.; Laporte, G. Improvements and extensions to the Miller-Tucker-Zemlin subtour elimination constraints. Oper. Res. Lett. 1991, 10, 27–36. [Google Scholar] [CrossRef]
- Jiang, J.; Dai, Y.; Yang, F.; Ma, Z. A multi-visit flexible-docking vehicle routing problem with drones for simultaneous pickup and delivery services. Eur. J. Oper. Res. 2024, 312, 125–137. [Google Scholar] [CrossRef]







| Notation | Description |
|---|---|
| Sets: | |
| C | |
| N | correspond to the same depot location, denoting the origin depot and destination depot, respectively. |
| A | |
| K | |
| Parameters: | |
| Maximum load capacity of each truck/drone | |
| The fixed cost of trucks/drones | |
| The per-unit cost associated with the utilization of trucks/drones | |
| The weight of the truck/drone itself | |
| E | Maximum flight distance from drone launch to retrieve |
| The package weight of customer i | |
| The distance from node i to node j | |
| M | A sufficiently large positive integer |
| Decision variables: | |
| is 0 | |
| is 0 | |
| is 0 | |
| is 0 | |
| is 0 | |
| is 0 | |
| is 0 | |
| is 0 | |
| Load carried on truck k when it leaves node i | |
| Total parcel weight carried on drone k when it arrives node i | |
| Total parcel weight carried on drone k when it leaves node i | |
| The remaining flight distance when drone k arrives at node i | |
| Instance | CPLEX | SHIA-EVNS | Gap (%) | ||
|---|---|---|---|---|---|
| A1-n8 | 333.4 | 890.6 | 336.7 | 27.42 | 0.68 |
| A2-n8 | 335.6 | 834.2 | 338.1 | 26.22 | 0.74 |
| A3-n8 | 368.9 | 783.5 | 370.5 | 26.82 | 0.43 |
| B1-n8 | 407.7 | 913.6 | 409.4 | 27.04 | 0.41 |
| B2-n8 | 412.1 | 858.3 | 414.9 | 27.83 | 0.67 |
| P-n8 | 465.4 | 927.4 | 469.7 | 28.15 | 0.92 |
| P-n8 | 438.9 | 912.7 | 438.9 | 29.20 | 0.00 |
| P-n16 | 493.2 | 1234.6 | 495.5 | 29.86 | 0.46 |
| P-n19 | 536.3 | 1385.3 | 508.9 | 30.37 | 0.51 |
| P-n20 | 638.2 * | 2643.6 | 522.5 | 31.22 | −18.1 |
| P-n21 | 694.3 * | 3600 | 544.3 | 31.95 | −21.6 |
| P-n22 | 720.1 * | 3600 | 561.8 | 32.36 | −21.9 |
| p-n23 | 785.3 * | 3600 | 587.5 | 33.05 | −25.1 |
| Avg. | 421.27 | 1706.4 | 461.36 | 29.34 | −6.29 |
| Set | Instances | GA | TPSCA | SHIA-EVNS | |||||
|---|---|---|---|---|---|---|---|---|---|
| Obj1 | T1(s) | Gap1 | Obj2 | T2(s) | Gap2 | Obj3 | T3(s) | ||
| 1 | A-n32 | 755.3 | 25.82 | 13.45% | 675.0 | 34.25 | 1.39% | 665.7 | 30.05 |
| 1 | A-n33 | 706.2 | 26.08 | 15.54% | 638.5 | 35.07 | 4.46% | 611.2 | 31.18 |
| 1 | A-n34 | 808.4 | 26.34 | 17.85% | 746.4 | 35.23 | 8.82% | 685.9 | 31.45 |
| 1 | A-n36 | 826.1 | 27.26 | 14.18% | 786.3 | 36.21 | 8.68% | 723.5 | 32.56 |
| 1 | A-n37 | 858.3 | 27.75 | 13.29% | 808.6 | 36.84 | 5.79% | 764.3 | 33.12 |
| 1 | A-n38 | 892.9 | 28.19 | 11.87% | 845.4 | 37.22 | 5.92% | 798.1 | 33.64 |
| 1 | A-n39 | 927.4 | 28.64 | 12.67% | 878.3 | 38.35 | 6.70% | 823.1 | 34.14 |
| 2 | A-n44 | 962.6 | 29.19 | 9.39% | 921.3 | 39.08 | 4.71% | 879.9 | 34.85 |
| 2 | A-n45 | 991.4 | 30.11 | 9.26% | 946.4 | 39.83 | 4.30% | 907.3 | 35.31 |
| 2 | A-n48 | 1068.5 | 30.84 | 14.69% | 971.3 | 40.28 | 4.26% | 931.6 | 36.33 |
| 3 | A-n53 | 1122.6 | 31.76 | 12.74% | 1084.5 | 41.35 | 8.91% | 995.7 | 37.18 |
| 3 | A-n54 | 1148.5 | 32.32 | 11.99% | 1107.6 | 42.64 | 8.00% | 1025.5 | 38.27 |
| 3 | A-n55 | 1186.8 | 33.08 | 13.41% | 1175.3 | 43.18 | 12.32% | 1046.4 | 38.83 |
| 4 | A-n62 | 1308.7 | 34.51 | 13.68% | 1246.8 | 44.27 | 8.30% | 1151.2 | 39.24 |
| 4 | A-n63 | 1347.5 | 35.36 | 13.62% | 1289.4 | 45.16 | 8.72% | 1185.9 | 39.87 |
| 4 | A-n65 | 1399.4 | 35.89 | 13.01% | 1308.6 | 46.27 | 5.66% | 1238.4 | 40.24 |
| 4 | A-n69 | 1477.8 | 36.25 | 13.11% | 1398.8 | 47.05 | 7.06% | 1306.5 | 41.32 |
| Avg. | 1046.37 | 30.55 | 13.07% | 989.36 | 40.13 | 6.47% | 926.44 | 35.74 | |
| Instances | Truck–Drone Collaborative | Truck-Only | N | TD | EC | |||||||
|---|---|---|---|---|---|---|---|---|---|---|---|---|
| TD | CC | |||||||||||
| A-n32 | 3 | 49.21 | 0.98 | 675.0 | −49.9 | 4 | 73.21 | 874.6 | −38.4 | 1 | 29.5% | 46.77% |
| A-n33 | 3 | 40.15 | 0.67 | 611.2 | −54.9 | 4 | 65.42 | 838.1 | −42.9 | 1 | 37.1% | 60.26% |
| A-n34 | 3 | 51.39 | 0.89 | 685.9 | −48.8 | 4 | 75.83 | 887.3 | −37.1 | 1 | 29.4% | 43.56% |
| A-n36 | 3 | 55.27 | 0.78 | 723.5 | −46.9 | 4 | 79.36 | 918.4 | −35.3 | 1 | 26.9% | 41.58% |
| A-n37 | 3 | 58.39 | 1.36 | 764.3 | −45.1 | 4 | 86.32 | 939.5 | −31.8 | 1 | 22.9% | 44.46% |
| A-n38 | 4 | 60.82 | 1.45 | 798.1 | −43.8 | 5 | 92.45 | 986.2 | −28.8 | 1 | 23.8% | 48.46% |
| A-n39 | 4 | 65.93 | 2.07 | 823.1 | −41.2 | 5 | 98.67 | 1046.5 | −25.7 | 1 | 27.1% | 46.26% |
| A-n44 | 4 | 71.78 | 1.49 | 879.9 | −38.4 | 5 | 109.7 | 1128.3 | −20.2 | 1 | 28.2% | 49.72% |
| A-n45 | 4 | 79.98 | 1.97 | 907.3 | −34.0 | 5 | 119.8 | 1209.4 | −15.1 | 1 | 33.2% | 46.19% |
| A-n48 | 5 | 86.35 | 2.32 | 931.6 | −30.6 | 6 | 128.4 | 1287.1 | −10.8 | 1 | 37.5% | 44.81% |
| A-n53 | 5 | 94.24 | 2.67 | 995.7 | −26.5 | 6 | 139.5 | 1369.5 | −5.25 | 1 | 37.5% | 43.95% |
| A-n54 | 5 | 105.9 | 2.98 | 1025.5 | −20.5 | 6 | 147.6 | 1457.3 | −1.2 | 1 | 42.1% | 35.56% |
| A-n55 | 5 | 109.4 | 3.02 | 1046.4 | −18.8 | 7 | 158.3 | 1568.2 | 4.15 | 2 | 49.8% | 40.81% |
| A-n62 | 6 | 119.3 | 3.67 | 1151.2 | −13.5 | 7 | 165.5 | 1633.4 | 7.75 | 1 | 41.8% | 34.58% |
| A-n63 | 6 | 127.5 | 3.44 | 1185.9 | −9.5 | 7 | 178.6 | 1748.1 | 14.3 | 1 | 47.4% | 36.86% |
| A-n65 | 6 | 136.4 | 3.65 | 1238.4 | −4.9 | 7 | 189.4 | 1869.3 | 19.7 | 1 | 50.9% | 35.23% |
| A-n69 | 6 | 146.1 | 1.76 | 1306.5 | −1.1 | 7 | 200.3 | 2003.7 | 25.2 | 1 | 51.2% | 35.46% |
| Avg. | 85.77 | 2.07 | 926.44 | −31.08 | 124.0 | 1280.3 | −13.02 | 36.3% | 43.20% | |||
| Carbon Trading Price | Carbon Quota | Carbon Emissions | Carbon Trading Cost | The Total Cost |
|---|---|---|---|---|
| 0.5 | 0 | 140.05 | 70.03 | 1313.31 |
| 50 | 140.05 | 45.02 | 1288.3 | |
| 100 | 140.05 | 20.02 | 1263.3 | |
| 150 | 140.05 | −4.9 | 1238.4 | |
| 200 | 140.05 | −29.9 | 1213.4 | |
| 250 | 140.05 | −54.9 | 1188.4 | |
| 300 | 140.05 | −79.9 | 1163.4 | |
| 0.75 | 0 | 134.67 | 101.0 | 1389.5 |
| 50 | 134.67 | 63.5 | 1352.0 | |
| 100 | 134.67 | 26.0 | 1324.0 | |
| 150 | 134.67 | −11.5 | 1286.5 | |
| 200 | 134.67 | −48.9 | 1249.1 | |
| 250 | 134.67 | −86.4 | 1211.6 | |
| 300 | 134.67 | −123.9 | 1174.1 | |
| 1 | 0 | 128.53 | 128.53 | 1497.2 |
| 50 | 128.53 | 78.53 | 1447.2 | |
| 100 | 128.53 | 25.53 | 1394.2 | |
| 150 | 128.53 | −21.4 | 1347.2 | |
| 200 | 128.53 | −71.4 | 1297.2 | |
| 250 | 128.53 | −121.4 | 1247.2 | |
| 300 | 128.53 | −171.4 | 1197.2 |
Disclaimer/Publisher’s Note: The statements, opinions and data contained in all publications are solely those of the individual author(s) and contributor(s) and not of MDPI and/or the editor(s). MDPI and/or the editor(s) disclaim responsibility for any injury to people or property resulting from any ideas, methods, instructions or products referred to in the content. |
© 2024 by the authors. Licensee MDPI, Basel, Switzerland. This article is an open access article distributed under the terms and conditions of the Creative Commons Attribution (CC BY) license (https://creativecommons.org/licenses/by/4.0/).
Share and Cite
Xiao, Q.; Gao, J. The Multi-Visit Vehicle Routing Problem with Drones under Carbon Trading Mechanism. Sustainability 2024, 16, 6145. https://doi.org/10.3390/su16146145
Xiao Q, Gao J. The Multi-Visit Vehicle Routing Problem with Drones under Carbon Trading Mechanism. Sustainability. 2024; 16(14):6145. https://doi.org/10.3390/su16146145
Chicago/Turabian StyleXiao, Qinxin, and Jiaojiao Gao. 2024. "The Multi-Visit Vehicle Routing Problem with Drones under Carbon Trading Mechanism" Sustainability 16, no. 14: 6145. https://doi.org/10.3390/su16146145
APA StyleXiao, Q., & Gao, J. (2024). The Multi-Visit Vehicle Routing Problem with Drones under Carbon Trading Mechanism. Sustainability, 16(14), 6145. https://doi.org/10.3390/su16146145
