Remotely Sensed Changes in Qinghai–Tibet Plateau Wetland Ecosystems and Their Response to Drought
Abstract
1. Introduction
2. Materials and Methods
2.1. Study Area Overview
2.2. Data Sources
2.2.1. Landsat Surface Reflectance Data
2.2.2. Soil Data
2.2.3. DEM (Digital Elevation Model) Data
2.2.4. Existing Land Cover Products
2.2.5. Meteorological Data
2.2.6. Data on Atmospheric and Ocean Circulation Indices
2.3. Data Analysis
2.3.1. Construction of Annual Long-Term Wetland Ecosystem Dataset
2.3.2. Subdivisions of Land Cover Remote Sensing Classification System
2.3.3. Preprocessing of Landsat Satellite Images
2.3.4. Generation of Training and Validation Sample Sets
2.3.5. Classification and Image Post-Processing
2.3.6. Land Cover Mapping Accuracy Assessment
2.3.7. The Standardized Precipitation Evapotranspiration Index (SPEI)
2.3.8. Breakpoint Detection for Separating Trend and Seasonal Components (BFAST)
2.3.9. Cross-Wavelet Transform (CWT)
3. Results
3.1. Accuracy of Wetland Extraction and Classification
3.2. Spatial and Temporal Analysis of Wetland Changes in Chaidamu Basin
3.2.1. Analysis of Wetland Area Changes
3.2.2. Analysis of Spatial Changes in Wetland Area
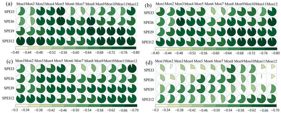
3.2.3. Analysis of SPEI Changes and Trends
3.2.4. Effects of SPEI on Wetland Dynamics
3.2.5. Response of SPEI12 to Atmospheric Circulation
4. Discussion
4.1. Land Cover Classification Results
4.2. SPEI Trend and Its Impact on Wetland Ecosystems
4.3. Atmospheric Circulation Mode’s Effects on the SPEI
5. Conclusions
Author Contributions
Funding
Institutional Review Board Statement
Informed Consent Statement
Data Availability Statement
Conflicts of Interest
References
- Alsafadi, K.; Bi, S.; Bashir, B.; Mohammed, S.; Sammen, S.S.; Alsalman, A.; Kenawy, A. Assessment of carbon productivity trends and their resilience to drought disturbances in the middle east based on multi-decadal space-based datasets. Remote Sens. 2022, 14, 6237. [Google Scholar] [CrossRef]
- Masson-Delmotte, V.; Zhai, P.; Pirani, A.; Connors, S.L.; Péan, C.; Berger, S.; Caud, N.; Chen, Y.; Goldfarb, L.; Gomis, M.I.; et al. Climate Change 2021: The Physical Science Basis. Contribution of Working Group I to the Sixth Assessment Report of the Intergovernmental Panel on Climate Change; Cambridge University Press: Cambridge, UK; New York, NY, USA, 2021; p. 2391. [Google Scholar]
- Quan, Q.; Tian, D.S.; Luo, Y.Q.; Zhang, F.Y.; Tom, W.C.; Zhu, K.; Chen, Y.H.; Zhou, Q.P.; Niu, S.L. Water scaling of ecosystem carbon cycle feedback to climate warming. Sci. Adv. 2019, 5, eaav1131. [Google Scholar] [CrossRef] [PubMed]
- Nielsen, D.L.; Kiya, P.; Watts, R.J.; Wilson, A.L. Empirical evidence linking increased hydrologic stability with decreased biotic diversity within wetlands. Hydrobiologia 2013, 708, 81–96. [Google Scholar] [CrossRef]
- Kumari, R.; Shukla, S.K.; Parmar, K. Wetlands Conservation and Restoration for Ecosystem Services and Halt Biodiversity Loss: An Indian Perspective. In Restoration of Wetland Ecosystem: A Trajectory towards a Sustainable Environment; Springer: Singapore, 2020; pp. 75–85. [Google Scholar]
- Zhang, Y.H.; Yan, J.Z.; Cheng, X. Research progress on impacts of climate change and human activities on wetlands on the Qinghai-Tibet Plateau. Acta Ecol. Sin. 2023, 43, 2180–2193. [Google Scholar]
- Nicholls, R.J. Coastal flooding and wetland loss in the 21st century: Changes under the SRES climate and socio-economic scenarios. Glob. Environ. Chang. 2004, 14, 69–86. [Google Scholar] [CrossRef]
- Davidson, N.C. How much wetland has the world lost? Long-term and recent trends in global wetland area. Mar. Freshw. Res. 2014, 65, 936–941. [Google Scholar] [CrossRef]
- Zhong, Y.F.; Wu, H.; Liu, Y.H. Research status and prospect of wetland remote sensing mapping. Bull. Natl. Nat. Sci. Found. China 2022, 36, 420–431. [Google Scholar]
- Mao, D.; Wang, Z.; Du, B.; Li, L.; Tian, Y.; Jia, M.; Zeng, Y.; Song, K.; Jiang, M.; Wang, Y. National wetland mapping in China: A new product resulting from object-based and hierarchical classification of Landsat 8 OLI images. ISPRS J. Photogramm. Remote Sens. 2020, 164, 11–25. [Google Scholar] [CrossRef]
- Gong, P.; Niu, Z.G.; Cheng, X. China’s wetland change (1990–2000) determined by remote sensing. Sci. Sin. 2010, 40, 768–775. [Google Scholar] [CrossRef]
- Xu, X.C.; Li, B.J.; Liu, X.P. Global annual land cover map at 30 m resolution from 2000 to 2015. Natl. Remote Sens. Bull. 2021, 25, 1896–1916. [Google Scholar]
- Chen, J.; Chen, J.; Liao, A. Global land cover mapping at 30m resolution: A POK-based operational approach. ISPRS J. Photogramm. Remote Sens. 2015, 103, 7–27. [Google Scholar] [CrossRef]
- Zhang, S.Y.; Hu, F. GlobeLand30 land cover products are used for refined wind energy resource assessment. Resour. Sci. 2017, 39, 125–135. [Google Scholar]
- Zhang, X.; Liu, L.; Chen, X.; Gao, Y.; Xie, S.; Mi, J. GLC_FCS30: Global land-cover product with fine classification system at 30 m using time-series Landsat imagery. Earth Syst. Sci. Data 2021, 13, 2753–2776. [Google Scholar] [CrossRef]
- Wang, Y.; Hu, Y.; Niu, X. Myanmar’s Land Cover Change and Its Driving Factors during 2000–2020. Int. J. Environ. Res. Public Health 2023, 20, 2409. [Google Scholar] [CrossRef] [PubMed]
- Mousivand, A.; Arsanjani, J.J. Insights on the historical and emerging global land cover changes: The case of ESA-CCI-LC datasets. Appl. Geogr. 2019, 106, 82–92. [Google Scholar] [CrossRef]
- Reinhart, V.; Hoffmann, P.; Rechid, D.; Böhner, J.; Bechtel, B. High-resolution land use and land cover dataset for regional climate modelling: A plant functional type map for Europe 2015. Earth Syst. Sci. Data 2022, 4, 1735–1794. [Google Scholar] [CrossRef]
- Yang, J.; Huang, X. The 30 m annual land cover dataset and its dynamics in China from 1990 to 2019. Earth Syst. Sci. Data 2021, 13, 3907–3925. [Google Scholar] [CrossRef]
- Sun, W.; Ding, X.; Su, J.; Mu, X.; Zhang, Y.; Gao, P.; Zhao, G. Land use and cover changes on the Loess Plateau: A comparison of six global or national land use and cover datasets. Land Use Policy 2022, 119, 106165. [Google Scholar] [CrossRef]
- Zhang, W.J.; Shang, Z.Y.; Zhang, J.; Yan, S.; Deng, A.; Zhang, X.; Zheng, C.; Song, Z. Standardized Establishment and Improvement of Accounting System of Agriculture Greenhouse Gas Emission. Sci. Agric. Sin. 2023, 56, 4467–4477. [Google Scholar]
- Van Lanen, H.A.; Wanders, N.; Tallaksen, L.M.; Van Loon, A.F. Hydrological drought across the world: Impact of climate and physical catchment structure. Hydrol. Earth Syst. Sci. 2013, 17, 1715–1732. [Google Scholar] [CrossRef]
- Li, Y.J.; Ren, F.M.; Li, Y.P. Characteristics of regional meteorological drought events in Southwest China from 1960 to 2010. Acta Meteorol. Sin. 2014, 72, 266–276. [Google Scholar]
- Zhang, J.F.; Tang, W.J.; Li, S.L. Discussion on identification of drought-prone areas in southwest China. China Water Resour. 2012, 5, 18–21+39. [Google Scholar]
- Wang, D.; Zhang, B.; An, M.L. Spatiotemporal characteristics of drought in Southwest China during the last 53 years based on SPEI. J. Nat. Resour. 2014, 29, 1003–1016. [Google Scholar]
- Li, Y.J.; Ding, J.L.; Zhang, Y.Y. Response of vegetation cover to drought on the north slope of Tianshan Mountains from 2001 to 2015: Based on land use/land cover analysis. Acta Ecol. Sin. 2019, 39, 6206–6217. [Google Scholar]
- Mokhtar, A.; He, H.; Alsafadi, K. Evapotranspiration as a response to climate variability and ecosystem changes in southwest, China. Environ. Earth Sci. 2020, 79, 312. [Google Scholar] [CrossRef]
- Chen, J.I.; Sun, H.W.; Wang, J.P. Improvement of comprehensive meteorological drought index and its applicability analysis. Trans. Chin. Soc. Agric. Eng. 2020, 36, 71–77. [Google Scholar]
- Sobral, B.S.; De, O.J.F.; De, G.G. Drought characterization for the state of Rio de Janeiro based on the annual SPI index: Trends, statistical tests and its relation with ENSO. Atmos. Res. 2019, 220, 141–154. [Google Scholar] [CrossRef]
- Byun, H.R.; Wilhite, D.A. Objective Quantification of Drought Severity and Duration. J. Clim. 1999, 12, 2747–2756. [Google Scholar] [CrossRef]
- Liu, Y.; Yang, X.; Ren, L. A New Physically Based Self-Calibrating Palmer Drought Severity Index and its Performance Evaluation. Water Resour. Manag. 2015, 29, 4833–4847. [Google Scholar] [CrossRef]
- Yang, Q.; Li, M.X.; Zheng, Y.Z. Regional adaptability of 7 meteorological drought indices in China. Sci. Sin. (Terrae) 2017, 47, 337–353. [Google Scholar]
- Feng, D.L.; Cheng, Z.G.; Zhao, L. Applicability analysis of four drought discrimination indexes in Northeast China. Arid. Land Geogr. 2020, 43, 371–379. [Google Scholar]
- Li, L.; She, D.; Zheng, H. Elucidating Diverse Drought Characteristics from Two Meteorological Drought Indices (SPI and SPEI) in China. J. Hydrometeorol. 2020, 21, 1513–1530. [Google Scholar] [CrossRef]
- Xiong, G.J.; Wang, S.G.; Li, C.Y. Applicability analysis of three drought indices in southwest China. Plateau Meteorol. 2014, 33, 686–697. [Google Scholar]
- Chen, H.; Sun, J. Changes in Drought Characteristics over China Using the Standardized Precipitation Evapotranspiration Index. J. Clim. 2015, 28, 5430–5447. [Google Scholar] [CrossRef]
- Wang, W.; Guo, B.; Zhang, Y. The sensitivity of the SPEI to potential evapotranspiration and precipitation at multiple timescales on the Huang-Huai-Hai Plain, China. Theor. Appl. Climatol. 2020, 143, 87–99. [Google Scholar] [CrossRef]
- Zhao, Z.; Zhang, Y.; Liu, L. Recent changes in wetlands on the Tibetan Plateau: A review. J. Geogr. Sci. 2015, 25, 879–896. [Google Scholar] [CrossRef]
- Li, H.; Mao, D.; Li, X.; Wang, Z.; Wang, C. Monitoring 40-Year Lake Area Changes of the Qaidam Basin, Tibetan Plateau, Using Landsat Time Series. Remote Sens. 2019, 11, 343. [Google Scholar] [CrossRef]
- Shen, X.; Liu, B.; Jiang, M.; Wang, Y.; Wang, L.; Zhang, J.; Lu, X. Spatiotemporal change of marsh vegetation and its response to climate change in China from 2000 to 2019. J. Geophys. Res. Biogeosciences 2021, 126, e2020JG006154. [Google Scholar] [CrossRef]
- Cao, S.; Zhang, L.; He, Y. Effects and contributions of meteorological drought on agricultural drought under different climatic zones and vegetation types in Northwest China. Sci. Total Environ. 2022, 821, 153270. [Google Scholar] [CrossRef] [PubMed]
- Bai, M.; Mo, X.; Liu, S.; Hu, S. Detection and attribution of lake water loss in the semi-arid Mongolian Plateau—A case study in the Lake Dalinor. Ecohydrology 2021, 14, e2251. [Google Scholar] [CrossRef]
- Zhang, M.; Liu, X. Climate changes in the Qaidam Basin in NW China over the past 40 kyr. Palaeogeogr. Palaeoclimatol. Palaeoecol. 2020, 551, 109679. [Google Scholar] [CrossRef]
- Bao, J.; Wang, Y.; Song, C.; Feng, Y.; Hu, C.; Zhong, S.; Yang, J. Cenozoic sediment flux in the Qaidam Basin, northern Tibetan Plateau, and implications with regional tectonics and climate. Glob. Planet. Chang. 2017, 155, 56–69. [Google Scholar] [CrossRef]
- Qi, D.M.; Li, Y.Q.; Zhou, C.Y. Climate change characteristics and causes of water vapor budget over the Tibetan Plateau during 1979–2016. J. Glaciol. Geocryol. 2023, 45, 846–864. [Google Scholar]
- Rohrmann, A.; Heermance, R.; Kapp, P.; Cai, F. Wind as the primary driver of erosion in the Qaidam Basin, China. Earth Planet. Sci. Lett. 2013, 374, 1–10. [Google Scholar] [CrossRef]
- Hurskainen, P.; Adhikari, H.; Siljander, M.; Pellikka, P.K.E.; Hemp, A. Auxiliary datasets improve accuracy of object-based land use/land cover classification in heterogeneous savanna landscapes. Remote Sens. Environ. 2019, 233, 111354. [Google Scholar] [CrossRef]
- Liu, J.; Ren, Y.; Chen, X. Regional Accuracy Assessment of 30-Meter GLC_FCS30, GlobeLand30, and CLCD Products: A Case Study in Xinjiang Area. Remote Sens. 2024, 16, 82. [Google Scholar] [CrossRef]
- Gong, P.; Liu, H.; Zhang, M.; Li, C.; Wang, J.; Huang, H.; Clinton, N. Stable Classification with Limited Sample: Transferring a 30-m Resolution Sample Set Collected in 2015 to Mapping 10-m Resolution Global Land Cover in 2017. Sci. Bull. 2019, 64, 370–373. [Google Scholar] [CrossRef]
- Wang, J.Y.; Xin, L.J. Temporal and spatial changes of cultivated land and grain production in China based on GlobeLand30 data. Trans. Chin. Soc. Agric. Eng. 2017, 33, 8. [Google Scholar]
- Sun, J.; Bi, S.; Bashir, B.; Ge, Z.; Wu, K.; Alsalman, A.; Ayugi, B.O.; Alsafadi, K. Historical Trends and Characteristics of Meteorological Drought Based on Standardized Precipitation Index and Standardized Precipitation Evapotranspiration Index over the Past 70 Years in China (1951–2020). Sustainability 2023, 15, 10875. [Google Scholar] [CrossRef]
- Harris, I.; Osborn, T.J.; Jones, P.; Lister, D. Version 4 of the CRU TS Monthly High-Resolution Gridded Multivariate Climate Dataset. Sci. Data 2020, 7, 109. [Google Scholar] [CrossRef]
- Barnston, A.G.; Chelliah, M.; Goldenberg, S.B. Documentation of highly ENSO-related SST region in the equatorial Pacific. Atmosphere-Ocean 1997, 35, 367–383. [Google Scholar]
- Hurrell, J.W. Decadal trends in the North Atlantic Oscillation: Regional temperatures and precipitation. Science 1995, 269, 676–679. [Google Scholar] [CrossRef] [PubMed]
- Mantua, N.J.; Hare, S.R.; Zhang, Y.; Wallace, J.M.; Francis, R.C. A Pacific interdecadal climate oscillation with impacts on salmon production. Bull. Am. Meteorol. Soc. 1997, 78, 1069–1080. [Google Scholar] [CrossRef]
- Thompson, D.W.; Wallace, J.M.; Hegerl, G.C. Annular modes in the extratropical circulation. Part II: Trends. J. Clim. 2000, 13, 1018–1036. [Google Scholar] [CrossRef]
- Barnston, A.G.; Livezey, R.E. Classification, seasonality and persistence of low-frequency atmospheric circulation patterns. Mon. Weather. Rev. 1987, 115, 1083–1126. [Google Scholar] [CrossRef]
- Feizizadeh, B.; Omarzadeh, D.; Kazemi Garajeh, M.; Lakes, T.; Blaschke, T. Machine learning data-driven approaches for land use/cover mapping and trend analysis using Google Earth Engine. J. Environ. Plan. Manag. 2023, 66, 665–697. [Google Scholar] [CrossRef]
- Nasiri, V.; Deljouei, A.; Moradi, F.; Sadeghi, S.M.M.; Borz, S.A. Land Use and Land Cover Mapping Using Sentinel-2, Landsat-8 Satellite Images, and Google Earth Engine: A Comparison of Two Composition Methods. Remote Sens. 2022, 14, 1977. [Google Scholar] [CrossRef]
- Ning, J.; Liu, J.; Kuang, W. Spatiotemporal patterns and characteristics of land-use change in China during 2010–2015. J. Geogr. Sci. 2018, 28, 547–562. [Google Scholar] [CrossRef]
- Ding, J.L.; Ge, X.Y.; Wang, J.Z. Ebinur Lake wetland identification and its spatio-temporal dynamic changes. J. Nat. Resour. 2021, 36, 1949–1963. [Google Scholar] [CrossRef]
- Joshi, P.P.; Wynne, R.H.; Thomas, V.A. Cloud detection algorithm using SVM with SWIR2 and tasseled cap applied to Landsat 8. Int. J. Appl. Earth Obs. Geoinf. 2019, 82, 101898. [Google Scholar] [CrossRef]
- Brooks, E.B.; Thomas, V.A.; Wynne, R.H. Fitting the Multitemporal Curve: A Fourier Series Approach to the Missing Data Problem in Remote Sensing Analysis. IEEE Trans. Geosci. Remote Sens. 2012, 50, 3340–3353. [Google Scholar] [CrossRef]
- Irish, R.R.; Barker, J.L.; Goward, S.N. Characterization of the Landsat-7 ETM+ Automated Cloud-Cover Assessment (ACCA) Algorithm. Photogramm. Eng. Remote Sens. 2006, 72, 1179–1188. [Google Scholar] [CrossRef]
- Zhu, Z.; Woodcock, C.E. Object-based cloud and cloud shadow detection in Landsat imagery. Remote Sens. Environ. 2012, 118, 83–94. [Google Scholar] [CrossRef]
- Qiu, S.; He, B.; Zhu, Z. Improving Fmask cloud and cloud shadow detection in mountainous area for Landsats 4–8 images. Remote Sens. Environ. 2017, 199, 107–119. [Google Scholar] [CrossRef]
- Foody, G.M.; Mathur, A. Toward intelligent training of supervised image classifications: Directing training data acquisition for SVM classification. Remote Sens. Environ. 2004, 93, 107–117. [Google Scholar] [CrossRef]
- Li, W.; Dong, R.; Fu, H.; Wang, J.; Yu, L.; Gong, P. Integrating Google Earth imagery with Landsat data to improve 30-m resolution land cover mapping. Remote Sens. Environ. 2020, 237, 111563. [Google Scholar] [CrossRef]
- Huang, Y.B.; Liao, S.B. Automatic extraction of land cover samples from multi-source data. Natl. Remote Sens. Bull. 2017, 21, 757–766. [Google Scholar] [CrossRef]
- Verbesselt, J.; Zeileis, A.; Herold, M. Near real-time disturbance detection using satellite image time series. Remote Sens. Environ. 2012, 123, 98–108. [Google Scholar] [CrossRef]
- Zhu, Z.; Woodcock, C.E. Continuous Change Detection and Classification of Land Cover Using All Available Landsat Data. Remote Sens. Environ. 2013, 144, 152–171. [Google Scholar] [CrossRef]
- Kennedy, R.E.; Yang, Z.; Cohen, W.B. Detecting trends in forest disturbance and recovery using yearly Landsat time series: 1. LandTrendr—Temporal segmentation algorithms. Remote Sens. Environ. 2010, 114, 2897–2910. [Google Scholar] [CrossRef]
- Schneibel, A.; Stellmes, M.; Röder, A.; Frantz, D.; Kowalski, B.; Haß, E.; Hill, J. Assessment of spatio-temporal changes of smallholder cultivation patterns in the Angolan Miombo belt using segmentation of Landsat time series. Remote Sens. Environ. 2017, 195, 118–129. [Google Scholar] [CrossRef]
- Rodriguez-Galiano, V.F.; Ghimire, B.; Rogan, J.; Chica-Olmo, M.; Rigol-Sanchez, J.P. An assessment of the effectiveness of a random forest classifier for land-cover classification. ISPRS J. Photogramm. Remote Sens. 2012, 67, 93–104. [Google Scholar] [CrossRef]
- Dai, X.Q.; Shen, R.Q.; Wang, J. Land use change detection in Henan Province supported by GEE remote sensing cloud platform. J. Geomat. Sci. Technol. 2021, 38, 287–294. [Google Scholar]
- Zhang, M.; Li, G.; He, T. Reveal the severe spatial and temporal patterns of abandoned cropland in China over the past 30 years. Sci. Total Environ. 2023, 857, 159591. [Google Scholar] [CrossRef]
- Vicente-Serrano, S.M.; Beguería, S.; López-Moreno, J.I. A Multiscalar Drought Index Sensitive to Global Warming: The Standardized Precipitation Evapotranspiration Index. J. Clim. 2010, 23, 1696–1718. [Google Scholar] [CrossRef]
- Alsafadi, K.; Bashir, B.; Mohammed, S.; Abdo, H.G.; Mokhtar, A.; Alsalman, A.; Cao, W. Response of Ecosystem Carbon–Water Fluxes to Extreme Drought in West Asia. Remote Sens. 2024, 16, 1179. [Google Scholar] [CrossRef]
- Alsafadi, K.; Al-Ansari, N.; Mokhtar, A.; Mohammed, S.; Elbeltagi, A.; Sammen, S.S.; Bi, S. An evapotranspiration deficit-based drought index to detect variability of terrestrial carbon productivity in the Middle East. Environ. Res. Lett. 2022, 17, 014051. [Google Scholar] [CrossRef]
- Alsafadi, K.; Mohammed, S.A.; Ayugi, B.; Sharaf, M.; Harsányi, E. Spatial–temporal evolution of drought characteristics over Hungary between 1961 and 2010. Pure Appl. Geophys. 2020, 177, 3961–3978. [Google Scholar] [CrossRef]
- Mokhtar, A.; Jalali, M.; He, H.; Al-Ansari, N.; Elbeltagi, A.; Alsafadi, K.; Abdo, H.G.; Sammen, S.S.; Gyasi-Agyei, Y.; Rodri-go-Comino, J. Estimation of SPEI Meteorological Drought Using Machine Learning Algorithms. IEEE Access 2021, 9, 65503–65523. [Google Scholar] [CrossRef]
- Ahmad, M.I.; Sinclair, C.D.; Werritty, A. Log-logistic flood frequency analysis. J. Hydrol. 1988, 98, 205–224. [Google Scholar] [CrossRef]
- Verbesselt, J.; Hyndman, R.; Zeileis, A.; Culvenor, D. Phenological change detection while accounting for abrupt and gradual trends in satellite image time series. Remote Sens. Environ. 2010, 114, 2970–2980. [Google Scholar] [CrossRef]
- Verbesselt, J.; Hyndman, R.; Newnham, G.; Culvenor, D. Detecting trend and seasonal changes in satellite image time series. Remote Sens. Environ. 2010, 114, 106–115. [Google Scholar] [CrossRef]
- Mendes, M.P.; Rodriguez-Galiano, V.; Aragones, D. Evaluating the BFAST method to detect and characterise changing trends in water time series: A case study on the impact of droughts on the Mediterranean climate. Sci. Total Environ. 2022, 846, 157428. [Google Scholar] [CrossRef] [PubMed]
- Cazelles, B.; Chavez, M.; Berteaux, D.; Ménard, F.; Vik, J.O.; Jenouvrier, S.; Stenseth, N.C. Wavelet analysis of ecological time series. Oecologia 2008, 156, 287–304. [Google Scholar] [CrossRef]
- Wang, Z.; Li, X.Q.; Liu, L.X. Evolution analysis of ice and snow lakes in Qaidam Basin based on remote sensing and GIS. Yangtze River 2015, 46, 64–66+91. [Google Scholar]
- Zhang, C.; Yao, X.J.; Xiao, J.S. Evolution of glaciers and lakes in Qinghai Province from 2000 to 2020. J. Nat. Resour. 2023, 38, 822–838. [Google Scholar]
- Fan, Q.S.; Shao, Z.J.; Cao, G.C. Impact assessment of climate change on glacier resources in Qinghai Plateau. J. Arid. Land Resour. Environ. 2005, 5, 56–60. [Google Scholar]
- Zhang, X.S. Recent glacier retreat, climate change and sea level rise. Adv. Earth Sci. 1989, 3, 61–66. [Google Scholar]
- Qin, D.H. Glaciers and Ecological Environment on the Qinghai-Tibet Plateau; China Tibetology Publishing House: Beijing, China, 1999. [Google Scholar]
- Su, Z.; Liu, Z.X.; Wang, W. Response and trend prediction of glaciers on the Qinghai-Tibet Plateau to climate change. Adv. Earth Sci. 1999, 6, 607–612. [Google Scholar]
- Du, Y.; Liu, B.K.; He, W.G. Changes of lake area and its causes in Qaidam Basin from 1976 to 2017. J. Glaciol. Geocryol. 2018, 40, 1275–1284. [Google Scholar]
- Zhang, L.; Gao, L.; Coscarelli, R. Drought and Wetness Variability and the Respective Contribution of Temperature and Precipitation in the Qinghai-Tibetan Plateau. Adv. Meteorol. 2021, 2021, 7378196. [Google Scholar] [CrossRef]
- Wang, X.J.; Yang, M.X.; Liang, X.W. The dramatic climate warming in the Qaidam Basin, northeastern Tibetan Plateau, during 1961–2010. Int. J. Climatol. 2014, 34, 1524–1537. [Google Scholar] [CrossRef]
- Yang, X.W.; Wang, N.L.; Chen, A.A. Impacts of Climate Change, Glacier Mass Loss and Human Activities on Spatiotemporal Variations in Terrestrial Water Storage of the Qaidam Basin, China. Remote Sens. 2022, 14, 2186. [Google Scholar] [CrossRef]
- Wang, H.J.; Chen, Y.N.; Pan, Y.P. Assessment of candidate distributions for SPI/SPEI and sensitivity of drought to climatic variables in China. Int. J. Climatol. 2019, 39, 4392–4412. [Google Scholar] [CrossRef]
- Zhang, H.; Ding, M.; Li, L. Continuous Wetting on the Tibetan Plateau during 1970–2017. Water 2019, 11, 2605. [Google Scholar] [CrossRef]
- Fan, L.; Lv, A.H.; Zhang, W.X. Temporal and spatial characteristics of drought in Qinghai Province and its response to atmospheric circulation. J. Arid. Land Resour. Environ. 2021, 35, 60–65. [Google Scholar]
- Lin, Z.Y.; Xiao, Y.; Ou-yang, Z.Y. Assessment of ecological importance of the Qinghai-Tibet Plateau based on ecosystem service flows. J. Mt. Sci. 2021, 18, 1725–1736. [Google Scholar] [CrossRef]
- Qian, D.L.; Guan, Z.Y.; Xu, J.Y. Prediction models for summertime Western Pacific Subtropical High based on the leading SSTA modes in the tropical Indo-Pacific sector. Trans. Atmos. Sci. 2021, 44, 405–417. [Google Scholar]
- Li, Y.; Hou, Z.; Zhang, L.; Song, C.; Piao, S.; Lin, J.; Peng, S.; Fang, K.; Yang, J.; Qu, Y.; et al. Rapid expansion of wetlands on the Central Tibetan Plateau by global warming and El Niño. Sci. Bull. 2023, 68, 485–488. [Google Scholar] [CrossRef] [PubMed]
- Lv, C.Y.; Liu, M.X.; Li, Y. Characteristics of summer extreme heavy precipitation in the Qaidam Basin and causes of atmospheric circulation. J. Lanzhou Univ. (Nat. Sci.) 2021, 57, 252–262. [Google Scholar]
- Liu, S.S.; Zhou, S.W.; Wu, P. Response of winter precipitation in eastern Tibetan Plateau to Arctic Oscillation. Acta Meteorol. Sin. 2021, 79, 558–569. [Google Scholar]
- Xie, C.X. Effect of North Atlantic Oscillation on water vapor transport over the Tibetan Plateau in winter. J. Meteorol. Res. Appl. 2023, 44, 78–84. [Google Scholar]
- Zhang, L.; Wang, B.F.; Xin, M.Y. Atmospheric Circulation Analysis of Persistent Drought in Eastern Part of Northwest China. J. Anhui Agric. Sci. 2017, 45, 196–198. [Google Scholar]










| SPEI | Drought Type |
|---|---|
| >0 | No obvious drought |
| 0 to −0.5 | Mild drought |
| −0.5 to −1 | Moderate drought |
| −1 to −1.5 | Severe drought |
| −1.5 to −2 | Extreme drought |
| <−2 | Exceptional drought |
Disclaimer/Publisher’s Note: The statements, opinions and data contained in all publications are solely those of the individual author(s) and contributor(s) and not of MDPI and/or the editor(s). MDPI and/or the editor(s) disclaim responsibility for any injury to people or property resulting from any ideas, methods, instructions or products referred to in the content. |
© 2024 by the authors. Licensee MDPI, Basel, Switzerland. This article is an open access article distributed under the terms and conditions of the Creative Commons Attribution (CC BY) license (https://creativecommons.org/licenses/by/4.0/).
Share and Cite
Fu, A.; Yu, W.; Bashir, B.; Yao, X.; Zhou, Y.; Sun, J.; Alsalman, A.; Alsafadi, K. Remotely Sensed Changes in Qinghai–Tibet Plateau Wetland Ecosystems and Their Response to Drought. Sustainability 2024, 16, 4738. https://doi.org/10.3390/su16114738
Fu A, Yu W, Bashir B, Yao X, Zhou Y, Sun J, Alsalman A, Alsafadi K. Remotely Sensed Changes in Qinghai–Tibet Plateau Wetland Ecosystems and Their Response to Drought. Sustainability. 2024; 16(11):4738. https://doi.org/10.3390/su16114738
Chicago/Turabian StyleFu, Aodi, Wenzheng Yu, Bashar Bashir, Xin Yao, Yawen Zhou, Jiwei Sun, Abdullah Alsalman, and Karam Alsafadi. 2024. "Remotely Sensed Changes in Qinghai–Tibet Plateau Wetland Ecosystems and Their Response to Drought" Sustainability 16, no. 11: 4738. https://doi.org/10.3390/su16114738
APA StyleFu, A., Yu, W., Bashir, B., Yao, X., Zhou, Y., Sun, J., Alsalman, A., & Alsafadi, K. (2024). Remotely Sensed Changes in Qinghai–Tibet Plateau Wetland Ecosystems and Their Response to Drought. Sustainability, 16(11), 4738. https://doi.org/10.3390/su16114738

