The Impact of Natural Disasters on Corporate ESG Performance: Evidence from China
Abstract
1. Introduction
2. Research Hypothesis
2.1. Short-Term Effect of Earthquakes on Firms’ ESG Performance
2.2. Medium- to Long-Term Effect of Earthquakes on Firms’ ESG Performance
3. Data and Method
3.1. Data
3.2. Method
4. Empirical Results
4.1. Baseline Results
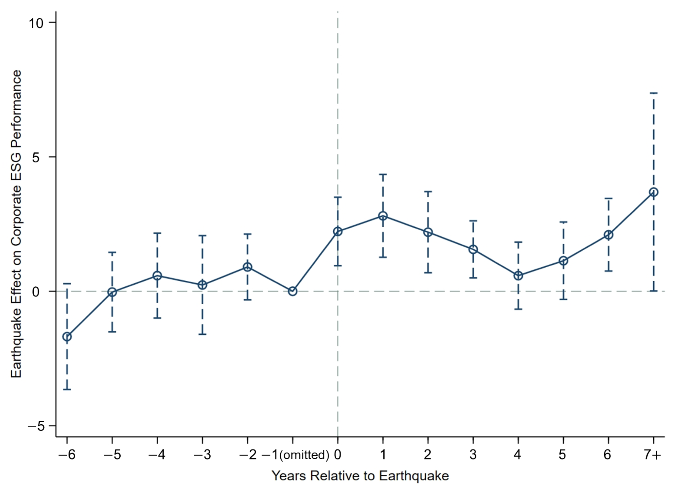
4.2. Parallel Trend Test
4.3. Robustness Tests
5. Heterogeneity Analysis
6. Discussion and Conclusions
Author Contributions
Funding
Institutional Review Board Statement
Informed Consent Statement
Data Availability Statement
Conflicts of Interest
Appendix A

References
- Lian, Y.; He, X.; Gao, J. Do customer ESG performance affect supplier innovation? Evidence from China’s listed firms. Econ. Lett. 2023, 233, 111372. [Google Scholar] [CrossRef]
- Martiny, A.; Testa, F.; Taglialatela, J.; Iraldo, F. Determinants of Environmental Social and Governance (ESG) Performance: A Systematic Literature Review. J. Clean. Prod. 2024, 456, 142213. [Google Scholar] [CrossRef]
- Cassely, L.; Ben Larbi, S.; Revelli, C.; Lacroux, A. Corporate social performance (CSP) in time of economic crisis. Sustain. Account. Manag. Policy J. 2021, 12, 913–942. [Google Scholar] [CrossRef]
- Chen, Y.; Ren, Y.; Narayan, S.; Huynh, N.Q.A. Does climate risk impact firms’ ESG performance? Evidence from China. Econ. Anal. Policy 2024, 81, 683–695. [Google Scholar] [CrossRef]
- Hannah, S.T.; Sayari, N.; Harris, F.H.d.; Cain, C.L. The direct and moderating effects of endogenous corporate social responsibility on firm valuation: Theoretical and empirical evidence from the global financial crisis. J. Manag. Stud. 2021, 58, 421–456. [Google Scholar] [CrossRef]
- Al Amosh, H.; Khatib, S.F. ESG performance in the time of COVID-19 pandemic: Cross-country evidence. Environ. Sci. Pollut. Res. 2023, 30, 39978–39993. [Google Scholar] [CrossRef] [PubMed]
- Noy, I. The long-term consequences of disasters: What do we know, and what we still do not. Int. Rev. Environ. Resour. Econ. 2018, 12, 325–354. [Google Scholar] [CrossRef]
- Gao, M.; Liu, Y.J.; Shi, Y. Do people feel less at risk? Evidence from disaster experience. J. Financ. Econ. 2020, 138, 866–888. [Google Scholar] [CrossRef]
- Huang, L.; Liu, Q.; Tang, Y. Long-term economic impact of disasters: Evidence from multiple earthquakes in China. World Dev. 2024, 174, 106446. [Google Scholar] [CrossRef]
- Tanaka, A. The impacts of natural disasters on plants’ growth: Evidence from the Great Hanshin-Awaji (Kobe) earthquake. Reg. Sci. Urban Econ. 2015, 50, 31–41. [Google Scholar] [CrossRef]
- Gignoux, J.; Menéndez, M. Benefit in the wake of disaster: Long-run effects of earthquakes on welfare in rural Indonesia. J. Dev. Econ. 2016, 118, 26–44. [Google Scholar] [CrossRef]
- Drempetic, S.; Klein, C.; Zwergel, B. The influence of firm size on the ESG score: Corporate sustainability ratings under review. J. Bus. Ethics 2020, 167, 333–360. [Google Scholar] [CrossRef]
- Manita, R.; Bruna, M.G.; Dang, R.; Houanti, L. Board gender diversity and ESG disclosure: Evidence from the USA. J. Appl. Account. Res. 2018, 19, 206–224. [Google Scholar] [CrossRef]
- Zhao, X.; Murrell, A. Does a virtuous circle really exist? Revisiting the causal linkage between CSP and CFP. J. Bus. Ethics 2022, 177, 173–192. [Google Scholar] [CrossRef]
- Crace, L.; Gehman, J. What really explains ESG performance? Disentangling the asymmetrical drivers of the triple bottom line. Organ. Environ. 2023, 36, 150–178. [Google Scholar] [CrossRef]
- Lv, W.; Ma, W.; Yang, X. Does social security policy matter for corporate social responsibility? Evidence from a quasi-natural experiment in China. Econ. Model. 2022, 116, 106008. [Google Scholar] [CrossRef]
- He, X.; Jing, Q.; Chen, H. The impact of environmental tax laws on heavy-polluting enterprise ESG performance: A stakeholder behavior perspective. J. Environ. Manag. 2023, 344, 118578. [Google Scholar] [CrossRef] [PubMed]
- Tang, M.; Wang, Y. Tax incentives and corporate social responsibility: The role of cash savings from accelerated depreciation policy. Econ. Model. 2022, 116, 106040. [Google Scholar] [CrossRef]
- Attig, N.; Boubakri, N.; El Ghoul, S.; Guedhami, O. Firm internationalization and corporate social responsibility. J. Bus. Ethics 2016, 134, 171–197. [Google Scholar] [CrossRef]
- Cai, Y.; Pan, C.H.; Statman, M. Why do countries matter so much in corporate social performance? J. Corp. Financ. 2016, 41, 591–609. [Google Scholar] [CrossRef]
- Umar, Z.; Kenourgios, D.; Papathanasiou, S. The static and dynamic connectedness of environmental, social, and governance investments: International evidence. Econ. Model. 2020, 93, 112–124. [Google Scholar] [CrossRef] [PubMed]
- Castillo-Merino, D.; Rodríguez-Pérez, G. The effects of legal origin and corporate governance on financial firms’ sustainability performance. Sustainability 2021, 13, 8233. [Google Scholar] [CrossRef]
- Liang, H.; Renneboog, L. On the foundations of corporate social responsibility. J. Financ. 2017, 72, 853–910. [Google Scholar] [CrossRef]
- Ho, F.N.; Wang, H.M.D.; Vitell, S.J. A global analysis of corporate social performance: The effects of cultural and geographic environments. J. Bus. Ethics 2012, 107, 423–433. [Google Scholar] [CrossRef]
- Arminen, H.; Puumalainen, K.; Pätäri, S.; Fellnhofer, K. Corporate social performance: Inter-industry and international differences. J. Clean. Prod. 2018, 177, 426–437. [Google Scholar] [CrossRef]
- Garcia, A.S.; Orsato, R.J. Testing the institutional difference hypothesis: A study about environmental, social, governance, and financial performance. Bus. Strategy Environ. 2020, 29, 3261–3272. [Google Scholar] [CrossRef]
- Popkova, E.; DeLo, P.; Sergi, B.S. Corporate social responsibility amid social distancing during the COVID-19 crisis: BRICS vs. OECD countries. Res. Int. Bus. Financ. 2021, 55, 101315. [Google Scholar] [CrossRef] [PubMed]
- Berkman, H.; Li, M.; Lu, H. Trust and the value of CSR during the global financial crisis. Account. Financ. 2021, 61, 4955–4965. [Google Scholar] [CrossRef]
- Tampakoudis, I.; Noulas, A.; Kiosses, N.; Drogalas, G. The effect of ESG on value creation from mergers and acquisitions. What changed during the COVID-19 pandemic? Corp. Gov. Int. J. Bus. Soc. 2021, 21, 1117–1141. [Google Scholar] [CrossRef]
- Bansal, P.; Jiang, G.F.; Jung, J.C. Managing responsibly in tough economic times: Strategic and tactical CSR during the 2008–2009 global recession. Long Range Plan. 2015, 48, 69–79. [Google Scholar] [CrossRef]
- Delmas, M.A.; Pekovic, S. Resource efficiency strategies and market conditions. Long Range Plan. 2015, 48, 80–94. [Google Scholar] [CrossRef]
- Amankwah-Amoah, J. Stepping up and stepping out of COVID-19: New challenges for environmental sustainability policies in the global airline industry. J. Clean. Prod. 2020, 271, 123000. [Google Scholar] [CrossRef]
- Ramya, S.; Baral, R. CSR during COVID-19: Exploring select organizations’ intents and activities. Corp. Gov. Int. J. Bus. Soc. 2021, 21, 1028–1042. [Google Scholar] [CrossRef]
- Huang, Q.; Li, Y.; Lin, M.; McBrayer, G.A. Natural disasters, risk salience, and corporate ESG disclosure. J. Corp. Financ. 2022, 72, 102152. [Google Scholar] [CrossRef]
- Leiter, A.M.; Oberhofer, H.; Raschky, P.A. Creative disasters? Flooding effects on capital, labour and productivity within European firms. Environ. Resour. Econ. 2009, 43, 333–350. [Google Scholar] [CrossRef]
- Zhou, F.; Botzen, W.W. The Impact of Natural Disasters on Firm Growth in Vietnam: Interaction with Financial Constraints; Utrecht University School of Economics: Utrecht, The Netherlands, 2017. [Google Scholar]
- Vu, T.B.; Noy, I. Natural disasters and firms in Vietnam. Pac. Econ. Rev. 2018, 23, 426–452. [Google Scholar] [CrossRef]
- Noth, F.; Rehbein, O. Badly hurt? Natural disasters and direct firm effects. Financ. Res. Lett. 2019, 28, 254–258. [Google Scholar] [CrossRef]
- Elliott, R.J.; Liu, Y.; Strobl, E.; Tong, M. Estimating the direct and indirect impact of typhoons on plant performance: Evidence from Chinese manufacturers. J. Environ. Econ. Manag. 2019, 98, 102252. [Google Scholar] [CrossRef]
- Matsuki, Y.; Managi, S. The impact of natural disasters on manufacturing: Plant-level analysis for the great Hanshin-Awaji earthquake. Singap. Econ. Rev. 2016, 61, 1640010. [Google Scholar] [CrossRef]
- Cole, M.A.; Elliott, R.J.; Okubo, T.; Strobl, E. Natural disasters and spatial heterogeneity in damages: The birth, life and death of manufacturing plants. J. Econ. Geogr. 2019, 19, 373–408. [Google Scholar] [CrossRef]
- Horwich, G. Economic lessons of the Kobe earthquake. Econ. Dev. Cult. Chang. 2000, 48, 521–542. [Google Scholar] [CrossRef]
- Barone, G.; Mocetti, S. Natural disasters, growth and institutions: A tale of two earthquakes. J. Urban Econ. 2014, 84, 52–66. [Google Scholar] [CrossRef]
- Madsen, P.M.; Rodgers, Z.J. Looking good by doing good: The antecedents and consequences of stakeholder attention to corporate disaster relief. Strateg. Manag. J. 2015, 36, 776–794. [Google Scholar] [CrossRef]
- McKnight, B.; Linnenluecke, M.K. How firm responses to natural disasters strengthen community resilience: A stakeholder-based perspective. Organ. Environ. 2016, 29, 290–307. [Google Scholar] [CrossRef]
- Freeman, R.E. Strategic Management: A Stakeholder Approach; Cambridge University Press: Cambridge, UK, 2010. [Google Scholar]
- Di Trana, M.G.; Simona, F.; Dorra, Y. Stakeholder engagement, flexible proactiveness and democratic durability as CSR strategic postures to overcome periods of crisis. Manag. Decis. 2022, 60, 2719–2742. [Google Scholar] [CrossRef]
- Tricker, R.I. Corporate Governance: Principles, Policies, and Practices; Oxford University Press: New York, NY, USA, 2015. [Google Scholar]
- Hassan, A.; Elamer, A.A.; Lodh, S.; Roberts, L.; Nandy, M. The future of non-financial businesses reporting: Learning from the COVID-19 pandemic. Corp. Soc. Responsib. Environ. Manag. 2021, 28, 1231–1240. [Google Scholar] [CrossRef] [PubMed]
- Shakya, S.; Basnet, S.; Paudel, J. Natural disasters and labor migration: Evidence from Nepal’s earthquake. World Dev. 2022, 151, 105748. [Google Scholar] [CrossRef]
- Andrabi, T.; Daniels, B.; Das, J. Human capital accumulation and disasters: Evidence from the Pakistan earthquake of 2005. J. Hum. Resour. 2023, 58, 1057–1096. [Google Scholar] [CrossRef]
- Chen, S.H.; Lin, Y.H.; Tseng, H.M.; Wu, Y.C. Posttraumatic stress reactions in children and adolescents one year after the 1999 Taiwan chi-chi earthquake. J. Chin. Inst. Eng. 2002, 25, 597–608. [Google Scholar] [CrossRef]
- Noy, I. The macroeconomic consequences of disasters. J. Dev. Econ. 2009, 88, 221–231. [Google Scholar] [CrossRef]
- Nowell, B.; Steelman, T.; Velez, A.L.K.; Yang, Z. The structure of effective governance of disaster response networks: Insights from the field. Am. Rev. Public Adm. 2018, 48, 699–715. [Google Scholar] [CrossRef]
- Shiroyama, H.; Yarime, M.; Matsuo, M.; Schroeder, H.; Scholz, R.; Ulrich, A.E. Governance for sustainability: Knowledge integration and multi-actor dimensions in risk management. Sustain. Sci. 2012, 7, 45–55. [Google Scholar] [CrossRef]
- Deryugina, T. The fiscal cost of hurricanes: Disaster aid versus social insurance. Am. Econ. J. Econ. Policy 2017, 9, 168–198. [Google Scholar] [CrossRef]
- Zhang, R.; Rezaee, Z.; Zhu, J. Corporate philanthropic disaster response and ownership type: Evidence from Chinese firms’ response to the Sichuan earthquake. J. Bus. Ethics 2010, 91, 51–63. [Google Scholar] [CrossRef]
- Li, Z.F.; Lu, X.; Wang, J. Corporate Social Responsibility and Goodwill Impairment: Charitable Donations of Chinese Listed Companies. 2023. Available online: https://ssrn.com/abstract=4337571 (accessed on 16 May 2024).

| Observation | Mean | S.D. | Min | Max | |
|---|---|---|---|---|---|
| Panel A: Dependent Variables | |||||
| 6049 | 72.47 | 5.66 | 41.19 | 90.93 | |
| 6049 | 59.98 | 7.66 | 33.82 | 90.62 | |
| 6049 | 72.37 | 10.86 | 9.77 | 100.00 | |
| 6049 | 78.78 | 7.51 | 19.60 | 97.33 | |
| Panel B: Earthquake Variables | |||||
| 6049 | 0.25 | 0.43 | 0.00 | 1.00 | |
| 6049 | 0.05 | 0.21 | 0.00 | 1.00 | |
| 6049 | 0.08 | 0.27 | 0.00 | 1.00 | |
| 6049 | 0.22 | 0.41 | 0.00 | 1.00 | |
| Panel C: Control Variables | |||||
| 6049 | 11.30 | 7.23 | 0.00 | 29.00 | |
| 6049 | 22.47 | 1.43 | 16.12 | 29.89 | |
| 6049 | 0.17 | 0.14 | 0.00 | 2.19 | |
| 6049 | 0.04 | 0.15 | −10.22 | 0.88 | |
| 6049 | 0.05 | 1.41 | −2.07 | 108.37 | |
| 6049 | 0.45 | 0.50 | 0.00 | 1.00 | |
| 6049 | 34.90 | 15.48 | 0.29 | 89.41 | |
| 6049 | 6.23 | 0.78 | 2.98 | 8.14 | |
| 6049 | 2.40 | 0.96 | 0.11 | 3.92 |
| Outcome: ESG | (1) | (2) | (3) | (4) |
|---|---|---|---|---|
| 3.081 *** | 2.947 *** | |||
| (1.002) | (0.973) | |||
| 2.208 *** | 2.278 *** | |||
| (0.524) | (0.547) | |||
| 1.029 * | 1.123 ** | |||
| (0.534) | (0.554) | |||
| 4.006 ** | 3.185 * | |||
| (1.724) | (1.826) | |||
| Firm controls | No | Yes | No | Yes |
| City controls | No | Yes | No | Yes |
| Firm fixed effects | Yes | Yes | Yes | Yes |
| Industry-year fixed effects | Yes | Yes | Yes | Yes |
| Province-year fixed effects | Yes | Yes | Yes | Yes |
| Observations | 6049 | 6049 | 6049 | 6049 |
| Adjusted | 0.576 | 0.579 | 0.577 | 0.581 |
| (1) | (2) | (3) | |
|---|---|---|---|
| Outcome | |||
| 1.646 ** | 4.280 *** | 1.244 | |
| (0.653) | (1.142) | (0.988) | |
| 1.051 | 2.110 * | 0.628 | |
| (0.693) | (1.257) | (0.863) | |
| 0.412 | 4.435 * | 4.331 ** | |
| (3.348) | (2.444) | (2.075) | |
| Firm controls | Yes | Yes | Yes |
| City controls | Yes | Yes | Yes |
| Firm fixed effects | Yes | Yes | Yes |
| Industry-year fixed effects | Yes | Yes | Yes |
| Province-year fixed effects | Yes | Yes | Yes |
| Observations | 6049 | 6049 | 6049 |
| Adjusted | 0.701 | 0.584 | 0.469 |
| Outcome: | (1) | (2) | (3) | (4) | (5) | (6) |
|---|---|---|---|---|---|---|
| 2.272 *** | 2.099 *** | 2.344 *** | 2.091 *** | 2.353 *** | 2.258 *** | |
| (0.523) | (0.589) | (0.586) | (0.562) | (0.540) | (0.545) | |
| 1.272 *** | 1.197 ** | 1.378 *** | 1.303 *** | 1.015 * | 1.117 ** | |
| (0.419) | (0.488) | (0.473) | (0.444) | (0.572) | (0.557) | |
| 3.902 ** | 3.753 ** | 3.686 * | 3.670 * | 3.083 * | 3.151 * | |
| (1.710) | (1.720) | (1.880) | (1.911) | (1.783) | (1.841) | |
| −0.005 | ||||||
| (0.365) | ||||||
| −0.325 | ||||||
| (0.425) | ||||||
| −0.555 | ||||||
| (0.627) | ||||||
| Firm controls | Yes | Yes | Yes | Yes | Yes | Yes |
| City controls | Yes | Yes | Yes | Yes | Yes | Yes |
| Firm fixed effects | Yes | Yes | Yes | Yes | Yes | Yes |
| Industry-year fixed effects | Yes | Yes | Yes | Yes | Yes | Yes |
| Province-year fixed effects | Yes | Yes | Yes | Yes | Yes | Yes |
| Observations | 4298 | 5371 | 3838 | 4053 | 5623 | 6049 |
| R-squared | 0.678 | 0.676 | 0.680 | 0.678 | 0.675 | 0.669 |
| Outcome: | (1) | (2) | (3) |
|---|---|---|---|
| 0.770 | 2.511 *** | ||
| (1.050) | (0.673) | ||
| 0.187 | 1.458 *** | ||
| (0.769) | (0.537) | ||
| 2.674 | 4.277 * | ||
| (1.809) | (2.292) | ||
| 2.147 * | |||
| (1.213) | |||
| 1.397 * | |||
| (0.726) | |||
| 0.918 | |||
| (2.988) | |||
| −0.457 | |||
| (0.910) | |||
| −0.846 ** | |||
| (0.398) | |||
| −2.287 | |||
| (4.644) | |||
| 1.400 * | |||
| (0.772) | |||
| 0.271 | |||
| (0.959) | |||
| 2.266 | |||
| (2.053) | |||
| 2.214 ** | |||
| (0.884) | |||
| 1.273 * | |||
| (0.748) | |||
| 3.509 | |||
| (2.257) | |||
| Firm controls | Yes | Yes | Yes |
| City controls | Yes | Yes | Yes |
| Firm fixed effects | Yes | Yes | Yes |
| Industry-year fixed effects | Yes | Yes | Yes |
| Province-year fixed effects | Yes | Yes | Yes |
| Observations | 6.049 | 6.049 | 6.049 |
| Adjusted | 0.582 | 0.581 | 0.581 |
Disclaimer/Publisher’s Note: The statements, opinions and data contained in all publications are solely those of the individual author(s) and contributor(s) and not of MDPI and/or the editor(s). MDPI and/or the editor(s) disclaim responsibility for any injury to people or property resulting from any ideas, methods, instructions or products referred to in the content. |
© 2024 by the authors. Licensee MDPI, Basel, Switzerland. This article is an open access article distributed under the terms and conditions of the Creative Commons Attribution (CC BY) license (https://creativecommons.org/licenses/by/4.0/).
Share and Cite
Huang, L.; Liu, Q. The Impact of Natural Disasters on Corporate ESG Performance: Evidence from China. Sustainability 2024, 16, 5252. https://doi.org/10.3390/su16125252
Huang L, Liu Q. The Impact of Natural Disasters on Corporate ESG Performance: Evidence from China. Sustainability. 2024; 16(12):5252. https://doi.org/10.3390/su16125252
Chicago/Turabian StyleHuang, Lulu, and Qiannan Liu. 2024. "The Impact of Natural Disasters on Corporate ESG Performance: Evidence from China" Sustainability 16, no. 12: 5252. https://doi.org/10.3390/su16125252
APA StyleHuang, L., & Liu, Q. (2024). The Impact of Natural Disasters on Corporate ESG Performance: Evidence from China. Sustainability, 16(12), 5252. https://doi.org/10.3390/su16125252
