A Model for Estimating the Tourism Carrying Capacity of a Tourism Corridor: A Case Study of the Qinghai–Tibet Plateau
Abstract
1. Introduction
2. Tourism Corridor System from a Flow Space Perspective
3. TCC of Tourism Corridor Evaluation Method
3.1. TCC Evaluation Model
3.2. Methodology
3.2.1. Space–Time Consumption Method of
3.2.2. Evaluation Method of
3.2.3. LP Model for TCC
3.2.4. OS Analysis
4. Study Area
5. Data Source and Main Parameter Settings
6. Results
6.1. Traffic Carrying Capacity
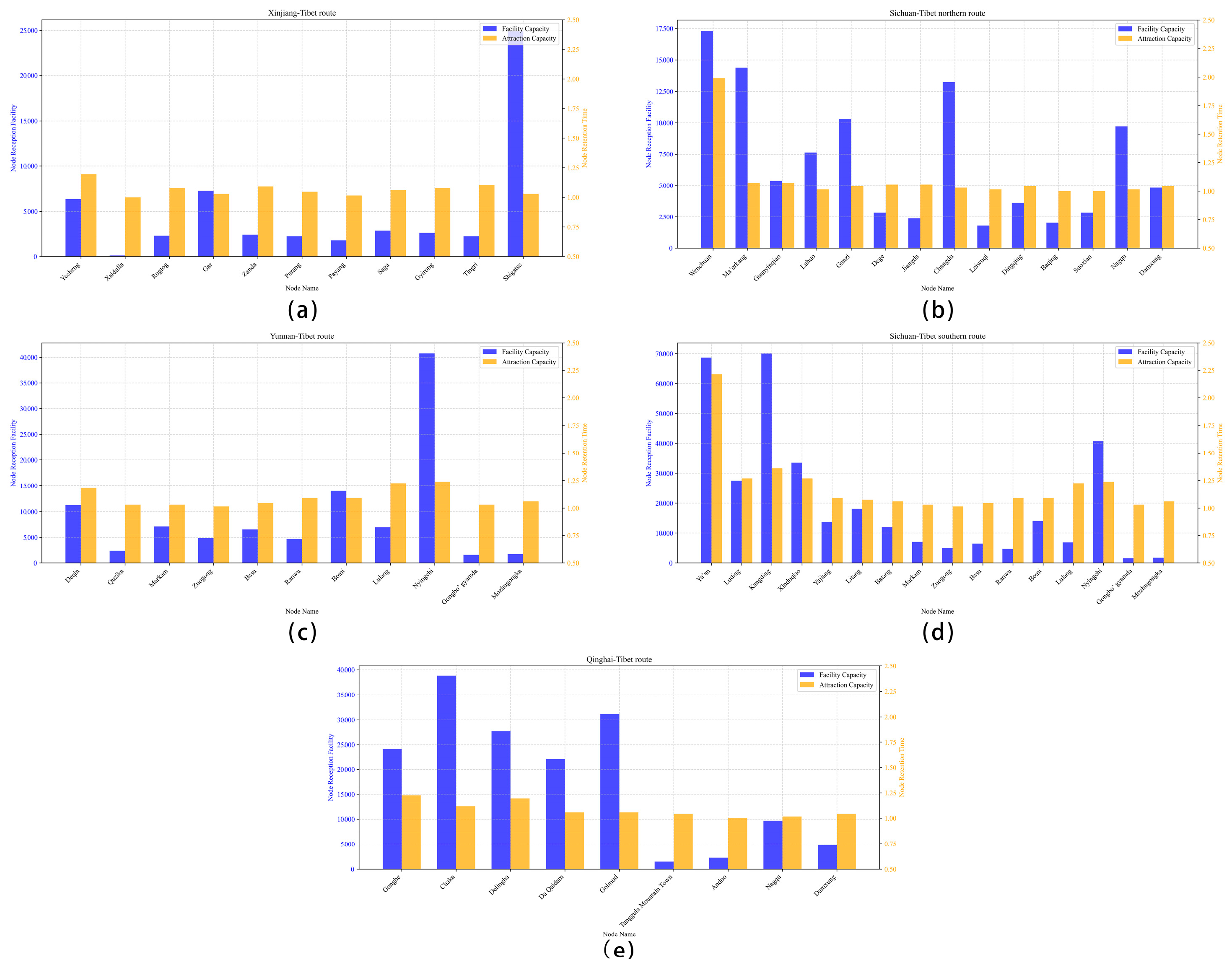
6.2. Node Carrying Capacity

6.3. Tourism Carrying Capacity
6.4. Road Traffic and Node Facility Sensitivity Index
7. Conclusions
- (i)
- The of the tourism corridor on the Qinghai–Tibet Plateau amounts to 2,463,600 people/day. Regarding the self-driving tour environment, sections with higher scores are concentrated around Lhasa and Chengdu, while those with poorer conditions include the Markam–Batang, Lulang–Bomi, Gonghe–Chaka, Yajiang–Xinduqiao, Jiangda–Changdu, and Zuogong–Markam sections. In terms of road infrastructure, the Sichuan–Tibet southern route and the Qinghai–Tibet route feature the highest density of road resources per kilometer on average, while the Sichuan–Tibet northern route and Xinjiang–Tibet route feature the lowest road resource density.
- (ii)
- The on the Qinghai–Tibet Plateau is 1,194,100 people/day. The total node reception capacity along the five corridors is 2,466,600 people/day, with an average retention time of 1.21 days.
- (iii)
- The TCC of the Qinghai–Tibet Plateau is 1,782,400 people/day. The Xining–Golmud section of the Qinghai–Tibet route exceeds 45,000 people/day, while each section of the Xinjiang–Tibet route generally falls below 15,000 people/day.
- (iv)
- When the tourism corridors are fully loaded, the five tourism corridors from Lhasa exhibit a pattern of “sensitive outbound from Tibet—insensitive in both directions—sensitive inbound to Tibet—sensitive in both directions”. The road traffic sensitivity index ranks as follows: the Sichuan–Tibet southern route (0.89, high sensitivity) > Yunnan–Tibet route (0.81, high sensitivity) = Qinghai–Tibet route (0.81, high sensitivity) > Sichuan–Tibet northern route (0.73, moderate sensitivity) > Xinjiang–Tibet route (0.30, low sensitivity). The sensitivity index ranking of node towns across the five tourism corridors is as follows: the Yunnan–Tibet route (10.34) > Sichuan–Tibet southern route (7.19) > Xinjiang–Tibet route (7.94) > Sichuan–Tibet northern route (6.19) > Qinghai–Tibet route (5.21).
8. Discussion
Author Contributions
Funding
Institutional Review Board Statement
Informed Consent Statement
Data Availability Statement
Conflicts of Interest
References
- He, H.; Shen, L.; Wong, S.W.; Cheng, G.; Shu, T. A “load-carrier” perspective approach for assessing tourism resource carrying capacity. Tour. Manag. 2023, 94, 104651. [Google Scholar] [CrossRef]
- Du Cros, H.; Kong, W.H. Congestion, popular world heritage tourist attractions and tourism stakeholder responses in Macao. Int. J. Tour. Cities 2020, 6, 929–951. [Google Scholar] [CrossRef]
- WTO. Saturation of Tourist Destinations: Report of the Secretary General (Madrid); WTO: Geneva, Switzerland, 1981. [Google Scholar]
- Sousa, R.C.D.; Pereira, L.C.C.; Costa, R.M.D.; Jiménez, J.A. Management of estuarine beaches on the Amazon coast though the application of recreational carrying capacity indices. Tour. Manag. 2017, 59, 216–225. [Google Scholar] [CrossRef]
- Fernández-Villarán, A.; Espinosa, N.; Abad, M.; Goytia, A. Model for measuring carrying capacity in inhabited tourism destinations. Port. Econ. J. 2020, 19, 213–241. [Google Scholar] [CrossRef]
- Shi, L.; Zhao, H.; Li, Y.; Ma, H.; Yang, S.; Wang, H. Evaluation of Shangri-La County’s tourism resources and ecotourism carrying capacity. Int. J. Sustain. Dev. World Ecol. 2014, 22, 103–109. [Google Scholar] [CrossRef]
- Saveriades, A. Establishing the social tourism carrying capacity for the tourist resorts of the east coast of the Republic of Cyprus. Tour. Manag. 2000, 21, 147–156. [Google Scholar] [CrossRef]
- Mansfeld, Y.; Jonas, A. Evaluating the socio-cultural carrying capacity of rural tourism communities: A ‘value stretch’ approach. Tijdschr. Voor Econ. En Soc. Geogr. 2006, 97, 583–601. [Google Scholar] [CrossRef]
- Eby, D.W.; Molnar, L.J. Importance of scenic byways in route choice: A survey of driving tourists in the United States. Transp. Res. Part A 2000, 36, 95–106. [Google Scholar] [CrossRef]
- Zube, E.H. Greenways and the US National Park System. Landsc. Urban Plan. 1995, 33, 17–25. [Google Scholar] [CrossRef]
- Ruiz, R.; Rodríguez, J.; Coronado, J.M. Modern roads as UNESCO World Heritage sites: Framework and proposals. Int. J. Herit. Stud. 2017, 23, 362–374. [Google Scholar] [CrossRef]
- Kelley, W.J. National Scenic Byways—Diversity contributes to success. Transp. Res. Rec. J. Transp. Res. Board 2004, 1880, 174–180. [Google Scholar] [CrossRef]
- Hu, L.; Xu, J.; Bao, C.; Pei, T. Influential Factor Detection for Tourism on the Qinghai-Tibet Plateau Based on Social Media Data. ISPRS Int. J. Geo-Inf. 2021, 10, 579. [Google Scholar] [CrossRef]
- Yang, L.; Sun, J.; Liu, M.C.; Min, Q.W. Agricultural production under rural tourism on the Qinghai-Tibet Plateau: From the perspective of smallholder farmers. Land Use Policy 2021, 103, 105329. [Google Scholar] [CrossRef]
- Ye, S.; Xi, J. Identification and evaluation of tourism corridor: A case study of Qinghai-Tibet Plateau. Acta Geogr. Sin. 2023, 78, 2630–2644. [Google Scholar] [CrossRef]
- Wang, D.C.; Wang, K.J.; Wang, Z.H.; Fan, H.K.; Chai, H.; Wang, H.Y.; Long, H.; Gao, J.S.; Xu, J.C. Spatial-Temporal Evolution and Influencing Mechanism of Traffic Dominance in Qinghai-Tibet Plateau. Sustainability 2022, 14, 11031. [Google Scholar] [CrossRef]
- Rios-Jara, E.; Galvan-Villa, C.M.; Rodriguez-Zaragoza, F.A.; Lopez-Uriarte, E.; Munoz-Fernandez, V.T. The tourism carrying capacity of underwater trails in Isabel Island National Park, Mexico. Environ. Manag. 2013, 52, 335–347. [Google Scholar] [CrossRef]
- Wang, J.; Huang, X.; Gong, Z.; Cao, K. Dynamic assessment of tourism carrying capacity and its impacts on tourism economic growth in urban tourism destinations in China. J. Destin. Mark. Manag. 2020, 15, 100383. [Google Scholar] [CrossRef]
- Tang, C.; Zheng, Q.; Ng, P. A Study on the Coordinative Green Development of Tourist Experience and Commercialization of Tourism at Cultural Heritage Sites. Sustainability 2019, 11, 4732. [Google Scholar] [CrossRef]
- Tan, Q. Research on sustainable carrying capacity of urban tourism environment based on multi objective optimization algorithm. Results Eng. 2023, 19, 101344. [Google Scholar] [CrossRef]
- Zhou, Y. Prediction of tourist carrying capacity of scenic spots based on Neural Network. Procedia Comput. Sci. 2023, 228, 798–807. [Google Scholar] [CrossRef]
- Zhang, Y.; Yang, H.; Wang, G. Monitoring and management of high-end tourism in protected areas based on 3D sensor image collection. Displays 2021, 70, 102089. [Google Scholar] [CrossRef]
- Jurado, E.N.; Tejada, M.T.; García, F.A.; González, J.C.; Macías, R.C.; Peña, J.D.; Gutiérrez, F.F.; Fernández, G.G.; Gallego, M.L.; García, G.M.; et al. Carrying capacity assessment for tourist destinations. Methodology for the creation of synthetic indicators applied in a coastal area. Tour. Manag. 2012, 33, 1337–1346. [Google Scholar] [CrossRef]
- Wu, M.Y.; Pearce, P.L.; Li, Q.C. Chinese behind the wheel: Factors affecting their satisfaction with international self-drive holidays. J. Destin. Mark. Manag. 2018, 9, 12–19. [Google Scholar] [CrossRef]
- Wang, X.X.; Fu, H.; Lu, J.F.; Han, S. Study on road section environmental traffic capacity model and algorithm under double constraints. Transp. Res. Part D—Transp. Environ. 2016, 48, 14–19. [Google Scholar] [CrossRef]
- Zelenka, J.; Kacetl, J. The Concept of Carrying Capacity in Tourism. Amfiteatru Econ. 2014, 16, 641–654. [Google Scholar]
- Wu, X.B.; Guan, H.Z.; Han, Y.; Ma, J.Q. A tour route planning model for tourism experience utility maximization. Adv. Mech. Eng. 2017, 9, 1687814017732309. [Google Scholar] [CrossRef]
- Leiper, N. The framework of tourism: Towards a definition of tourism, tourist, and the tourist industry. Ann. Tour. Res. 1979, 6, 390–407. [Google Scholar] [CrossRef]
- Castells, M. Grassrooting the space of flows. Urban Geogr. 1999, 20, 294–302. [Google Scholar] [CrossRef]
- Gao, Y.; Qu, Z.; Song, X.; Yun, Z. Modeling of urban road network traffic carrying capacity based on equivalent traffic flow. Simul. Model. Pract. Theory 2022, 115, 102462. [Google Scholar] [CrossRef]
- Denstadli, J.M.; Jacobsen, J.K.S. The long and winding roads: Perceived quality of scenic tourism routes. Tour. Manag. 2011, 32, 780–789. [Google Scholar] [CrossRef]
- Li, G.L.; Zhang, Y.; Wang, Y.Q.; Wang, Y.H.; Tian, J. Evaluation and analysis of tourism resources and environmental carrying capacity (TRECC) of 278 cities in China: A pressure-support perspective. J. Clean. Prod. 2023, 420, 138359. [Google Scholar] [CrossRef]
- Adongo, C.A.; Badu-Baiden, F.; Boakye, K.A.A. The tourism experience-led length of stay hypothesis. J. Outdoor Recreat. Tour.—Res. Plan. Manag. 2017, 18, 65–74. [Google Scholar] [CrossRef]
- Martínez-Garcia, E.; Raya, J.M. Length of stay for low-cost tourism. Tour. Manag. 2008, 29, 1064–1075. [Google Scholar] [CrossRef]
- Reich, D. A linear programming approach for linear programs with probabilistic constraints. Eur. J. Oper. Res. 2013, 230, 487–494. [Google Scholar] [CrossRef]
- Angelelli, E.; Morandi, V.; Savelsbergh, M.; Speranza, M.G. System optimal routing of traffic flows with user constraints using linear programming. Eur. J. Oper. Res. 2021, 293, 863–879. [Google Scholar] [CrossRef]
- Coll, P.; Factorovich, P.; Loiseau, I.; Gómez, R. A linear programming approach for adaptive synchronization of traffic signals. Int. Trans. Oper. Res. 2013, 20, 667–679. [Google Scholar] [CrossRef]
- Watkinson, A.R.; Sutherland, W.J. Sources, Sinks and Pseudo-Sinks [Note]. J. Anim. Ecol. 1995, 64, 126–130. [Google Scholar] [CrossRef]
- Fu, S.J.; Zhang, X.X.; Kuang, W.H.; Guo, C.Q. Characteristics of Changes in Urban Land Use and Efficiency Evaluation in the Qinghai-Tibet Plateau from 1990 to 2020. Land 2022, 11, 757. [Google Scholar] [CrossRef]
- Gao, X.C.; Li, T.; Cao, X.S. Spatial Fairness and Changes in Transport Infrastructure in the Qinghai-Tibet Plateau Area from 1976 to 2016. Sustainability 2019, 11, 589. [Google Scholar] [CrossRef]
- Schweitzer, N.; Apter, Y.; Ben-David, G.; Liebermann, D.G.; Parush, A. A field study on braking responses during driving. II. Minimum driver braking times. Ergonomics 1995, 38, 1903–1910. [Google Scholar] [CrossRef]
- Hoffmann, E.R. Accelerator-to-brake movement times. Ergonomics 1991, 34, 277–287. [Google Scholar] [CrossRef]
- Liu, Y.; Zhang, Y.; Nie, L. Patterns of self-drive tourists: The case of Nanning City, China. Tour. Manag. 2012, 33, 225–227. [Google Scholar] [CrossRef]
- Manioudis, M.; Meramveliotakis, G. Broad strokes towards a grand theory in the analysis of sustainable development: A return to the classical political economy. New Political Econ. 2022, 27, 866–878. [Google Scholar] [CrossRef]
- Meramveliotakis, G.; Manioudis, M. History, Knowledge, and Sustainable Economic Development: The Contribution of John Stuart Mill’s Grand Stage Theory. Sustainability 2021, 13, 1468. [Google Scholar] [CrossRef]
- Butler, R. Tourism destination development: The tourism area life cycle model. Tour. Geogr. 2024, 1–9. [Google Scholar] [CrossRef]
- Vainikka, V. Rethinking Mass Tourism. Tour. Stud. 2013, 13, 268–286. [Google Scholar] [CrossRef]
- Xu, H.G.; Zhu, D.; Bao, J.G. Sustainability and nature-based mass tourism: Lessons from China’s approach to the Huangshan Scenic Park. J. Sustain. Tour. 2016, 24, 182–202. [Google Scholar] [CrossRef]
- Zhou, Y.; Huang, X.J. Aspects of Lifestyle Change in China: Motivations for Self-Drive Travel—A Chinese Domestic Market Perspective. J. Travel Tour. Mark. 2016, 33, 912–928. [Google Scholar] [CrossRef]
- Hu, T.; Peng, J.; Liu, Y.X.; Wu, J.S.; Li, W.F.; Zhou, B.B. Evidence of green space sparing to ecosystem service improvement in urban regions: A case study of China’s Ecological Red Line policy. J. Clean. Prod. 2020, 251, 119678. [Google Scholar] [CrossRef]







| Name of Section | (m2·h) | (m2·h) | f (β,γ,δ……) | Name of Section | (m2·h) | (m2·h) | |
|---|---|---|---|---|---|---|---|
| Lhasa–Mozhugongka | 1,356,000 | 80.31 | 0.787 | Chaka–Gonghe | 3,640,900 | 141.11 | 0.667 |
| Mozhugongka–Gongbo’ gyamda | 4,407,500 | 80.31 | 0.701 | Gonghe–Xining | 2,740,000 | 141.11 | 0.677 |
| Gongbo’gyamda–Nyingchi | 2,971,600 | 80.31 | 0.674 | Chengdu–Wenchuan | 2,858,000 | 141.11 | 0.697 |
| Nyingchi–Lulang | 884,450 | 55.69 | 0.708 | Wenchuan–Ma’erkang | 3,852,114 | 108.78 | 0.69 |
| Lulang–Bomi | 2,015,000 | 55.69 | 0.664 | Ma’erkang–Guanyinqiao | 822,343 | 67.52 | 0.669 |
| Bomi–Ranwu | 1,755,875 | 55.69 | 0.704 | Guanyinqiao–Luhuo | 2,325,714 | 55.69 | 0.698 |
| Ranwu–Basu | 1,297,750 | 55.69 | 0.697 | Luhuo–Ganzi | 1,281,086 | 55.69 | 0.688 |
| Basu–Zuogong | 3,025,600 | 55.69 | 0.679 | Ganzi–Dege | 2,628,571 | 55.69 | 0.673 |
| Zuogong–Markam | 2,516,800 | 55.69 | 0.669 | Dege–Jiangda | 1,423,429 | 55.69 | 0.679 |
| Markam–Batang | 1,573,800 | 55.69 | 0.663 | Jiangda–Changdu | 3,699,200 | 55.69 | 0.669 |
| Batang–Litang | 2,447,600 | 55.69 | 0.691 | Changdu–Leiwuqi | 1,349,229 | 55.69 | 0.671 |
| Litang–Yajiang | 1,816,375 | 55.69 | 0.69 | Leiwuqi–Dingqing | 2,061,429 | 55.69 | 0.68 |
| Yajiang–Xinduqiao | 835,900 | 55.69 | 0.668 | Dingqing–Baqing | 2,900,571 | 67.52 | 0.698 |
| Xinduqiao–Kangding | 951,825 | 55.69 | 0.681 | Baqing–Suoxian | 4,876,457 | 67.52 | 0.701 |
| Kangding–Luding | 1,274,200 | 80.31 | 0.688 | Suoxian–Nagqu | 2,683,743 | 67.52 | 0.67 |
| Luding–Ya’an | 2,165,050 | 80.31 | 0.699 | Kashgar–Yecheng | 4,886,000 | 141.11 | 0.683 |
| Ya’an–Chengdu | 4,065,000 | 108.78 | 0.746 | Yecheng–Xaidulla | 4,047,073 | 80.31 | 0.696 |
| Markam–Quzika | 1,606,400 | 34.94 | 0.671 | Xaidulla–Rugtog | 7,035,000 | 67.52 | 0.69 |
| Quzika–Deqin | 1,660,100 | 55.69 | 0.683 | Rugtog–Gar | 1,680,327 | 67.52 | 0.686 |
| Deqin–Shangri-La | 1,659,000 | 55.69 | 0.673 | Gar–Zanda | 2,994,818 | 67.52 | 0.678 |
| Lhasa–Damxung | 3,552,000 | 141.11 | 0.762 | Zanda–Purang | 5,100,000 | 67.52 | 0.677 |
| Damxung–Nagqu | 1,952,700 | 141.11 | 0.752 | Purang–Payang | 4,960,909 | 67.52 | 0.695 |
| Nagqu–Anduo | 1,771,900 | 80.31 | 0.703 | Payang–Saga | 3,332,364 | 55.69 | 0.714 |
| Anduo–Tanggula Mountain Town | 4,012,150 | 80.31 | 0.677 | Saga–Gyirong | 1,430,800 | 55.69 | 0.717 |
| Tanggula Mountain Town–Golmud | 6,636,800 | 55.69 | 0.683 | Gyirong–Tingri | 55.69 | 0.721 | 55.69 |
| Golmud–Da Qaidam | 6,115,200 | 141.11 | 0.678 | Tingri–Shigatse | 2,631,873 | 80.31 | 0.716 |
| Da Qaidam–Delingha | 5,953,700 | 108.78 | 0.675 | Shigatse–Lhasa | 2,708,000 | 108.78 | 0.727 |
| Delingha–Chaka | 5,077,800 | 141.11 | 0.676 |
Disclaimer/Publisher’s Note: The statements, opinions and data contained in all publications are solely those of the individual author(s) and contributor(s) and not of MDPI and/or the editor(s). MDPI and/or the editor(s) disclaim responsibility for any injury to people or property resulting from any ideas, methods, instructions or products referred to in the content. |
© 2024 by the authors. Licensee MDPI, Basel, Switzerland. This article is an open access article distributed under the terms and conditions of the Creative Commons Attribution (CC BY) license (https://creativecommons.org/licenses/by/4.0/).
Share and Cite
Ye, S.; Li, Z.; Xi, J. A Model for Estimating the Tourism Carrying Capacity of a Tourism Corridor: A Case Study of the Qinghai–Tibet Plateau. Sustainability 2024, 16, 5466. https://doi.org/10.3390/su16135466
Ye S, Li Z, Xi J. A Model for Estimating the Tourism Carrying Capacity of a Tourism Corridor: A Case Study of the Qinghai–Tibet Plateau. Sustainability. 2024; 16(13):5466. https://doi.org/10.3390/su16135466
Chicago/Turabian StyleYe, Sui, Ziqiang Li, and Jianchao Xi. 2024. "A Model for Estimating the Tourism Carrying Capacity of a Tourism Corridor: A Case Study of the Qinghai–Tibet Plateau" Sustainability 16, no. 13: 5466. https://doi.org/10.3390/su16135466
APA StyleYe, S., Li, Z., & Xi, J. (2024). A Model for Estimating the Tourism Carrying Capacity of a Tourism Corridor: A Case Study of the Qinghai–Tibet Plateau. Sustainability, 16(13), 5466. https://doi.org/10.3390/su16135466

