Analysis of Land Use Change and Its Economic and Ecological Value under the Optimal Scenario and Green Development Advancement Policy: A Case Study of Hechi, China
Abstract
1. Introduction
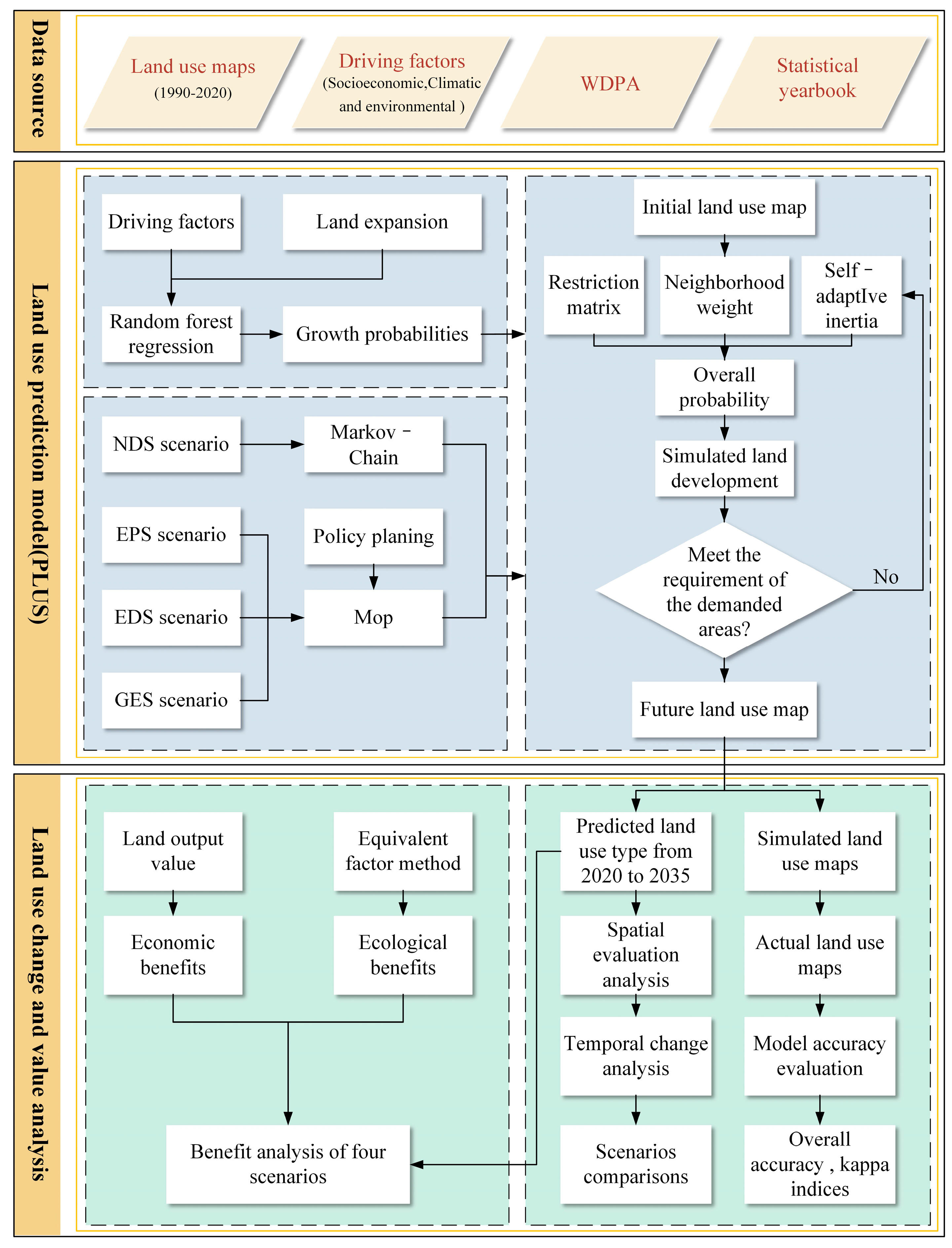
2. Research Methodology
2.1. PLUS Model
2.1.1. Land Expansion Analysis
2.1.2. Land Use Prediction Module
2.2. Accuracy Verification
2.3. Use of MOP to Generate Land Use Scenarios
2.3.1. Scenario Design
2.3.2. Constraint Conditions
2.4. Land Value Assessment
3. Materials and Methods
3.1. Study Area
3.2. Data Sources and Processing
4. Results
4.1. Land Use Change, 1990–2020
4.2. Potential Drivers of LUCC
4.3. Predicting Different LUCCs in Multiple Scenarios
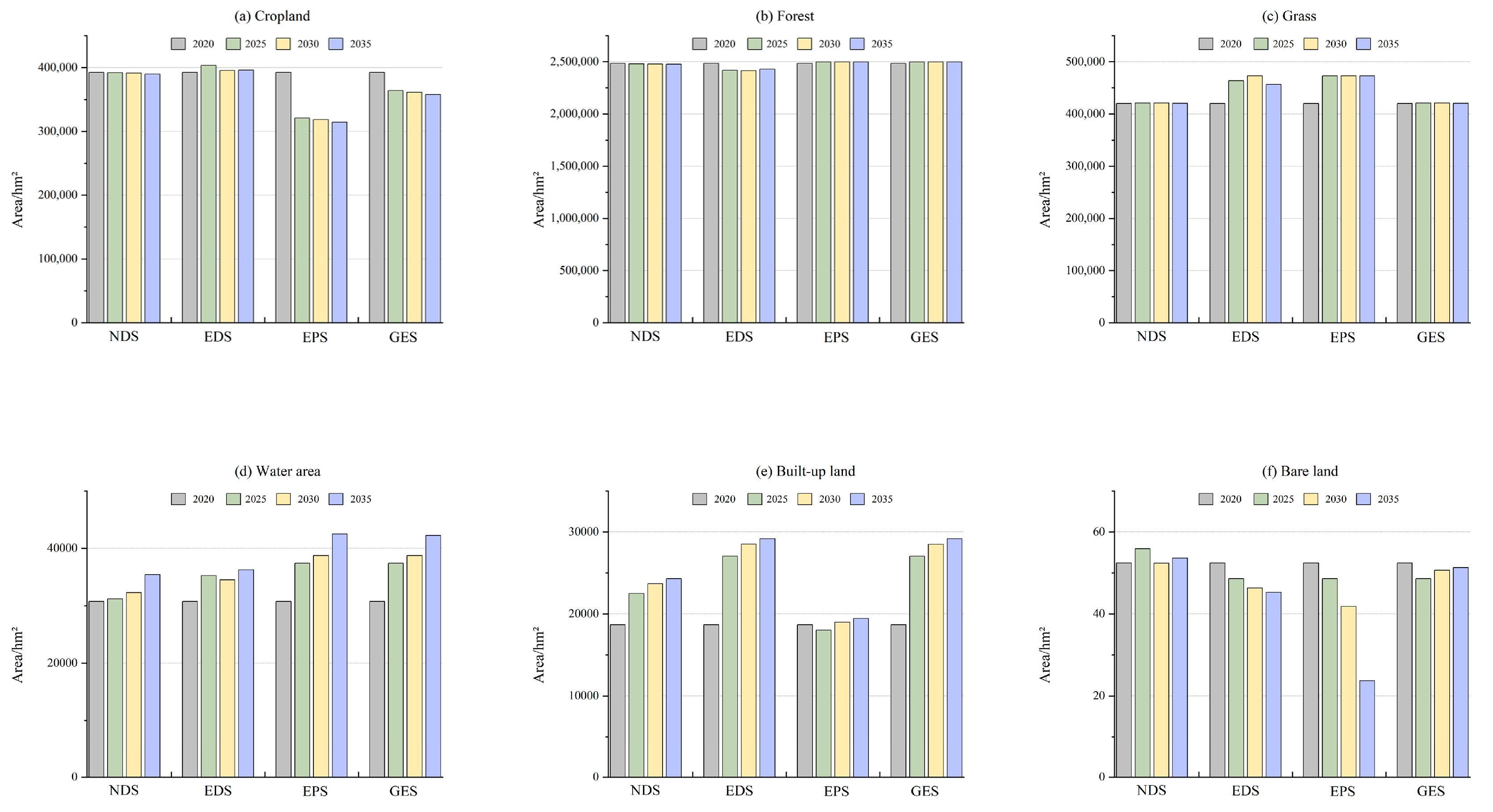
4.3.1. Spatial Changes in Land Use Types
4.3.2. Temporal Changes in Land Use Types
4.4. Evaluation of Ecological and Economic Value under Different Scenarios
5. Discussion
5.1. Feasibility of the Research Frame
5.2. Potential Contribution to Local Policies
5.3. Limitations
6. Conclusions
Author Contributions
Funding
Institutional Review Board Statement
Informed Consent Statement
Data Availability Statement
Conflicts of Interest
References
- Chhabra, A.; Geist, H.; Houghton, R.A.; Haberl, H.; Braimoh, A.K.; Vlek, P.L.; Patz, J.; Xu, J.; Ramankutty, N.; Coomes, O. Multiple impacts of land-use/cover change. In Land-Use and Land-Cover Change: Local Processes and Global Impacts; Springer: Berlin/Heidelberg, Germany, 2006; pp. 71–116. [Google Scholar]
- Liu, J.; Diamond, J. China’s environment in a globalizing world. Nature 2005, 435, 1179–1186. [Google Scholar] [CrossRef]
- Zhou, X.; Kang, C. Land use/cover change analysis in Wuhan city based on RS and GIS. In Proceedings of the 2011 19th International Conference on Geoinformatics, Shanghai, China, 24–26 June 2011; pp. 1–5. [Google Scholar]
- UN. Transforming Our World: The 2030 Agenda for Sustainable Development; United Nations: New York, NY, USA, 2015. [Google Scholar]
- Ma, T.T.; Li, X.; Bai, J.; Cui, B. Tracking three decades of land use and land cover transformation trajectories in China’s large river deltas. Land Degrad. Dev. 2019, 30, 799–810. [Google Scholar] [CrossRef]
- Peng, L.; Tang, C.; Zhang, X.; Duan, J.; Yang, L.; Liu, S. Quantifying the effects of root and soil properties on soil detachment capacity in agricultural land use of Southern China. Forests 2022, 13, 1788. [Google Scholar] [CrossRef]
- Zhu, Y. Policy Entrepreneur, Civic Engagement and Local Policy Innovation in China: Housing Monetarisation Reform in Guizhou Province. Aust. J. Public Adm. 2012, 71, 191–200. [Google Scholar] [CrossRef]
- Li, C.; Wu, Y.; Gao, B.; Zheng, K.; Wu, Y.; Li, C. Multi-scenario simulation of ecosystem service value for optimization of land use in the Sichuan-Yunnan ecological barrier, China. Ecol. Indic. 2021, 132, 108328. [Google Scholar] [CrossRef]
- Wang, Y.; Li, X.; Zhang, Q.; Li, J.; Zhou, X. Projections of future land use changes: Multiple scenarios-based impacts analysis on ecosystem services for Wuhan city, China. Ecol. Indic. 2018, 94, 430–445. [Google Scholar] [CrossRef]
- Wu, J.; Luo, J.; Zhang, H.; Qin, S.; Yu, M. Projections of land use change and habitat quality assessment by coupling climate change and development patterns. Sci. Total Environ. 2022, 847, 157491. [Google Scholar] [CrossRef] [PubMed]
- Hu, S.; Chen, L.; Li, L.; Zhang, T.; Yuan, L.; Cheng, L.; Wang, J.; Wen, M. Simulation of land use change and ecosystem service value dynamics under ecological constraints in Anhui Province, China. Int. J. Environ. Res. Public Health 2020, 17, 4228. [Google Scholar] [CrossRef]
- Peng, K.; Jiang, W.; Wang, X.; Hou, P.; Wu, Z.; Cui, T. Evaluation of future wetland changes under optimal scenarios and land degradation neutrality analysis in the Guangdong-Hong Kong-Macao Greater Bay Area. Sci. Total Environ. 2023, 879, 163111. [Google Scholar] [CrossRef]
- Zhu, W.; Jiang, Z.; Cen, L.; Wu, H. Evaluation, simulation, and optimization of land use spatial patterns for high-quality development: A case study of Zhengzhou city, China. J. Geogr. Sci. 2023, 33, 266–288. [Google Scholar] [CrossRef]
- Wu, H.; Lin, A.; Xing, X.; Song, D.; Li, Y. Identifying core driving factors of urban land use change from global land cover products and POI data using the random forest method. Int. J. Appl. Earth Obs. Geoinf. 2021, 103, 102475. [Google Scholar] [CrossRef]
- Zhou, L.; Dang, X.; Sun, Q.; Wang, S. Multi-scenario simulation of urban land change in Shanghai by random forest and CA-Markov model. Sustain. Cities Soc. 2020, 55, 102045. [Google Scholar] [CrossRef]
- Rahnama, M.R. Forecasting land-use changes in Mashhad Metropolitan area using Cellular Automata and Markov chain model for 2016–2030. Sustain. Cities Soc. 2021, 64, 102548. [Google Scholar] [CrossRef]
- Tan, J.; Li, A.; Lei, G.; Xie, X. A SD-MaxEnt-CA model for simulating the landscape dynamic of natural ecosystem by considering socio-economic and natural impacts. Ecol. Model. 2019, 410, 108783. [Google Scholar] [CrossRef]
- Chang, Y.-C.; Ko, T.-T. An interactive dynamic multi-objective programming model to support better land use planning. Land Use Policy 2014, 36, 13–22. [Google Scholar] [CrossRef]
- Zhao, C.; Zhou, Y.; Lai, X. An integrated framework with evolutionary algorithm for multi-scenario multi-objective optimization problems. Inf. Sci. 2022, 600, 342–361. [Google Scholar] [CrossRef]
- Liang, X.; Liu, X.; Li, D.; Zhao, H.; Chen, G. Urban growth simulation by incorporating planning policies into a CA-based future land-use simulation model. Int. J. Geogr. Inf. Sci. 2018, 32, 2294–2316. [Google Scholar] [CrossRef]
- Huang, D.; Huang, J.; Liu, T. Delimiting urban growth boundaries using the CLUE-S model with village administrative boundaries. Land Use Policy 2019, 82, 422–435. [Google Scholar] [CrossRef]
- Wang, S.; Zheng, X. Dominant transition probability: Combining CA-Markov model to simulate land use change. Environ. Dev. Sustain. 2023, 25, 6829–6847. [Google Scholar] [CrossRef]
- Liang, X.; Guan, Q.; Clarke, K.C.; Liu, S.; Wang, B.; Yao, Y. Understanding the drivers of sustainable land expansion using a patch-generating land use simulation (PLUS) model: A case study in Wuhan, China. Comput. Environ. Urban Syst. 2021, 85, 101569. [Google Scholar] [CrossRef]
- Luan, C.; Liu, R. A comparative study of various land use and land cover change models to predict ecosystem service value. Int. J. Environ. Res. Public Health 2022, 19, 16484. [Google Scholar] [CrossRef]
- Zhang, Y.; Chang, X.; Liu, Y.; Lu, Y.; Wang, Y.; Liu, Y. Urban expansion simulation under constraint of multiple ecosystem services (MESs) based on cellular automata (CA)-Markov model: Scenario analysis and policy implications. Land Use Policy 2021, 108, 105667. [Google Scholar] [CrossRef]
- Zhang, Z.; Hu, B.; Jiang, W.; Qiu, H. Spatial and temporal variation and prediction of ecological carrying capacity based on machine learning and PLUS model. Ecol. Indic. 2023, 154, 110611. [Google Scholar] [CrossRef]
- Yang, Y.; Wang, H.; Li, X.; Huang, X.; Lyu, X.; Tian, H.; Qu, T. How will ecosystem carbon sequestration contribute to the reduction of regional carbon emissions in the future? analysis based on the MOP-PLUS model framework. Ecol. Indic. 2023, 156, 111156. [Google Scholar] [CrossRef]
- Aung, T.S.; Fischer, T.B.; Buchanan, J. Land use and land cover changes along the China-Myanmar Oil and Gas pipelines–Monitoring infrastructure development in remote conflict-prone regions. PLoS ONE 2020, 15, e0237806. [Google Scholar] [CrossRef] [PubMed]
- Shafizadeh-Moghadam, H.; Minaei, M.; Pontius Jr, R.G.; Asghari, A.; Dadashpoor, H. Integrating a forward feature selection algorithm, random forest, and cellular automata to extrapolate urban growth in the Tehran-Karaj Region of Iran. Comput. Environ. Urban Syst. 2021, 87, 101595. [Google Scholar] [CrossRef]
- Li, X.; Fu, J.; Jiang, D.; Lin, G.; Cao, C. Land use optimization in Ningbo City with a coupled GA and PLUS model. J. Clean. Prod. 2022, 375, 134004. [Google Scholar] [CrossRef]
- Lin, X.; Jiao, X.; Tian, Z.; Sun, Q.; Zhang, Y.; Zhang, P.; Ji, Z.; Chen, L.; Lun, F.; Chang, X. Projecting diversity conflicts of future land system pathways in China under anthropogenic and climate forcing. Earth’s Future 2023, 11, e2022EF003406. [Google Scholar] [CrossRef]
- Yang, S.; Su, H.; Zhao, G. Multi-scenario simulation of urban ecosystem service value based on PLUS model: A case study of Hanzhong city. J. Arid. Land. Res. Env. 2022, 36, 86–95. [Google Scholar]
- Hu, Y.; Batunacun; Zhen, L.; Zhuang, D. Assessment of land-use and land-cover change in Guangxi, China. Sci. Rep. 2019, 9, 2189. [Google Scholar] [CrossRef]
- Zhang, T.; Cheng, C.; Wu, X. Mapping the spatial heterogeneity of global land use and land cover from 2020 to 2100 at a 1 km resolution. Sci. Data 2023, 10, 748. [Google Scholar] [CrossRef] [PubMed]
- Lin, J.; He, P.; Yang, L.; He, X.; Lu, S.; Liu, D. Predicting future urban waterlogging-prone areas by coupling the maximum entropy and FLUS model. Sustain. Cities Soc. 2022, 80, 103812. [Google Scholar] [CrossRef]
- Bu, R.; Chang, Y.; Hu, Y.; Li, X.; He, H. Measuring spatial information changes using Kappa coefficients: A case study of the city groups in central Liaoning province. Acta Ecol. Sin. 2005, 25, 778–784. [Google Scholar]
- Zhang, S.; Yang, P.; Xia, J.; Wang, W.; Cai, W.; Chen, N.; Hu, S.; Luo, X.; Li, J.; Zhan, C. Land use/land cover prediction and analysis of the middle reaches of the Yangtze River under different scenarios. Sci. Total Environ. 2022, 833, 155238. [Google Scholar] [CrossRef] [PubMed]
- Gardiner, L.R.; Steuer, R.E. Unified interactive multiple objective programming. Eur. J. Oper. Res. 1994, 74, 391–406. [Google Scholar] [CrossRef]
- Peng, K.; Jiang, W.; Deng, Y.; Liu, Y.; Wu, Z.; Chen, Z. Simulating wetland changes under different scenarios based on integrating the random forest and CLUE-S models: A case study of Wuhan Urban Agglomeration. Ecol. Indic. 2020, 117, 106671. [Google Scholar] [CrossRef]
- Xie, G.; Zhang, C.-X.; Zhang, L.-M.; Chen, W.; Li, S. Improvement of the evaluation method for ecosystem service value based on per unit area. J. Nat. Resour. 2015, 30, 1243. [Google Scholar]
- Gao, M.; Hu, Y.; Bai, Y. Construction of ecological security pattern in national land space from the perspective of the community of life in mountain, water, forest, field, lake and grass: A case study in Guangxi Hechi, China. Ecol. Indic. 2022, 139, 108867. [Google Scholar] [CrossRef]
- Li, C.; Su, K.; Liang, X.; Jiang, X.; Wang, J.; You, Y.; Wang, L.; Chang, S.; Wei, C.; Zhang, Y. Identification of priority areas to provide insights for ecological protection planning: A case study in Hechi, China. Ecol. Indic. 2023, 154, 110738. [Google Scholar] [CrossRef]
- Long, Y.; Han, H.; Lai, S.-K.; Mao, Q. Urban growth boundaries of the Beijing Metropolitan Area: Comparison of simulation and artwork. Cities 2013, 31, 337–348. [Google Scholar] [CrossRef]
- UNEP-WCMC; IUCN. Protected Planet: The World Database on Protected Areas (WDPA); UNEP-WCMC: Cambridge, UK; IUCN: Cambridge, UK, 2020. [Google Scholar]
- Schillaci, C.; Jones, A.; Vieira, D.; Munafò, M.; Montanarella, L. Evaluation of the United Nations Sustainable Development Goal 15.3.1 indicator of land degradation in the European Union. Land Degrad. Dev. 2023, 34, 250–268. [Google Scholar] [CrossRef]
- Tian, P.; Cao, L.; Li, J.; Pu, R.; Gong, H.; Li, C. Landscape characteristics and ecological risk assessment based on multi-scenario simulations: A case study of Yancheng Coastal Wetland, China. Sustainability 2020, 13, 149. [Google Scholar] [CrossRef]
- Zhang, D.; Liu, X.; Wu, X.; Yao, Y.; Wu, X.; Chen, Y. Multiple intra-urban land use simulations and driving factors analysis: A case study in Huicheng, China. GIScience Remote Sens. 2019, 56, 282–308. [Google Scholar] [CrossRef]
- Liu, X.; Liang, X.; Li, X.; Xu, X.; Ou, J.; Chen, Y.; Li, S.; Wang, S.; Pei, F. A future land use simulation model (FLUS) for simulating multiple land use scenarios by coupling human and natural effects. Landsc. Urban Plan. 2017, 168, 94–116. [Google Scholar] [CrossRef]
- Wu, M.; Ren, X.; Che, Y.; Yang, K. A coupled SD and CLUE-S model for exploring the impact of land use change on ecosystem service value: A case study in Baoshan District, Shanghai, China. Environ. Manag. 2015, 56, 402–419. [Google Scholar] [CrossRef] [PubMed]
- Xiao, Y.; Huang, M.; Xie, G.; Zhen, L. Evaluating the impacts of land use change on ecosystem service values under multiple scenarios in the Hunshandake region of China. Sci. Total Environ. 2022, 850, 158067. [Google Scholar] [CrossRef] [PubMed]
- Ji, X.; Sun, Y.; Guo, W.; Zhao, C.; Li, K. Land use and habitat quality change in the Yellow River Basin: A perspective with different CMIP6-based scenarios and multiple scales. J. Environ. Manag. 2023, 345, 118729. [Google Scholar] [CrossRef] [PubMed]
- Xu, L.; Liu, X.; Tong, D.; Liu, Z.; Yin, L.; Zheng, W. Forecasting urban land use change based on cellular automata and the PLUS model. Land 2022, 11, 652. [Google Scholar] [CrossRef]
- Diniz, M.F.; Coelho, M.T.P.; Sánchez-Cuervo, A.M.; Loyola, R. How 30 years of land-use changes have affected habitat suitability and connectivity for Atlantic Forest species. Biol. Conserv. 2022, 274, 109737. [Google Scholar] [CrossRef]









| Cropland | Forest | Grass | Water Area | Built-Up Land | Bare Land | |
|---|---|---|---|---|---|---|
| Natural development scenario (NDS) | 0.6 | 0.74 | 0.47 | 0.9 | 0.8 | 0.1 |
| Economic development scenario (EDS) | 0.5 | 1 | 0.5 | 0.9 | 0.5 | 0.1 |
| Ecological protection scenario (EPS) | 0.7 | 0.4 | 0.1 | 0.5 | 1 | 0.1 |
| Green economy scenario (GES) | 0.5 | 0.9 | 0.5 | 0.8 | 0.7 | 0.1 |
| Category | Index | Original Resolution | Period | Data Resources |
|---|---|---|---|---|
| Land use/cover | Land use/cover | 30 m | 1990–2020 | https://www.resdc.cn/ (accessed on 13 August 2023) |
| Socioeconomic drivers | Population | 1 km | 2019 | https://www.resdc.cn/ (accessed on 13 August 2023) |
| GDP | 1 km | 2019 | https://www.resdc.cn/ (accessed on 13 August 2023) | |
| Proximity to governments | \ | 2020 | https://lbs.amap.com/tools/picker (accessed on 20 August 2023) | |
| Proximity to national highways | \ | 2020 | https://www.webmap.cn/ (accessed on 5 September 2023) | |
| Proximity to provincial highways | \ | 2020 | https://www.webmap.cn/ (accessed on 5 September 2023) | |
| Proximity to highways | \ | 2020 | https://www.webmap.cn/ (accessed on 5 September 2023) | |
| Proximity to railways | \ | 2020 | https://www.webmap.cn/ (accessed on 5 September 2023) | |
| Proximity to secondary roads | \ | 2020 | https://www.webmap.cn/ (accessed on 5 September 2023) | |
| Proximity to tertiary roads | \ | 2020 | https://www.webmap.cn/ (accessed on 5 September 2023) | |
| Climatic and environmental drivers | Annual mean temperature | 1 km | 2020 | https://www.resdc.cn/ (accessed on 13 August 2023) |
| Annual precipitation | 1 km | 2020 | https://www.resdc.cn/ (accessed on 13 August 2023) | |
| Soil type | 1 km | 1995 | https://www.resdc.cn/ (accessed on 13 August 2023) | |
| Soil-erosion intensity level | 1 km | 1995 | https://www.resdc.cn/ (accessed on 13 August 2023) | |
| Elevation | 30 m | \ | http://www.gscloud.cn (accessed on 6 September 2023) | |
| Slope | 30 m | \ | http://www.gscloud.cn (accessed on 6 September 2023) | |
| Proximity to open water | \ | 2020 | https://www.webmap.cn/ (accessed on 5 September 2023) |
Disclaimer/Publisher’s Note: The statements, opinions and data contained in all publications are solely those of the individual author(s) and contributor(s) and not of MDPI and/or the editor(s). MDPI and/or the editor(s) disclaim responsibility for any injury to people or property resulting from any ideas, methods, instructions or products referred to in the content. |
© 2024 by the authors. Licensee MDPI, Basel, Switzerland. This article is an open access article distributed under the terms and conditions of the Creative Commons Attribution (CC BY) license (https://creativecommons.org/licenses/by/4.0/).
Share and Cite
Hu, X.; Liao, W.; Wei, Y.; Wei, Z.; Huang, S. Analysis of Land Use Change and Its Economic and Ecological Value under the Optimal Scenario and Green Development Advancement Policy: A Case Study of Hechi, China. Sustainability 2024, 16, 5039. https://doi.org/10.3390/su16125039
Hu X, Liao W, Wei Y, Wei Z, Huang S. Analysis of Land Use Change and Its Economic and Ecological Value under the Optimal Scenario and Green Development Advancement Policy: A Case Study of Hechi, China. Sustainability. 2024; 16(12):5039. https://doi.org/10.3390/su16125039
Chicago/Turabian StyleHu, Xingwang, Weihua Liao, Yifang Wei, Zhiyan Wei, and Shengxia Huang. 2024. "Analysis of Land Use Change and Its Economic and Ecological Value under the Optimal Scenario and Green Development Advancement Policy: A Case Study of Hechi, China" Sustainability 16, no. 12: 5039. https://doi.org/10.3390/su16125039
APA StyleHu, X., Liao, W., Wei, Y., Wei, Z., & Huang, S. (2024). Analysis of Land Use Change and Its Economic and Ecological Value under the Optimal Scenario and Green Development Advancement Policy: A Case Study of Hechi, China. Sustainability, 16(12), 5039. https://doi.org/10.3390/su16125039

