Towards a Sustainable Preservation of Medieval Colors through the Identification of the Binding Media, the Medieval Tempera
Abstract
1. Preamble
1.1. Towards an In-Depth Understanding of Medieval Colors for Their Preservation for Future Generations
1.2. Why Is It Essential to Know the Tempera Used In-Depth?
1.3. A Medieval Color from the 12th Century to the 15th Century
1.4. Advanced Analytical Methods to Disclose a Medieval Color
2. Tempera Based on Gums in Medieval Manuscripts from Portuguese Collections
2.1. Winter Breviary
2.2. Ajuda Songbook
2.3. Books of Hours
2.4. Charter of Vila Flor
3. Materials and Methods
3.1. Artworks
3.2. Micro-Sampling
3.3. Fourier Transform Infrared Microspectroscopy (microFTIR)
4. Spectroscopic Information on the Gums of the Manuscripts
4.1. Black Paints
4.2. Orange Paints Based on Red Lead
4.3. Red Paints Based on Vermilion and a Mixture of Gums
4.4. Pink Paints
4.5. Purple and Blue Paints
4.6. Overview
5. Natural Polysaccharides Exuded from Prosopis spp. and Senegalia spp. Trees
5.1. Ethnobotanical Uses of Gum Mesquite
5.2. Gum Arabic and Mesquite in Plants
5.3. Polysaccharides in Gum Arabic and Mesquite
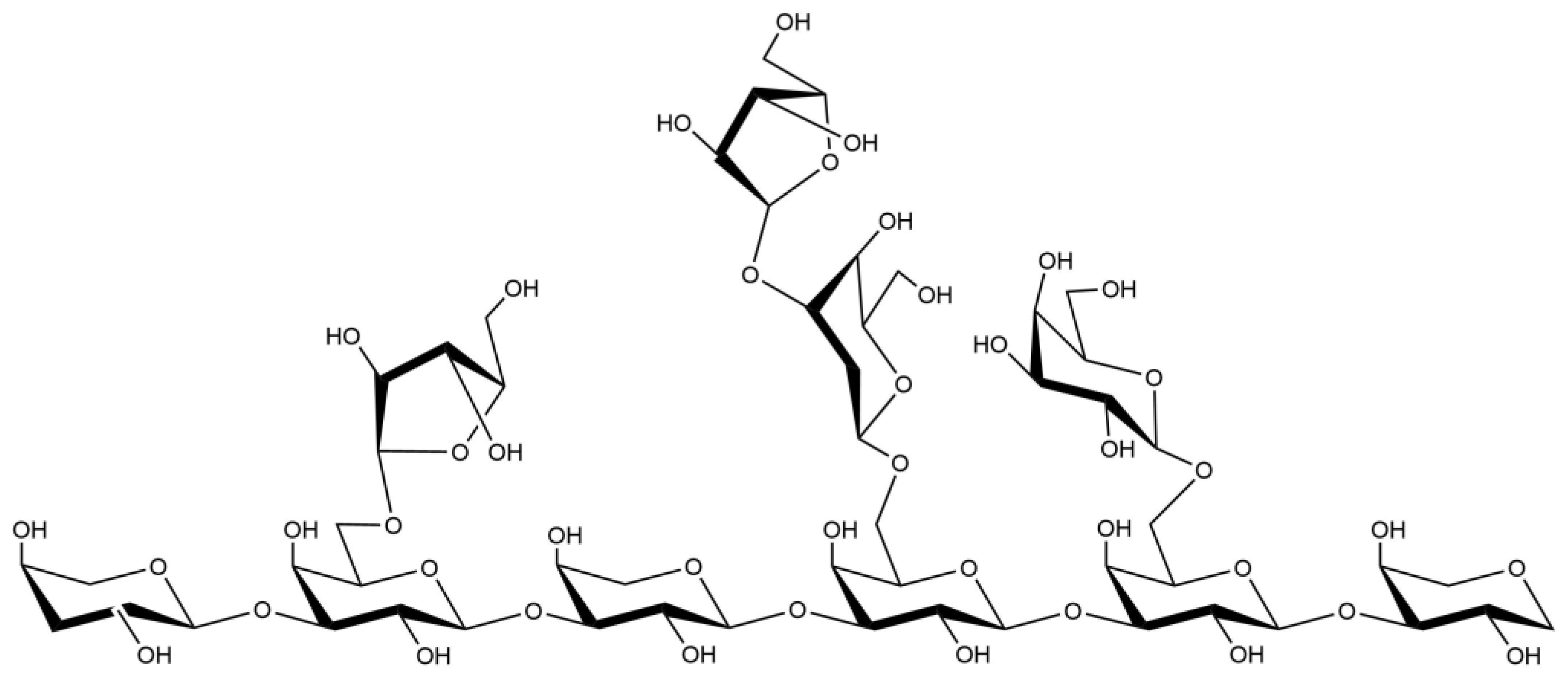
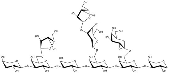
5.4. Structures of Gum Arabic and Gums of the Genus Prosopis
6. Why It Is Possible to Distinguish Medieval Gums Using Infrared Spectroscopy
| Gum Mesquite | Gum Arabic | Attributions |
|---|---|---|
| 3384 | 3383 | ν(OH) |
| 2933 | 2933 | ν(CH) |
| 1604 | 1604 | ν(C=O)amide I * |
| 1460 | 1455 | - |
| 1421 | 1419 | ν(C-OH)COOH |
| 1334 | - | δ(CH) |
| 1253 | - | δ(CH) |
| - | 1235 | δ(OH)COOH |
| 1151 | 1145 | ν(COC)glycosidic bond |
| 1115 | - | ν(CC)(CO) |
| 1073 | 1076 | ν(CO) + d(OH) |
| 1033 | 1038 | ν(CC)(CO) |
| - | 981 | γ(COOH)dimers |
| 904 | 912 | - |
| - | 881 | δ(CCH)(CO), d(COH) |
| 835 | 836 | γ(C-OH)ring |
7. Perspectives
Supplementary Materials
), lead white (●), and a calcium soap (calcium palmitate used as reference -
) were also identified; Figure S15. Infrared spectra of orange paint in Ms. 22 fol. 76v, matching gum mesquite (blue line and bands). Calcium carbonate (◊) was also identified; Figure S16. Infrared spectra of yellow paints matching gum mesquite (blue line and bands): (a) Ajuda Songbook, fol. 59 (b) Ajuda Songbook, fol. 4; (c) Ms.24, fol. 60; (d) IL 15, fol. 84. Calcium carbonate (◊), lead white (●), and yellow ochre (●) were also identified; Figure S17. Infrared spectra of carmine paints in folios 12 and 88 of IL 36 and Ms. 21, matching gum mesquite (blue bands). Calcium carbonate (◊), calcium oxalate (
), and gypsum (
) were also identified; Figure S18. Infrared spectra of carmine paints in folios 1, 23 and 133 of IL 42 matching gum mesquite (blue bands). Folio 1 also presents bands that might correspond to a brazilwood-based material (pink bands). Calcium carbonate (◊) and gypsum (
) were also identified; Figure S19. Infrared spectra of carmine paints in folios 54 and 18 of IL 18 and IL 12, matching gum mesquite (blue bands) and a protein (green line and orange bands). Calcium carbonate (◊), calcium oxalate (
), and a calcium soap (calcium palmitate used as reference -
) were also identified; Figure S20. Infrared spectra of carmine paints in folios 76v and 2 of Ms. 22 and Ms. 23, matching a protein (green line). Calcium carbonate (◊) and a possible correspondence to a complex between brazilein and alum (
) were also identified; Figure S21. Infrared spectrum of a green paint in IL 12 f. 1v, matching gum mesquite (blue line and bands). Azurite (○), malachite (□), and lead white (●) were also identified; Figure S22. Infrared spectra of gold preparation in IL 19 f. 20v, matching gum mesquite (blue line and bands). Calcium carbonate (◊) and lead white (●) were also identified; Figure S23. Infrared spectra of glazes applied over blue paints in folio 59 of the Ajuda Songbook and folio 76v of Ms.22, matching mesquite gum (blue line). In the Ajuda Songbook, the presence of a protein (orange bands) was identified, while in Ms. 22, the fingerprint region indicates the possible use of a brazilwood-based material (pink bands); Figure S24. Infrared spectra of extemporaneous material or varnishes, matching starch (orange line and bands): (a) transparent extemporaneous material found in folio 116v of Ms. 24; (b) drop found in blue paint in folio 24 in Ms. 23; (c) drop found in folio 61 of IL 36; (d) varnish applied in folio 35 of Ms. 29. Calcium carbonate (◊) and protein (green bands) were also identified; Figure S25. Infrared spectra of extemporaneous material IL 19 fol. 21, matching starch (orange line), a protein (orange bands), and possibly mesquite gum (blue band). Calcium carbonate (◊) and a calcium soap (calcium palmitate used as reference -
) were also identified; Figure S26. Infrared spectra of varnishes in folios 1v and 18 of IL 12, matching mesquite gum (blue line) and starch (orange line). Calcium carbonate (◊) and gypsum (
) were also identified; Figure S27. Infrared spectra of extemporaneous material in the winter breviary fol. 9 and IL 36 fol. 12, matching gum mesquite (blue bands) and cellulose-based materials (brown bands) and brazilwood (pink bands). Calcium carbonate (◊) was also identified; Figure S28. Infrared spectra of extemporaneous material in folios 116v of Ms 24 and folio 24 of Ms. 23, matching a proteinaceous tempera namely egg white (green line). Calcium carbonate (◊) was also identified; Figure S29. Structure of gum arabic proposed by Nie and colleagues (2013); Figure S30. Structure of mesquite gum proposed by Vernon-Carter and colleagues (2000); Table S1a. Percentage of each compound identified for gum arabic and respective species. Additional references are given in the percentage value; Table S1b. Percentage of each compound identified for gum mesquite and respective species. Additional references are given in the percentage value. References [36,43,53,54,55,59,60,68,69,75,76,77,78,79,80,81,82,83,84,85] are cited in the Supplementary Materials.Author Contributions
Funding
Data Availability Statement
Acknowledgments
Conflicts of Interest
References
- Melo, M.J.; Nabais, P.; Vieira, M.; Araújo, R.; Otero, V.; Lopes, J.; Martín, L. Between Past and Future: Advanced Studies of Ancient Colours to Safeguard Cultural Heritage and New Sustainable Applications. Dye. Pigment. 2022, 208, 110815. [Google Scholar] [CrossRef]
- Bertrand, L.; Gervais, C.; Masic, A.; Robbiola, L. Paleo-Inspired Systems: Durability, Sustainability, and Remarkable Properties. Angew. Chem. 2018, 130, 7408–7416. [Google Scholar] [CrossRef]
- Brunello, F. De Arte Illuminandi e Altri Trattati Sulla Tecnica Della Miniatura Medievale; Neri Pozza Editore: Vicenza, Italy, 1992. [Google Scholar]
- Rita de Castro Sousa, O. The Book of Birds in Portuguese Scriptoria: Preservation and Access. Ph.D. Thesis, NOVA School of Science and Technology, Lisbon, Portugal, 2016. Available online: http://hdl.handle.net/10362/21481 (accessed on 15 April 2024).
- Melo, M.J.; Castro, R.; Miranda, A. Colour in Medieval Portuguese Manuscripts: Between Beauty and Meaning. In Science and Art: The Painted Surface; Sgamellotti, A., Brunetti, B.G., Miliani, C., Eds.; Royal Society of Chemistry: London, UK, 2014; ISBN 9781849738187. [Google Scholar]
- Moura, L.; Melo, M.J.; Casanova, C.; Claro, A. A Study on Portuguese Manuscript Illumination: The Charter of Vila Flor (Flower Town), 1512. J. Cult. Herit. 2007, 8, 299–306. [Google Scholar] [CrossRef]
- Melo, M.J.; Nabais, P.; Araújo, R.; Vitorino, T. The Conservation of Medieval Manuscript Illuminations: A Chemical Perspective. Phys. Sci. Rev. 2019, 4, 20180017. [Google Scholar] [CrossRef]
- Muralha, V.S.F.; Miguel, C.; Melo, M.J. Micro-Raman Study of Medieval Cistercian 12–13th Century Manuscripts: Santa Maria de Alcobaça, Portugal. J. Raman Spectrosc. 2012, 43, 1737–1746. [Google Scholar] [CrossRef]
- Miguel, C. Le Vert et le Rouge: A Study on the Materials, Techniques and Meaning of the Green and Red Colours in Medieval Portuguese Illuminations. Ph.D. Thesis, NOVA School of Science and Technology, Lisbon, Portugal, 2012. Available online: http://run.unl.pt/handle/10362/9304 (accessed on 15 April 2024).
- Brown, K.L.; Clark, R.J.H. Analysis of Key Anglo-Saxon Manuscripts (8–11th Centuries) in the British Library: Pigment Identification by Raman Microscopy. J. Raman Spectrosc. 2004, 35, 181–189. [Google Scholar] [CrossRef]
- Magistro, F.; Majolino, D.; Migliardo, P.; Ponterio, R.; Rodriquez, M. Confocal Raman Spectroscopic Study of Painted Medieval Manuscripts. J. Cult. Herit. 2001, 2, 191–198. [Google Scholar] [CrossRef]
- Pozzi, F.; Basso, E.; Rizzo, A.; Cesaratto, A.; Tague, T.J. Evaluation and Optimization of the Potential of a Handheld Raman Spectrometer: In Situ, Noninvasive Materials Characterization in Artworks. J. Raman Spectrosc. 2019, 50, 861–872. [Google Scholar] [CrossRef]
- Deneckere, A.; Leeflang, M.; Bloem, M.; Chavannes-Mazel, C.A.; Vekemans, B.; Vincze, L.; Vandenabeele, P.; Moens, L. The Use of Mobile Raman Spectroscopy to Compare Three Full-Page Miniatures from the Breviary of Arnold of Egmond. Spectrochim. Acta A Mol. Biomol. Spectrosc. 2011, 83, 194–199. [Google Scholar] [CrossRef]
- Chaplin, T.D.; Clark, R.J.H.; Jones, R.; Gibbs, R. Pigment Analysis by Raman Microscopy and Portable X-ray Fluorescence (PXRF) of Thirteenth to Fourteenth Century Illuminations and Cuttings from Bologna. Philos. Trans. R. Soc. A Math. Phys. Eng. Sci. 2016, 374, 20160043. [Google Scholar] [CrossRef]
- Best, S.P.; Clark, R.J.H.; Daniels, M.A.M.; Porter, C.A.; Withnall, R. Identification by Raman Microscopy and Visible Reflectance Spectroscopy of Pigments on an Icelandic Manuscript. Stud. Conserv. 1995, 40, 31. [Google Scholar] [CrossRef]
- Mayer, D.D.; Mayo, H.; Mysak, E.; Smith, T.J.; Eremin, K. Technical Examination of the Emerson-White Book of Hours: Observations on Pigment Preferences and Media Application in a Flemish Manuscript. Herit. Sci. 2018, 6, 48. [Google Scholar] [CrossRef]
- Burgio, L.; Ciomartan, D.A.; Clark, R.J.H. Pigment Identification on Medieval Manuscripts, Paintings and Other Artefacts by Raman Microscopy: Applications to the Study of Three German Manuscripts. J. Mol. Struct. 1997, 405, 1–11. [Google Scholar] [CrossRef]
- Burgio, L.; Ciomartan, D.A.; Clark, R.J.H. Raman Microscopy Study of the Pigments on Three Illuminated Mediaeval Latin Manuscripts. J. Raman Spectrosc. 1997, 28, 79–83. [Google Scholar] [CrossRef]
- Burgio, L.; Clark, R.J.H.; Hark, R.R. Raman Microscopy and X-ray Fluorescence Analysis of Pigments on Medieval and Renaissance Italian Manuscript Cuttings. Proc. Natl. Acad. Sci. USA 2010, 107, 5726–5731. [Google Scholar] [CrossRef] [PubMed]
- Trentelman, K.; Turner, N. Investigation of the Painting Materials and Techniques of the Late-15th Century Manuscript Illuminator Jean Bourdichon. J. Raman Spectrosc. 2009, 40, 577–584. [Google Scholar] [CrossRef]
- Aceto, M.; Agostino, A.; Fenoglio, G.; Baraldi, P.; Zannini, P.; Hofmann, C.; Gamillscheg, E. First Analytical Evidences of Precious Colourants on Mediterranean Illuminated Manuscripts. Spectrochim. Acta A Mol. Biomol. Spectrosc. 2012, 95, 235–245. [Google Scholar] [CrossRef] [PubMed]
- Perino, M.; Pronti, L.; Di Forti, L.G.; Romani, M.; Taverna, C.; Massolo, L.; Manzari, F.; Cestelli-Guidi, M.; Nucara, A.; Felici, A.C. Revealing Artists’ Collaboration in a 14th Century Manuscript by Non-Invasive Analyses. Minerals 2021, 11, 771. [Google Scholar] [CrossRef]
- Nabais, P.; Castro, R.; Lopes, G.V.; Sousa, L.C.; Melo, M.J. Singing with Light: An Interdisciplinary Study on the Medieval Ajuda Songbook. J. Mediev. Iber. Stud. 2016, 8, 283–312. [Google Scholar] [CrossRef]
- Agostino, A.; Pellizzi, E.; Aceto, M.; Castronovo, S.; Saroni, G.; Gulmini, M. On the Hierarchical Use of Colourants in a 15th Century Book of Hours. Heritage 2021, 4, 1786–1806. [Google Scholar] [CrossRef]
- Fuchs, R.; Oltrogge, D. Modern Scientific Manuscript Research and Conservation. In Care and Conservation of Manuscripts 3: Proceedings of the Third International Seminar on the Care and Conservation of Manuscripts Held at the University of Copenhagen, Copenhagen, Denmark, 14–15 October 1996; Fellos-Jensen, G., Springborg, P., Eds.; The Royal Library: Copenhagen, Denmark, 1997; pp. 77–98. [Google Scholar]
- Bonizzoni, L.; Bruni, S.; Galli, A.; Gargano, M.; Guglielmi, V.; Ludwig, N.; Lodi, L.; Martini, M. Non-Invasive in Situ Analytical Techniques Working in Synergy: The Application on Graduals Held in the Certosa Di Pavia. Microchem. J. 2016, 126, 172–180. [Google Scholar] [CrossRef]
- Quandt, A.; Wallert, A. The Technical Study of a Late Thirteenth-Century Byzantine Marginal Psalter from the Walters Art Gallery. Stud. Conserv. 1998, 43, 16–21. [Google Scholar] [CrossRef]
- Edwards, H.G.M.; Farwell, D.W.; Perez, F.R.; Villar, S.J. Raman Microscopy of a Mediaeval Spanish Cantoral. Appl. Spectrosc. 1999, 53, 1436–1439. [Google Scholar] [CrossRef]
- Buse, J.; Otero, V.; Melo, M. New Insights into Synthetic Copper Greens: The Search for Specific Signatures by Raman and Infrared Spectroscopy for Their Characterization in Medieval Artworks. Heritage 2019, 2, 1614–1629. [Google Scholar] [CrossRef]
- Scott, D.A.; Khandekar, N.; Schilling, M.R.; Turner, N.; Taniguchi, Y.; Khanjian, H. Technical Examination of a Fifteenth-Century German Illuminated Manuscript on Paper: A Case Study in the Identification of Materials. Stud. Conserv. 2001, 46, 93–108. [Google Scholar] [CrossRef]
- Gilbert, B.; Denoël, S.; Weber, G.; Allart, D. Analysis of Green Copper Pigments in Illuminated Manuscripts by Micro-Raman Spectroscopy. Analyst 2003, 128, 1213–1217. [Google Scholar] [CrossRef] [PubMed]
- Coupry, C. Les Pigments Utilisés Por l’enluminure à Fécamp Aus XIe et XIIe Siècles. In Manuscrits et Enluminures Dans le Monde Normand (Xe–XVe Siècles); Bouet, P., Dosdat, M., Eds.; Presses Universitaires de Caen: Caen, France, 1999; pp. 69–79. ISBN 2841330877. [Google Scholar]
- Miguélez Cavero, A.; Melo, M.J.; Miranda, M.A.; Castro, R.; Casanova, C. Beatus Manuscripts under the Microscope: The Alcobaça Beatus and the Iberian Cistercian Tradition Revisited. J. Mediev. Iber. Stud. 2016, 8, 217–251. [Google Scholar] [CrossRef]
- Melo, M.J.; Miranda, M.A.; Lemos, A.; Muralha, V.S.F.; Lopes, J.A.; Gonçalves, A.P. The Colour of Medieval Portuguese Illumination: An Interdisciplinary Approach. Rev. História Arte 2011, 1, 152–173. [Google Scholar]
- Castro, R.; Miranda, A.; Melo, M.J. Interpreting Lac Dye in Medieval Written Sources: New Knowledge from the Reconstruction of Recipes Relating to Illuminations in Portuguese Manuscripts. In Sources in Art Technology: Back to Basics; Eyb-Green, S., Townsed, J., Pilz, K., Kroustallis, S., van Leeuwen, I., Eds.; Archetype Publications: London, UK, 2016; pp. 88–99. ISBN 1909492337. [Google Scholar]
- Nabais, P.; Melo, M.J.; Lopes, J.A.; Vieira, M.; Castro, R.; Romani, A. Organic Colorants Based on Lac Dye and Brazilwood as Markers for a Chronology and Geography of Medieval Scriptoria: A Chemometrics Approach. Herit. Sci. 2021, 9, 32. [Google Scholar] [CrossRef]
- Melo, M.J.; Nabais, P.; Guimarães, M.; Araújo, R.; Castro, R.; Oliveira, M.C.; Whitworth, I. Organic Dyes in Illuminated Manuscripts: A Unique Cultural and Historic Record. Philos. Trans. R. Soc. A Math. Phys. Eng. Sci. 2016, 374, 20160050. [Google Scholar] [CrossRef]
- Melo, M.J.; Otero, V.; Vitorino, T.; Araújo, R.; Muralha, V.S.F.; Lemos, A.; Picollo, M. A Spectroscopic Study of Brazilwood Paints in Medieval Books of Hours. Appl. Spectrosc. 2014, 68, 434–443. [Google Scholar] [CrossRef]
- Roger, P.; Villela-Petit, I.; Vandroy, S. Les Laques de Brésil Dans l’enluminure Médiévale. Stud. Conserv. 2003, 48, 155–170. [Google Scholar] [CrossRef]
- Araújo, R. Os Livros de Horas Do Século XV Nas Colecções Portuguesas: Matéria, Forma e Significado Outubro 2018. Ph.D. Thesis, NOVA School of Science and Technology, Lisbon, Portugal, 2018. Available online: https://run.unl.pt/handle/10362/60955 (accessed on 15 April 2024).
- Bioletti, S.; Leahy, R.; Fields, J.; Meehan, B.; Blau, W. The Examination of the Book of Kells Using Micro-Raman Spectroscopy. J. Raman Spectrosc. 2009, 40, 1043–1049. [Google Scholar] [CrossRef]
- Doherty, B.; Daveri, A.; Clementi, C.; Romani, A.; Bioletti, S.; Brunetti, B.; Sgamellotti, A.; Miliani, C. The Book of Kells: A Non-Invasive MOLAB Investigation by Complementary Spectroscopic Techniques. Spectrochim. Acta A Mol. Biomol. Spectrosc. 2013, 115, 330–336. [Google Scholar] [CrossRef]
- Vieira, M.; Nabais, P.; Hidalgo, R.J.D.; Melo, M.J.; Pozzi, F. The Only Surviving Medieval Codex of Galician-Portuguese Secular Poetry: Tracing History through Luxury Pink Colors. Herit. Sci. 2023, 11, 37. [Google Scholar] [CrossRef]
- Barreira, C.F.; Melo, M.J.; Araújo, R.; Casanova, C. Through the Eyes of Science and Art: A Fourteenth-Century Winter Breviary from Alcobaça Scriptorium. J. Mediev. Iber. Stud. 2016, 8, 252–282. [Google Scholar] [CrossRef]
- Vasconcelos, C.M. Cancioneiro da Ajuda; Niemeyer, M., Ed.; Imprensa Nacional—Casa da Moeda: Lisbon, Portugal, 1990; Volumes I and II, ISBN 9789722704779. [Google Scholar]
- Ramos, M.A. O Cancioneiro da Ajuda, Confecção e Escrita. 2 Vols. Ph.D. Thesis, Faculty of Letters, University of Lisbon, Lisbon, Portugal, 2008. [Google Scholar]
- Stirnemann, P. La Décoration Du Chansonnier d’Ajuda. In À Volta do Cancioneiro da Ajuda: Actas do Colóquio “Cancioneiro da Ajuda (1904–2004)”; Ramos, M.A., Amado, T., Eds.; Imprensa Nacional—Casa da Moeda S.A.: Lisboa, Portugal, 2016; ISBN 9789722724470. [Google Scholar]
- Vieira, M.; Melo, M.J.; Nabais, P.; Lopes, J.A.; Lopes, G.V.; Fernández, L.F. The Colors in Medieval Illuminations through the Magnificent Scriptorium of Alfonso X, the Learned. Heritage 2024, 7, 272–300. [Google Scholar] [CrossRef]
- Lemos, A.; Araújo, R.; Casanova, C. O Cofre No24-Um Livro de Horas Do Palácio Nacional de Mafra: Caso de Estudo e de Intervenção. In FIAT LUX: Estudos Sobre Manuscritos Iluminados em Portugal; Campos, F.M.G., Ed.; Secretariado Nacional para os Bens Culturais da Igreja: Moscavide, Portugal, 2015; pp. 82–93. [Google Scholar]
- Wieck, R.S. Time Sanctified: The Book of Hours in Medieval and Life; George Braziller, Inc., in Association with the Walters Art Gallery: New York, NY, USA, 1988; ISBN 0-8076-1189-1. [Google Scholar]
- Synytsya, A.; Copíková, J.; Matejka, P.; Machovic, V. Fourier Transform Raman and Infrared Spectroscopy of Pectins. Carbohydr. Polym. 2003, 54, 97–106. [Google Scholar] [CrossRef]
- Kacuráková, M.; Capek, P.; Sasinková, V.; Wellner, N.; Ebringerová, A. FT-IR Study of Plant Cell Wall Model Compounds: Pectic Polysaccharides and Hemicelluloses. Carbohydr. Polym. 2000, 43, 195–203. [Google Scholar] [CrossRef]
- Lopez-Torrez, L.; Nigen, M.; Williams, P.; Doco, T.; Sanchez, C. Acacia senegal vs. Acacia seyal Gums—Part 1: Composition and Structure of Hyperbranched Plant Exudates. Food Hydrocoll. 2015, 51, 41–53. [Google Scholar] [CrossRef]
- López-Franco, Y.L.; Córdova-Moreno, R.E.; Goycoolea, F.M.; Valdez, M.A.; Juárez-Onofre, J.; Lizardi-Mendoza, J. Classification and Physicochemical Characterization of Mesquite Gum (Prosopis spp.). Food Hydrocoll. 2012, 26, 159–166. [Google Scholar] [CrossRef]
- López-Franco, Y.L.; de la Barca, A.M.C.; Valdez, M.A.; Peter, M.G.; Rinaudo, M.; Chambat, G.; Goycoolea, F.M. Structural Characterization of Mesquite (Prosopis velutina) Gum and Its Fractions. Macromol. Biosci. 2008, 8, 749–757. [Google Scholar] [CrossRef] [PubMed]
- Doyle, B.B.; Bendit, E.G.; Blout, E.R. Infrared Spectroscopy of Collagen and Collagen-like Polypeptides. Biopolymers 1975, 14, 937–957. [Google Scholar] [CrossRef] [PubMed]
- Clarke, M. Medieval Painters’ Materials and Techniques: The Montpellier Liber Diversarum Arcium; Archetype Publications: London, UK, 2011; ISBN 9781904982647. [Google Scholar]
- Vitorino, T.; Melo, M.J.; Carlyle, L.; Otero, V. New Insights into Brazilwood Lake Pigments Manufacture through the Use of Historically Accurate Reconstructions. Stud. Conserv. 2016, 61, 255–273. [Google Scholar] [CrossRef]
- Vernon-Carter, E.J.; Beristain, C.I.; Pedroza-Islas, R. Mesquite Gum (Prosopis Gum). In Novel Macromolecules in Food Systems; Doxastakis, G., Kiosseoglou, V., Eds.; Elsevier Science: Amsterdam, The Netherlands, 2000; pp. 217–238. ISBN 13. [Google Scholar]
- Mudgil, D.; Barak, S. Mesquite Gum (Prosopis Gum): Structure, Properties & Applications—A Review. Int. J. Biol. Macromol. 2020, 159, 1094–1102. [Google Scholar] [PubMed]
- Bosquez-Molina, E.; Tomás, S.A.; Rodríguez-Huezo, M.E. Influence of CaCl2 on the Water Vapor Permeability and the Surface Morphology of Mesquite Gum Based Edible Films. LWT-Food Sci. Technol. 2010, 43, 1419–1425. [Google Scholar] [CrossRef]
- Shiran, K.; Verma, A.; Pareek, K.; Kumar, P. Gum Induction from Arid Tree Species: An Alternative Source of Income. Indian Farming 2018, 68, 52–55. [Google Scholar]
- Felker, P.; Moss, J. Prosopis: Semiarid Fuelwood and Forage Tree Building Consensus for the Disenfranchised; U.S. National Academy of Sciences Building: Washington, DC, USA, 1996.
- Basu, S.; Prasad, M.N.; Suthari, S.; Kiran, B.R. Prosopis juliflora (Mesquite) Gum Exudate as a Potential Excipient. Eurobiotech. J. 2017, 1, 83–88. [Google Scholar] [CrossRef]
- Langenheim, J.H. Plant Resins: Chemistry, Evolution, Ecology, and Ethnobotany; Timber Press: Portland, OR, USA, 2003. [Google Scholar]
- Howes, F.N. Vegetable Gums and Resins; Chronica Botanica Company: Waltham, MA, USA, 1949. [Google Scholar]
- Coppen, J.J.W. Gums, Resins and Latexes of Plant Origin; Food and Agriculture Organization of the United Nations: Rome, Italy, 1995; ISBN 9251037574. [Google Scholar]
- Murthy, H.N. Gums, Resins and Latexes of Plant Origin: Chemistry, Biological Activities and Uses; Murthy, H.N., Ed.; Reference Series in Phytochemistry; Springer International Publishing: Cham, Switzerland, 2022; ISBN 978-3-030-91377-9. [Google Scholar]
- Nussinovitch, A. Plant Gum Exudates of the World: Sources, Distribution, Properties, and Applications; CRC Press: Boca Raton, FL, USA, 2009. [Google Scholar]
- Venkaiah, K. Gummosis in Prosopis cineraria (L.) D Ruce. Flora 1986, 178, 363–367. [Google Scholar] [CrossRef]
- Pasiecznik, N.M.; Felker, P.; Harris, P.J.C.; Harsh, L.N.; Cruz, G.; Tewari, J.C.; Cadoret, K.; Maldonado, L.J. The Prosopis Julifora-Prosopis Pallida Complex: A Monograph; HDRA: Coventry, UK, 2001; ISBN 0905343301. [Google Scholar]
- Burkart, A.E. A Monograph of the Genus Prosopis (Leguminosae Subfam. Mimosoideae). J. Arnold Arbor. 1976, 57, 219–249. [Google Scholar] [CrossRef]
- Coimbra, M.A.; Mafra, I.; Ferreira, D.; Cardoso, S.; Domingues, M.R.; Nunes, F.M.; Barros, A.; Delgadillo, I. Estrutura de Polissacarídeos: Os Polissacarídeos das Paredes Celulares dos Frutos e as Propriedades Que Estes Conferem aos Alimentos. In Química de Polímeros; Melo, J.S.S., Moreno, M.J., Burrows, H., Gil, M.H., Eds.; Imprensa da Universidade de Coimbra: Coimbra, Portugal, 2004; pp. 591–618. ISBN 972-8704-22-4. [Google Scholar]
- Claro, A. An Interdisciplinary Approach to the Study of Colour in Portuguese Manuscript Illuminations. Ph.D. Thesis, NOVA School of Science and Technology, Lisbon, Portugal, 2009. Available online: http://run.unl.pt/handle/10362/11506 (accessed on 15 April 2024).
- Volpi, F.; Vagnini, M.; Vivani, R.; Malagodi, M.; Fiocco, G. Non-Invasive Identification of Red and Yellow Oxide and Sulfide Pigments in Wall-Paintings with Portable ER-FTIR Spectroscopy. J. Cult. Herit. 2023, 63, 158–168. [Google Scholar] [CrossRef]
- Gettens, R.J.; Kuhn, H.; Chase, W.T. Lead White. In Artits’ Pigments: A Handbook of Their History and Characteristics; Roy, A., Ed.; Oxford University Press: New York, NY, USA, 1993; Volume II, pp. 67–81. ISBN 978-0894681899. [Google Scholar]
- Derrick, M.R.; Stulik, D.; Landry, J.M. Infrared Spectroscopy in Conservation Science: Scientific Toold for Conservation; Getty Conservation Institue: Los Angeles, CA, USA, 1999. [Google Scholar]
- Frost, R.L.; Martens, W.N.; Rintoul, L.; Mahmutagic, E.; Kloprogge, J.T. Raman Spectroscopic Study of Azurite and Malachite at 298 and 77 K. J. Raman Spectrosc. 2002, 33, 252–259. [Google Scholar] [CrossRef]
- Nie, S.P.; Wang, C.; Cui, S.W.; Wang, Q.; Xie, M.Y.; Phillips, G.O. A Further Amendment to the Classical Core Structure of Gum Arabic (Acacia senegal). Food Hydrocoll 2013, 31, 42–48. [Google Scholar] [CrossRef]
- López-Franco, Y.L.; Valdez, M.A.; Hernández, J.; Calderón de la Barca, A.M.; Rinaudo, M.; Goycoolea, F.M. Macromolecular Dimensions and Mechanical Properties of Monolayer Films of Sonorean Mesquite Gum. Macromol. Biosci. 2004, 4, 865–874. [Google Scholar] [CrossRef] [PubMed]
- Alftrén, J.; Peñarrieta, J.M.; Bergenståhl, B.; Nilsson, L. Comparison of Molecular and Emulsifying Properties of Gum Arabic and Mesquite Gum Using Asymmetrical Flow Field-Flow Fractionation. Food Hydrocoll 2012, 26, 54–62. [Google Scholar] [CrossRef]
- Vasile, F.E.; Martinez, M.J.; Pizones Ruiz-Henestrosa, V.M.; Judis, M.A.; Mazzobre, M.F. Physicochemical, Interfacial and Emulsifying Properties of a Non-Conventional Exudate Gum (Prosopis alba) in Comparison with Gum Arabic. Food Hydrocoll 2016, 56, 245–253. [Google Scholar] [CrossRef]
- Anderson, D.M.W.; Farquhar, J.G.K. Gum Exudates from the Genus Prosopis. Int. Tree Crops J. 1982, 2, 15–24. [Google Scholar] [CrossRef]
- Trejo-Espino, J.L.; Rodríguez-Monroy, M.; Vernon-Carter, E.J.; Cruz-Sosa, F. Emulsifying Properties of the Gum Produced by Prosopis laevigata (Humb. & Bonpl. Ex Willd) m.c. Johnst (Mesquite) Cells Suspension Culture in Bioreactor. Rev. Mex. Ing. Quim. 2010, 9, 251–260. [Google Scholar]
- Parveen, K.; Vasandan, A.G.M.; Zuhra Memon, G.; Memon, F.; Moghal, M.A. Physicochemical Characterization of Gum Exuded from Prosopis Cineraria and Prosopis Glandulosa Species of Thar Desert Pakistan. IOSR J. Eng. IOSRJEN 2014, 4, 54–60. [Google Scholar] [CrossRef]







) are also detected.
) are also detected.






| A. senegal | A. seyal | Acácia | Gum arabic | Gum mesquite | P. velutina | P. juliflora | ||
|---|---|---|---|---|---|---|---|---|
| Refs | [53] | [53] | [68] | [66] | [68] | [59] | [55] | [69] |
| Galactose | x | x | x | x | x | x | x | x |
| Arabinose | x | x | x | x | x | x | x | x |
| Rhamnose | x | x | x | x | x | |||
| 4-O-Metil-GlcA | x | x | x | x | ||||
| GlcA | x | x | x | x | x | x | ||
| Mannose | x | |||||||
| Xylose | x | |||||||
Disclaimer/Publisher’s Note: The statements, opinions and data contained in all publications are solely those of the individual author(s) and contributor(s) and not of MDPI and/or the editor(s). MDPI and/or the editor(s) disclaim responsibility for any injury to people or property resulting from any ideas, methods, instructions or products referred to in the content. |
© 2024 by the authors. Licensee MDPI, Basel, Switzerland. This article is an open access article distributed under the terms and conditions of the Creative Commons Attribution (CC BY) license (https://creativecommons.org/licenses/by/4.0/).
Share and Cite
Vieira, M.; Melo, M.J.; de Carvalho, L.M. Towards a Sustainable Preservation of Medieval Colors through the Identification of the Binding Media, the Medieval Tempera. Sustainability 2024, 16, 5027. https://doi.org/10.3390/su16125027
Vieira M, Melo MJ, de Carvalho LM. Towards a Sustainable Preservation of Medieval Colors through the Identification of the Binding Media, the Medieval Tempera. Sustainability. 2024; 16(12):5027. https://doi.org/10.3390/su16125027
Chicago/Turabian StyleVieira, Márcia, Maria J. Melo, and Luís Mendonça de Carvalho. 2024. "Towards a Sustainable Preservation of Medieval Colors through the Identification of the Binding Media, the Medieval Tempera" Sustainability 16, no. 12: 5027. https://doi.org/10.3390/su16125027
APA StyleVieira, M., Melo, M. J., & de Carvalho, L. M. (2024). Towards a Sustainable Preservation of Medieval Colors through the Identification of the Binding Media, the Medieval Tempera. Sustainability, 16(12), 5027. https://doi.org/10.3390/su16125027

