Next Article in Journal
A Graph-Based Scheme Generation Method for Variable Traffic Organization in Parking Lots
Previous Article in Journal
Employee Readiness for GHRM and Its Individual Antecedents: Instrumental and Change-Based Approach
Previous Article in Special Issue
The Development of Modeling Shared Spaces to Support Sustainable Transport Systems: Introduction to the Integrated Pedestrian–Vehicle Model (IPVM)
 
 
Font Type:
Arial Georgia Verdana
Font Size:
Aa Aa Aa
Line Spacing:
Column Width:
Background:
Article

Investigation of Analyzable Solutions for Left-Turn-Centered Congestion Problems in Urban Grid Networks

by
Taraneh Ardalan
1,*,
Denis Sarazhinsky
2,
Nemanja Dobrota
3 and
Aleksandar Stevanovic
1
1
Department of Civil & Environmental Engineering, University of Pittsburgh, 341A Benedum Hall, 3700 O’Hara Street Pittsburgh, Pittsburgh, PA 15261, USA
2
Department of Transport Systems and Technologies, Belarusian National Technical University, 220013 Minsk, Belarus
3
Kittelson and Associates, Inc., 100 M Street SE, Suite 910, Washington, DC 20003, USA
*
Author to whom correspondence should be addressed.
Sustainability 2024, 16(11), 4777; https://doi.org/10.3390/su16114777
Submission received: 24 April 2024 / Revised: 25 May 2024 / Accepted: 3 June 2024 / Published: 4 June 2024

Abstract

Traffic congestion caused by left-turning vehicles in a coordinated corridor is a multifaceted problem requiring tailored solutions. This study explores the impact of shared left-turn lanes within one-way couplets, particularly during peak hours, where high left-turn volumes, limited side street storage, and the overlapped green time between pedestrians and left-turners contribute to queue spillbacks, coordination interruption, and network congestion. The focus of this paper is on the solutions that can be easily analyzed by practitioners, here called “analyzable solutions”. This approach stands in contrast to solutions derived from “non-transparent” optimization tools, which do not allow for a clear assessment of the solution’s adequacy or the ability to predict its impact in real-world applications. This paper investigates the effects of employing two analyzable signal timing strategies: Lagging Pedestrian (LagPed) phasing and Left-Turn Progression (LTP) offsets. Using high-fidelity microsimulation, the authors evaluated different scenarios, assessing pedestrian delays, queue lengths, travel time index, area average travel time index, and environmental impacts such as Fuel Consumption (FC) and CO2 emissions. The effectiveness of the proposed strategies was comprehensively evaluated against the base case scenario, demonstrating considerable improvements in various performance measures, including approximately a 5% reduction in FC and CO2 emissions. Implementation of the LTP strategy alone yields substantial reductions in delays, the number of stops, the queue length for left-turning vehicles, travel times for all road users, and ultimately FC and CO2 emissions. This study offers innovative approach to addressing the complex and multifaceted problem of left-turn-centered congestion in urban grid networks using efficient and down-to-earth analyzable solutions.

1. Introduction

Urban transportation systems play a pivotal role in shaping sustainable cities. One of the common design concepts in urban planning is the implementation of one-way couplets, where two parallel arterials operate in opposite directions and are characterized by unique traffic distribution patterns frequently observed in urban landscapes. Morning and evening peaks showcase distinct traffic flows, reflecting the movement between origin points (e.g., residential areas) to destination hubs (e.g., central business districts). Understanding these patterns serves as a foundation for devising sustainable solutions applicable beyond specific locales. Figure 1 illustrates the exemplary network with the tree-like traffic pattern explained above.
Traffic signal control is one of the important and efficient tools for managing traffic flow and reducing congestion in urban areas [1,2]. Traffic control problems present a complex and dynamic challenge in urban transportation planning and management. It is widely recognized that these problems are idiosyncratic, varying across different locations [3]. Thus, fixing a problem at a single location may relocate the problem to another area where it may have an entirely different manifestation. It is crucial to comprehend the underlying factors for each road user, contributing to multifaceted traffic control problems, and devise tailored solutions accordingly.
Traffic control problems arise from a combination of factors such as road geometry, the diverse mix of road users, origin and destination flows, traffic control mechanisms, and overall traffic demand. These elements interact in sophisticated ways, leading to unique issues in specific areas. By analyzing and understanding the complex interactions among these various factors, transportation professionals can develop targeted strategies to alleviate congestion and enhance traffic flow for multifaceted conditions [4,5,6,7].
One common multifaceted traffic control problem is the impact of shared left-turn lanes at signalized intersections. Numerous studies have examined aspects such as the saturation flow rate, capacity, queue discharge, and delay in this context, consistently showing that shared left-turn lanes lead to lower performance compared to exclusive turn lanes, especially with higher left-turning traffic volumes [8,9,10]. The shared lanes are typically used in lower-volume scenarios where poor performance is more tolerable. According to the Manual on Uniform Traffic Control Devices signal warrants, as traffic volumes grow, there is a stronger justification for converting shared lanes to exclusive lanes (if the geometry permits), along with the addition of exclusive signal phases [11].
Other multifaceted traffic control problems, such as area-wide and grid-based coordination of traffic signals, require tailored solutions. Several studies have developed optimization models and algorithms to improve network progression through signal coordination at both corridor and network levels [12,13,14,15]. However, the optimization process faces significant challenges when developing analyzable solutions tailored to specific traffic conditions. This is mainly due to the complex interactions and often conflicting needs among diverse road users, including pedestrians, cyclists, and vehicles.
This study explores the dynamics between shared left-turn lanes and through movements on a multimodal coordinated corridor, particularly where high left-turn volumes create challenges but are not substantial enough to justify exclusive left-turn lanes. Given the multimodality of the network and the diverse needs of road users, this research offers analyzable solutions to address traffic congestion in a complex urban setting and investigates the effects of these solutions. The study highlights a sustainable and efficient approach to addressing the mentioned problems through a relevant case study. Figure 2 depicts a simplified illustration of the area, which comprises a network with tree-like traffic pattern, including Forbes Avenue (west to east) and its parallel counterpart, Fifth Avenue (east to west), serving as vital connectors between significant origins and destinations within the City of Pittsburgh.
Existing signal optimization software tools often fall short in providing analyzable solutions, primarily focused on overall improvement for the coordinated movement rather than multi-faced approaches where decision-makers need to trade-off between multiple important criteria. This research aims to develop an analyzable and sustainable signal control approach that addresses various (sometimes conflicting) objectives, including reducing left-turn congestion, maintaining through movement coordination efficiency, and improving overall traffic operations in the study area.
Firstly, the study focuses on preserving the existing west–east through movement coordination on Forbes Avenue. Secondly, the research aims to establish effective coordination strategies for left-turning vehicles, optimizing traffic signal operations for the side streets and mitigating queue blockage between Forbes and Fifth Avenue. Lastly, the research seeks to minimize the overlapped green time between left-turning vehicles and crossing pedestrians on Forbes Avenue, thereby mitigating the need for left-turning vehicles to yield to pedestrians for the entire green duration. Besides the stated objectives, an important constraint that must be considered is that the new signal control strategy should also provide a certain level of coordination on Fifth Avenue (for east–west through movement) to prevent any adverse effects on its traffic operations.
Following a thorough examination and analysis of various elements, including existing traffic patterns, signal timings, signal phasing, and coordination between Forbes Avenue, Fifth Avenue, and the side streets, the research identifies certain intersections that necessitate modified signal control strategies.
To accomplish the outlined objectives, this study adopts two main strategies. The first strategy focuses on phase interdependencies for signalized intersections by providing a smooth progression for left-turning vehicles while prioritizing them on Forbes Avenue with new calculated offsets based on residual queues within the side streets. This strategy warrants that left-turning vehicles on the main street (Forbes Avenue) smoothly merge into the flowing queue on the side streets (Fifth Avenue). The second strategy involves implementing a lagging pedestrian interval, synchronized with the coordinated vehicular phase on Forbes Avenue. This strategy aims to reduce the overlapped time between left-turning vehicles and crossing pedestrians, thereby minimizing the need for left-turning vehicles to yield to pedestrians for the entire green duration. The proposed strategies are evaluated against the existing situation (base case scenario) to assess their effectiveness in mitigating left-turn congestion and improving overall traffic operations.
This study offers an efficient and analyzable solution for mitigating the impacts of high-volume left-turning vehicles on a shared lane with network coordination, a previously unaddressed concern. By utilizing analytical and microsimulation models instead of costly and time-consuming optimization methods, the proposed solution provides practical and feasible signal control approaches tailored to suit the unique traffic dynamics and interactions within the study area.
The structure of this paper is as follows: In the next section, the relevant literature concerning multifaceted issues is discussed. Following this, a detailed overview of the problem accompanied with the methodology, experimental setup, and evaluation methods is presented. Subsequently, the authors present the results, considering various performance measures, followed by a comprehensive discussion. Finally, the study’s findings are summarized in the concluding section.

2. Literature Review

Traffic control strategies play a crucial role in managing urban transportation systems. Effective signal timing optimization and coordination can significantly improve traffic flow and reduce Fuel Consumption (FC) and emissions [16,17]. Urban environments often present unique traffic control challenges, such as shared left-turn lanes, pedestrian-vehicle conflicts, and the coordination of multimodal corridors.
Left-turn movements at intersections have received extensive attention due to their impact on traffic operations and safety. Initial studies focused on developing models to estimate crucial planning parameters, including saturation flow rates and delays. Michalopoulos et al. tested existing models for left-turn saturation flow using field data from signalized and unsignalized intersections [18], finding that these models often overestimate or underestimate observed left-turn saturation flows. A study in Tokyo found that saturation flow rates were lower for shared left-turn lanes compared to exclusive lanes, especially with higher left-turning traffic ratios [8]. The same researchers analyzed queue discharge characteristics of shared left-turn lanes at signalized intersections in Japan [9], collecting data from two intersections with shared left-turn lanes and protected left-turn signal phasing. The results enhance the understanding of capacity loss in shared left-turn lanes, especially with higher left-turning vehicle ratios.
Grid-based coordination is an actively researched control solution for network congestion. Optimization models have improved network progression through signal coordination. Stevanovic et al. formulated a multi-criteria optimization model that considered mobility, safety, and environmental metrics when optimizing cycle, split, and offset parameters [14]. Lu et al. presented an approach to optimize offsets and splits under a split phasing scheme to minimize delays [12]. Jovanović et al. developed a bee colony optimization method for area-wide signal timing optimization to optimize cycle, split, and offset parameters and minimize a multi-objective function considering vehicular delay, stops, and emissions [13]. Yan et al. proposed a multiband coordination method using connected vehicle trajectory data to coordinate signals on an arterial [15]. Despite these promising approaches, grid-based optimization methods have limitations because they often produce solutions that are difficult to analyze, leaving practitioners with limited control over the potential impacts when implementing them in practice. This lack of analyzability makes it challenging to predict how resistant a given solution will be to modifications, leading to uncertainty when applying these methods in real-world settings.
In the 1990s, research shifted towards examining conflicts between left turns and pedestrians, with Lord finding increased delays and queues due to pedestrians [19]. Sharma et al. devised a framework to determine the appropriate use of leading pedestrian intervals (LPIs) for left turns [20], proposing a quantitative approach considering factors like pedestrian exposure, crash risk, and vehicle delay costs to balance safety and efficiency. In a recent study, Dey et al. used simulations to estimate the effects of pedestrian presence on left-turn conflicts during permissive left-turn phasing involving vehicles [21], finding a higher occurrence of conflicts involving pedestrians, highlighting the importance of considering pedestrian volumes in left-turn phasing decisions. Yang et al. evaluated an unconventional left-turn waiting area design downstream of the stop bar [22], using analytical queueing models to estimate capacity and delay and validated against empirical data. The models demonstrated increased left-turn capacity with the use of waiting areas.
This paper makes a distinctive contribution by addressing a multifaceted urban traffic control problem with an analyzable solution that integrates signal coordination for left turning movements and pedestrian treatment in grid networks. Unlike previous research that often relies on non-transparent optimization tools, this study utilizes an analytical approach. This approach is beneficial not only for its practicality and simplicity but also because it provides insight into the situation, allowing for better control of the relevance of the results. The research focuses on the effective coordination of signals in a grid network to alleviate left-turn-induced congestion. By integrating a novel approach for grid-based coordination with an unprecedented pedestrian treatment, the proposed solution adds significant value and serves as a potential inspiration for similar traffic control challenges in other urban settings.

3. Problem Overview, Methodology, and Experimental Setup

This section offers an overview of the traffic congestion problem in the urban network under consideration. It provides a comprehensive explanation of the proposed traffic control strategies investigated in this study, which include prioritizing left-turn movement with Lagging Pedestrian (LagPed), Left-Turn Progression (LTP) for left-turning vehicles, and a combination of both strategies. This section also includes the calculation of timing plan parameters for the LTP strategy. Subsequently, simulation model development and the experimental setup are outlined. Finally, to assess the effectiveness of the proposed strategies, the authors introduce the innovative and sustainable performance measures utilized to demonstrate the advantages of the proposed strategies.

3.1. Overview of the Traffic Congestion Problem and Related Urban Network

The investigated urban network is situated within the University of Pittsburgh campus area in Pittsburgh, Pennsylvania. It exhibits a multimodal characteristic, accommodating various modes of transportation (public transit, freight and passenger vehicles, micro-mobility, and pedestrians) with a tree-like traffic pattern. The study network consists of 50 intersections, 35 of which are signalized, is illustrated in Figure 3.
The main arterials, namely Forbes Avenue (west–east) and Fifth Avenue (east–west), are one-way coordinated and each stretch for one mile (1.6 km). The spaces between intersections along Forbes Avenue and Fifth Avenue range from 250 ft to 900 ft (75 to 275 m). These arterials run parallel and in opposing directions, interconnected by side streets. Both arterials operate under a fixed time coordinated mode, with the designated speed limit of 25 mph.
The campus area is characterized by dispersed destinations during the morning hours, including parking lots and garages (shown in Figure 3). These destinations are primarily concentrated in the northwest region of Fifth Avenue (Upper Campus Area). During the morning peak hours, congestion arises on Forbes Avenue due to a substantial volume of vehicles making left-turns into the side streets connecting it to Fifth Avenue. These side streets include McKee St., Meyran St., Atwood St., Oakland St., and Bigelow Blvd. Vehicular traffic during this period fluctuates, gradually increasing over the first three 15 min intervals and then slightly decreasing in the final 15 min interval. The simulation procedure and results reporting were conducted using a 15 min interval approach to ensure accuracy and precision.

Assessment of Current Traffic Control System: Functionality and Limitations

The current signal–timing plans for Forbes Avenue and Fifth Avenue have cycle lengths of 100 s and 80 s, respectively. These main arterials are coordinated to facilitate smooth progression for the major west–east and east–west vehicular movements, respectively. Notably, the pedestrian timings are synchronized to begin simultaneously with the concurrent vehicle movements of relevant phases.
The congestion on Forbes Avenue and the connecting side streets is caused by several factors. The substantial arrival of left-turning vehicles on Forbes Avenue contributes to congestion by causing queues to form within the side streets. Consequently, the limited capacity in the side streets results in the blockage of left-turn shared lane on Forbes Avenue, causing a subsequent drop in throughput for both left-turning and through vehicles. Moreover, the absence of progression for left-turning vehicles causes stop-and-go movements. This further reduces overall throughput and increase FC and emissions. Additionally, the number of pedestrians crossing the side streets during the morning peak hour is increasing. Furthermore, the shared use of the left-turn lane for both turning and through movements worsens the congestion on Forbes Avenue and the side streets connecting it to Fifth Avenue and other final destinations.
The current condition illustrated in Figure 4, exhibits three primary concerns that require improvement: (1) pedestrian-left-turn conflicts due to overlapped green time, (2) queue blockage of the side streets, and (3) disrupted left-turn movements. Figure 4 presents a time-space diagram illustrating the traffic conditions on Forbes and Fifth Avenues, along with their connecting side street. The yellow lines depict the trajectory of vehicles traveling from south to north on the side street of Forbes Avenue, while the purple lines represent the trajectories of left-turning vehicles from Forbes Avenue intending to turn left on this side street. Three signal timing diagrams are positioned accordingly, illustrating the signal timings for the side street on Forbes Avenue, Signal Group 4 (SG4), the coordinated movement on Forbes Avenue (SG2), and the signal timings for the side street at Fifth Avenue (SG4), arranged from the bottom to the top of the figure.
As depicted in Figure 4, left-turn movements on Forbes Avenue must yield to pedestrians crossing the street (marked as No. 1), causing significant delays for both left-turning and non-turning vehicles. This delay is mainly attributed to the shared lane configuration on Forbes Avenue, where vehicles making left-turns share the same lane as those going through. Moreover, Figure 4 indicates that the queue formed by the through movements from side streets (marked as No. 2) and the left-turning vehicles is unable to proceed on the green light signal on Fifth Avenue (marked as No. 3).

3.2. Investigated Traffic Control Strategies

To address the issues associated with left-turning vehicles, this section focuses on the detailed explanation of the two strategies mentioned: (i) prioritizing left-turn movement with the LagPed signal; (ii) Left-Turn Progression (LTP) for left-turning vehicles on Forbes Avenue. Figure 5 illustrates the identified issues within the network as well as the proposed strategies to address them.

3.2.1. Prioritizing Left-Turn with Lagging Pedestrian Signal (LagPed)

The proposed solution involves adjusting signal timings at the intersection to enable smooth movement for left-turning vehicles by delaying the start of pedestrian crossing. The delay of pedestrian green signal activation aims to facilitate the clearance of the intersection for left-turning vehicles on Forbes Avenue. While this adjustment may cause some additional delay for pedestrians, its overall impact is expected to be minimal, particularly during the beginning of the morning peak hour when pedestrian activity is lower compared to the later stages.
Figure 6 illustrates the current and proposed signal phases (Φ) with signal timing adjustments at an intersection to accommodate left-turning vehicles while minimizing the overlap time with pedestrians. The figure displays the modified signal sequence, highlighting the delayed activation of the pedestrian green signal (Φ102) to prioritize the movement of left-turning vehicles on Forbes Avenue (Φ2). To maintain simplicity and maximize potential traffic flow benefits, the authors calculated their own minimum pedestrian timings (walk + pedestrian clearance), as opposed to using the values from the field [23].

3.2.2. Progression for Left-Turning Vehicles

Left-Turn Progression (LTP) is proposed as a solution to alleviate the queue blockage issues on the side streets. This queue blockage can occur due to either the through movement of downstream side streets or the residuals of left-turning vehicles from Forbes Avenue in the previous cycle. The LTP strategy aims to achieve uninterrupted movement for the coordinated flow of left-turning vehicles on Forbes Avenue by merging them into the flowing queue within the side streets (discharging queue). This approach maximizes throughput capacity for the vehicles arriving at SG 4 on Fifth Avenue and facilitates a smooth flow and clearance on Forbes Avenue, preventing any blockage. Figure 7 depicts the operation of the LTP strategy for left-turning vehicles.
The calculation process for the LTP parameters involves determining critical traffic signal timing parameters, including cycle length, splits, and offsets. These parameters are outlined briefly below.
Cycle length:
Achieving signal coordination between the parallel arterials, Fifth and Forbes Avenue, begins with establishing a common cycle length for the traffic signals. In alignment with the study’s focus on efficiency and simplicity, a pragmatic approach was employed to determine the common cycle length. As mentioned earlier, the cycle lengths for Fifth Avenue and Forbes Avenue are 80 s and 100 s, respectively. Considering the arterials’ capacities, the minimum cycle length for Fifth Avenue must remain at least 80 s to accommodate traffic demand. However, exceeding a cycle length of 100 s for any of the arterials is discouraged as it could lead to increased queues. Therefore, choosing the maximum cycle length between the arterials, a widespread practice in this field did not have any detrimental effect on the calculated capacities.
If C     i —Cycle length of i -th intersection, the common cycle length, C * is:
C * = max { i C   i }
Split:
The authors adopted a scaling approach to determine splits proportionate to the cycle length, maintaining a consistent ratio of 80/100 and avoiding unnecessary complexity. Importantly, this method preserves the system’s capacity and ensures an efficient signal distribution for both arterials, Fifth Avenue and Forbes Avenue.
If g p i —green time of p -th phase of i -th intersection, the phase green times, g p * i is
g p * i = g p i · C * C i
Offset:
To precisely calculate the offsets for LTP, meticulous consideration of various factors, as depicted in Figure 7 and Figure 8, is essential. The authors have devised an analytical model that considers key elements, including Residual Queue from Coordinated Flow, Queue Discharge Shockwave Speed, and Queue Discharge Shockwave Propagation Time, among others. The following section outlines the offset calculation process in detail, offering valuable insights into the methodology used to determine accurate and effective offsets for the LTP strategy.
According to Figure 8, the authors can derive the equation for calculating the coordinated flow residual queue in the case where τ Q r 0 as follows:
Q r = q · τ Q r = q · ( φ + g   I I g   I + L v )
Furthermore, the condition for LTP coordination φ + τ e n d o f q u e u e t r a v e l   Q = τ ω   Q can be presented as follows:
φ + L ( Q r + Q o ) · l o v = ( Q r + Q o ) · l o ω   ,  
Upon solving Equations (3) and (4), the following outcomes will be obtained:
φ LTP = Q o + q · ( g   I I g   I ) Q L c a p q · ( τ + τ ) · ( τ + τ )   τ ,
Q r   LTP = q · ( φ   R P , F P + g   I I g   I + τ ) ,
where
τ = L v is the free-flow travel time from the end of the intersection leg to the stop-bar;
τ = L ω   is the time the queue discharge shockwave reaches the end of the intersection leg;
Q L c a p = L l o   is the capacity (one-lane) of the of the intersection leg;
c c   I = q s · g   I is intersection cyclic capacity (one-lane).
These variables can be readily measured due to their straightforward nature and practical accessibility.
In the case where the assumption τ Q r 0 is not met, (and, correspondingly, Q r   L T P have negative values), it implies that the residual queue should be considered as empty. Consequently, in Equations (3) and (4), the variable Q r should be assigned a value of zero, which can be simulated by q 0 . Therefore, in this scenario, Equation (5) can still be utilized, but with q set to zero.
Two assumptions were made to simplify the analysis: first, the intersection size is negligible, and turning vehicles quickly reach free flow speed without significant delays. However, if this is not the case and there is a lag time   τ l a g involved, the resulting offset should be corrected accordingly. Second, it was assumed that the free flow speed is greater than the queued flow speed. To address these limitations, the following straightforward replacements are suggested:
φ   L T P     φ   L T P τ l a g .
In the above analysis, it is assumed that the non-coordinated flow queue Q o is independent of the offset φ . This assumption is reasonable, especially for closely spaced intersections. However, if a portion of the flow arrives at green after the residual queue has been cleared, the value Q o can still be interpreted as granted extra space capacity.
Offset Calculation:
After formulating the equations for LTP offset calculation, the offsets were determined for the five problematic intersections during the peak hour, as displayed in Table 1. As previously noted, vehicular traffic during peak hours exhibits fluctuations; therefore, the offset calculation considers both normal (with average traffic cyclic volume) and extreme traffic conditions (with cyclic volume increased by two standard deviations). Furthermore, the authors assessed the overflow conditions for each intersection under both normal and extreme conditions. It is worth noting that due to the close spacing of intersections along Fifth Avenue and the similarity of ideal offsets for the five problematic intersections, Fifth Avenue coordination can be maintained with their respective offsets.

3.3. Experimental Setup

The proposed strategies (Lagped and LTP) were evaluated through microsimulation using PTV Vissim 2022. The microsimulation model was developed, calibrated, and validated by using the turning movement counts and travel time data. Traffic counts were collected during the morning peak hour on a typical workday in the Fall of 2022, covering a 2 h duration in 15 min intervals. Travel time recordings were conducted meticulously, with multiple rounds of trips on the same working day to ensure accuracy and obtain representative averages. Traffic signal timings were provided by the City of Pittsburgh.
The following scenarios were selected to evaluate the performance of the strategies:
  • Base case (BC) scenario:
The BC scenario represents the original signal and pedestrian timings, synchronized with their corresponding vehicle signal groups. Forbes Avenue and Fifth Avenue are one-way coordinated arterials with cycle lengths of 100 s and 80 s, respectively.
  • Lagging pedestrian (LagPed) scenario:
The LagPed scenario involves adjusting pedestrian timings by delaying the start of the minimum pedestrian walk and clearance times. This deliberate modification aims to illustrate the impact of reducing the possibility of the simultaneous presence of pedestrians and left-turning vehicles. It allows for a thorough assessment of the effectiveness of the proposed strategy.
  • Left-Turn progression (LTP) scenario:
The LTP scenario involves adjusting the common coordination cycle length (from 80 s to 100 s) on Fifth Avenue and applying the calculated offsets to at the five problematic intersections to enable LTP for left-turning vehicles on Forbes Avenue. The offsets for the remaining intersections on Fifth Avenue were modified to address coordination disturbance. The pedestrian treatment will maintain identical as in the BC.
  • Lagging pedestrian and left-turn progression (LagPed + LTP) scenario:
The LagPed + LTP scenario is a combination of LagPed and LTP where pedestrian timings are modified by delaying the start of pedestrian walk and clearance times, and coordination cycle lengths and offsets at problematic intersections on Fifth Avenue are adjusted to provide progression for left-turning vehicles.

3.4. Evaluation

The proposed scenarios were evaluated across various performance measures at distinct levels including movement, corridor, and network considering both mobility and environmental metrics. The average pedestrian delay is measured to assess pedestrian operations. The queue length on the third lane of Forbes Avenue (shared lane between left-turn and through movements) before the five problematic intersections is investigated to evaluate left-turn movement operation performance. For critical routes designated in Figure 9, the Travel Time Index (TTI) was employed to assess the efficiency of left turn and through movements. Additionally, at the network level, several metrics are used to measure the overall impact of the scenarios, including the area average travel time index (AATTI), average delay, average number of stops, FC, and CO2 emissions.

3.4.1. Travel Time Index

The TTI represents the ratio of travel time during the peak period to the time needed to complete the same trip at free-flow speeds [24]. To illustrate the variability of travel time under different scenarios, the authors calculated the TTI for each 15 min time interval for the critical routes. Twelve routes across the network were selected to cover diverse areas. In Figure 9, the pink routes were chosen to address problematic corridors where the study aimed to resolve issues at identified intersections. The problems extended to other areas due to the high volume of left-turning vehicles at these intersections. The blue routes were influenced by the proposed changes, making them of particular interest for analysis, especially concerning potential side streets experiencing increased delays after implementing the proposed modifications.

3.4.2. Area Average Travel Time Index

The Area Average Travel Time Index (AATTI) serves as a valuable performance measure for evaluating the efficiency of different scenarios within a specific geographical area or region. It represents the ratio of travel time during peak periods to the time required to complete the same trip under free-flow conditions at the network level. This metric provides valuable information for assessing the overall effectiveness of traffic management strategies and analyzing critical routes within the targeted region.
The calculation of the AATTI involves considering all the selected routes across the network. If N represents the total number of vehicles moving within the area of interest, and n r represents the number of vehicles following a specific route indexed as r , then,
r n r = N
Additionally, assume τ i , τ i 0 represent the travel time and free flow basic travel time of the i -th vehicle in the area correspondingly, then the average travel time index experienced by vehicle drivers can be defined as
A A T T I = 1 N i τ i τ i 0  
A A T T I = 1 N i τ i τ i 0 = 1 N r i r τ i r τ i r 0
Assuming [ τ i r 0 = τ r 0 ] , then
A A T T I = 1 N r n r τ r 0 1 n r i r τ i r = 1 N r n r τ r 0 τ r
where τ r is the average travel time over the route r .

3.4.3. Fuel Consumption and CO2 Emissions

For this study, the Comprehensive Modal Emission Model (CMEM) was used to analyze vehicular trajectories obtained from Vissim to estimate FC and CO2 emissions on a second-by-second basis for individual vehicles using a Vissim–Python–CMEM interface developed by Alshayeb et al. [25]. Two commonly used vehicle types, Light Duty Vehicles (LDVs) and Heavy-Duty Diesel Vehicles (HDDVs), were considered across the relevant scenarios explored in this research. After conducting five simulations for each scenario in Vissim, the vehicular trajectories were exported to CMEM for in-depth analysis, deriving FC and CO2 emissions results for each of the vehicle types. The results are explained in detail in the next section.

4. Results

In this section, an in-depth analysis of the four scenarios (BC, LagPed, LTP, and LagPed + LTP) considered in this study is provided. Each scenario was evaluated at the movement, corridor, and network levels. Pedestrian delays and the queue length of the left-turn movements on Forbes Avenue were measured at the movement level. The TTI was used to measure the performance at the corridor level within the designated routes. Additionally, the AATTI, average delay per vehicle, average number of stops per vehicle, average FC and CO2 emissions per vehicle were employed to evaluate the overall performance at the network level. Each scenario was executed five times with different random seeds, and a 30 min warm-up time was considered for each run.

4.1. Pedestrian Delay

Figure 10 displays the pedestrian average delay at five problematic intersections in 15 min time intervals, accounting for the gradual increase in pedestrian volume during the peak hour. Specifically, the results focus on the conflicting approach with left-turning vehicles at these intersections. The comparison is essentially between two pedestrian treatment scenarios: the Base Case Scenario (BC) and the Lagging Pedestrian Scenario (LagPed), as the other two scenarios yielded comparable results to these. As anticipated, the BC scenario demonstrated the lowest pedestrian average delay on the conflicting approach with left-turning vehicles, attributed to pedestrians benefiting from full pedestrian time concurrent with vehicular flow. In contrast, in LagPed scenarios, the pedestrian average delay was higher than the BC and LTP scenarios. Throughout the A.M. peak hour, the difference in pedestrian average delay between the two scenarios increased, as the pedestrian volume progressively rose during the hour.

4.2. Queue Lengths of the Left-Turn Movements on Forbes Ave

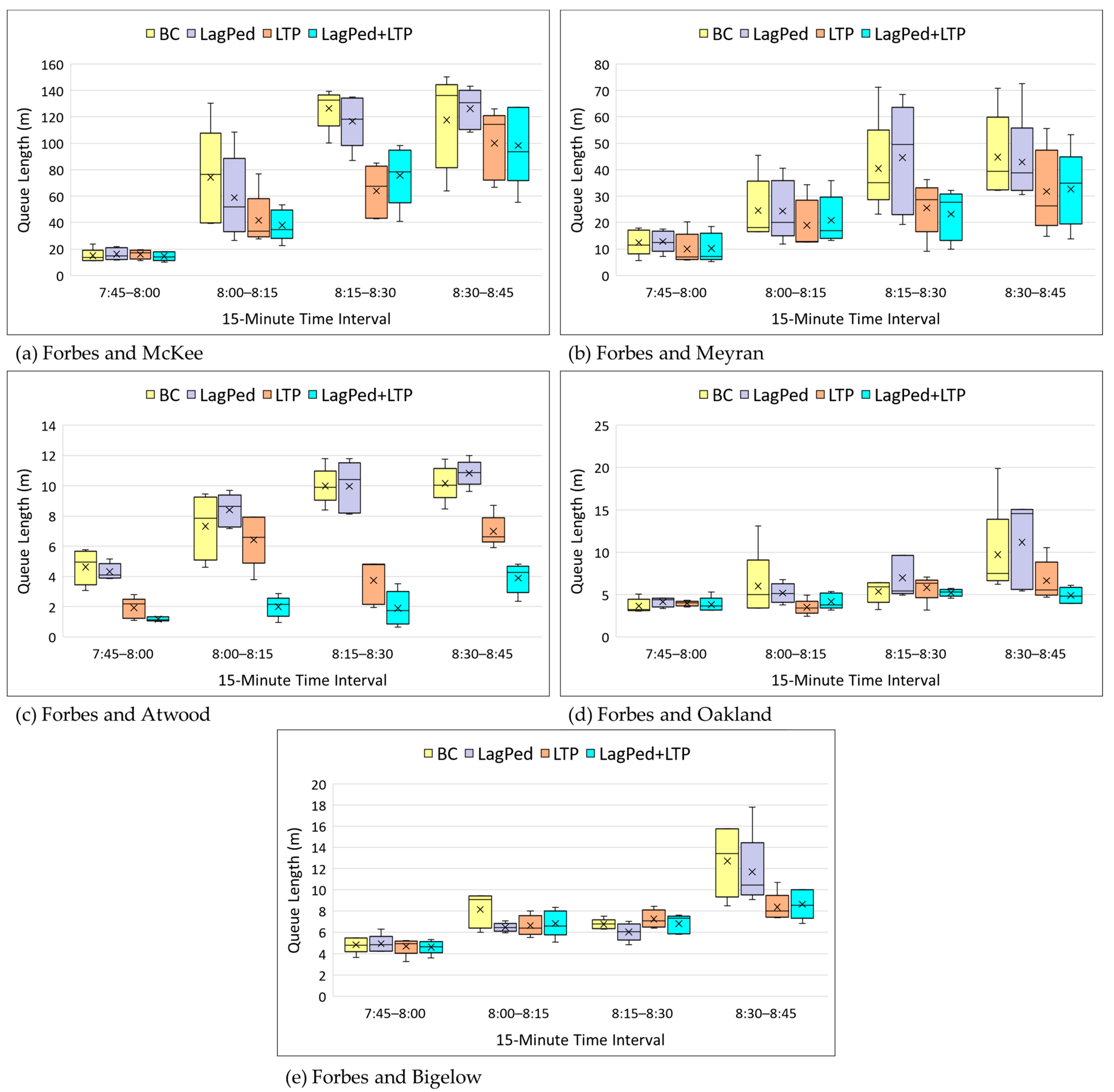
Figure 11 presents a comprehensive analysis of the average queue length on the third lane before the five problematic intersections. This performance measure highlights the advantageous outcomes of the LTP strategy within the LTP and LagPed + LTP scenarios, where left-turning vehicles on the coordinated movement are prioritized over the uncoordinated movement on the side streets, setting them apart from the BC and LagPed scenarios. As expected, the average queue length on the third lane at the problematic intersections on Forbes Avenue was notably reduced in the scenarios with LTP strategy, validating the efficacy of this strategy. Furthermore, within the scenarios with LTP strategy, the LagPed + LTP scenario outperformed the LTP. This improvement is attributed to the additional time granted for left-turning vehicles to make their turns in a protected manner with the LagPed strategy, as they no longer need to yield to pedestrians. Additionally, since the selection of the optimal offset value primarily aimed to benefit the latter half of the peak period, it is evident that the scenarios with LTP strategy deliver better results during the last 30 min of the peak hour since the offsets were optimized to benefit this period.

4.3. Travel Time Index

TTI serves as a critical measure to demonstrate the increasing trend of travel time across four distinct scenarios, each analyzed in 15 min intervals.
Results from five simulation runs during the peak hour, analyzed at 15 min intervals, highlight the performance fluctuation for each scenario. Figure 12 vividly presents the TTI in four different time intervals for each scenario, calculated based on their respective free flow travel time to ensure a fair and accurate comparison.
As anticipated, the LagPed + LTP scenario stands out with the lowest TTI during the peak hour, signifying superior travel time efficiency compared to the other scenarios. Conversely, the BC scenario experiences the least favorable outcomes, particularly in the final 15 min interval, characterized by the highest traffic volume which was the motivation of this study.
Figure 12 employs a color-coded scheme, with green representing the lowest TTI, indicative of more desirable travel times, while red signifies the highest TTI, reflecting less favorable conditions. This comprehensive visualization highlights the significant impact of the scenarios on travel time performance, allowing for a clearer understanding of their effectiveness in optimizing traffic operations and alleviating congestion.
Looking carefully at the results of these twelve identified routes (based on Figure 9), the scenarios with the LTP strategy demonstrate notably improved results for the five selected problematic routes (marked as pink routes in Figure 9), particularly during the last 30 min of the peak hour, which aligns with the primary goal of the strategy.
When analyzing the side street routes of problematic intersections, it was expected that the proposed scenarios might not yield results as remarkable as those observed for left-turn movements, due to the emphasis on prioritizing left-turn movements on Forbes Avenue. However, the impact on the side street routes was found to be moderate, with no significant deterioration in performance. In certain cases, depending on volume fluctuations, the side streets even experienced some improvements. Figure 13 illustrates these changes for the side streets at these five problematic intersections.
Furthermore, Figure 14 specifically presents the Travel Time Index (TTI) results for the main coordinated arterials, Forbes, and Fifth Avenue, depicted using whisker boxes, which highlight the performance fluctuations for each scenario within the 5 simulation runs. Although the proposed scenarios involved slight modifications to signal timing parameters and resulted in a disruption of coordination on Fifth Avenue, the overall traffic operation on this arterial exhibited improvement. As intended, Forbes Avenue consistently outperformed in the scenarios with proposed strategies, offering better results in all 15 min time intervals.

4.4. Area Average Travel Time Index

The AATTI is a valuable performance measure, reflecting the overall efficiency of different scenarios in a specific region. Notably, the scenarios with LTP strategy, particularly LagPed + LTP, demonstrate promising outcomes. Figure 15 depicts the results during the peak hour, where increased traffic volume corresponds to higher AATTI. However, the consistent advantage of the proposed scenarios remains evident, affirming their effectiveness in improving traffic operations throughout the peak hour.

4.5. Average Delay and Number of Stops over Network

The evaluation of different scenarios on the overall network includes reporting the average delay (Figure 16a) and average number of stops (Figure 16b) over the one-hour simulation during the peak hour. According to Figure 16, scenarios with LTP strategy outperform others, with around 5% reduction in average delay compared to the BC scenario. Similarly, scenarios with LTP strategy show around 12% decrease in the average number of stops compared to the BC scenario. These results emphasize the advantages of LTP strategy in optimizing network performance. Additionally, this figure demonstrate that the LTP scenario slightly outperforms the LagPed + LTP scenario in reducing the average delay and the average number of stops.

4.6. Fuel Consumption and CO2 Emissions

Figure 17 and Figure 18 represent the results for FC and CO2 emissions for LDVs and HDDVs, respectively. According to Figure 17a scenarios incorporating the proposed strategies demonstrate better FC performance for LDVs compared to the BC scenario. The LagPed scenario exhibits a modest 0.8% FC reduction compared to the BC scenario, while scenarios employing the LTP strategy consistently show a more significant 4.5% FC reduction. This suggests that the LagPed strategy plays a minor role in FC reduction. Figure 17b presents a similar trend for HDDVs, where the proposed strategies lead to FC reductions compared to the BC scenario, with reductions of 2.9%, 6.2%, and 4.8% in the LagPed, LTP, and LagPed + LTP scenarios, respectively.
Similarly, Figure 18a demonstrates that scenarios implementing the LTP strategy result in reduced CO2 emissions for LDVs, with reductions of 4.5% and 4.6% in the LTP and LagPed + LTP scenarios compared to the BC scenario. Figure 18b illustrates a comparable trend for HDDVs, with reductions of 6.3% and 4.9% in contrast to the BC scenario. These findings underscore the substantial advantages of the LTP strategy in reducing both FC and CO2 emissions throughout the network.

5. Discussion

Upon extracting the values of performance measures, scenarios may have varying results, especially concerning contradictory operational objectives within each strategy. For instance, one strategy might reduce pedestrian delays but increase through movement travel time, while another strategy could prioritize minimizing through movement travel time but at the expense of higher pedestrian delays. Hence, in the presence of these conflicting operational goals and performance measures, it is crucial to formulate a solution to guide decision-making and identify the preferred scenario.
Considering a scenario where there are n different strategies, each assessed using m performance measures (xij represents the value of ith performance measure for the jth scenario). These performance measures have different units and thus cannot be directly compared or combined mathematically. To address this issue and ensure a fair and meaningful comparison between different scenarios, this research employs a common normalization technique called “min-max normalization” (or feature scaling). Min-max normalization is a technique used to scale and standardize independent variables [26]. For each performance measure xij corresponding to a specific scenario, the min-max normalization transforms the original value into a normalized value xij between 0 and 1. This normalization is performed using the following equation:
x i j = x i j min ( x i ) max ( x i ) min ( x i )
In this Equation, min ( x i )   represents the minimum value of i th   performance measure across all scenarios ( i = 1, 2, …, m), and max ( x i ) represents the maximum value of i th   performance measure across all scenarios. These normalized values x i j enable a fair comparison of the different performance measures across various scenarios, facilitating a decision-making process for the preferred scenario, showing how the i th   performance measure in the jth scenario is significantly higher than the minimum possible and closer to the maximum possible across all scenarios.
Table 2 presents varying outcomes for different performance measures across different scenarios (both original and normalized values). The min-max normalized values are colored based on their position in the spectrum from 0 to 1, where the values highlighted in green show better performance, while the values highlighted in red indicate worse performance.
Recognizing that lower values for each performance measure indicate superior performance in the corresponding scenario (highlighted with green color). The normalized values within each column were summed to derive a total score for comparison purposes. As is shown in the table, the LTP scenario performs better considering almost all the performance measures, acknowledging the min-max normalization technique which illustrates that the selection of the most favorable scenario entails choosing the one with the lowest normalized sum (LTP Scenario with a normalized sum equal to 0.55), reflecting the superior overall performance across the assessed performance measures.

6. Conclusions

The high left-turning traffic ratios in shared left-turn lanes, the limited length of the side streets in the grid network, and interactions between left-turning vehicles and pedestrians indicate the necessity of tailored and analyzable strategies to address the multifaceted congestion throughout the network. This study proposed the use of analyzable solutions, which practitioners can understand and analyze for adequacy, in contrast to “non-transparent” solutions from optimization tools. The proposed solutions provide an efficient and practical means to adjust signal timing parameters, such as phase, cycle, split, and offset, considering multiple criteria such as the essence of traffic conditions, signal timing parameters, and the special needs of the area (e.g., progression for left-turn vehicles). The focus of this paper is to investigate the performance of analyzable solutions on couplet streets with tree-like traffic patterns during peak hours, where high left-turn volumes and pedestrian overlap lead to queue spillbacks and congestion.
Utilized fundamental analytical techniques demonstrate the potential for improving mobility and progression, through coordinated signal timing plans, at both corridor and network levels. Based on the comprehensive analysis and evaluation conducted in this study, the implementation of strategies such as LagPed (Lagging Pedestrian), LTP (Left-Turn Progression), and their combination (LagPed + LTP) has confirmed promising outcomes in addressing various operational challenges within the traffic network.
Results show that the LagPed + LTP scenario outperformed all evaluated performance measures except for pedestrian delay and therefore, average delay over the network. The study uses a min–max normalization technique to standardize performance measures across different scenarios, ensuring fair comparisons. The results from this comparison show that the LTP scenario performs better than other scenarios in almost all performance measures with a 0.55 normalized sum value.
Additionally, pedestrian delays for the BC and LagPed scenarios were not considerably different at the beginning of the peak hour, but the difference between them increased as pedestrian demand increased in the second half of the peak hour. Overall, implementing the LTP strategy reduced delays, number of stops, queue length for left-turning vehicles, travel times for all road users along the network, and ultimately environmental metrics such as FC and CO2 emissions.
By introducing strategies that can be easily analyzed and understood, this study provides a path toward a more sustainable and efficient traffic management to tackle a complex and multifaceted traffic problem in urban environments. As the field of traffic management continues to evolve, the insights gained from this study can serve as a valuable resource for formulating comprehensive and efficient solutions in urban traffic control and will highlight the importance of exploring multifaceted traffic control problems and implementing analyzable solutions for addressing them.
An analyzable solution is an efficient and practical tool for addressing complex traffic conditions. Future research could examine how analyzable solutions can be customized for different situations, accommodating various modes of transportation with differing objectives. This might include exploring transit signal priority, bike lanes with dedicated signals, or ways to prioritize micro-mobility within urban networks. By focusing on these aspects, researchers can broaden the scope of analyzable solutions and create effective traffic management strategies that can be easily analyzed and updated over time.

Author Contributions

Conceptualization, T.A., D.S. and A.S.; methodology, T.A., D.S. and A.S.; software, T.A., D.S. and A.S.; validation, T.A., D.S., A.S. and N.D.; formal analysis, T.A., D.S. and A.S.; investigation, T.A., D.S. and A.S.; resources D.S. and A.S.; data curation, T.A. and D.S.; writing—original draft preparation, T.A.; writing—review and editing, T.A., D.S., A.S. and N.D.; visualization, T.A. and D.S.; supervision, D.S. and A.S. All authors have read and agreed to the published version of the manuscript.

Funding

This research received no external funding.

Institutional Review Board Statement

Not applicable.

Informed Consent Statement

Not applicable.

Data Availability Statement

Please contact the corresponding author for further inquiries.

Conflicts of Interest

Author Nemanja Dobrota was employed by the company Kittelson and Associates, Inc. The remaining authors declare that the research was conducted in the absence of any commercial or financial relationships that could be construed as potential conflicts of interest.

References

  1. Lee, S.; Wong, S.; Varaiya, P. Group-based hierarchical adaptive traffic-signal control part I: Formulation. Transp. Res. Part B Methodol. 2017, 105, 1–18. [Google Scholar] [CrossRef]
  2. Eom, M.; Kim, B. The traffic signal control problem for intersections: A review. Eur. Transp. Res. Rev. 2020, 12, 50. [Google Scholar] [CrossRef]
  3. Stevanovic, A. Adaptive Traffic Control Systems: Domestic and Foreign State of Practice; Transportation Research Board, National Cooperative Highway Research Program Synthesis Program: Washington, DC, USA, 2010. [Google Scholar]
  4. Lu, X.-Y.; Varaiya, P.; Horowitz, R.; Su, D.; Shladover, S.E. Novel freeway traffic control with variable speed limit and coordinated ramp metering. Transp. Res. Rec. 2011, 2229, 55–65. [Google Scholar] [CrossRef]
  5. Azadi, F.; Mitrovic, N.; Stevanovic, A. Impact of shared lanes on performance of the combined flexible lane assignment and reservation-based intersection control. Transp. Res. Rec. 2022, 2676, 51–68. [Google Scholar] [CrossRef]
  6. Yazdani, M.; Sarvi, M.; Bagloee, S.A.; Nassir, N.; Price, J.; Parineh, H. Intelligent vehicle pedestrian light (IVPL): A deep reinforcement learning approach for traffic signal control. Transp. Res. Part C Emerg. Technol. 2023, 149, 103991. [Google Scholar] [CrossRef]
  7. Gokulan, B.P.; Srinivasan, D. Distributed geometric fuzzy multiagent urban traffic signal control. IEEE Trans. Intell. Transp. Syst. 2010, 11, 714–727. [Google Scholar] [CrossRef]
  8. Chen, P.; Nakamura, H.; Asano, M. Saturation flow rate analysis for shared left-turn lane at signalized intersections in Japan. Procedia-Soc. Behav. Sci. 2011, 16, 548–559. [Google Scholar] [CrossRef]
  9. Chen, P.; Nakamura, H.; Asano, M. Unsteady Queue Discharge Characteristics of Shared Left-turn Lane at Signalized Intersections in Japan. J. East. Asia Soc. Transp. Stud. 2011, 9, 1499–1511. [Google Scholar]
  10. Li, X.; Sun, J.-Q. Effects of turning and through lane sharing on traffic performance at intersections. Phys. A Stat. Mech. Its Appl. 2016, 444, 622–664. [Google Scholar] [CrossRef]
  11. Federal Highway Administration. Manual on Uniform Traffic Control Devices, 11th ed.; FHWA, U.S. Department of Transportation: Washington, DC, USA, 2023.
  12. Lu, K.; Hu, J.; Huang, J.; Tian, D.; Zhang, C. Optimisation model for network progression coordinated control under the signal design mode of split phasing. IET Intell. Transp. Syst. 2017, 11, 459–466. [Google Scholar] [CrossRef]
  13. Jovanović, A.; Nikolić, M.; Teodorović, D. Area-wide urban traffic control: A Bee Colony Optimization approach. Transp. Res. Part C Emerg. Technol. 2017, 77, 329–350. [Google Scholar] [CrossRef]
  14. Stevanovic, A.; Stevanovic, J.; So, J.; Ostojic, M. Multi-criteria optimization of traffic signals: Mobility, safety, and environment. Transp. Res. Part C Emerg. Technol. 2015, 55, 46–68. [Google Scholar] [CrossRef]
  15. Yan, H.; He, F.; Lin, X.; Yu, J.; Li, M.; Wang, Y. Network-level multiband signal coordination scheme based on vehicle trajectory data. Transp. Res. Part C Emerg. Technol. 2019, 107, 266–286. [Google Scholar] [CrossRef]
  16. Al-Turki, M.; Jamal, A.; Al-Ahmadi, H.M.; Al-Sughaiye, M.A.; Zahid, M. On the Potential Impacts of Smart Traffic Control for Delay, Fuel Energy Consumption, and Emissions: An NSGA-II-Based Optimization Case Study from Dhahran, Saudi Arabia. Sustainability 2020, 12, 7394. [Google Scholar] [CrossRef]
  17. Luca, S.D.; Di Pace, R.; Memoli, S.; Pariota, L. Sustainable Traffic Management in an Urban Area: An Integrated Framework for Real-Time Traffic Control and Route Guidance Design. Sustainability 2020, 12, 726. [Google Scholar] [CrossRef]
  18. Michalopoulos, P.G.; O’Connor, J.; Novoa, S.M. Estimation of Left-Turn Saturation Flows. Transp. Res. Rec. 1978, 667, 35–41. [Google Scholar]
  19. Lord, D. Analysis of Pedestrian Conflicts with Left-Turning Traffic. Transp. Res. Rec. 1996, 1538, 61–67. [Google Scholar] [CrossRef]
  20. Sharma, A.; Smaglik, E.; Kothuri, S.; Smith, O.; Koonce, P.; Huang, T. Leading Pedestrian Intervals: Treating the Decision to Implement as a Marginal Benefit–Cost Problem. Transp. Res. Rec. 2017, 2620, 96–104. [Google Scholar] [CrossRef]
  21. Dey, K.; Rahman, M.T.; Das, S.; Williams, A.M. Left-turn phasing selection considering vehicle to vehicle and vehicle to pedestrian conflicts. J. Traffic Transp. Eng. 2023, 10, 58–69. [Google Scholar] [CrossRef]
  22. Yang, Z.; Liu, P.; Tian, Z.; Wang, W. Effects of Left-Turn Waiting Areas on Capacity and Level of Service of Signalized Intersections. J. Transp. Eng. 2013, 139, 1076–1085. [Google Scholar] [CrossRef]
  23. Turner, S.; Sandt, L.; Toole, J.; Benz, R.; Patten, R. Federal Highway Administration University Course on Bicycle and Pedestrian Transportation.; Publication No. FHWA-HRT-05-133; US Department of Transportation: Washington, DC, USA, 2006.
  24. Vidović, K.; Šoštarić, M.; Budimir, D. An Overview of Indicators and Indices Used for Urban Mobility Assessment. Promet Traffic Transp. 2019, 31, 703–714. [Google Scholar] [CrossRef]
  25. Alshayeb, S.; Stevanovic, A.; Dobrota, N. Impact of Various Operating Conditions on Simulated Emissions-Based Stop Penalty at Signalized Intersections. Sustainability 2021, 13, 10037. [Google Scholar] [CrossRef]
  26. Raju, V.N.G.; Lakshmi, K.P.; Jain, V.M.; Kalidindi, A.; Padma, V. Study the Influence of Normalization/Transformation process on the Accuracy of Supervised Classification. In Proceedings of the Third International Conference on Smart Systems and Inventive Technology, Tirunelveli, India, 20–22 August 2020. [Google Scholar]
Figure 1. Exemplary tree-like traffic pattern network.
Figure 1. Exemplary tree-like traffic pattern network.
Sustainability 16 04777 g001
Figure 2. Simplified study area during the morning peak hours, high volumes of left-turning traffic (heading towards the parking lots) at certain intersections and the limited length of side streets contribute to this congestion. Left-turning vehicles (arriving in a non-platoon manner) sharing the third lane with through vehicles on Forbes Avenue exacerbate the congestion problem, causing blockage, and capacity drop. Additionally, increased pedestrian activity during the second half of the peak hour leads to more frequent stops and delays at these problematic intersections as left-turning vehicles yield to the pedestrians. These challenges have far-reaching implications, for left-turning vehicles, the coordination on Forbes Avenue, and the overall efficiency of the local road network.
Figure 2. Simplified study area during the morning peak hours, high volumes of left-turning traffic (heading towards the parking lots) at certain intersections and the limited length of side streets contribute to this congestion. Left-turning vehicles (arriving in a non-platoon manner) sharing the third lane with through vehicles on Forbes Avenue exacerbate the congestion problem, causing blockage, and capacity drop. Additionally, increased pedestrian activity during the second half of the peak hour leads to more frequent stops and delays at these problematic intersections as left-turning vehicles yield to the pedestrians. These challenges have far-reaching implications, for left-turning vehicles, the coordination on Forbes Avenue, and the overall efficiency of the local road network.
Sustainability 16 04777 g002
Figure 3. Study Network.
Figure 3. Study Network.
Sustainability 16 04777 g003
Figure 4. Current traffic control system.
Figure 4. Current traffic control system.
Sustainability 16 04777 g004
Figure 5. Enhancing left-turning vehicle operations: an overview of proposed strategies.
Figure 5. Enhancing left-turning vehicle operations: an overview of proposed strategies.
Sustainability 16 04777 g005
Figure 6. Signal timing adjustment—lagging pedestrian signal.
Figure 6. Signal timing adjustment—lagging pedestrian signal.
Sustainability 16 04777 g006
Figure 7. Overview of progression for left-turning vehicles.
Figure 7. Overview of progression for left-turning vehicles.
Sustainability 16 04777 g007
Figure 8. Coordinated flow residual queue assessment.
Figure 8. Coordinated flow residual queue assessment.
Sustainability 16 04777 g008
Figure 9. Selected routes for travel time index analysis.
Figure 9. Selected routes for travel time index analysis.
Sustainability 16 04777 g009
Figure 10. Pedestrian average delay on the conflicting approach with the left-turning vehicles at five problematic intersections.
Figure 10. Pedestrian average delay on the conflicting approach with the left-turning vehicles at five problematic intersections.
Sustainability 16 04777 g010
Figure 11. Average queue length on the 3rd lane of Forbes Avenue at five problematic intersections.
Figure 11. Average queue length on the 3rd lane of Forbes Avenue at five problematic intersections.
Sustainability 16 04777 g011
Figure 12. TTI over twelve identified routes.
Figure 12. TTI over twelve identified routes.
Sustainability 16 04777 g012
Figure 13. Average travel time for side street approach on five problematic intersections.
Figure 13. Average travel time for side street approach on five problematic intersections.
Sustainability 16 04777 g013
Figure 14. TTI on main coordinated arterials.
Figure 14. TTI on main coordinated arterials.
Sustainability 16 04777 g014
Figure 15. Area average travel time index for four different scenarios. Note: The percentages shown in the figure represent the relative differences calculated based on the BC scenario.
Figure 15. Area average travel time index for four different scenarios. Note: The percentages shown in the figure represent the relative differences calculated based on the BC scenario.
Sustainability 16 04777 g015
Figure 16. Average delay and number of stops per vehicle over the network. Note: The percentages shown in the figure represent the relative differences calculated based on the BC scenario.
Figure 16. Average delay and number of stops per vehicle over the network. Note: The percentages shown in the figure represent the relative differences calculated based on the BC scenario.
Sustainability 16 04777 g016
Figure 17. Average fuel consumption per (a) LDVs and (b) HDDVs. The percentages shown in the figure represent the relative differences calculated based on the BC scenario.
Figure 17. Average fuel consumption per (a) LDVs and (b) HDDVs. The percentages shown in the figure represent the relative differences calculated based on the BC scenario.
Sustainability 16 04777 g017
Figure 18. Average CO2 Emissions per (a) LDVs and (b) HDDVs. The percentages shown in the figure represent the relative differences calculated based on the BC scenario.
Figure 18. Average CO2 Emissions per (a) LDVs and (b) HDDVs. The percentages shown in the figure represent the relative differences calculated based on the BC scenario.
Sustainability 16 04777 g018
Table 1. LTP offset calculation results.
Table 1. LTP offset calculation results.
Intersection NameNormal Traffic ConditionExtreme Traffic Condition
Offset ValueOffset Value
McKee/Forbes311
Meyran/Forbes18
Atwood/Forbes310
Oakland/Forbes211
Bigelow/Forbes−16
Table 2. Normalized performance measures values.
Table 2. Normalized performance measures values.
Original ValuesMin-Max Normalized Values
Performance MeasuresBCLagPedLTPLagPed + LTPBCLagPedLTPLagPed + LTP
Avg Pedestrian Delay (s)112.1140.4117.7146.30.000.830.161.00
AATTI7.57.46.56.01.000.930.320.00
Queue on Forbes (m)544.8533.9374.1367.21.000.940.040.00
Avg Delay (s)69.269.866.067.50.861.000.000.39
Avg No. of Stops2.72.62.32.41.000.920.000.13
LDVs FC (g/km)123.5122.5117.9117.81.000.820.010.00
HDDVs FC (g/km)790.5767.3741.2752.351.000.530.000.23
LDVs CO2 (g/km)382.7379.7365.4365.191.000.820.010.00
HDDVs CO2 (g/km)2550.22475.72388.42424.371.000.540.000.22
BCLagPedLTPLagPed +LTP
Sum of Normalized Values:7.867.330.551.97
Disclaimer/Publisher’s Note: The statements, opinions and data contained in all publications are solely those of the individual author(s) and contributor(s) and not of MDPI and/or the editor(s). MDPI and/or the editor(s) disclaim responsibility for any injury to people or property resulting from any ideas, methods, instructions or products referred to in the content.

Share and Cite

MDPI and ACS Style

Ardalan, T.; Sarazhinsky, D.; Dobrota, N.; Stevanovic, A. Investigation of Analyzable Solutions for Left-Turn-Centered Congestion Problems in Urban Grid Networks. Sustainability 2024, 16, 4777. https://doi.org/10.3390/su16114777

AMA Style

Ardalan T, Sarazhinsky D, Dobrota N, Stevanovic A. Investigation of Analyzable Solutions for Left-Turn-Centered Congestion Problems in Urban Grid Networks. Sustainability. 2024; 16(11):4777. https://doi.org/10.3390/su16114777

Chicago/Turabian Style

Ardalan, Taraneh, Denis Sarazhinsky, Nemanja Dobrota, and Aleksandar Stevanovic. 2024. "Investigation of Analyzable Solutions for Left-Turn-Centered Congestion Problems in Urban Grid Networks" Sustainability 16, no. 11: 4777. https://doi.org/10.3390/su16114777

APA Style

Ardalan, T., Sarazhinsky, D., Dobrota, N., & Stevanovic, A. (2024). Investigation of Analyzable Solutions for Left-Turn-Centered Congestion Problems in Urban Grid Networks. Sustainability, 16(11), 4777. https://doi.org/10.3390/su16114777

Note that from the first issue of 2016, this journal uses article numbers instead of page numbers. See further details here.

Article Metrics

Back to TopTop