Unleashing the Power of Closed-Loop Supply Chains: A Stackelberg Game Analysis of Rare Earth Resources Recycling
Abstract
1. Introduction
2. Literature Review
2.1. Recycling of Rare Earths
2.2. Research on Closed-Loop Supply Chain (CLSC)
3. Materials and Methods
3.1. Underlying Assumptions
3.2. Model Construction
3.2.1. Recycler Only Recycles Oil Sludge Scrap (S1)
3.2.2. Recycler Only Recycles End-of-Life Products (S2)
3.2.3. Recycler Recycles Both End-of-Life Products and Oil Sludge Scrap (S3)
4. Results
4.1. Theoretical Analysis
4.2. Numerical Simulation Analysis
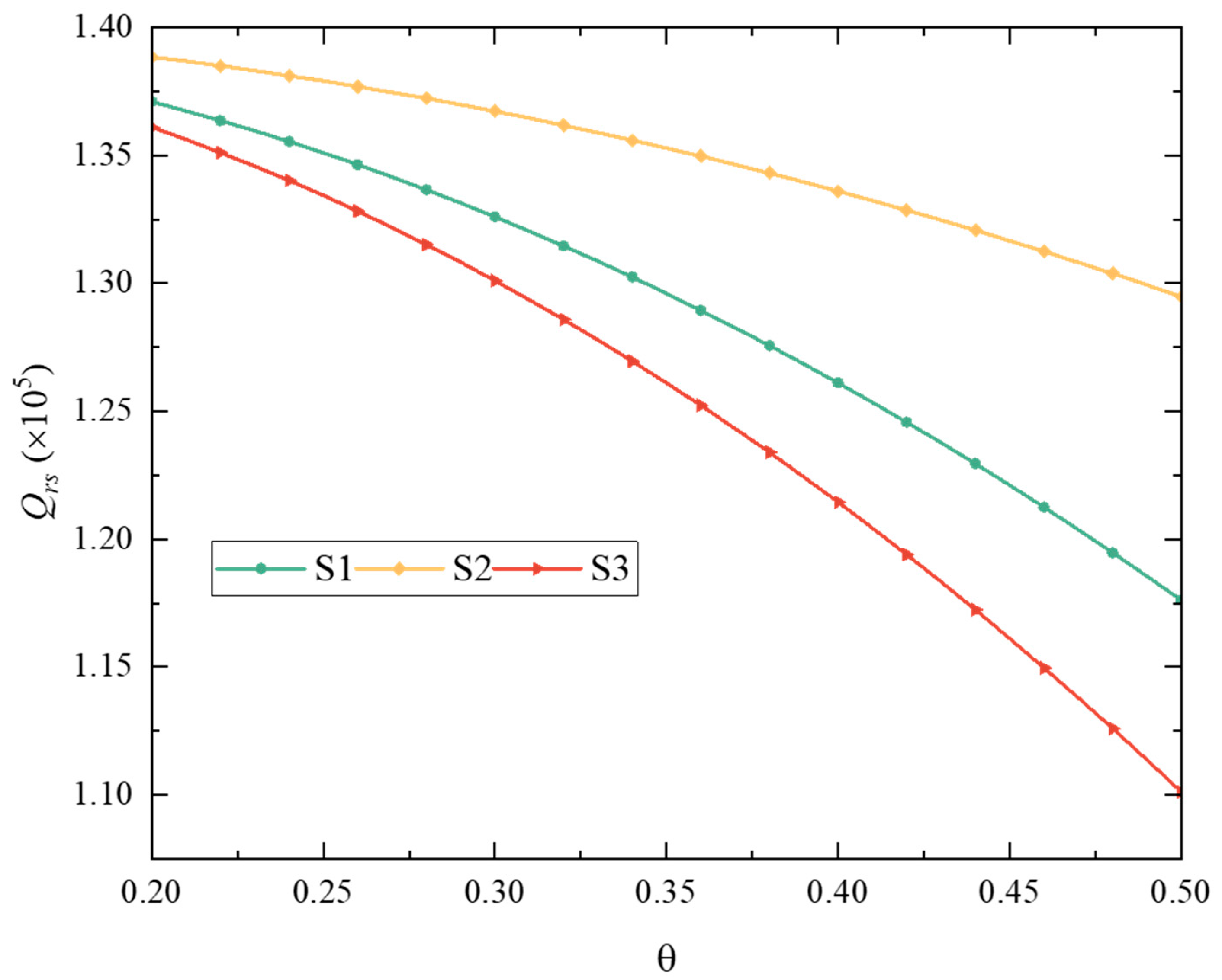
4.2.1. Analysis of the Effects of Recycler R&D () on the Supply Chain
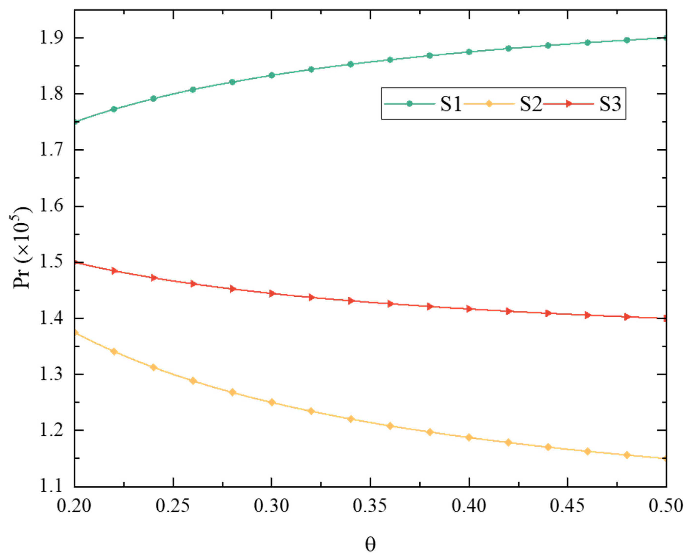
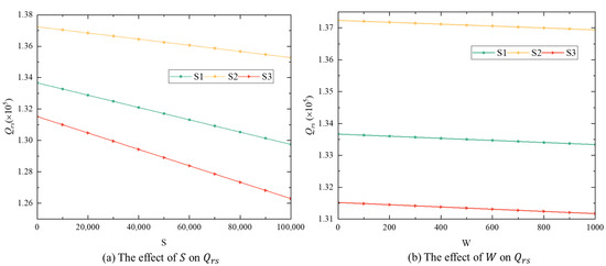
4.2.2. Comparative Analysis of the Effects of Government Intervention ( and ) on the Supply Chain
4.2.3. Comparative Analysis of Supply Chain Profits
5. Discussion
6. Conclusions and Recommendations
6.1. Conclusions
- (1)
- Recycling scenarios and reverse REO supply do not exert an influence on downstream rare earth material prices or market demand. The downstream market remains relatively stable in this context.
- (2)
- In S1, there is a mutually beneficial synergy between the REG and the recycler, with the recycler realizing the highest profit. Although S3 has the highest production of recycled rare earths, the recycler’s profit is dwarfed by that of S1. This underscores that maximizing production capacity does not necessarily result in the highest profit, emphasizing the need for the recycler to carefully evaluate production capacity in line with market dynamics. The REG achieves the highest profit in S3, followed by S1, and the lowest in S2. This result is due to the lower cost of recycling rare earths compared to conventional rare earths, resulting in higher profits for the REG as the reverse supply of rare earths increases.
- (3)
- Government subsidy and carbon trading, as two forms of government intervention, both yield positive effects on rare earth recycling. However, they operate through distinct mechanisms and have different impacts. Government subsidies directly increase the profits of recyclers, but some of the increased profits will be “plundered” by REGs. In contrast, carbon trading aims to mitigate profit losses for REGs by incentivizing them to voluntarily purchase more recycled rare earths to reduce carbon emissions costs. This, in turn, increases the profitability of recyclers. Nonetheless, it is important to note that government subsidies and carbon trading have limited capacity to drive rare earth recycling and primarily serve as a means for recyclers to maintain basic profitability and survival.
- (4)
- An increase in the rare earth recycling rate significantly boosts the production of recycled rare earths, with significant positive effects on the profits of both REGs and recyclers. Consequently, compared to government policy tools, R&D and technological innovation initiatives undertaken by enterprises emerge as the primary drivers for augmenting the quantity of recycled rare earths and enhancing the overall profitability of the rare earth closed-loop supply chain. This highlights the pivotal role of technological advancements in driving sustainability and efficiency within rare earth recycling.
6.2. Recommendations
- (1)
- Improve the multiple market guidance mechanism. While carbon trading and government subsidies have positively impacted the rare earth recycling market, our findings suggest that current models fall short of fully driving the sector. To address this, the government should refine these mechanisms. For carbon trading, policy reforms tailored to the unique dynamics of rare earth recycling are essential. This includes revising existing models and ensuring transparency and fairness in the carbon trading market to better stimulate rare earth recycling. In the case of government subsidies, it is crucial to define clear objectives and adopt more precise models specific to rare earth recycling. This will prevent undue profit transfers and optimize subsidy efficiency.
- (2)
- While the recycling of oil sludge scraps currently dominates the recycling market, the future holds immense potential for the end-of-life product recycling market. As the number of discarded appliances and new energy vehicles continues to rise, this segment presents significant opportunities. This study indicates that once a certain threshold of total recycling quantities is reached, recyclers tend to shift their focus towards increasing the recovery of end-of-life products rather than oil sludge scraps. To further promote this transition and optimize the recycling market, the integration of rare earth enterprises becomes essential. Integrating recyclers into the REGs can facilitate greater emphasis on recycling oil sludge scraps, helping to reach the critical threshold in total recycling quantities. Subsequently, this will stimulate the recycling market for end-of-life products, fostering a more comprehensive and sustainable rare earth recycling ecosystem.
- (3)
- Enhancing the rare earth recycling rate emerges as a highly effective strategy for augmenting recyclers’ profitability. Instead of passively awaiting policy and market changes, recyclers should take a proactive stance by intensifying their R&D efforts. Actively pursuing technological innovation is crucial for elevating the rare earth recycling rate, reducing recycling costs, and ultimately enhancing their competitiveness in the market.
Author Contributions
Funding
Institutional Review Board Statement
Informed Consent Statement
Data Availability Statement
Conflicts of Interest
Abbreviations
| NEVs | new energy vehicles |
| REPMs | rare earth permanent magnets |
| REO | rare earth oxides |
| REE | rare earth element |
| CLSC | closed-loop supply chain |
Appendix A
Appendix A.1. Recycler Only Recycles End-of-Life Products—S2
Appendix A.2. Recycler Recycles Both End-of-Life Products and Oil Sludge Scrap—S3
References
- Li, J.; Peng, K.; Wang, P.; Zhang, N.; Feng, K.; Guan, D.; Meng, J.; Wei, W.; Yang, Q. Critical Rare-Earth Elements Mismatch Global Wind-Power Ambitions. One Earth 2020, 3, 116–125. [Google Scholar] [CrossRef]
- Wübbeke, J. Rare Earth Elements in China: Policies and Narratives of Reinventing an Industry. Resour. Policy 2013, 38, 384–394. [Google Scholar] [CrossRef]
- General Office of the State Council, PRC. Available online: https://www.gov.cn/zhengce/content/2021-02/22/content_5588274.htm (accessed on 25 April 2024).
- Arafura. Available online: https://www.arultd.com/products/supply-and-demand/ (accessed on 27 April 2024).
- Lai, D.; Fang, W.; Wu, Y.; Tan, J. The impact of US, Japan and Europe’s strategy of reconstructing rare earth supply chain on China’s counterpart. Sci. Technol. Rev. 2022, 40, 88–99. (In Chinese) [Google Scholar]
- Gao, Z.; Zhou, Q. Contamination from rare earth ore strip mining and its impacts on resources and eco-environment. Chin. J. Ecol. 2011, 30, 2915–2922. (In Chinese) [Google Scholar] [CrossRef]
- Chen, M.; Zhang, D.; Zhu, Q.; Nie, J. Ionic Rare Earth Mine of Abandoned Land of Ecological Restoration of Research Progress. J. Chin. Soc. Rare Earths 2017, 35, 461–468. (In Chinese) [Google Scholar]
- Han, A.; Ge, J.; Lei, Y. Vertical vs. Horizontal Integration: Game Analysis for the Rare Earth Industrial Integration in China. Resour. Policy 2016, 50, 149–159. [Google Scholar] [CrossRef]
- Wang, X.; Lai, C.; Li, H.; Zhang, Z. A Tripartite Game Analysis of Public Participation in Environmental Regulation of Ionic Rare Earth Mining Areas. Resour. Policy 2023, 81, 103319. [Google Scholar] [CrossRef]
- Zhou, M.; Huang, J.; Shao, L.; Yang, D. Change and adjustment direction of China’s rare earth policy. Resour. Sci. 2020, 42, 1527–1539. (In Chinese) [Google Scholar] [CrossRef]
- Wu, Y.; Peng, Z.; Lai, D.; Zhao, S.; Wang, L.; Chen, W.; Wang, P. Exploring International Rare Earth Industry Landscape Changes and China’s Strategic Responses. Bulletin of Chin. Acad. Sci. 2023, 38, 255–264. (In Chinese) [Google Scholar] [CrossRef]
- Smith Stegen, K. Heavy Rare Earths, Permanent Magnets, and Renewable Energies: An Imminent Crisis. Energy Policy 2015, 79, 1–8. [Google Scholar] [CrossRef]
- Chu, S. Critical Materials Strategy; US Department of Energy: Washington DC, USA, 2011; pp. 1–166. [Google Scholar]
- Jishui Jincheng New Material Processing Co., Ltd. Available online: http://www.jaxtkj.cn/view9-41.html (accessed on 25 April 2024).
- Binnemans, K. Economics of Rare Earths: The Balance Problem. In Proceedings of the 1st European Rare Earth Resources Conference (ERES 2014), Milos, Greece, 4–7 September 2014. [Google Scholar]
- European Commission. Available online: https://cordis.europa.eu/project/id/821114 (accessed on 25 April 2024).
- Ministry of Finance, PRC. Available online: http://szs.mof.gov.cn/zhengcefabu/201506/t20150616_1256758.htm (accessed on 25 April 2024).
- Sun, H.; Wang, T.; Li, C.; Yang, Y. Recycling Rare Earth from Ultrafine NdFeB Waste by Capturing Fluorine Ions in Wastewater and Preparing Them into Nano-Scale Neodynium Oxyfluoride. J. Rare Earths 2022, 40, 815–821. [Google Scholar] [CrossRef]
- Chen, Y.; Wang, H.; Pei, Y.; Ren, J.; Wang, J. pH-Controlled Selective Separation of Neodymium (III) and Samarium (III) from Transition Metals with Carboxyl-Functionalized Ionic Liquids. ACS Sustain. Chem. Eng. 2015, 3, 3167–3174. [Google Scholar] [CrossRef]
- Maat, N.; Nachbaur, V.; Larde, R.; Juraszek, J.; Le Breton, J.-M. An Innovative Process Using Only Water and Sodium Chloride for Recovering Rare Earth Elements from Nd-Fe-B Permanent Magnets Found in the Waste of Electrical and Electronic Equipment. ACS Sustain. Chem. Eng. 2016, 4, 6455–6462. [Google Scholar] [CrossRef]
- Venkatesan, P.; Vander Hoogerstraete, T.; Hennebel, T.; Binnemans, K.; Sietsma, J.; Yang, Y. Selective Electrochemical Extraction of REEs from NdFeB Magnet Waste at Room Temperature. GREEN Chem. 2018, 20, 1065–1073. [Google Scholar] [CrossRef]
- Ippolito, N.M.; Amato, A.; Innocenzi, V.; Ferella, F.; Zueva, S.; Beolchini, F.; Vegliò, F. Integrating Life Cycle Assessment and Life Cycle Costing of Fluorescent Spent Lamps Recycling by Hydrometallurgical Processes Aimed at the Rare Earths Recovery. J. Environ. Chem. Eng. 2022, 10, 107064. [Google Scholar] [CrossRef]
- Sprecher, B.; Kleijn, R.; Kramer, G.J. Recycling Potential of Neodymium: The Case of Computer Hard Disk Drives. Environ. Sci. Technol. 2014, 48, 9506–9513. [Google Scholar] [CrossRef] [PubMed]
- Jyothi, R.K.; Thenepalli, T.; Ahn, J.W.; Parhi, P.K.; Chung, K.W.; Lee, J.-Y. Review of Rare Earth Elements Recovery from Secondary Resources for Clean Energy Technologies: Grand Opportunities to Create Wealth from Waste. J. Clean. Prod. 2020, 267, 122048. [Google Scholar] [CrossRef]
- Schulze, R.; Buchert, M. Estimates of Global REE Recycling Potentials from NdFeB Magnet Material. Resour. Conserv. Recycl. 2016, 113, 12–27. [Google Scholar] [CrossRef]
- Machacek, E.; Richter, J.L.; Habib, K.; Klossek, P. Recycling of Rare Earths from Fluorescent Lamps: Value Analysis of Closing-the-Loop under Demand and Supply Uncertainties. Resour. Conserv. Recycl. 2015, 104, 76–93. [Google Scholar] [CrossRef]
- Jin, H.; Yih, Y.; Sutherland, J.W. Modeling Operation and Inventory for Rare Earth Permanent Magnet Recovery under Supply and Demand Uncertainties. J. Manuf. Syst. 2018, 46, 59–66. [Google Scholar] [CrossRef]
- Savaskan, R.C.; Bhattacharya, S.; Wassenhove, L. Closed-Loop Supply Chain Models with Product Remanufacturing. Manag. Sci. 2004, 50, 239–252. [Google Scholar] [CrossRef]
- Savaskan, R.C.; Wassenhove, L. Reverse Channel Design: The Case of Competing Retailers. Oper. Res. 2006, 46, 621–624. [Google Scholar] [CrossRef]
- Wang, W.; Da, Q. The Study on Collection and Pricing for Closed-Loop Supply Chain with Retailer and the Third Part Collecting. J. Ind. Eng. Eng. Manag. 2010, 24, 130–134. (In Chinese) [Google Scholar] [CrossRef]
- Lu, R.; Li, N. Take-back channel selection of closed-loop supply chain for an electronic product. Syst. Eng.-Theory Pract. 2016, 36, 1687–1695. (In Chinese) [Google Scholar]
- Lu, Y.; Xu, X.; Ai, X. Collective decision-making of a closed-loop supply chain dual-channel model under the third-party economies of scale. J. Ind. Eng. Eng. Manag. 2018, 32, 207–217. (In Chinese) [Google Scholar] [CrossRef]
- Li, M.; Xia, J.; Li, Y.; Chen, J. Research on the Closed Loop Supply Chain of the Recycling Channel of the Manufacturer and the Third Party. Logist. Eng. Manag. 2016, 38, 130–131+68. (In Chinese) [Google Scholar]
- Alamdar, S.F.; Rabbani, M.; Heydari, J. Pricing, Collection, and Effort Decisions with Coordination Contracts in a Fuzzy, Three-Level Closed-Loop Supply Chain. Expert Syst. Appl. 2018, 104, 261–276. [Google Scholar] [CrossRef]
- Xing, E.; Shi, C.; Zhang, J.; Cheng, S.; Lin, J.; Ni, S. Double Third-Party Recycling Closed-Loop Supply Chain Decision under the Perspective of Carbon Trading. J. Clean. Prod. 2020, 259, 120651. [Google Scholar] [CrossRef]
- Genc, T.S.; De Giovanni, P. Optimal Return and Rebate Mechanism in a Closed-Loop Supply Chain Game. Eur. J. Oper. Res. 2018, 269, 661–681. [Google Scholar] [CrossRef]
- Qiao, F. A brief analysis of China’s rare earth industry structure development problems and countermeasures. Rare Earth Inf. 2015, 10, 24–27. (In Chinese) [Google Scholar]
- CNMN. Available online: https://www.cnmn.com.cn/ShowNews1.aspx?id=327296 (accessed on 25 April 2024).
- Sun, Q.; Chen, H.; Long, R.; Li, Q.; Huang, H. Comparative Evaluation for Recycling Waste Power Batteries with Different Collection Modes Based on Stackelberg Game. J. Environ. Manag. 2022, 312, 114892. [Google Scholar] [CrossRef] [PubMed]
- Zhao, J.; Zeng, D.; Che, L.; Zhou, T.; Hu, J. Research on the Profit Change of New Energy Vehicle Closed-Loop Supply Chain Members Based on Government Subsidies. Environ. Technol. Innov. 2020, 19, 100937. [Google Scholar] [CrossRef]
- Xia, X.; Li, C.; Zhu, Q. Game Analysis for the Impact of Carbon Trading on Low-Carbon Supply Chain. J. Clean. Prod. 2020, 276, 123220. [Google Scholar] [CrossRef]
- Yang, S.; Lu, T.; Huang, T.; Wang, C. Re-Examining the Effect of Carbon Emission Trading Policy on Improving the Green Innovation of China’s Enterprises. Environ. Sci. Pollut. Res. 2023, 30, 7696–7717. [Google Scholar] [CrossRef] [PubMed]
- Rademaker, J.H.; Kleijn, R.; Yang, Y. Recycling as a Strategy against Rare Earth Element Criticality: A Systemic Evaluation of the Potential Yield of NdFeB Magnet Recycling. Environ. Sci. Technol. 2013, 47, 10129–10136. [Google Scholar] [CrossRef] [PubMed]
- Jiang, Z.; Xu, C. Policy Incentives, Government Subsidies, and Technological Innovation in New Energy Vehicle Enterprises: Evidence from China. Energy Policy 2023, 177, 113527. [Google Scholar] [CrossRef]










| Parameters | Meanings |
|---|---|
| Market Volume | |
| The price sensitivity coefficient | |
| The price of rare earth materials | |
| Purchase price of recycled rare earths | |
| Recycling price of oil sludge scrap | |
| Recycling price of end-of-life products | |
| The cost of REO production by REG | |
| Manufacturing cost of rare earth materials | |
| The processing cost of oil sludge scrap | |
| The processing cost of end-of-life products | |
| Recycling quantity of oil sludge scrap | |
| Recycling quantity of end-of-life products | |
| The total quantity of recycling in the S3 | |
| Quantity of REOs produced by REG | |
| The rate of rare earth recycling | |
| R&D cost coefficient | |
| The REO consumption rate of rare earth materials | |
| The price of carbon trading | |
| Carbon emissions from REO production in the conventional way | |
| Carbon emissions from the production of REOs by recycling | |
| Carbon credits for REG | |
| Carbon credits for recyclers | |
| Parameter | Value | Parameter | Value |
|---|---|---|---|
| 800,421 | 1,000,000 | ||
| 1.12 | 250,000 | ||
| 0.4 | 100,000 | ||
| 200,000 | 646 | ||
| 9180 | 3 | ||
| 5000 | 1.5 |
Disclaimer/Publisher’s Note: The statements, opinions and data contained in all publications are solely those of the individual author(s) and contributor(s) and not of MDPI and/or the editor(s). MDPI and/or the editor(s) disclaim responsibility for any injury to people or property resulting from any ideas, methods, instructions or products referred to in the content. |
© 2024 by the authors. Licensee MDPI, Basel, Switzerland. This article is an open access article distributed under the terms and conditions of the Creative Commons Attribution (CC BY) license (https://creativecommons.org/licenses/by/4.0/).
Share and Cite
Lai, C.; Wang, X.; Li, H.; Zhou, Y. Unleashing the Power of Closed-Loop Supply Chains: A Stackelberg Game Analysis of Rare Earth Resources Recycling. Sustainability 2024, 16, 4899. https://doi.org/10.3390/su16124899
Lai C, Wang X, Li H, Zhou Y. Unleashing the Power of Closed-Loop Supply Chains: A Stackelberg Game Analysis of Rare Earth Resources Recycling. Sustainability. 2024; 16(12):4899. https://doi.org/10.3390/su16124899
Chicago/Turabian StyleLai, Chenghao, Xiuli Wang, Hengkai Li, and Yanbing Zhou. 2024. "Unleashing the Power of Closed-Loop Supply Chains: A Stackelberg Game Analysis of Rare Earth Resources Recycling" Sustainability 16, no. 12: 4899. https://doi.org/10.3390/su16124899
APA StyleLai, C., Wang, X., Li, H., & Zhou, Y. (2024). Unleashing the Power of Closed-Loop Supply Chains: A Stackelberg Game Analysis of Rare Earth Resources Recycling. Sustainability, 16(12), 4899. https://doi.org/10.3390/su16124899

