Abstract
Addressing the challenges of randomness, volatility, and low prediction accuracy in rural low-carbon photovoltaic (PV) power generation, along with its unique characteristics, is crucial for the sustainable development of rural energy. This paper presents a forecasting model that combines variational mode decomposition (VMD) and an improved dung beetle optimization algorithm (IDBO) with the kernel extreme learning machine (KELM). Initially, a Gaussian mixture model (GMM) is used to categorize PV power data, separating analogous samples during different weather conditions. Afterwards, VMD is applied to stabilize the initial power sequence and extract numerous consistent subsequences. These subsequences are then employed to develop individual KELM prediction models, with their nuclear and regularization parameters optimized by IDBO. Finally, the predictions from the various subsequences are aggregated to produce the overall forecast. Empirical evidence via a case study indicates that the proposed VMD-IDBO-KELM model achieves commendable prediction accuracy across diverse weather conditions, surpassing existing models and affirming its efficacy and superiority. Compared with traditional VMD-DBO-KELM algorithms, the mean absolute percentage error of the VMD-IDBO-KELM model forecasting on sunny days, cloudy days and rainy days is reduced by 2.66%, 1.98% and 6.46%, respectively.
1. Introduction
In recent years, the world has faced urgent problems of climate change and energy depletion. Across numerous nations, renewable energy has progressively supplanted conventional fossil fuel-based energy sources [1,2]. Being one of the widely adopted and favoured renewable energy options, solar energy offers a safe, efficient, cost-effective, and eco-friendly alternative. Moreover, it benefits from ample resources. Currently, solar power generation is predominantly classified into two categories: solar thermal power generation and photovoltaic (PV) power generation. Among them, PV power generation has been experiencing significant annual growth rates. The PV power generation system is susceptible to fluctuations caused by the alternating day and night cycle and external meteorological conditions, which have strong randomness, fluctuation and uncertainty [3,4]. Integrating a large amount of PV power into the power grid presents a considerable challenge to the safe and stable operation of the power system. It increases the difficulty and complexity in power grid dispatching [5]. The precise and dependable prediction of PV power generation holds immense importance in enhancing the integration of PV power plants into the power grid, developing rational dispatching strategies, and ensuring the secure and stable operation of the power system [6]. Figure 1 illustrates the increasing attention given to integrating PV power generation prediction and rural landscape construction in the context of energy transition and rural revitalization. This integration not only helps to improve the efficiency of PV energy utilization, but also brings multiple ecological, aesthetic, and social values to rural development, as depicted in Figure 2. Consequently, conducting research on the integration of PV power generation prediction and rural landscape construction holds immense practical and theoretical significance [7].
Figure 1.
Diagram of PV system landscape construction in rural buildings in northeast China.
Figure 2.
Diagram of PV equipment applied to the roof of the rural buildings.
At present, there are three main short-term PV power forecasting methods: the physical model method [8], the statistical analysis method [9], and the combination forecasting method [10]. The physical model method relies primarily on the solar radiation transfer equation and does not require extensive historical data. However, it necessitates reliable geographic information and meteorological data for PV power stations and is susceptible to external conditions, which weakens its resistance to interference. On the other hand, the statistical analysis method establishes statistical laws for forecasting by mapping the input and output factors of the prediction model. This method requires substantial historical data to derive these patterns [11]. In recent years, intelligent statistical analysis models represented by support vector regression (SVR) and artificial neural networks (ANNs) have been widely used in the field of PV power prediction. Kernel extreme learning machine (KELM) is a new artificial intelligence prediction model. The kernel function concept is introduced into the extreme learning machine (ELM) framework, which effectively overcomes the problem of low output stability caused by the random generation of initial weights and thresholds in ELM. It improves the output stability, but its prediction performance is usually affected by parameter selection [12]. Lei et al. propose a data-driven approach for optimal power flow (OPF) based on the stacked extreme learning machine (SELM) framework [13]. SELM has a fast training speed and does not require a time-consuming parameter-tuning process compared to deep learning algorithms. However, the direct application of SELM for OPF is not tractable due to the complicated relationship between the system operating status and the OPF solutions. Zhang et al. propose a novel conditional Bayesian deep auto-encoder (CBDAC)-based security assessment framework to compute a confidence metric of the prediction [14]. This informs not only the operator to judge whether the prediction can be trusted, but it also allows for judging whether the model needs updating. However, the construction of the algorithm model is too complicated, and the operation speed of the model is slow. And similar algorithms include heuristic optimization algorithms, such as the genetic algorithm [15], particle swarm optimization [16], and the firefly algorithm [17], which are commonly employed to optimize model parameters.
In 2022, Xue et al. introduced a novel optimization algorithm known as dung beetle optimization (DBO) [18]. This algorithm replicates the behaviours exhibited by dung beetles, including rolling, dancing, foraging, stealing, and reproduction. DBO categorizes dung beetles into four distinct roles: rolling dung beetles, brooding dung beetles, little dung beetles, and thieving dung beetles. These dung beetles explore the problem space using diverse search strategies. In their work, Shen Q et al. [19] introduce a multi-strategy enhanced dung beetle optimizer (MDBO) designed explicitly for the three-dimensional path planning of uncrewed aerial vehicles. The outcomes of their study indicate that MDBO exhibits enhanced accuracy and stability in optimization. It outperforms other metaheuristics in terms of discovering safe and optimal paths across various scenarios. In [20], the improved DBO algorithm is employed to accurately determine the parameter values of the three-parameter Weibull model for door components. This achievement serves as a crucial theoretical foundation for optimizing preventive maintenance decisions in this context. In [21], a DBO algorithm called quasi-oppositional learning and Q-learning (QOLDBO) is proposed as a cost-effective solution for optimization problems. Experimental performance tests demonstrate that QOLDBO exhibits favourable performance on benchmark test functions as well as the CEC 2017 dataset. Additionally, the algorithm’s effectiveness is verified through its application to various classical practical engineering problems. DBO demonstrates remarkable strengths in global search capability and optimization accuracy compared to other optimization algorithms. However, it is prone to getting trapped in local optima. Thus, enhancing the traditional DBO algorithm by integrating relevant optimization strategies is crucial. This paper proposes the integration of a social learning strategy [22], direction-following strategy [23], and environment perception probability [24] to enhance DBO. By considering both the exploration and exploitation aspects of the algorithm, the aim is to improve the optimization performance of the DBO algorithm.
In this paper, a prediction model named VMD-IDBO-KELM is introduced. The paper is structured as follows:
- Section 2 focuses on obtaining an improved sample set of PV power generation; the Gaussian mixture model (GMM) is employed to cluster the data, resulting in similar daily samples categorized under different weather conditions;
- Section 3 addresses the volatility and randomness of PV power generation; the variational mode decomposition (VMD) technique is adopted to smooth the original PV power generation sequence, generating several subsequences with significant regularity to address these challenges; subsequently, KELM models are established for each subsequence;
- Section 4 presents the design of the improved dung beetle optimization (IDBO) algorithm, which further optimizes the parameters of the KELM models;
- Section 5 combines the improved algorithm and establishes a short-term PV power generation prediction model based on VMD-IDBO-KELM; the predicted values of the subsequences are reconstructed to obtain the final prediction result;
- Section 6 compares the effectiveness and superiority of the proposed VMD-IDBO-KELM model with the VMD-KELM and VMD-DBO-KELM models using example data.
These sections aim to demonstrate the effectiveness and superiority of the VMD-IDBO-KELM model in predicting short-term PV power generation.
2. Modelling of Similar Day Selection
2.1. Correlation Analysis of Meteorological Factors
The Spearman correlation coefficient (SCC) is a statistical measure used to assess the strength and direction of the relationship between feature vectors and target vectors [25]. Compared to the Pearson correlation coefficient (PCC), SCC does not require testing the normality of the data and has a broader range of applicability. This makes SCC a more suitable measure for showcasing the correlation between the two vectors [26]. Different from PCC, SCC computations use data as “rank”, that is, according to the ranking of vector values rather than the value itself, the specific expression ρs can be written as follows:
where N represents the total number of samples; χi denotes the sequential number of meteorological aspects, including temperature, irradiance, relative humidity, wind speed, and so on; υi stands for the count of PV power levels; represents the mean grade of specific meteorological factor; while indicates the average grade of PV power.
The value ρs is between −1 and 1. If ρs > 0, this means that there is a positive correlation between the feature vector and the target vector. Otherwise, there is a negative correlation. When the absolute value of ρs approaches 1, it signifies a stronger correlation between the two vectors. Conversely, if the absolute value deviates from 1, it indicates a weaker correlation. In this paper, the measured rural PV power generation data in northeast China in the Xihe Energy Meteorological Big Data Platform [27] are used for correlation analysis, in which meteorological factors include temperature, relative humidity, horizontal radiation, scattering, wind speed and wind direction. Table 1 presents the SCC between meteorological factors and PV power generation.
Table 1.
The SCC between PV power generation and meteorological factors.
Table 1 shows horizontal radiation, and scattering strongly correlates with the SCC of PV power of 0.95 and 0.82, respectively. It is followed by temperature and wind speed, while relative humidity and wind direction have little correlation, so four highly correlated meteorological factors, namely horizontal radiation, scattering, wind speed and temperature, can be used as input characteristics.
2.2. Gaussian Mixture Model Selects Similar Days
GMM is a clustering technique that operates on the principles of the probability theory. The fundamental principle of GMM can be summarized as follows. Given a dataset that conforms to a Gaussian distribution with K unknown parameters, the expectation-maximization (EM) algorithm is utilized to estimate the parameters of various Gaussian distributions and construct a Gaussian mixture model. The goal of clustering is achieved by assigning samples that adhere to the same distribution to a specific cluster. Traditional hierarchical clustering, fuzzy clustering and other methods rely too much on the measurement of the starting point and distance, while GMM clustering only allocates clusters according to probability, and can better capture the correlation and dependence between attributes [28]. Therefore, this paper adopts the GMM clustering method to select the PV power similarity day. The algorithm follows the specific steps outlined below.
(1) Start by assuming the total number of samples as N and the desired number of GMM clusters as K. Randomly initialize the mean value u0, covariance ∑0, and weight w0 parameters.
(2) The EM algorithm consists of an expectation step (E-step) and a maximization step (M-step). In the E-step, calculate the probability ζk(xi) that each sample point xi (i = 1, 2, ..., N) belongs to the k-th (k = 1, 2, ..., K) distribution. The probability ζk(xi) can be expressed as follows:
where N(xi|ui,∑k) is the Gaussian probability density function; and uk, ∑k and wk are the mean value vector, covariance vector and weight vector of the k-th distribution, respectively.
(3) Using M-step to solve the parameters of each distribution and update, the expressions for uk, ∑k, and wk can be described as follows:
(4) Repeat steps (2) and (3) until the parameters converge.
(5) The Gaussian mixture model is obtained, and the sample points are finally clustered.
We consider the mean value and standard deviation as the feature indicators to obtain the clustering feature vector. The four meteorological factors that exhibit a strong correlation with PV historical power and PV historical power from Table 1 are converted into daily feature indicators. This results in the clustering feature vector being represented as Υi = [Υi,1, Υi,2, ···, Υi,10] (where i = 1, 2, ..., N). In this study, the Bayesian Information Criterion (BIC) was utilized to determine the optimal number of clusters for GMM, which was found to be 3 [29]. Based on the fluctuation characteristics of PV power, the data were classified into three weather types, sunny, cloudy, and rainy, creating a sample of PV power on similar days.
3. Prediction Model Principle Analysis
3.1. Variational Mode Decomposition (VMD)
VMD is an adaptive decomposition algorithm designed for non-stationary signals. Its fundamental principle is to exploit the presence of a unique centre frequency bandwidth for each mode. By minimizing the sum of modal component bandwidths, the original signal is decomposed into a set of intrinsic mode functions, each characterized by a specific bandwidth. The specific steps of the VMD algorithm are described as follows.
(1) The original signal f is decomposed into K finite bandwidth mode functions. Each mode function, represented as μk(t), undergoes an analysis using the Hilbert transform [30], resulting in the computation of its unilateral spectrum.
(2) The centre frequency wk of each mode is adjusted by introducing an exponential term to its corresponding mode function μk(t). This modulation process brings the frequency spectrum of each mode to the base bandwidth.
(3) The fundamental bandwidth of each mode function μk(t) is estimated by calculating the gradient two norms of the demodulation signal [31]. A variational model with constraints is then constructed, as expressed in (6) below:
where {μk} represents the set of mode functions and {wk} represents the set of centre frequencies; denotes the partial derivative operator, while * represents the convolution operator; and δ(t) represents the unit impulse function.
To transform the problem into a variational model with unconstrained conditions and simplify the calculations, the Lagrange operator η(t) and a quadratic penalty term κ are introduced. This leads to the augmented Lagrangian expression, as shown in Equation (7) below.
The “saddle point” of the augmented Lagrangian expression is computed using the alternating direction multiplier method [32]. The parameters
and
are updated iteratively until the optimal solution of the variational model is achieved. The update expression for these parameters is as follows:
where is the Wiener filter of the current residual ; the parameter
represents the centre frequency of the power spectrum for the current mode function; , , , and
(w) represent the Fourier transform of ξ(t), μ(t), η(t), and , respectively.
3.2. Kernel Extreme Learning Machine (KELM)
KELM is extended on the basis of traditional ELM, replacing random mapping with kernel mapping, and then transforming high-complex and low-dimensional space problems into high-dimensional space inner product problems. Compared with ELM, KELM has more robust network output stability and generalization ability [33].
The expression for the N groups of different samples {(yi, ti)}(i = 1, 2, ..., N), with M ELM hidden layer nodes and the incentive function l(·), can be described as follows:
where F represents the hidden layer output matrix; β denotes the output weight matrix; and D represents the target output matrix.
To enhance the stability and generalization capability of the model, a regularization coefficient C is introduced in the ELM learning process, which can be viewed as finding the optimal solution using the least squares method [34]. This is achieved through the following equation:
where F+ is the generalized inverse matrix of F.
According to Mercer’s condition [35], the kernel matrix can be defined as follows:
where K(·) represents the kernel function. In this study, we opt for the Gaussian kernel function, as it is defined as follows:
where l is the nuclear parameter.
By combining (12) and (13), we can obtain the predictive output function for KELM as follows:
where I represents the identity matrix.
It is evident from Equation (15) that the kernel parameter l and regularization coefficient C significantly influence the prediction performance of KELM.
3.3. Traditional Dung Beetle Optimization Algorithm (DBO)
DBO classified dung beetles into four categories based on their social division: roller dung beetles, caretaker dung beetles, small dung beetles, and thief dung beetles. Each category employs distinct strategies to update their positions and find optimal solutions. Moreover, the population distribution of these four dung beetle species can be assigned as 20%, 20%, 25%, and 35%, respectively [36].
The location of dung beetle populations can be designed as X = {Xi|i = 1, 2, ..., Nall}; Nall is the total number of dung beetles. For the purpose of differentiation, the locations of the four dung beetle species are indicated by different symbols, R = {Re|e = 1, 2, ..., Nroll}, B = {Bm|m = 1, 2, ..., Nbrood}, L = {Lh|h = 1, 2, ..., Nlittle}, T = {Tz|z = 1, 2, ..., Nthief}, where, R, B, L and T represent the species of rolling dung beetles, brooding dung beetles, little dung beetles, and thief dung beetles, respectively, satisfying X = R ∪ B ∪ L ∪ T; Nroll, Nbrood, Nlittle, and Nthief are the total number of the four species of dung beetle, respectively, and satisfy Nroll + Nbrood + Nlittle + Nthief = Nall.
Each dung beetle’s position serves as a solution to the optimization problem, with the dimension of the problem denoted as D. The corresponding objective function is Xi, where Xi = {xi,1, xi,2, ..., xi,D}. The individual fitness value, i.e., the optimal value, can be expressed as f(Xi). Similarly, the optimal values of Re, Bm, Lh, and Tz can be expressed as f(Re), f(Bm), f(Lh), and f(Tz), respectively. According to different strategies, DBO updates the positions of dung beetles with other roles. The assessment of dung beetles’ survival ability is based on their fitness. The optimization effect is considered better when the fitness value is smaller, indicating improved position and increased survival ability for the dung beetles. The mathematical representation of the optimal position is denoted as Xo, while the worst position is denoted as Xw, which can be expressed as follows:
From (16), the final best position Xo is the optimal solution of the problem.
3.3.1. Rolling Dung Beetles Position Update
Dung beetles roll animal dung into balls and use celestial cues such as the sun and moon to navigate through them. When confronted with obstacles, dung beetles usually climb onto the balls and dance to decide on a new direction.
In order to simulate the ball-rolling behaviour, dung beetles move in the given direction in the entire search space, and the position update of dung beetles is divided into two situations with and without obstacles. When ε < ψ is an obstacle-free state, where ε is a random number with ε ∈ [0, 1], ψ = 0.9 is the obstacle constant of the position. The position update function can be expressed as follows:
where t represents the number of current iterations;
denotes the position of the e-th dung beetle after the t-th iteration; τ is a constant and τ ∈ (0, 0.2], indicating the position deflection coefficient; σ is a natural coefficient used to simulate the influence of some natural factors on the moving direction, when ε < ϕ, σ = 1, otherwise, σ = −1, where ϕ is a random number and ϕ ∈ [0, 1]; u is a constant and u ∈ [0, 1]; Xw represents the global worst position; and Δx is used to simulate the change of illumination intensity, the higher the value of Δx, the weaker the light source and the more curved the dung beetle’s path.
When ε ≥ ψ, in the obstructed state, and the tangent function is introduced to simulate the behaviour of dung beetles to determine the deflection angle and change direction by dancing. The position can be updated as follows:
where θ is the deflection angle in radians, which is a random number and θ ∈ [0, π], and if θ are 0, π/2, or π, the position will not be updated.
In (19), is the candidate position obtained by the individual in the (t + 1)-th iteration, which will be compared with the historical optimal position in the end, and the best position will be retained, i.e., if , ; otherwise, . The position updating of other dung beetles is similar to the above process and will not be repeated.
3.3.2. Brood Dung Beetles Position Update
The dung balls that dung beetles collect are used partly as food, and the other part is pushed to a safe place to lay eggs, which are used as brood balls to raise the next generation. The boundaries of the dung beetles’ breeding areas are strictly restricted as follows:
where Ub* and Lb* represent the upper and lower bounds of the spawning area; Xb* represents the current optimal position of all dung beetles in the population; Q = 1 − t/T, T represents the maximum number of iterations; Ub and Lb represent the upper and lower bounds of the optimization problem, respectively.
After the brooding ball is rolled to the determined spawning area, the female dung beetle will lay eggs in it, and each female dung beetle will only lay one egg in each iteration. The position of the brooding ball can be updated as follows:
where
represents the position of the m-th brooding ball after the t-th iteration; a1 and a2 are two independent random vectors of size 1 × D; and D is the dimension of the solution of the optimization problem.
3.3.3. Little Dung Beetles Position Update
After the little dung beetles mature, they will drill out to find food, so it is necessary to establish the optimal feeding area to guide them to search for food in order to achieve the purpose of space exploration. The optimal foraging area boundary can be defined as follows:
where Xb represents the global optimal position; and Ub′ and Lb′, respectively, represent the upper and lower bounds of the optimal foraging area. The definitions of Q, Lb and Ub are the same as in (20). And the updated position of little dung beetles can be described as follows:
where
is the position of the h-th little dung beetle after the t-th iteration; c1 is a random number with normal distribution and c1 ∈ [0, 1]; and c2 is a random vector with components between 0 and 1.
3.3.4. Thief Dung Beetle Position Update
Not all dung beetles will push the ball hard; some dung beetles will steal the dung ball of the rolling dung beetles, assuming that the global optimal position is the best place for them to steal, then the position update formula of the thieving dung beetles can be expressed as follows:
where Xb represents the global optimal position; Xb* has the same meaning as described in (20); represents the position information of the z-th thief dung beetle after the t-th iteration; S is a constant and set to 0.5; p is a dimensional random row vector with each component between 0 and 1.
3.3.5. Traditional Dbo Algorithm Steps
Step 1. Let T represent the maximum number of iterations, and N represent the population size. We begin by randomly initializing the population and then proceed to calculate the fitness value for each individual in the population.
Step 2. If λ < γ, update the position of the rolling dung beetle in an obstacle-free state using (17). Otherwise, update its position in an obstacle state according to (19), where λ is a random number within the range [0, 1] and γ = 0.9.
Step 3. Update the position of the brooding dung beetle position based on (21), considering the upper and lower bounds specified in (20) to restrict the new position.
Step 4. By implementing (23), adjust the position of the small dung beetle.
Step 5. Revise the thieving dung beetle’s position using (23).
Step 6. Update the global optimal position Xb and the worst position Xw.
Step 7. Judge whether the algorithm reaches the number of iterations; if so, stop running and return to the optimal position, that is, the optimal solution of the problem; otherwise, go back to Step 2.
4. Improved Dung Beetle Optimization Algorithm (IDBO)
Despite the satisfactory optimization performance of DBO, it still faces challenges in terms of limited global exploration ability and susceptibility to local optima. Achieving accurate optimization of problem solutions necessitates an algorithm that possesses both strong global search capability and effective local development ability. Insufficient global exploration ability tends to confine the algorithm’s optimization process to local optima, whereas inadequate local development ability inhibits the attainment of higher accuracy in the global optimal region.
Therefore, this paper improves the traditional DBO algorithm and enhances its optimization performance by improving its social learning strategy, direction-following strategy, and environment perception probability. These three aspects are described in detail below.
4.1. Social Learning Strategies
During the process of updating their locations, each individual dung beetle primarily relies on its own historical location information for exploration. However, due to the limited information exchange among group members, the problem of space exploration becomes excessively random, resulting in a low efficiency of global exploration. To address this issue, this paper introduces a social learning strategy to guide the position update of dung beetles, aiming to enhance the global search capability of the traditional DBO.
Different from the traditional DBO algorithm, in this strategy, the probability of the dung beetle encountering an obstacle is assumed to be γ = 0.5. Let λ be a random number and λ ∈ [0, 1]. When λ ≤ γ, a random number θ is generated and θ ∈ [0, π]; the position will not be updated when θ = 0, π/2, π. Otherwise, the position is updated as follows:
where Rb represents the candidate position of the optimal rolling dung beetle at this time after the t-th iteration, and the definition is shown in (26); represents the average candidate position of other rolling dung beetles at this time, and the definition is shown in (27), and (25) is used to replace (19).
When the random number λ > γ is an obstacle-free state, the position is updated as follows:
where Rrand represents the candidate position of a randomly selected dung beetle at this time; Rω represents the candidate position of the worst dung beetle at this time after the t-th iteration, similar to the Rb in (25); Δx represents the Chebyshev distance between
and Rω after the t-th iteration of the e-th rolling dung beetle; u is a constant set to 2; and the values of parameter σ and k are the same as those of traditional DBO. In practice, (28) can be used to replace (17) in IDBO.
After the introduction of the above strategy improvements, the internal social nature of dung beetles enables individuals to make full use of not only their own information, but also the information shared by other dung beetles for position iteration. This not only improves the global exploration efficiency, but also helps the DBO algorithm to jump out of the local optimal, laying a foundation for the accurate optimization of other subpopulations in local space.
4.2. Direction-Following Strategy
In the traditional DBO algorithm, although the stealing behaviour of the thieving dung beetle is mentioned, the interaction between the thieving dung beetle and the pushing dung beetle is not directly established. The position updates of the two groups are relatively independent, and the necessary information exchange is lacking, leading to the formation of information islands and local optimization. In this section, the formula will be used to establish the interaction between the thieving dung beetle and the rolling dung beetle as an improved method to avoid the algorithm falling into the local optimum and improve the optimization accuracy of the DBO.
In order to improve the local development ability of the DBO, all the thieving dung beetles adopted the direction-following strategy to update the position again after updating it. Before stealing, thieving dung beetles need to observe the rolling dung beetles, and randomly select a pushing dung beetle according to their respective observations to follow it in order to carry out the subsequent stealing behaviour. Assuming that the global optimal position is the most suitable position for observation, the orientation-following strategy is used to update the position as follows:
where Xb is the global optimal position; Rtarget is the position of the target rolling dung beetle randomly selected by the thieving dung beetle; direction (Rtarget − Xb) represents the unit vector moving from the optimal position to the position of the randomly selected rolling dung beetle; r21 and r22 are random numbers and r21, r22 ∈ [0, 1]; and δ is the moving step.
The proposed direction-following strategy in the two-dimensional case is shown in Figure 3. The solid point represents the possible position of the rolling dung beetle; the globally optimal position vector, the position vector of a randomly selected rolling dung beetle, and are denoted as . From the synthesis and decomposition of motion, we can see that if δ ≥ 0, then represents a new position vector after moving δ unit distances from along the direction . According to probability theory [37], the probability of rolling dung beetles distributing in all directions around the optimal position is equal. Therefore, by adopting this strategy, thieving dung beetles can move from the global optimal position along the direction with a particular step length to fully exploit the area that is most likely to find the optimal solution, i.e., the dotted circle area in Figure 3. is the new position vector obtained by using the direction-following strategy, which will be compared with the previously obtained position, and the preferred position will be retained.
Figure 3.
Schematic diagram of the direction-following strategy.
4.3. Environmental Perception Probability
Although the direction following the strategy proposed above can improve the local development ability of the algorithm, frequent implementation will consume extra operation time. It may not achieve better results, so the balance between performance and time consumption should be considered. Therefore, only when the thieving dung beetle is stuck in the original optimization strategy will it adopt the direction-following strategy to establish the interaction with the rolling dung beetle with a certain probability. In summary, it is necessary to set a threshold to control the thief’s dung beetle.
Assuming that there is enough food, the thieving dung beetles do not need to steal. When there is not enough food, the thieving dung beetles have a sense of the lack of food in the environment and change their search strategy. The basis for judging whether the food is sufficient is whether the thieving dung beetles have obtained a better solution in the new iteration than in the previous iteration. Therefore, before the thieving dung beetles update their position, a counter count is not obtained in the latest iteration as follows:
where Nthief is the number of thieving dung beetles. After obtaining the environmental perception probability, a random number p ∈ [0, 1] is generated; when p < prob, the thieving dung beetles use the direction-following strategy to prepare for stealing.
4.4. Time Complexity Analysis of IDBO
In this paper, the time complexity of the two algorithms before and after improvement is analysed by progressive analysis [38]. Assuming that the population size is N, the maximum number of iterations is Tmax, the problem size is D, and the time complexity of population initialization is O(N); the time complexity of individual fitness calculation and location update is O(N × Tmax + N × Tmax × D). Then, the time complexity of traditional DBO is as follows:
For IDBO, the improvement of the social learning strategy has little influence on the complexity. Assuming that the average call probability of the improvement of the direction-following strategy is p, the complexity of improvement is O, so the time complexity of IDBO can be obtained as follows:
Therefore, compared with traditional DBO, the time complexity of IDBO is an order of magnitude, and it does not increase too much time complexity.
4.5. Optimization of KELM by IDBO Algorithm
The prediction performance of KELM is influenced by two key factors: the kernel parameter, l, and the regularization coefficient, C. During KELM’s training and learning process, the kernel parameter, l, can be adjusted to modify the empirical risk ratio and confidence interval. On the other hand, the regularization coefficient, C, is used to control the training error ratio range. If these parameters are not chosen appropriately, the generalization capability of KELM may significantly decline, leading to an unstable network output. Thus, optimising the kernel parameter and regularization coefficient of KELM is crucial.
In this paper, the IDBO algorithm is employed to optimize the key parameters of KELM, specifically the kernel parameter and regularization coefficient. By utilizing the IDBO algorithm, the optimal parameter combination (l, C) is determined. The detailed optimization process is as follows.
Step 1. The process begins by initializing the parameters and population. The maximum number of iterations, Tmax, is set, along with the population size, N. The population is randomly initialized, and the corresponding fitness value for each individual is calculated.
Step 2. Two conditions are considered to update the position of the rolling dung beetle. If λ is less than γ, indicating that the dung beetle is in an obstacle state, the position is updated using Equation (25). However, if λ is greater than or equal to γ, the position is updated using Equation (28). Here, λ is a random number that satisfies λ ∈ [0, 1], and γ is set to 0.5.
Step 3. The position of the brooding dung beetles is updated by (21), and the upper and lower bounds Ub* and Lb* in (20) are used to generate boundary constraints for the new position.
Step 4. By (23), the position of the little dung beetle is updated.
Step 5. Set the counter count, update the position of the thieving dung beetle by (24), and record the number of thieves who have not obtained a better position.
Step 6. According to (32), the environmental perception probability prob is calculated to generate a random number p. If p < prob, the thieving dung beetle sub-population updates its position again according to (30).
Step 7. Update the global optimal position Xb and the worst position Xw.
Step 8. Determine if the algorithm has reached the maximum number of iterations, Tmax. If it has, stop running it and return the optimal information. If not, proceed to Step 2.
Step 9. Input the obtained results into KELM.
Figure 4 depicts the complete optimization process.
Figure 4.
Flow chart of the IDBO-KELM algorithm.
5. Short-Term PV Power Generation Based on VMD-IDBO-KELM Power Prediction Model
Figure 5 presents the process of short-term power generation prediction using the VMD-IDBO-KELM algorithm. The outlined steps are as follows.
Figure 5.
Flow chart of short-term PV power generation prediction based on VMD-IDBO-KELM.
Step 1. Preprocessing the original PV power generation data involves correcting and replacing abnormal values. The dataset is then divided into a training set and a test set for further analysis and model development.
Step 2. Use SCC to analyse the correlation of meteorological factors and establish cluster feature vectors; use the GMM clustering method to select the similar days of PV power generation and obtain similar day samples of three weather types.
Step 3. Similar daily samples of different weather types are decomposed into PV power subsequences with varying scales of frequency by the VMD algorithm [IMF1, IMF2, ..., IMFK].
Step 4. Establish KELM prediction models for each subsequence.
Step 5. The parameters of the KELM are optimized using the IDBO algorithm, leading to the development of the IDBO-KELM prediction model.
Step 6. The prediction results of different subsequences are overlapped and reconstructed to obtain the final prediction result.
Step 7. The prediction results obtained from different models are analysed and compared to assess their performance and effectiveness. Statistical tests or visual representations can also be employed to carry out further analysis and compare the performance of the different models.
6. Case Analysis
6.1. Types of Graphics
In this paper, the root mean square error XRMSE, mean absolute error XMAE and mean absolute percentage error XMAPE are selected as evaluation indexes to evaluate the prediction performance of different models better. The specific expression is as follows:
where qi represents the actual PV power, while denotes the predicted PV power.
6.2. Characteristic Parameters of PV System
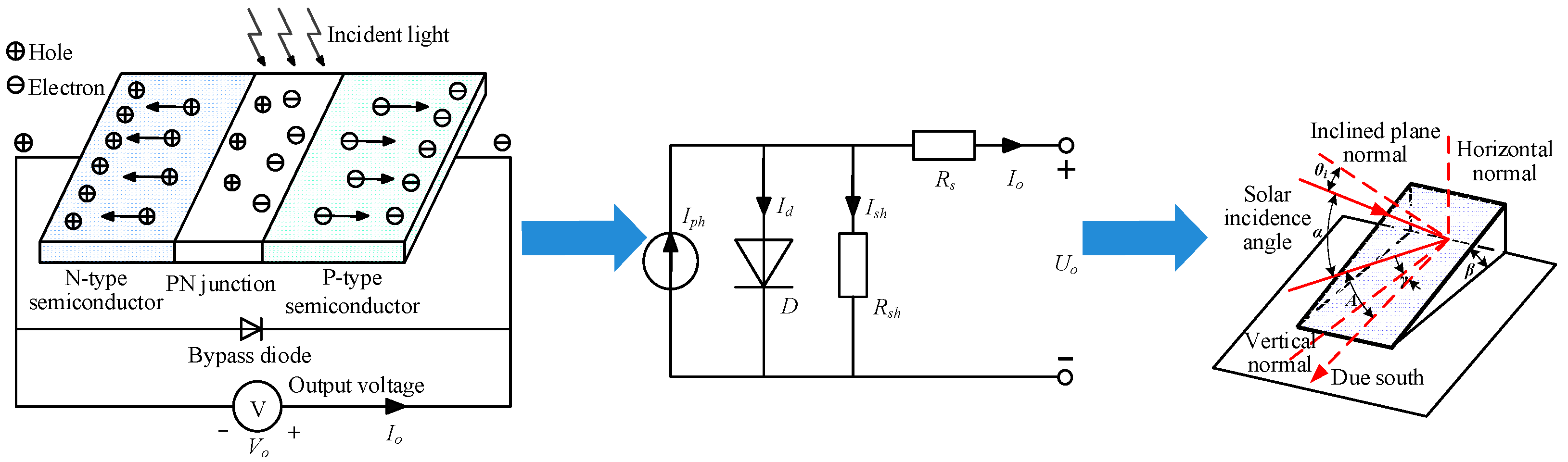
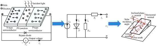
In order to support the practical application of our short-term PV prediction algorithm, we established a single PV panel model in Figure 6, and presented the basic performance parameters and optimal installation layout parameters of PV system components here, as shown in Table 2 below, where D is the equivalent diode of the PV panel, Rsh and Rs are the identical parallel and series resistances of the circuit, respectively, Id and Ish are the currents flowing through Rsh and Rs, Iph is the current generated by the photoelectric effect, and VO and IO are the output voltage and current of the PV circuit, respectively.
Figure 6.
The PV panel unit model.
Table 2.
Single PV panel parameters.
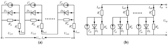
From the PV modules in Figure 6, the PV array can be further constructed according to the required PV power generation. See Figure 7 for details. Figure 7a considers that the current Iosi (i = 1, 2, ..., n) passing through each phase of PV panels satisfies ∑Ioi = Io in Figure 7, where Ios is the total output voltage after the series connection. This corresponds to the total output voltage Uos, which satisfies ∑Uosi = Uos/n while ignoring the quality difference between PV panels, where Uosi is the output voltage of each phase. In Figure 7b, the characteristics of each PV panel are identical. If the output current of the k-phase PV panel is Iop and the output voltage is Uop, the passing current of each phase PV panel will satisfy Iopj = Iop/k (j = 1, 2, ..., k).
Figure 7.
The PV array model: (a) equivalent circuit model for n-phase PV panels in series; (b) equivalent circuit model of k-phase PV panels in parallel.
Remark 1.
In the present work, the VMD-IDBO-KELM model does not integrate the effects of PV ageing or dusting, despite recognizing their potential impact on performance. Future research should include these factors, potentially through collecting long-term performance data and training models to predict their influence on power generation. The current model’s concentration on short-term weather-driven predictions does not address long-term changes, such as ageing or dust accumulation, which would require additional research to enhance model accuracy and utility.
6.3. Data Description and Pretreatment Analysis
For instance, the measured data of rural PV power generation in northeast China from the Xihe Energy Meteorological Big Data Platform can be used as an example [27], the actual data used can be found in Supplementary Materials Table S1; the power generation and meteorological data in the first 60 days of the second quarter of 2016 are taken as the original samples. Since PV power generation systems usually only contribute during the daytime, the data in the time period from 06: 30 to 18: 30 are selected, and the sampling interval is 5 min, with a total of 145 sampling points every day.
The Gaussian clustering model is employed to identify similar days within the original PV power samples. This process selects 22 sunny days, 20 cloudy days, and 18 rainy days as similar day samples.
To create a balanced dataset for training and testing, four days are randomly chosen as test samples from the similar day samples of each weather type. The remaining days from the identical day samples are then used as training samples for model development. This approach ensures that the dataset encompasses diverse weather conditions and promotes a robust and reliable prediction model.
Using VMD to smooth the similar daily samples of different weather types, some subsequences with strong regularity are obtained. In order to obtain a more reliable dataset and fully explore the inherent law of PV power series, it is very important to choose the appropriate modal decomposition number k. After many simulation experiments, for different weather types of PV power generation sequences, when k = 6, the subsequences obtained by VMD decomposition have no obvious mode-aliasing phenomenon, and the dataset training model established by this method has better prediction effect. To ensure the accuracy of the original sequence decomposition, several parameters are set accordingly. The penalty parameter is set as α = 2000, the initial central frequency as ω0 = 1, and the convergence criterion tolerance as τ = 1 × 10−7.
Taking the PV power sequence during rainy days as an example, Figure 8 displays the subsequence obtained through VMD decomposition. The decomposition results provide a detailed representation of the underlying patterns and components within the time series data.
Figure 8.
VMD decomposition results of PV power generation sequence on rainy days.
As can be seen from Figure 8, VMD decomposes the PV power generation sequence on rainy days, and five components with strong regularity are obtained. IMF1, as the dominant component, has the characteristics of low frequency and a smooth curve, which can represent the overall trend of PV power generation. In contrast, the other components have different frequencies, but the overall performance is a certain regularity, which can reflect the local characteristics of the PV power sequence.
6.4. Display and Analysis of Short-Term PV Prediction Results
To evaluate the effectiveness and superiority of the proposed prediction model, this study compares it with several other commonly used prediction models, namely VMD-KELM, VMD-DBO-KELM, and VMD-IDBO-KELM. The model parameters are set as follows. For the unoptimized VMD-KELM model, the kernel parameter is set to l = 1000, and the regularization coefficient is set to C = 100. As for the DBO and IDBO algorithms, the probability of encountering obstacles is set to γ = 0.5; the deflection coefficient is set to k = 0.1; the constants u and S are, respectively, set to 0.3 and 0.5; and the population size N = 50, the maximum number of iterations Tmax = 100, and the dimension D = 2. The search interval for the kernel parameter l and regularization coefficient C is set within the range of [102, 105]. These parameter settings enable a comprehensive comparison of the different prediction models.
To ensure the reliability of the results, consistent inputs are employed for all models. The input consists of a total of seven features, which include the four meteorological factors at the corresponding time and the historical PV power value in the first 15 min; the output is the PV power value at the corresponding time. To mitigate the impact of varying orders of magnitude among different input features, the sample dataset is normalized to [0, 1] before training the models.
The PV power generation for three different weather types, namely sunny, cloudy, and rainy, is predicted separately, resulting in distinct prediction outcomes across different models. The XRMSE, XMAE, and XMAPE metrics are calculated for each model to assess their respective performance. The prediction results are then compared and analysed. Figure 9, Figure 10 and Figure 11 showcase the forecast results of PV power for different weather types, as obtained from various prediction models.

Figure 9.
Sunny weather forecast results: (a) sunny weather (21 January 2020); (b) sunny weather (22 January 2020); (c) sunny weather (31 January 2020).
Figure 10.
Cloudy weather forecast results: (a) cloudy weather (23 January 2020); (b) cloudy weather (24 January 2020); (c) cloudy weather (25 January 2020).
Figure 11.
Rainy weather forecast results: (a) rainy weather (16 January 2020); (b) rainy weather (17 January 2020); (c) rainy weather (18 January 2020).
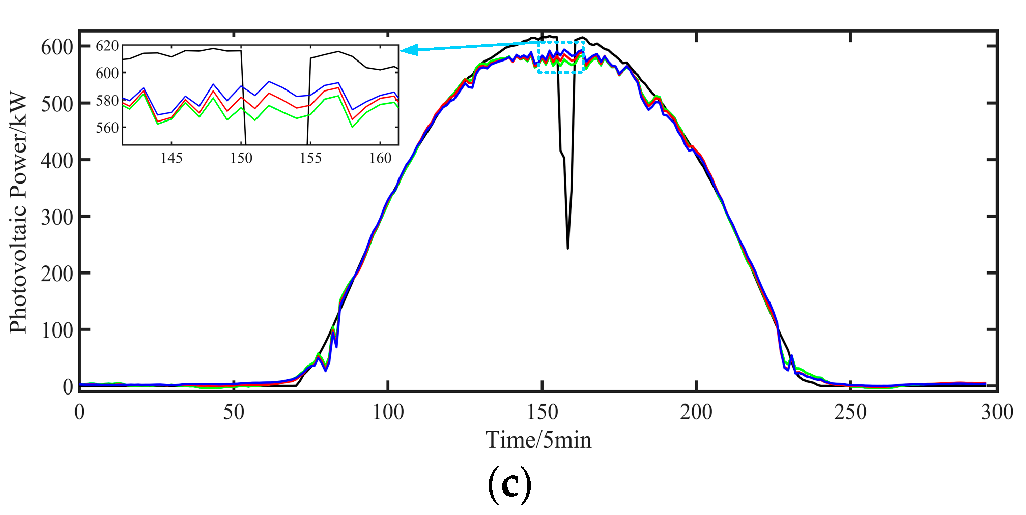
Our analysis provides a forecast evaluation for three consecutive days of data for each distinct weather type. Figure 9a–c illustrate the frequency fluctuation of the PV power curve specifically for sunny weather. Notably, the power fitting curves generated by different prediction models closely align with the actual curves, demonstrating their adaptability to PV power forecasting under sunny weather conditions. Consequently, these models offer more accurate predictions of PV power in such weather types.
Remark 2.
Regarding the prediction accuracy depicted in Figure 9, it is essential to clarify that a prediction accuracy of 100% is not feasible in practical applications and is not claimed in this study. The figure and the text should be interpreted with caution. The results presented indicate the models’ performance under the specific experimental conditions used in the study. However, it must be emphasized that real-world conditions are inherently more complex and variable, leading to a distribution of possible outcomes that any model cannot perfectly predict. The models discussed in this work, including the proposed VMD-IDBO-KELM approach, are subject to various limitations and challenges. It is essential to interpret the reported performance in the context of these limitations and as part of an ongoing effort to refine and improve forecasting methods for renewable energy systems like photovoltaic power generation.
From Figure 10a–c, the power-fitting curve obtained by different models greatly differs from the actual curve. This is because the PV power under the cloudy weather type is affected by clouds and light radiation, and the curve as a whole presents strong volatility and randomness, so the adaptability to different models is also different. The power-fitting curves obtained by the traditional VMD-KEL and VMD-KEL-DBO prediction models have slightly larger deviations from the actual curves, and the optimized power-fitting curves obtained by using IDBO are better than the traditional models.
It can be seen from Figure 11a–c that the frequency fluctuation and randomness of the PV power curve on rainy days are large, and the overall amplitude is smaller than that on sunny and cloudy days. There is a significant discrepancy between the power-fitting curve generated by various prediction models and the actual curve. However, in contrast, the power-fitting curve derived from the IDBO-optimized VMD-KELM model demonstrates a closer resemblance to the exact curve. This observation suggests that the optimized VMD-KELM model exhibits more robust predictive capabilities.
Figure 12 provides the fitness curve of VMD-KELM, VMD-DBO-KELM, and VMD-IDBO-KELM algorithms under different weather conditions. It can be seen that the fitness of the VMD-IDBO-KELM model begins to decline at the 12th iteration, and reaches 3.3 × 104 at the 80th iteration. The fitness value of VMD-DBO-KELM decreased for the first time in the 18th iteration, decreased for the second time in the 52nd iteration, and remained at 3.33 × 104.; compared with the VMD-KELM model, the fitness value declined only in the 54th iteration, and finally maintained a slight 3.34 × 104.

Figure 12.
The number of iterations of different algorithms: (a) sunny weather (31 January 2020); (b) cloudy weather (25 January 2020); (c) rainy weather (18 January 2020).
On cloudy days, the fitness of the VMD-IDBO-KELM model can reach 2.9 × 104 in 90 iterations; in contrast, the fitness value of the VMD-DBO-KELM algorithm only reached 2.93 × 104 in the 72nd iteration, while the fitness value of VMD-KELM algorithm only reached 2.98 × 104 in the 45th iteration.
The iteration speed is faster on rainy days under the VMD-IDBO-KELM model, which can reach the optimal adaptation value 2.3 × 104 within 30th iterations. In contrast, the iteration speed of the VMD-KELM and VMD-DBO-KELM models are relatively slow, and the VMD-KELM model only reaches the optimal fitness value of 2.36 × 104 at the 48th iteration, while the VMD-DBO-KELM model reaches the optimal fitness value of 2.33 × 104 at the 58th iteration.
It can be seen that with the deterioration of weather conditions, the adaptation value of the model gradually decreases. However, the number of iterations of the optimized model can still be within the ideal range.
Table 3 compares forecast errors among various weather types using different forecast models. Table 3 provides the comparison results for three different weather conditions (sunny, cloudy, and rainy) under three distinct forecast models, namely root mean square error (XRMSE), mean absolute error (XMAE), and mean absolute percentage error (XMAPE).
Table 3.
Comparison of predictive errors of each model under different weather types.
According to the data in Table 3, the forecast accuracy of PV power generation differs significantly across the three weather types. Notably, the prediction performance for sunny weather surpasses that for cloudy and rainy conditions. This discrepancy is attributed to the pronounced unpredictability and fluctuation of PV power generation on cloudy and rainy days, in contrast to the greater stability experienced on sunny days. Consequently, the prediction model demonstrates a higher degree of suitability for forecasting PV power generation on sunny days than the other two weather types.
As observed in Table 3, all three prediction models demonstrate relatively accurate PV power generation predictions under the three different weather types. However, the comparison highlights that the combined prediction model exhibits better prediction accuracy. This outcome further validates the optimization of the combined prediction model proposed in this paper. Specifically, when comparing the two combined prediction models, VMD-KELM and VMD-DBO-KELM, the results indicate that the VMD-DBO-KELM model yields more minor prediction errors for sunny, cloudy, and rainy weather conditions. After examining the results presented in Table 3, compared with the VMD-DBO-KELM model, the average XRMSE under sunny, cloudy and rainy weather types decreased by 24.3005%, 15.3811% and 24.8525%; XMAE decreased by 20.9616%, 12.5549% and 23.4281%; and XMAPE decreased by 26.5325%, 12.9452% and 12.9694%, respectively, indicating that the DBO method offers more advantages in stabilizing PV power data, leading to higher prediction accuracy.
Remark 3.
The discrepancy between the XRMSE, XMAE and XMAPE values in Table 4 and the lower XRMSE, XMAE and XMAPE values within individual weather groups in Table 3 is attributed to the varying nature of forecasting models across different weather conditions. Weather groups exhibit unique characteristics that can impact the model’s accuracy, leading to XRMSE, XMAE and XMAPE value variations.
Table 4.
Comparison of error results with other combined models.
Compared with the VMD-DBO-KELM model, the XRMSE of the VMD-IDBO-KELM model decreased by 22.3948%, 27.6955% and 27.1489% on average, and the XMAE decreased by 18.3399%, 17.8198% and 24.8935%, respectively. XMAPE decreased by 38.7964%, 18.4437% and 38.5929%, respectively, which indicated that KELM optimized by IDBO had more robust prediction performance after VMD stabilization. The IDBO exhibited more vital stability and optimization capabilities compared to DBO, which resulted in a notable improvement in the prediction performance of the KELM. Consequently, it confirmed the effectiveness and superiority of the proposed model in this paper.
To further demonstrate the advantages of the proposed model, the PV prediction error results are averaged and compared with models proposed in other literature under three different weather types, as presented in Table 4. In order to ensure the reliability of the comparison of the algorithm model, PV data on rainy days, as shown in Figure 11, are uniformly adopted for prediction, and the average value of the three-day forecast data is taken for error analysis. Table 4 shows that the proposed model in this paper achieves an XMAPE of 10.2796%, outperforming the comparison models. This finding further confirms the more robust prediction performance of the proposed model.
7. Conclusions
In order to enhance the prediction accuracy of short-term PV power generation, this paper presents a VMD-IDBO-KELM prediction model. By incorporating specific examples, the following conclusions are established.
(1) In PV power generation sequences exhibiting high levels of randomness and volatility, the VMD method stabilises them. As a result, multiple subsequences with pronounced regularity are obtained. This approach mitigates the mode-aliasing phenomenon and reduces errors in decomposition prediction and reconstruction. Consequently, it demonstrates superior adaptability and an enhanced decomposition effect.
(2) To solve the problem of the low prediction performance of the KELM model due to improper parameter selection, IDBO is proposed to optimize KELM parameters. The results show that ISSA can find better parameter solutions for KELM and effectively improve its prediction performance.
(3) Simulation results show that the VMD-IDBO-KELM model can effectively predict short-term PV power generation, and the three evaluation indicators obtained under different weather types are better than other models, with good adaptability, prediction performance, and good application prospects. And the simulation results show that the XMAPE of the VMD-IDBO-KELM model is increased by 5.13%, 3.58% and 8.96%, respectively, compared with the traditional VMD-KELM algorithm, by 2.66%, by 1.98% and by 6.46% compared with the conventional VMD-DBO-KELM algorithm, and by 0.68% compared with the widely used inverter-data-driven algorithm.
The construction of new rural areas is in full swing, with solar PV facilities being integrated into rural landscape development, offering a novel research perspective. This integration effectively promotes the sustainable development of rural construction, enhances the quality of the living environment in villages, and fosters the achievement of dual objectives centred on rural production advancement and wealth accumulation.
Supplementary Materials
The following supporting information can be downloaded at: https://www.mdpi.com/article/10.3390/su16135467/s1, Table S1: Short-term PV prediction data.
Author Contributions
Conceptualization, J.M. and W.Z.; methodology, J.M. and W.Z.; software, Q.Y.; validation, J.M., Q.Y. and W.Z.; formal analysis, T.Y.; investigation, F.K.; resources, Q.Y.; data curation, J.M.; writing—original draft preparation, J.M. and W.Z.; writing—review and editing, Q.Y.; visualization, T.Y.; supervision, F.K.; project administration, J.M.; funding acquisition, J.M. All authors have read and agreed to the published version of the manuscript.
Funding
This research was funded by the Heilongjiang Provincial Natural Science Foundation of China (grant number LH2023E104) and the Heilongjiang Provincial Philosophy and Social Science Research Planning Project (grant number 21YSE376).
Informed Consent Statement
Not applicable.
Data Availability Statement
All paramount data accompanying the research results are within the manuscript.
Acknowledgments
The authors would like to thank the editors of the Special Issue for their help and all the anonymous reviewers for their benevolence and wise comments which have led to the significant improvement of the first version of the research paper.
Conflicts of Interest
The authors declare no conflicts of interest.
References
- Shi, Z.; Wang, W.; Huang, Y.; Li, P.; Dong, L. Simultaneous Optimization of Renewable Energy and Energy Storage Capacity with the Hierarchical Control. CSEE J. Power Energy Syst. 2022, 8, 95–104. [Google Scholar]
- Li, J.; Fang, Z.; Wang, Q.; Zhang, M.; Li, Y.; Zhang, W. Optimal Operation with Dynamic Partitioning Strategy for Centralized Shared Energy Storage Station with Integration of Large-scale Renewable Energy. J. Mod. Power Syst. Clean Energy. 2024, 12, 359–370. [Google Scholar] [CrossRef]
- Yang, T.; Li, X.; Ding, S. An Improved Constant Power Generation Algorithm for Photovoltaic Systems. CPSS Trans. Power Electron. Appl. 2022, 7, 451–460. [Google Scholar] [CrossRef]
- Kim, G.G.; Lee, W.; Bhang, B.G.; Choi, G.H.; Ahn, H.K. Fault Detection for Photovoltaic Systems Using Multivariate Analysis With Electrical and Environmental Variables. IEEE J. Photovolt. 2021, 11, 202–212. [Google Scholar] [CrossRef]
- Narang, A.; Farivar, G.G.; Tafti, H.D.; Ceballos, S.; Beniwal, N.; Pou, J.; Townsend, C.D.; Konstantinou, G. Dynamic Reserve Power Point Tracking in Grid-Connected Photovoltaic Power Plants. IEEE Trans. Power Electron. 2023, 38, 5939–5951. [Google Scholar] [CrossRef]
- Khan, M.A.; Haque, A.; Kurukuru, V.S.B.; Mekhilef, S. Advanced Control Strategy with Voltage Sag Classification for Single-Phase Grid-Connected Photovoltaic System. IEEE J. Emerg. Sel. Top. Ind. Electron. 2022, 3, 258–269. [Google Scholar] [CrossRef]
- Yu, T.; Leng, H.; Yuan, Q.; Jiang, C. Vulnerability Evaluation of Villages Based on Social–Ecological Indicators and Strategies for Improvement: Case Study of Villages in the Northeast China Plain. Journal of Urban Planning and Development. J. Urban Plan. Dev. 2022, 148, 1943–5444. [Google Scholar] [CrossRef]
- Zhang, M.; Zhen, Z.; Liu, N.; Zhao, H.; Sun, Y.; Feng, C.; Wang, F. Optimal Graph Structure Based Short-Term Solar PV Power Forecasting Method Considering Surrounding Spatio-Temporal Correlations. IEEE Trans. Ind. Appl. 2023, 59, 345–357. [Google Scholar] [CrossRef]
- Shi, J.; Wang, Y.; Zhou, Y.; Ma, Y.; Gao, G.; Wang, S.; Fu, Z. Bayesian Optimization—LSTM Modeling and Time Frequency Correlation Mapping Based Probabilistic Forecasting of Ultra-short-term Photovoltaic Power Outputs. IEEE Trans. Ind. Appl. 2024, 60, 2422–2430. [Google Scholar] [CrossRef]
- Dimd, B.D.; Völler, S.; Midtgård, O.M.; Cali, U.; Sevault, A. Quantification of the Impact of Azimuth and Tilt Angle on the Performance of a PV Output Power Forecasting Model for BIPVs. IEEE J. Photovolt. 2024, 14, 194–200. [Google Scholar] [CrossRef]
- Li, J.; Liu, Q. Short-term Photovoltaic Power Forecasting Using SOM-based Regional Modelling Methods. Chin. J. Electr. Eng. 2023, 9, 158–176. [Google Scholar] [CrossRef]
- Wang, L.; Er, J.; Zhang, S. A Kernel Extreme Learning Machines Algorithm for Node Localization in Wireless Sensor Networks. IEEE Commun. Lett. 2020, 24, 1433–1436. [Google Scholar] [CrossRef]
- Lei, X.; Yang, Z.; Yu, J.; Zhao, J.; Gao, Q.; Yu, H. Data-Driven Optimal Power Flow: A Physics-Informed Machine Learning Approach. IEEE Trans. Power Syst. 2021, 36, 346–354. [Google Scholar] [CrossRef]
- Zhang, T.; Sun, M.; Cremer, J.L.; Zhang, N.; Strbac, G.; Kang, C. A Confidence-Aware Machine Learning Framework for Dynamic Security Assessment. IEEE Trans. Power Syst. 2021, 36, 3907–3920. [Google Scholar] [CrossRef]
- Corus, D.; Oliveto, P.S. Standard Steady State Genetic Algorithms Can Hillclimb Faster Than Mutation-Only Evolutionary Algorithms. IEEE Trans. Evol. Comput. 2018, 22, 720–732. [Google Scholar] [CrossRef]
- Yang, G.; Zhou, F.; Ma, Y.; Yu, Z.; Zhang, Y.; He, J. Identifying Lightning Channel-Base Current Function Parameters by Powell Particle Swarm Optimization Method. IEEE Trans. Electromagn. Compat. 2018, 60, 182–187. [Google Scholar] [CrossRef]
- Huang, Y.P.; Huang, M.Y.; Ye, C.E. A Fusion Firefly Algorithm With Simplified Propagation for Photovoltaic MPPT Under Partial Shading Conditions. IEEE Trans. Sustain. Energy. 2020, 11, 2641–2652. [Google Scholar] [CrossRef]
- Xue, J.; Shen, B. Dung beetle optimizer: A new meta-Heuristic algorithm for global optimization. J. Supercomput. 2022, 79, 7305–7336. [Google Scholar] [CrossRef]
- Shen, Q.; Zhang, D.; Xie, M.; He, Q. Multi-Strategy Enhanced Dung Beetle Optimizer and Its Application in Three-Dimensional UAV Path Planning. Symmetry 2023, 15, 1432. [Google Scholar] [CrossRef]
- Sun, H.; Lao, Z. Preventive Maintenance for Key Components of Metro Door System Based on Improved Dung Beetle Optimizer Algorithm. J. Fail. Anal. Prev. 2024, 24, 424–435. [Google Scholar] [CrossRef]
- Wang, Z.; Liu, Q. A quasi-oppositional learning of updating quantum state and Q-learning based on the dung beetle algorithm for global optimization. Alex. Eng. J. 2023, 81, 469–488. [Google Scholar] [CrossRef]
- Cheng, R.; Jin, Y. A Social Learning Particle Swarm Optimization Algorithm for Scalable Optimization. Inf. Sci. 2015, 21, 43–60. [Google Scholar] [CrossRef]
- He, X.; Zhou, Y.; Chen, Z.; Zhang, J.; Chen, W.N. Large-Scale Evolution Strategy Based on Search Direction Adaptation. IEEE T. Cybern. 2021, 51, 1651–1665. [Google Scholar] [CrossRef]
- Qian, J.; Zhang, T.; Sun, X.; Chai, Y. Diminishing the Perception Bias in the Working Environment Using a Network Generation-Based Framework. Tsinghua Sci. Technol. 2024, 29, 671–683. [Google Scholar] [CrossRef]
- Jia, K.; Yang, Z.; Zheng, L.; Zhu, Z.; Bi, T. Spearman Correlation-Based Pilot Protection for Transmission Line Connected to PMSGs and DFIGs. IEEE Trans. Ind. Inform. 2021, 17, 4532–4544. [Google Scholar] [CrossRef]
- Zhu, F.; Gonzalez, D.R.; Carpenter, T.; Atkinson, M.; Wardlaw, J. Lesion Area Detection Using Source Image Correlation Coefficient for CT Perfusion Imaging. IEEE J. Biomed. Health Inform. 2013, 17, 950–958. [Google Scholar]
- Xihe Energy Meteorological Big Data Platform. 2020. Available online: https://xihe-energy.com/#solar (accessed on 15 May 2024).
- Gogebakan, M. A Novel Approach for Gaussian Mixture Model Clustering Based on Soft Computing Method. IEEE Access 2021, 9, 159987–160003. [Google Scholar] [CrossRef]
- Dridi, N.; Hadzagic, M. Akaike and Bayesian Information Criteria for Hidden Markov Modelss. IEEE Signal Process. Lett. 2019, 26, 302–306. [Google Scholar] [CrossRef]
- Yu, B.; Yang, X. The Hilbert Transform of B-Spline Wavelets. IEEE Signal Process. Lett. 2021, 28, 693–697. [Google Scholar] [CrossRef]
- Wu, L.; Wang, B.; Huang, H.; Wang, H.; Tang, Q. A Blind Demodulation Algorithm for Underwater Acoustic MPSK Signal. IEEE Access 2021, 9, 147458–147470. [Google Scholar] [CrossRef]
- Masuyama, Y.; Yatabe, K.; Oikawa, Y. Griffin–Lim Like Phase Recovery via Alternating Direction Method of Multipliers. IEEE Signal Process. Lett. 2019, 26, 184–188. [Google Scholar] [CrossRef]
- Chen, H.; Miao, F.; Chen, Y.; Xiong, Y.; Chen, T. A Hyperspectral Image Classification Method Using Multifeature Vectors and Optimized KELM. IEEE J. Sel. Top. Appl. Earth Observ. Remote Sens. 2021, 14, 2781–2795. [Google Scholar] [CrossRef]
- Iamsa-At, S.; Horata, P.; Sunat, K. Bias-Boosted ELM for Knowledge Transfer in Brain Emotional Learning for Time Series Forecasting. IEEE Access 2024, 12, 35868–35898. [Google Scholar] [CrossRef]
- Pečarić, J.; Perušić, A.; Smoljak, K. Mercer and Wu-Srivastava Generalisations of Steffensen’s Inequality. Appl. Math. Comput. 2013, 219, 10548–10558. [Google Scholar] [CrossRef]
- Wang, D.; Chen, L.; Lu, X.; Wang, Y.; Shen, Y.; Xu, J. FedDBO: A Novel Federated Learning Approach for Communication Cost and Data Heterogeneity Using Dung Beetle Optimizer. IEEE Access 2024, 12, 43396–43409. [Google Scholar] [CrossRef]
- Garrett, A.J.M. Review: Probability Theory: The Logic of Science, by E. T. Jaynes. Law Probab. Risk. 2004, 3, 243–246. [Google Scholar] [CrossRef]
- Li, J.K.; Ma, K.L. P5: Portable Progressive Parallel Processing Pipelines for Interactive Data Analysis and Visualization. IEEE Trans. Vis. Comput. Graph. 2020, 26, 1151–1160. [Google Scholar] [CrossRef]
- Li, Q.; Xu, Y.; Chew, B.S.H.; Ding, H.; Zhao, G. An Integrated Missing-Data Tolerant Model for Probabilistic PV Power Generation Forecasting. IEEE Trans. Power Syst. 2023, 9, 158–176. [Google Scholar] [CrossRef]
- Meng, X.; Gao, F.; Xu, T.; Zhou, K.; Li, W.; Wu, Q. Inverter-Data-Driven Second-Level Power Forecasting for Photovoltaic Power Plant. IEEE Trans. Ind. Electron. 2021, 68, 7034–7044. [Google Scholar]
- Huang, C.J.; Kuo, P.H. Multiple-Input Deep Convolutional Neural Network Model for Short-Term Photovoltaic Power Forecasting. IEEE Access 2019, 7, 74822–74834. [Google Scholar] [CrossRef]
- Liu, Z.; Luo, S.; Tseng, M.; Liu, H.; Li, L.; Mashud, A. Short-Term Photovoltaic Power Prediction on Modal Reconstruction: A Novel Hybrid Model Approach. Sustain. Energy Technol. Assess. 2021, 45, 101048. [Google Scholar] [CrossRef]
- Wang, F.; Chen, C.; Zhang, H.; Ma, Y. Short-term Load Forecasting Based On Variational Mode Decomposition and Chaotic Grey Wolf Optimization Improved Random Forest Algorithm. J. Appl. Sci. Eng. 2023, 26, 69–78. [Google Scholar]
- Duan, Q.; He, X.; Chao, Z.; Tang, X.; Li, Z. Short-term power load forecasting based on sparrow search algorithm-variational mode decomposition and attention-long short-term memory. Int. J. Low-Carbon Technol. 2024, 19, 1089–1097. [Google Scholar] [CrossRef]
Disclaimer/Publisher’s Note: The statements, opinions and data contained in all publications are solely those of the individual author(s) and contributor(s) and not of MDPI and/or the editor(s). MDPI and/or the editor(s) disclaim responsibility for any injury to people or property resulting from any ideas, methods, instructions or products referred to in the content. |
© 2024 by the authors. Licensee MDPI, Basel, Switzerland. This article is an open access article distributed under the terms and conditions of the Creative Commons Attribution (CC BY) license (https://creativecommons.org/licenses/by/4.0/).













