Modeling and Optimization of Container Drayage Problem with Empty Container Constraints across Multiple Inland Depots
Abstract
1. Introduction
- (1)
- It formally introduces a new variation of CDP with high complexity that takes into account three fundamental modeling factors for real-world scenarios. Based on the task vertex splitting, determined-activities-on-vertex (DAOV) graph, and network flow constraints, the problem is mathematically formulated as a novel mixed integer linear programming (MILP) model, which aims to minimize the carbon emissions costs, fuel costs, and truck waiting costs of trucks completing container transportation tasks. The proposed MILP model also expands the modeling work of CDP.
- (2)
- Methodologically, the CDP investigated in this paper is characterized by its complex and highly hybrid nature, making it challenging to address effectively by extant methodologies. Therefore, an improved genetic algorithm (GA) is proposed to adapt to the characteristics of the new CDP. Firstly, the chromosome is innovatively designed as an ordered sequence of customers using a real-number encoding approach. Secondly, to improve computational performance and result in optimality, this paper introduces the “sequential insertion” technique to construct a complete truck route by incorporating depots into the solution of customer sequence and the “solution re-optimization” technique to control the feasibility after crossover and mutation.
- (3)
- Extensive experiments were conducted based on different scale instances to demonstrate the effectiveness and efficiency of the proposed model and algorithm. Additionally, the benefits of combining all modes and strategies and the impact of the critical model parameters were also investigated to obtain managerial insights for sustainable container drayage practices.
2. Literature Review
2.1. The CDP Involving Trucking Operation Modes and Empty Container Relocation Strategies
2.2. The CDP with Empty Container Constraints
2.3. The CDP with Multiple Depots
3. Problem Definition and Formulations
3.1. Problem Description
3.2. Graphical Formulation
3.2.1. Task Vertex Splitting
3.2.2. The DAOV Graph
3.2.3. Network Flow Constraints
3.3. Mathematical Formulation
3.3.1. Assumptions
- (1)
- The locations of customers, depots, and the port, as well as their demands and service time windows, are known in advance and remain static during the planning horizon.
- (2)
- The trucks are homogeneous regarding capacity, and each truck can load one 1 TEU container at a time.
- (3)
- The traveling speed of a truck remains constant regardless of whether it is loaded or not.
3.3.2. Notations and Parameters
3.3.3. Decision Variables
3.3.4. Formulation
3.3.5. Linearization of Nonlinear Constraints
4. Solution Algorithm
4.1. Initial Solution Representation
4.2. Sequential Insertion Method
| Algorithm 1. Sequential Insertion Method |
| Step 0: Let n denote the total number of customers. Let i denote the index of the current customer in the customer sequence. Let k denote the index of the current truck. Set i = 1 and k = 1. |
| Step 1: If there is no en-route truck k to be selected for customer i, go to Step 2. Otherwise, go to Step 3. |
| Step 2: If customer i requires a delivery of an empty container, go to Step 2.1. Otherwise, go to Step 2.2. Step 2.1: Select a depot to dispatch truck k, considering the frequency limit for truck dispatches from a depot, the available quantity of empty containers, and the closest distance principle. Go to Step 2.3. Step 2.2: Select a depot to dispatch truck k, considering the frequency limit for truck dispatches from a depot and the closest distance principle. Go to Step 2.3. Step 2.3: Calculate the visit time of customer i, the departure time of truck k from the depot, and the total working time of truck k. If i = n, go to Step 5. If i < n, insert customer i into the service sequence of truck k. Meanwhile, update the visit time of customer i and the total working time of truck k. Set and go to Step 1. |
| Step 3: Calculate the visit time of customer i and determine if it is within the time window of customer i. If not, go to Step 4. If it is, calculate the latest visit time of the preceding customer served by the current truck to recalculate the departure time of truck k from the depot and the total working time of truck k. If i = n and truck k does not exceed its working time limit, go to Step 5. If i < n and truck k does not exceed its working time limit, insert customer i into the service sequence of truck k. Meanwhile, update the visit time of customer i and the total working time of truck k. Set and go to Step 1. If truck k exceeds its working time limit, go to Step 4. |
| Step 4: Select a depot for truck k to return based on the frequency limit for truck returns to a depot and the closest distance principle. Set and go to Step 1. |
| Step 5: Insert customer i into the service sequence of truck k. Select a depot for truck k to return based on the frequency limit for truck returns to a depot and the closest distance principle. The algorithm will stop and the truck routing scheme will be generated. |
- (1)
- The algorithm prioritized utilizing the maximum working hours of the truck. However, there were cases where using the maximum working hours of each truck did not necessarily lead to optimal results.
- (2)
- It transformed a solution sequence into a truck routing plan by specific rules to ensure feasibility and explored the huge amount of feasible space within a limited number of iterations. However, this process did not guarantee optimality.
4.3. Solution Re-Optimization Operation
| Algorithm 2. Solution Re-Optimization |
| Step0: Obtain the initial solution using the “sequential insertion” method, including the departure and destination depots, served customers, and service order of each truck k. |
| Step1: Let denote the vertex in the service sequence of truck (). Let denote the subsequent vertex of . |
| Step2: Set the optimization objective to minimize the total working time of all trucks: Step3: Add constraints: (1) Temporal continuity constraints for truck visiting nodes sequentially: (2) Customer service time window constraints: (3) Customer service priority constraints: |
| Step4: Use the linprog function in Matlab R2022a to solve the model. |
| Step5: If the optimized solution satisfies the customer service priority constraint, check whether it also complies with the constraint on the quantity of empty containers at depots. If it does, reassign its fitness value based on the optimization result; otherwise, consider the solution infeasible. |
4.4. Implementation of GA
4.4.1. Initialization of the Population
4.4.2. Fitness Function and Evaluation
4.4.3. Selection Process
4.4.4. Crossover Operation
4.4.5. Mutation Operation
4.4.6. Stopping Criterion
5. Computational Experiments
5.1. Experiment Instances
5.2. Experiment Results
5.2.1. Experiments on Small-Scale and Medium-Scale Instances
5.2.2. Experiments on Large-Scale and Super-Scale Instances
5.3. Operational Methods Comparison and Analysis
- (1)
- The combination of Discharge and Depot-turn (D/D);
- (2)
- The combination of Discharge, Street-turn, and Depot-turn (D/SD);
- (3)
- The combination of Strip, Discharge, and Depot-turn (SD/D);
- (4)
- The combination of Strip, Discharge, Street-turn, and Depot-turn (SD/SD).
5.4. Sensitivity Analysis and Managerial Insights
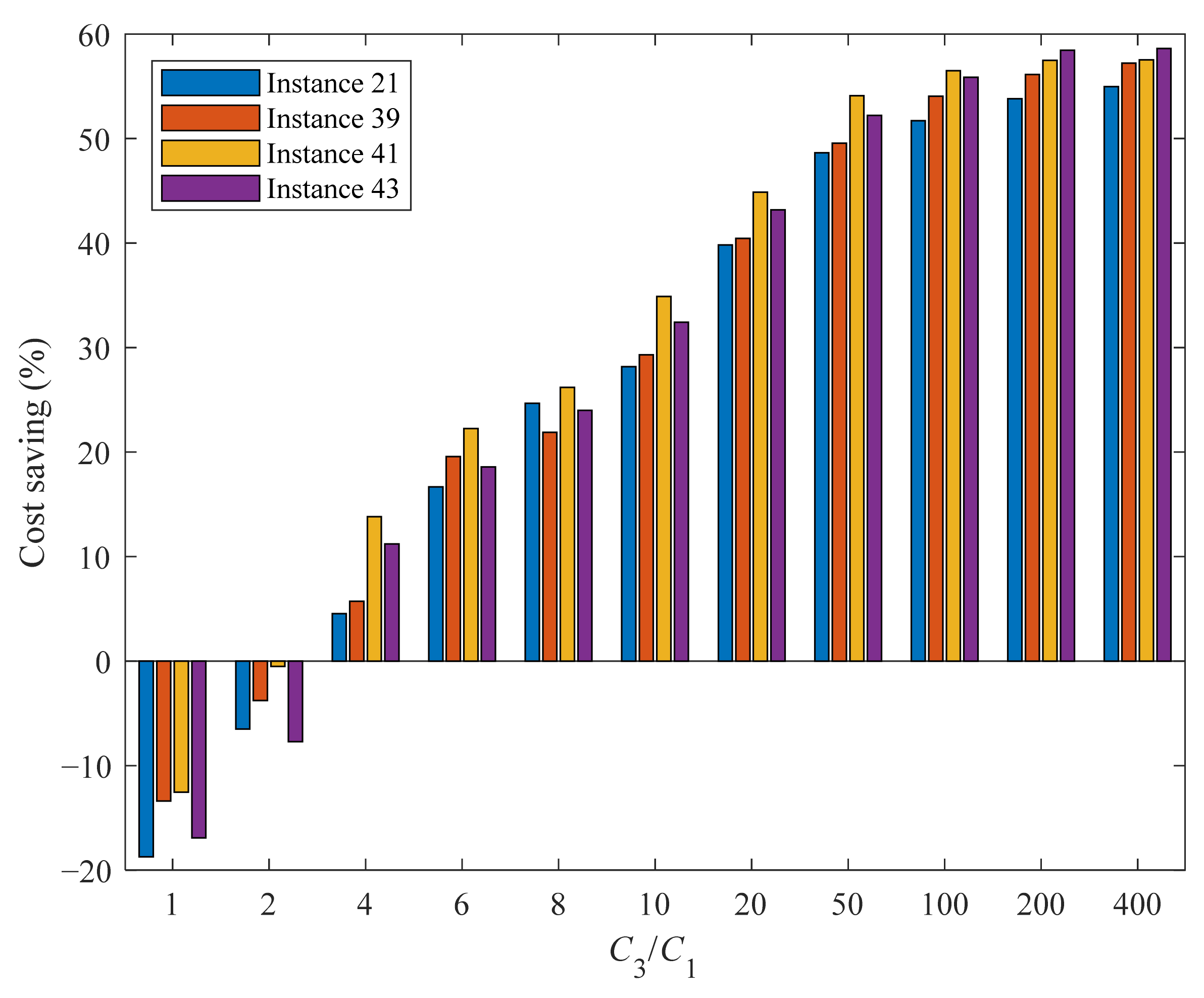
5.4.1. The Effect of Parameters C1 and C3
5.4.2. The Effect of Parameter mi
5.4.3. The Effect of the Number of Depots
6. Conclusions
- (1)
- The improved GA is capable of rapidly providing optimal or near-optimal solutions for small to medium-sized instances, while also addressing large-scale instances within a reasonable timeframe.
- (2)
- The combination of both trucking operation modes and both empty container relocation strategies increases operational efficiency and reduces costs compared to the other three operational methods. The greatest cost savings are observed in the range of 10.45% to 31.86%.
- (3)
- The cost savings obtained from combining two trucking operation modes increase when the related cost per unit of waiting time increases. If the total cost per unit of waiting time is significantly higher than the total cost per unit of transportation time, combining two trucking operation modes emerges as the more advantageous alternative.
- (4)
- The inventory of empty containers and their distribution among various depots have an obvious impact on the total cost of the CDP under the same number of requests, and should thus be carefully determined by decision-makers. Furthermore, the number of depots is also of great significance in reducing operational costs and should be considered when devising an efficient container drayage system.
Author Contributions
Funding
Institutional Review Board Statement
Informed Consent Statement
Data Availability Statement
Conflicts of Interest
References
- Macharis, C.; Bontekoning, Y.M. Opportunities for OR in intermodal freight transport research: A review. Eur. J. Oper. Res. 2004, 153, 400–416. [Google Scholar] [CrossRef]
- Cui, H.; Chen, S.; Chen, R.; Meng, Q. A two-stage hybrid heuristic solution for the container drayage problem with trailer reposition. Eur. J. Oper. Res. 2022, 299, 468–482. [Google Scholar] [CrossRef]
- Li, S.; Wu, W.; Ma, X.; Zhong, M.; Safdar, M. Modelling medium- and long-term purchasing plans for environment-orientated container trucks: A case study of Yangtze River port. Transp. Saf. Environ. 2023, 5, tdac043. [Google Scholar] [CrossRef]
- Ran, C.; Zhang, Y. The driving force of carbon emissions reduction in China: Does green finance work. J. Clean. Prod. 2023, 421, 138502. [Google Scholar] [CrossRef]
- Erhun, F.; Kraft, T.; Wijnsma, S. Sustainable Triple—A Supply Chains. Prod. Oper. Manag. 2021, 30, 644–655. [Google Scholar] [CrossRef]
- Yang, X.; Daham, H.A.; Salhi, A. Combined strip and discharge delivery of containers in heterogeneous fleets with time windows. Comput. Oper. Res. 2021, 127, 105141. [Google Scholar] [CrossRef]
- Lee, S.; Moon, I. Robust empty container repositioning considering foldable containers. Eur. J. Oper. Res. 2020, 280, 909–925. [Google Scholar] [CrossRef]
- Tan, S.Y.; Yeh, W.C. The Vehicle Routing Problem: State-of-the-Art Classification and Review. Appl. Sci. 2021, 11, 10295. [Google Scholar] [CrossRef]
- Song, Y.; Zhang, Y.; Wang, W.; Xue, M. A Branch and Price Algorithm for the Drop-and-Pickup Container Drayage Problem with Empty Container Constraints. Sustainability 2023, 15, 5638. [Google Scholar] [CrossRef]
- Yan, X.; Xu, M.; Xie, C. Local container drayage problem with improved truck platooning operations. Transp. Res. Part E Logist. Transp. Rev. 2023, 169, 102992. [Google Scholar] [CrossRef]
- Wang, X.; Regan, A.C. Local truckload pickup and delivery with hard time window constraints. Transp. Res. Part B Methodol. 2002, 36, 97–112. [Google Scholar] [CrossRef]
- Gronalt, M.; Hartl, R.F.; Reimann, M. New savings based algorithms for time constrained pickup and delivery of full truckloads. Eur. J. Oper. Res. 2003, 151, 520–535. [Google Scholar] [CrossRef]
- Jula, H.; Dessouky, M.; Ioannou, P.; Chassiakos, A. Container movement by trucks in metropolitan networks: Modeling and optimization. Transp. Res. Part E Logist. Transp. Rev. 2005, 41, 235–259. [Google Scholar] [CrossRef]
- Imai, A.; Nishimura, E.; Current, J. A Lagrangian relaxation-based heuristic for the vehicle routing with full container load. Eur. J. Oper. Res. 2007, 176, 87–105. [Google Scholar] [CrossRef]
- Chung, K.H.; Ko, C.S.; Shin, J.Y.; Hwang, H.; Kim, K.H. Development of mathematical models for the container road transportation in Korean trucking industries. Comput. Ind. Eng. 2007, 53, 252–262. [Google Scholar] [CrossRef]
- Zhang, R.; Yun, W.Y.; Moon, I. A reactive tabu search algorithm for the multi-depot container truck transportation problem. Transp. Res. Part E Logist. Transp. Rev. 2009, 45, 904–914. [Google Scholar] [CrossRef]
- Sterzik, S.; Kopfer, H. A Tabu Search Heuristic for the Inland Container Transportation Problem. Comput. Oper. Res. 2013, 40, 953–962. [Google Scholar] [CrossRef]
- Vidović, M.; Popović, D.; Ratković, B.; Radivojević, G. Generalized mixed integer and VNS heuristic approach to solving the multisize containers drayage problem. Int. Trans. Oper. Res. 2017, 24, 583–614. [Google Scholar] [CrossRef]
- Lai, M.; Crainic, T.G.; Di Francesco, M.; Zuddas, P. An heuristic search for the routing of heterogeneous trucks with single and double container loads. Transp. Res. Part E Logist. Transp. Rev. 2013, 56, 108–118. [Google Scholar] [CrossRef]
- Ghezelsoflu, A.; Di Francesco, M.; Frangioni, A.; Zuddas, P. A set-covering formulation for a drayage problem with single and double container loads. J. Ind. Eng. Int. 2018, 14, 665–676. [Google Scholar] [CrossRef]
- Zhang, R.; Yun, W.Y.; Kopfer, H. Heuristic-based truck scheduling for inland container transportation. OR Spectr. 2010, 32, 787–808. [Google Scholar] [CrossRef]
- Zhang, R.; Yun, W.Y.; Kopfer, H. Multi-size container transportation by truck: Modeling and optimization. Flex. Serv. Manuf. J. 2015, 27, 403–430. [Google Scholar] [CrossRef]
- Daham, H.A.; Yang, X.; Warnes, M.K. An efficient mixed integer programming model for pairing containers in inland transportation based on the assignment of orders. J. Oper. Res. Soc. 2017, 68, 678–694. [Google Scholar] [CrossRef]
- Zhang, R.; Yun, W.Y.; Moon, I.K. Modeling and optimization of a container drayage problem with resource constraints. Int. J. Prod. Econ. 2011, 133, 351–359. [Google Scholar] [CrossRef]
- Zhang, R.; Huang, C.; Wang, J. A novel mathematical model and a large neighborhood search algorithm for container drayage operations with multi-resource constraints. Comput. Ind. Eng. 2020, 139, 106143. [Google Scholar] [CrossRef]
- Fazi, S.; Choudhary, S.K.; Dong, J. The multi-trip container drayage problem with synchronization for efficient empty containers re-usage. Eur. J. Oper. Res. 2023, 310, 343–359. [Google Scholar] [CrossRef]
- Braekers, K.; Caris, A.; Janssens, G.K. Integrated planning of loaded and empty container movements. OR Spectr. 2013, 35, 457–478. [Google Scholar] [CrossRef]
- Song, Y.; Zhang, J.; Liang, Z.; Ye, C. An exact algorithm for the container drayage problem under a separation mode. Transp. Res. Part E Logist. Transp. Rev. 2017, 106, 231–254. [Google Scholar] [CrossRef]
- Zhang, R.; Lu, J.; Wang, D. Container drayage problem with flexible orders and its near real-time solution strategies. Transp. Res. Part E Logist. Transp. Rev. 2014, 61, 235–251. [Google Scholar] [CrossRef]
- Moghaddam, M.; Pearce, R.H.; Mokhtar, H.; Prato, C.G. A generalised model for container drayage operations with heterogeneous fleet, multi-container sizes and two modes of operation. Transp. Res. Part E Logist. Transp. Rev. 2020, 139, 101973. [Google Scholar] [CrossRef]
- Choi, H.R.; Park, B.; Kang, S.H.; Lee, J.W.; Park, C. Dispatching of container trucks using genetic algorithm. In Proceedings of the 4th International Conference on Interaction Sciences, Memphis, TN, USA, 9–12 October 2011; pp. 146–151. [Google Scholar]
- Funke, J.; Kopfer, H. A model for a multi-size inland container transportation problem. Transp. Res. Part E Logist. Transp. Rev. 2016, 89, 70–85. [Google Scholar] [CrossRef]
- Zhang, R.; Zhao, H.; Moon, I. Range-based truck-state transition modeling method for foldable container drayage services. Transp. Res. Part E Logist. Transp. Rev. 2018, 118, 225–239. [Google Scholar] [CrossRef]
- Bomboi, F. New Routing Problems with Possibly Correlated Travel Times. Ph.D. Thesis, Universitá degli Studi di Cagliari, Cagliari, Italy, 2020. [Google Scholar]
- He, W.; Jin, Z.; Huang, Y.; Xu, S. The Inland Container Transportation Problem with Separation Mode Considering Carbon Dioxide Emissions. Sustainability 2021, 13, 1573. [Google Scholar] [CrossRef]
- Huang, C.; Zhang, R. Modeling and Optimization of a Drayage Problem with Foldable and Standard Containers. In Proceedings of the 2020 Chinese Control And Decision Conference (CCDC), Hefei, China, 22–24 August 2020; pp. 1505–1600. [Google Scholar]
- Huang, C.; Zhang, R. Container Drayage Transportation Scheduling with Foldable and Standard Containers. IEEE Trans. Eng. Manag. 2023, 70, 3497–3511. [Google Scholar] [CrossRef]
- Nguyen, V.S.; Pham, Q.D. Solving a Real-World Problem of Truck-Trailer Scheduling in Container Transportation by Local Search. JST Smart Syst. Devices 2022, 32, 64–73. [Google Scholar]
- Nossack, J.; Pesch, E. A truck scheduling problem arising in intermodal container transportation. Eur. J. Oper. Res. 2013, 230, 666–680. [Google Scholar] [CrossRef]
- Reinhardt, L.B.; Pisinger, D.; Spoorendonk, S.; Sigurd, M.M. Optimization of the drayage problem using exact methods. INFOR Inf. Syst. Oper. Res. 2016, 54, 33–51. [Google Scholar] [CrossRef]
- Braekers, K.; Caris, A.; Janssens, G.K. Bi-objective optimization of drayage operations in the service area of intermodal terminals. Transp. Res. Part E Logist. Transp. Rev. 2014, 65, 50–69. [Google Scholar] [CrossRef]
- Shiri, S. Development of Models and Solution Methods for Different Drayage Applications. Ph.D. Thesis, University of South Carolina, Columbia, SC, USA, 2018. [Google Scholar]
- Jia, S.; Cui, H.P.; Chen, R.; Meng, Q. Dynamic container drayage with uncertain request arrival times and service time windows. Transp. Res. Part B Methodol. 2022, 166, 237–258. [Google Scholar] [CrossRef]
- Holland, J.H. Adaptation in Natural and Artificial Systems: An Introductory Analysis with Applications to Biology, Control, and Artificial Intelligence; MIT Press: Cambridge, MA, USA, 1992; pp. 1–211. [Google Scholar]
- Reeves, C.R. Feature Article—Genetic Algorithms for the Operations Researcher. Inf. J. Comput. 1997, 9, 231–250. [Google Scholar] [CrossRef]
- Jaszkiewicz, A. Genetic local search for multi-objective combinatorial optimization. Eur. J. Oper. Res. 2002, 137, 50–71. [Google Scholar] [CrossRef]
- Zhang, H.; Ishikawa, M. A solution to combinatorial optimization with time-varying parameters by a hybrid genetic algorithm. Int. Congr. Ser. 2004, 1269, 149–152. [Google Scholar] [CrossRef]










| Scenario | The Routes of Trucks | Total Cost |
|---|---|---|
| (i) | T1: depot 1→port→customer 1→depot 1→customer 1→depot 1→customer 2→depot 1 T2: depot 1→customer 4→port→depot 1 T3: depot 1→customer 3→depot 1 | 111 units |
| (ii) | T1: depot 1→port→customer 1→depot 1→customer 1→depot 1→customer 2→depot 1 T2: depot 2→customer 3→depot 2→customer 4→port→depot 1 | 76 units |
| (iii) | T1: depot 1→port→customer 1→depot 1→customer 1→customer 2→depot 1 T2: depot 1→customer 4→port→depot 1 T3: depot 1→customer 3→depot 1 | 113 units |
| (iv) | T1: depot 1→port→customer 1→depot 1→customer 1→customer 2→depot 1 T2: depot 2→customer 4→port→depot 1 T3: depot 2→customer 3→depot 2 | 89 units |
| Task Vertices | Activities for Task Vertices |
|---|---|
| Delivering an empty container | |
| Delivering a full container | |
| Picking up an empty container | |
| Picking up a full container |
| From Vertex | |||||
|---|---|---|---|---|---|
| / | Pick up an empty container and travel to j | Travel to the port, pick up a full container, and travel to j | Travel to j | Travel to j | |
| Travel to j | / | Travel to the port, pick up a full container, and travel to j | Travel to j | Travel to j | |
| Travel to j | / | Travel to the port, pick up a full container, and travel to j | Travel to j | Travel to j | |
| Travel to j and deliver an empty container | Travel to j | / | / | / | |
| Travel to the port, deliver a full container, and travel to j | / | Travel to the port, deliver and pick up a full container, and travel to j | Travel to the port, deliver a full container, and travel to j | Travel to the port, deliver a full container, and travel to j | |
| Instance | No. of All Tasks | No. of Each Type of Tasks | No. of Empty Containers at Each Depot | Cost | Time (s) | Gap from Gurobi (%) | ||
|---|---|---|---|---|---|---|---|---|
| Gurobi | GA | Gurobi | GA | |||||
| 1 | 3 | (1, 0, 0, 0, 1, 1) | (1, 0, 1, 0, 0, 0) | 84.7 | 85.6 | 37 | 0.60 | 1.06 |
| 2 | 4 | (0, 1, 1, 0, 1, 1) | (1, 0, 1, 0, 0, 0) | 81.8 | 81.8 | 32 | 1.38 | 0.00 |
| 3 | 6 | (1, 2, 0, 1, 2, 0) | (1, 0, 1, 0, 0, 0) | 126.7 | 126.7 | 47 | 1.50 | 0.00 |
| 4 | 6 | (0, 1, 0, 1, 4, 0) | (1, 0, 1, 0, 0, 0) | 147.3 | 147.3 | 67 | 6.44 | 0.00 |
| 5 | 7 | (0, 1, 0, 2, 1, 3) | (1, 0, 1, 0, 0, 0) | 171.9 | 171.9 | 72 | 6.71 | 0.00 |
| 6 | 7 | (0, 0, 0, 2, 1, 4) | (1, 0, 0, 2, 1, 0) | 192.5 | 192.5 | 1131 | 11.42 | 0.00 |
| 7 | 12 | (3, 3, 1, 1, 3, 1) | (0, 1, 1, 0, 0, 0) | 226.4 | 231.3 | 178 | 22.18 | 2.16 |
| 8 | 12 | (0, 0, 3, 0, 8, 1) | (0, 0, 1, 2, 1, 0) | 291.2 | 305.0 | 1377 | 34.46 | 4.74 |
| 9 | 16 | (3, 2, 2, 3, 3, 3) | (1, 0, 0, 0, 2, 1) | 312.9 | 326.2 | 796 | 33.44 | 4.25 |
| 10 | 19 | (2, 2, 4, 5, 2, 4) | (4, 1, 0, 0, 3, 0) | 367.1 | 380.8 | 747 | 29.16 | 3.73 |
| Instance | No. of All Tasks | No. of Each Type of Tasks | No. of Empty Containers at Each Depot | Cost | Time (s) | Gap from Gurobi (%) | ||
|---|---|---|---|---|---|---|---|---|
| Gurobi | GA | Gurobi | GA | |||||
| 11 | 19 | (0, 0, 0, 4, 4, 11) | (5, 0, 0, 3, 0, 0) | 516.9 | 525.8 | 3600 | 71.49 | 1.72 |
| 12 | 23 | (3, 2, 5, 5, 3, 5) | (0, 3, 5, 0, 0, 0) | 453.9 | 469.0 | 3600 | 58.34 | 3.33 |
| 13 | 26 | (4, 5, 5, 4, 4, 4) | (3, 0, 0, 1, 0, 2) | 455.0 | 484.8 | 3600 | 43.58 | 6.55 |
| 14 | 26 | (2, 2, 2, 0, 10, 10) | (0, 5, 2, 0, 0, 1) | 765.0 | 755.3 | 3600 | 10.35 | −1.27 |
| 15 | 29 | (6, 6, 3, 3, 7, 4) | (0, 1, 0, 0, 3, 1) | 542.3 | 567.1 | 3600 | 67.58 | 4.57 |
| 16 | 29 | (3, 2, 2, 0, 11, 11) | (4, 0, 4, 4, 0, 1) | 814.0 | 745.5 | 3600 | 57.99 | −8.41 |
| 17 | 29 | (3, 1, 2, 0, 17, 6) | (0, 0, 3, 0, 1, 0) | 815.5 | 815.6 | 3600 | 32.03 | 0.01 |
| 18 | 30 | (5, 6, 3, 6, 4, 6) | (1, 0, 4, 3, 0, 0) | 576.6 | 571.2 | 3600 | 84.64 | −0.94 |
| 19 | 34 | (6, 8, 6, 2, 8, 4) | (0, 3, 2, 0, 0, 0) | 646.4 | 663.8 | 3600 | 77.74 | 2.69 |
| 20 | 35 | (3, 2, 2, 1, 21, 6) | (0, 5, 0, 1, 1, 0) | 957.9 | 926.9 | 3600 | 55.30 | −3.23 |
| Instance | No. of All Tasks | No. of Each Type of Task | No. of Empty Containers at Each Depot | GA | |
|---|---|---|---|---|---|
| Cost | Time (s) | ||||
| 21 | 38 | (4, 4, 9, 9, 4, 8) | (4, 4, 0, 0, 0, 5) | 796.2 | 58.36 |
| 22 | 43 | (5, 5, 10, 10, 5, 8) | (5, 3, 4, 1, 0, 2) | 875.5 | 56.66 |
| 23 | 46 | (11, 10, 6, 5, 9, 5) | (0, 1, 2, 0, 1, 2) | 898.0 | 64.53 |
| 24 | 46 | (3, 3, 3, 3, 24, 10) | (0, 2, 0, 0, 6, 0) | 1257.0 | 84.22 |
| 25 | 48 | (2, 0, 3, 0, 22, 21) | (8, 0, 6, 4, 4, 0) | 1396.9 | 76.65 |
| 26 | 49 | (9, 8, 6, 10, 8, 8) | (2, 4, 0, 2, 0, 1) | 1095.5 | 33.16 |
| 27 | 54 | (12, 12, 6, 6, 12, 6) | (0, 0, 4, 1, 0, 0) | 1067.7 | 72.27 |
| 28 | 54 | (4, 2, 4, 0, 32, 12) | (0, 0, 4, 0, 6, 0) | 1575.8 | 100.52 |
| 29 | 58 | (10, 10, 10, 10, 9, 9) | (0, 4, 5, 0, 2, 0) | 1192.6 | 74.51 |
| 30 | 58 | (4, 3, 4, 3, 22, 22) | (6, 5, 4, 0, 5, 0) | 1596.8 | 95.65 |
| 31 | 59 | (6, 6, 14, 14, 7, 12) | (5, 5, 5, 0, 0, 5) | 1201.4 | 91.76 |
| 32 | 63 | (11, 10, 11, 11, 10, 10) | (4, 5, 2, 0, 3, 0) | 1269.2 | 106.18 |
| 33 | 68 | (16, 16, 7, 8, 14, 7) | (0, 2, 0, 2, 4, 0) | 1360.3 | 102.14 |
| 34 | 68 | (4, 6, 1, 3, 37, 17) | (4, 4, 0, 0, 0, 0) | 1901.2 | 115.58 |
| 35 | 70 | (4, 2, 1, 7, 16, 40) | (7, 7, 7, 3, 7, 1) | 2023.5 | 99.95 |
| 36 | 75 | (13, 12, 12, 14, 12, 12) | (4, 2, 1, 3, 3, 0) | 1470.4 | 113.87 |
| 37 | 75 | (16, 17, 9, 9, 15, 9) | (2, 5, 5, 0, 1, 0) | 1525.5 | 87.36 |
| 38 | 75 | (8, 9, 16, 17, 9, 16) | (5, 5, 5, 5, 5, 0) | 1463.9 | 105.59 |
| 39 | 75 | (4, 2, 6, 3, 30, 30) | (7, 7, 7, 5, 5, 0) | 2136.9 | 93.52 |
| 40 | 75 | (4, 2, 6, 3, 40, 20) | (7, 7, 7, 2, 7, 5) | 2161.9 | 104.60 |
| Instance | No. of All Tasks | No. of Each Type of Task | No. of Empty Containers at Each Depot | GA | |
|---|---|---|---|---|---|
| Cost | Time (s) | ||||
| 41 | 100 | (10, 10, 10, 10, 30(0), 30(0)) | (0, 7, 6, 8, 4, 8) | 2474.6 | 375.90 |
| 42 | 120 | (5, 5, 5, 5, 50(10), 50(10)) | (8, 8, 8, 8, 9, 9) | 3487.0 | 441.60 |
| 43 | 140 | (10, 10, 10, 10, 50(0), 50(0)) | (0, 10, 10, 10, 10, 10) | 3540.3 | 898.88 |
| 44 | 190 | (10, 10, 10, 10, 75(15), 75(15)) | (15, 15, 15, 10, 10, 10) | 5630.0 | 1506.54 |
| 45 | 220 | (20, 20, 20, 20, 70(0), 70(0)) | (20, 15, 10, 10, 10, 10) | 5548.5 | 1207.03 |
| 46 | 260 | (10, 10, 10, 10, 110(20), 110(20)) | (20, 20, 20, 20, 10, 10) | 8140.3 | 1593.20 |
| 47 | 280 | (20, 20, 20, 20, 100(0), 100(0)) | (20, 20, 20, 20, 10, 10) | 7724.0 | 3598.63 |
| 48 | 360 | (15, 15, 15, 15, 150(30), 150(30)) | (30, 30, 20, 20, 20, 20) | 11,847.1 | 3642.90 |
| 49 | 420 | (25, 25, 25, 25, 160(20), 160(20)) | (30, 20, 30, 30, 30, 30) | 13,756.0 | 3655.67 |
| 50 | 480 | (30, 30, 30, 30, 180(40), 180(40)) | (40, 40, 30, 30, 30, 30) | 16,235.6 | 3623.27 |
| Instance | Minimum | Maximum | Average | Difference (%) |
|---|---|---|---|---|
| 41 | 2468.65 | 2478.72 | 2474.32 | 0.41 |
| 42 | 3483.07 | 3489.51 | 3486.19 | 0.18 |
| 43 | 3537.54 | 3544.82 | 3542.25 | 0.21 |
| 46 | 8136.37 | 8147.56 | 8141.22 | 0.14 |
| 47 | 7719.79 | 7726.67 | 7722.82 | 0.09 |
| Instance | Cost | Time (s) | Cost Saving from D/D (%) | ||||||||
|---|---|---|---|---|---|---|---|---|---|---|---|
| D/D | D/SD | SD/D | SD/SD | D/D | D/SD | SD/D | SD/SD | D/SD | SD/D | SD/SD | |
| 16 | 985 | 934 | 862 | 767 | 18 | 26 | 37 | 57 | 5.18 | 12.49 | 22.13 |
| 39 | 2853 | 2822 | 2423 | 2137 | 33 | 46 | 72 | 94 | 1.09 | 15.07 | 25.10 |
| 41 | 3459 | 3320 | 2537 | 2475 | 83 | 186 | 448 | 376 | 4.02 | 26.66 | 28.45 |
| 42 | 4627 | 4441 | 3609 | 3487 | 310 | 257 | 498 | 442 | 4.02 | 22.00 | 24.64 |
| 43 | 5195 | 4965 | 3849 | 3540 | 171 | 447 | 631 | 899 | 4.43 | 25.91 | 31.86 |
| 44 | 7050 | 6860 | 5805 | 5630 | 197 | 447 | 892 | 1507 | 2.70 | 17.66 | 20.14 |
| 45 | 7898 | 7551 | 5943 | 5548 | 362 | 610 | 1020 | 1207 | 4.39 | 24.75 | 29.75 |
| 46 | 10,269 | 9752 | 8342 | 8140 | 761 | 1533 | 1377 | 1593 | 5.03 | 18.77 | 20.73 |
| 47 | 10,539 | 10,068 | 7859 | 7724 | 1088 | 1508 | 3625 | 3599 | 4.47 | 25.43 | 26.71 |
| 48 | 14,094 | 13,521 | 11,920 | 11,847 | 2035 | 3292 | 3638 | 3643 | 4.07 | 15.43 | 15.94 |
| 49 | 15,983 | 15,403 | 13,869 | 13,756 | 3009 | 3158 | 3847 | 3656 | 3.63 | 13.23 | 13.93 |
| 50 | 18,130 | 17,540 | 16,413 | 16,236 | 3198 | 3616 | 3745 | 3623 | 3.25 | 9.47 | 10.45 |
| Average | 8424 | 8098 | 6953 | 6774 | 939 | 1261 | 1653 | 1725 | 3.86 | 18.90 | 22.49 |
| Cost Saving (%) | ||||
|---|---|---|---|---|
| Instance 21 | Instance 39 | Instance 41 | Instance 43 | |
| 1 | −18.73 | −13.38 | −12.55 | −16.92 |
| 2 | −6.49 | −3.78 | −0.50 | −7.70 |
| 4 | 4.54 | 5.72 | 13.83 | 11.20 |
| 6 | 16.66 | 19.57 | 22.26 | 18.57 |
| 8 | 24.68 | 21.89 | 26.18 | 23.99 |
| 10 | 28.18 | 29.31 | 34.89 | 32.42 |
| 20 | 39.81 | 40.45 | 44.86 | 43.19 |
| 50 | 48.64 | 49.56 | 54.10 | 52.21 |
| 100 | 51.70 | 54.04 | 56.49 | 55.86 |
| 200 | 53.81 | 56.13 | 57.49 | 58.44 |
| 400 | 54.96 | 57.21 | 57.53 | 58.61 |
| Category | Instance 21 | Instance 39 | Instance 41 | Instance 43 | ||||
|---|---|---|---|---|---|---|---|---|
| Cost | Cost | Cost | Cost | |||||
| 1-A | (2, 2, 2, 2, 2, 2) | 789.69 | (3, 3, 5, 5, 7, 7) | 2159.71 | (8, 8, 5, 5, 3, 3) | 2392.20 | (2, 9, 7, 7, 5, 5) | 3664.96 |
| 1-B | (1, 1, 2, 2, 3, 3) | 793.06 | (5, 5, 5, 5, 5, 5) | 2153.64 | (6, 6, 5, 5, 5, 5) | 2488.00 | (0, 7, 7, 7, 7, 7) | 3636.37 |
| 2-A | (3, 3, 2, 2, 2, 2) | 773.48 | (6, 6, 6, 5, 5, 5) | 2102.90 | (8, 8, 6, 6, 4, 4) | 2365.50 | (0, 8, 8, 8, 8, 8) | 3593.61 |
| 2-B | (2, 2, 2, 2, 3, 3) | 791.96 | (4, 4, 6, 5, 7, 7) | 2143.25 | (6, 6, 6, 6, 6, 6) | 2414.27 | (2, 10, 8, 8, 6, 6) | 3608.06 |
| 3-A | (3, 3, 3, 3, 2, 2) | 756.42 | (6, 6, 6, 6, 6, 6) | 2086.15 | (9, 9, 7, 7, 4, 4) | 2349.23 | (0, 9, 9, 9, 9, 9) | 3586.52 |
| 3-B | (2, 2, 3, 3, 3, 3) | 789.18 | (4, 4, 6, 6, 8, 8) | 2125.96 | (7, 7, 7, 7, 6, 6) | 2382.84 | (2, 11, 9, 9, 7, 7) | 3592.90 |
| 4-A | (3, 3, 3, 3, 3, 3) | 749.53 | (7, 7, 7, 6, 6, 6) | 2069.33 | (10, 10, 7, 7, 5, 5) | 2341.97 | (0, 10, 10, 10, 10, 10) | 3555.77 |
| 4-B | (2, 2, 3, 3, 4, 4) | 784.87 | (5, 5, 7, 6, 8, 8) | 2123.79 | (8, 8, 7, 7, 7, 7) | 2370.54 | (2, 12, 10, 10, 8, 8) | 3588.73 |
| 5-A | (4, 4, 3, 3, 3, 3) | 740.93 | (7, 7, 7, 7, 7, 7) | 2026.07 | (10, 10, 8, 8, 6, 6) | 2335.92 | (0, 11, 11, 11, 11, 11) | 3497.62 |
| 5-B | (3, 3, 3, 3, 4, 4) | 782.73 | (5, 5, 7, 7, 9, 9) | 2115.94 | (8, 8, 8, 8, 8, 8) | 2360.98 | (2, 13, 11, 11, 9, 9) | 3579.13 |
| Number of Depots | Cost | |||
|---|---|---|---|---|
| Instance 21 | Instance 39 | Instance 41 | Instance 43 | |
| 1 | 926.97 | 2880.25 | 3292.26 | 4959.27 |
| 2 | 869.41 | 2571.80 | 3066.30 | 4298.82 |
| 3 | 812.54 | 2347.85 | 2830.62 | 4137.08 |
| 4 | 783.85 | 2207.23 | 2595.31 | 3855.19 |
| 5 | 762.95 | 2182.35 | 2535.63 | 3746.03 |
| 6 | 758.92 | 2147.53 | 2473.79 | 3589.27 |
| 7 | 756.17 | 2115.44 | 2445.88 | 3503.87 |
| 8 | 753.88 | 2109.50 | 2417.44 | 3482.68 |
Disclaimer/Publisher’s Note: The statements, opinions and data contained in all publications are solely those of the individual author(s) and contributor(s) and not of MDPI and/or the editor(s). MDPI and/or the editor(s) disclaim responsibility for any injury to people or property resulting from any ideas, methods, instructions or products referred to in the content. |
© 2024 by the authors. Licensee MDPI, Basel, Switzerland. This article is an open access article distributed under the terms and conditions of the Creative Commons Attribution (CC BY) license (https://creativecommons.org/licenses/by/4.0/).
Share and Cite
Yu, X.; Feng, Y.; He, C.; Liu, C. Modeling and Optimization of Container Drayage Problem with Empty Container Constraints across Multiple Inland Depots. Sustainability 2024, 16, 5090. https://doi.org/10.3390/su16125090
Yu X, Feng Y, He C, Liu C. Modeling and Optimization of Container Drayage Problem with Empty Container Constraints across Multiple Inland Depots. Sustainability. 2024; 16(12):5090. https://doi.org/10.3390/su16125090
Chicago/Turabian StyleYu, Xuhui, Yin Feng, Cong He, and Chang Liu. 2024. "Modeling and Optimization of Container Drayage Problem with Empty Container Constraints across Multiple Inland Depots" Sustainability 16, no. 12: 5090. https://doi.org/10.3390/su16125090
APA StyleYu, X., Feng, Y., He, C., & Liu, C. (2024). Modeling and Optimization of Container Drayage Problem with Empty Container Constraints across Multiple Inland Depots. Sustainability, 16(12), 5090. https://doi.org/10.3390/su16125090
