Abstract
The use of express packaging and its recycling produces large amounts of carbon dioxide. In order to achieve China’s “dual carbon” goal, this study adopted a literature research method to explore the idea of intelligent express packaging recycling cabinets. Based on the current design and use of intelligent express packaging recycling cabinets, new ideas for their improvement are proposed. This study also explored methods for improving people’s willingness to use intelligent express packaging recycling cabinets through experimental research and quantitative analysis. The results show that a reward mechanism has a significant effect on people’s willingness to use intelligent express packaging recycling cabinets. Of the two types of rewards, immediate rewards, compared to delayed rewards, can further increase people’s use of intelligent express packaging recycling cabinets. Gain and loss trade-offs play a mediating role between a reward mechanism and people’s willingness to use it, and consumers make that choice after weighing up the advantages and disadvantages. If consumers feel that it is worthwhile to protect the environment, in terms of the rewards they obtain compared to the time and effort they have to spend using intelligent express packaging recycling cabinets, and that the gain outweighs the loss, they will be inclined to use this system. Environmental responsibility plays a moderating role in mediating the trade-off between gains and losses. In the context of low environmental responsibility, cash rewards lead to greater gain and loss trade-offs compared to point rewards, while in the context of high environmental responsibility, there is no difference between cash rewards and point rewards. This study provides ideas for the design and promotion of the use of intelligent express packaging recycling cabinets, with the goal of effectively improving the recycling rate of express packaging waste.
1. Introduction
In recent years, China’s logistics industry has maintained its rapid growth and momentum, but the development of specific areas of the logistics industry, such as transportation, warehousing, packaging, and circulation processing, has led to serious environmental problems [,,]. In 2020, China announced that it is “striving to achieve a carbon peak by 2030 and carbon neutrality by 2060”. Questions of how to achieve a balance between economic development and the protection of the ecological environment fall under the “dual carbon” goal, and how to apply the concept of sustainable development to the field of logistics has become a matter of great importance. The “2021–2030 China Express Industry Green Packaging Carbon Emission Reduction Potential Research Report”, released by Sinopec, shows that, if no recycling or substitution is implemented for the packaging generated by China’s express industry, the cumulative carbon emissions from its disposable packaging will reach 59.61 million tons in 2021–2030, and this will need to be offset by planting trees across a land area equivalent to two Beijing municipalities. Carbon emissions are an important indicator of environmental sustainability. To promote the sustainable development of the e-commerce and logistics industry, it is necessary to identify methods that will improve the recovery rate of express packaging, promote the recycling of express packaging, and reduce the carbon emissions generated by express packaging. Despite the current national efforts to accomplish China’s “dual carbon” goal, the recycling rate of express packaging is not satisfactory; in fact, the increasing volume of express business hinders the realization of this goal, thus making it necessary to study and explore this issue.
As the service object of the logistics industry, consumers play an important role in express packaging recycling. Thus, if consumers’ participation in express packaging recycling is improved, the recovery rate of express packaging waste will be greatly improved. It has been shown that effort expectancy and performance expectancy can significantly positively affect the willingness of consumers to participate in the recovery of express packaging waste []. In other words, the simpler and more convenient the process of recycling express packaging, and the more benefits it brings, the more consumers are willing to participate in it. An intelligent express packaging recycling cabinet is easy to use, and recycling can be carried out directly when collecting the item. This study describes three experiments seeking to explore whether a reward mechanism can promote consumers’ use of intelligent express packaging recycling cabinets, and which reward mechanism is more effective, in order to provide a theoretical basis for the green and sustainable development of the express industry.
2. Literature Review
2.1. Research Related to Express Packaging Recycling
In recent years, most of the research on express packaging recycling has been based on specific subjects, including the government, consumers, express companies, packaging manufacturers, etc., to propose a variety of recycling strategies and explore how to better promote the recycling of express packaging.
2.1.1. Research Related to Recycling Strategies
In order to promote the recovery of express packaging, scholars have proposed different recycling methods, strategies, and models, using quantitative and qualitative analysis methods to conduct empirical studies to verify their applicability and effectiveness. There are three main aspects to the research. The first concerns reverse logistics; this type of research seeks mainly to solve the problem of route and site planning. Chu et al. [] took Beijing express packaging as their research object and constructed a new model of “Internet + TPR” recycling, which had the largest profit and the largest rate of recycling, solving problems related to large input costs, uneven distribution of profits, and the slow circulation of information in small- and medium-sized enterprises. Li et al. [] established a reverse logistics network containing residential points, recycling centers, processing centers, remanufacturing centers, and incineration centers to address the express packaging recycling problem. Shi et al. [] considered the joint optimization problem of express deliveries and packaging recycling and developed a dual-objective mixed-integer linear programming model which was able to create an interface between the industrial chain and the supply chain. Mao et al. [] described the design process of a reverse logistics network for express packaging recycling, taking region M as an example and establishing a four-level network containing primary recycling nodes, recycling centers, processing centers, and terminals.
The second area of research comprises reward strategies. Many scholars use game theory to explore the best reward strategies to encourage consumers or enterprises to participate in recycling. For example, Zheng et al. [] used game theory to construct a closed-loop supply chain model to identify the optimal recycling decisions for express enterprises and the optimal reward strategy for the government. Cheng et al. [] constructed a game model of government regulations and user recycling based on evolutionary game theory. They aimed to study the strategic interaction mechanism between the two sides under the government’s static subsidy–penalty and dynamic subsidy–penalty regulations, respectively, and conducted a simulation analysis. You et al. [] used a three-party evolutionary game model to study the strategy evolution of consumers, e-commerce enterprises, and e-commerce platforms. Meanwhile, Guo et al. [] introduced the green awareness level variable in their work and investigated the optimal recycling policy between a deposit-refund policy, recycling reward policy, and no recycling policy when consumers exhibit different green awareness levels.
Finally, there are studies on the technical aspects of express packaging boxes, express recycling cabinets, and express packaging materials. Some scholars have proposed express packaging design ideas that improve the reuse rate of packaging and avoid resource waste; there are also scholars who have proposed express cabinets with a packaging recycling function. Peng et al. [] explored how to apply a detachable design method to the structure of an express packaging box, seeking to adapt to the transportation requirements of different products and optimize the process of disassembly, replacement, and assembly. They aimed to eliminate the disadvantages of the current packaging as a form of waste, achieve local recycling, and improve the utilization rate of express packaging. Zhang et al. [], incorporating the concept and characteristics of sharing packaging, proposed a standardized and foldable packaging design for high-grade white wine with anti-counterfeiting and anti-theft functionalities. Wang et al. [] built express cabinets with packaging recycling functions to guide consumers to participate in recycling activities, and they investigated the intentions of customers and their likelihood to participate in recycling at express packaging recycling cabinets.
2.1.2. Research Related to Recycling Subjects
In order to promote express packaging recycling, scholars have studied the different subjects involved. Firstly, studies on consumers have mostly focused on consumers’ willingness to recycle. Ding et al. [] introduced consumers’ environmental awareness into their framework and established an evolutionary game model. Their sensitivity analysis showed that the participation of environmentally conscious consumers could significantly reduce the difficulty of recycling and reduce recycling costs. Jia et al. [] found that enhancing consumers’ cognition of the environment, improving the reward policies and recycling facilities provided to consumers, and strengthening the publicity of the recycling policy played an important role in promoting consumers’ participation in the classification and recycling of express packaging. In addition, there are similar works in the express industry on express enterprises and manufacturers. Fu et al. [] developed a model to provide express enterprises with the best options for recycling in different situations, helping the government to formulate a more appropriate recycling policy. Xiao et al. [] developed a two-stage model from the perspective of a manufacturer to discuss production and recycling strategies under three types of policies (subsidies, penalties, and tax reductions). Lyu et al. [] investigated the optimal strategies for platform recycling in a product production–distribution model and a market model, including a resale–non-recycling (RN) scenario, resale–recycling (RR) scenario, market–non-recycling (MN) scenario, and market–recycling (MR) scenario.
2.2. Research Related to Consumer Willingness
2.2.1. Factors Affecting Consumer Willingness and Research Methods
Research in many fields in China, and elsewhere, has involved investigations of the willingness of participants, with the main aim of exploring the mechanisms that influence their willingness to consume, use, pay, etc., and the methods and models used are extensive. Some studies have used structural equation modeling, which includes the common SOR model and a technology acceptance model. For example, Wang et al. [] used the SOR model and selected anchor interactivity and platform interactivity as the stimuli and the consumer’s psychological experience as the mediator variable to explore the impact of live broadcasting about agricultural products on consumers’ willingness to purchase them. Liu et al. [] used the SOR model to investigate multimedia content’s utility, interactivity, entertainment, and authenticity in relation to consumer emotions (arousal and pleasure) and their relationships with impulse buying and social engagement. The results showed that there was a significant relationship between content features and mood, with entertainment having the greatest effect on arousal and authenticity having the greatest effect on pleasure. Arousal also had a significant effect on pleasure, and arousal and pleasure had a significant effect on impulse buying and social engagement, with arousal having the greater effect. Li et al. [] conducted an empirical study examining how residential intelligence affected consumers’ willingness to pay for housing using a technology acceptance model (TAM). The results showed that residential intelligence can enhance consumers’ willingness to pay by satisfying consumers’ demands for residential features; consumer heterogeneity moderates the relationship between residential intelligence and consumers’ willingness to pay. Zhang et al. [] studied the relationship between residential intelligence and willingness to pay using the theory of planned behavior (TPB), specifically aiming to study the effect of consumer credit on a willingness to buy on social e-commerce platforms. They also explored the relationship between attitudes, subjective norms, perceived behavioral control, and willingness to buy on social e-commerce platforms. The results showed that attitudes, subjective norms, and perceived behavioral control mediated the relationship between consumer credit and purchase intention on social e-commerce platforms.
There are also studies that have used other common data analysis methods. For example, Li et al. [] used three methods, namely logistic regression, decision trees, and random forest, to analyze the factors influencing the willingness to use post-exposure prophylaxis among people at high risk of HIV and to predict their willingness to use it. The results showed that random forest had the best prediction effect. Lin et al. [] used rootedness theory to present a model of the determinants of employees’ willingness to seek help from robots through in-depth personal interviews. The study showed that the characteristics of robots increase the benefits that employees perceive, making them willing to seek the robots’ help.
Finally, there are studies that have used experimental methods. For example, Zhu et al. [] investigated the mechanisms by which online review language styles affected consumers’ purchase intentions across two experiments. The results showed that consumers’ shopping tendencies could modulate the effect online review language styles had on their purchase intention, while these styles affected customers’ purchase intention through their perception as factual and fun. Guo et al. [] used a pre-test and three experiments to examine the effect of the degree of cuteness of service robots on consumers’ interaction intentions. The experiments found that, for hedonic services, the higher the cuteness of the service robot, the higher the consumers’ willingness to interact with it. Regarding functional services, the cuteness of the service robot had no significant effect on consumers’ willingness to interact with it. Lin et al. [] explored whether two promotional programs developed by firms could increase consumer engagement. The two experiments proved that platform-based promotions improved consumers’ perceptions of their savings relative to individual-based promotions, which further enhanced their willingness to engage with the platform, and that only promotion-sensitive consumers responded more positively to platform-based promotions.
2.2.2. Research on Consumers’ Willingness to Participate in Green Activities
Research on consumers’ willingness to participate in green activities mainly focuses on their willingness to pay for green products, use green products, etc., and the methods used are mostly structural equation modeling and experimental methods. Firstly, there are studies that have used structural equation modeling. For example, Alam et al. [] used SmartPLS3.0 to construct a model, and they found that consumers’ environmental ethics, environmental attitudes, and ethical obligations had a positive effect on their willingness to use green products. The willingness to use green products also affected green behaviors and had a significant mediating effect, and the willingness to use green products mediated the relationship between consumers’ environmental ethics, environmental attitudes, ethical obligations, and green behaviors at the same time. Mamun et al. [] used partial least squares structural equation modeling (PLS-SEM) to conduct an analysis of the willingness of working adults in Malaysia to pay for green buildings. The results of the study showed that responsibility attribution and perceived behavioral control had a significant effect on their willingness to pay for green buildings. Using the extended theory of planned behavior (TPB) model, Liao CS et al. [] explored the factors that influenced urban residents’ low-carbon travel intentions. The findings indicate that attitude, subjective norms, and perceived behavioral control make a positive contribution to their low-carbon travel intentions, with attitude being the most influential determinant.
In addition, there are studies that have used experimental methods. For example, Wu et al. [] explored the effect of the packaging features (color, material, and the presence or absence of an environmental statement) of environmentally friendly products on consumers’ green purchase intentions through three sets of experiments based on the theory of information-processing fluency. Their experimental results showed that the packaging features of eco-friendly products significantly affected consumers’ perceptions of the green value of the product and their purchase intention. Green packaging was more likely to be recycled than red packaging, fiber packaging more so than plastic packaging, and packaging with an environmental statement was more likely to be recycled than packaging without an environmental statement. These features caused consumers to perceive the product as having a higher green value, thus generating a stronger green purchase intention. Consumers’ environmental perceptions play a significant moderating role in this process. Sun et al. [] introduced resource scarcity into the field of green consumption research and, through a secondary data analysis and two experimental studies, found that resource scarcity significantly reduced consumers’ green product purchase intention. However, the above effect was only significant when consumers had a lower perception of their economic mobility, and the negative impact of resource scarcity on consumers’ green product purchase intention was effectively mitigated when consumers perceived themselves as having a higher level of economic mobility.
Express packaging recycling is attracting increasing attention from scholars. Using the keywords “recycle” and “express” in Web of Science (WoS), it was found that there were only one or two relevant studies published per year before 2012, but more than 200 relevant papers have been published each year since 2012. Moreover, this number has increased year by year; the number of related papers published in 2023 exceeded 500. Additionally, in the China National Knowledge Infrastructure (CNKI), a search for the term “express recycling” found that, since 2017, more than 50 related papers have been published each year.
3. Research Hypotheses
3.1. Reward Mechanisms
3.1.1. Reward vs. No Reward
Zhang et al. [] combined system dynamics and game theory to develop an integrated human resource and waste recycling model and found that a reward policy was effective in increasing the recycling of household waste. Mu et al. [] proposed a reward–punishment policy and found that it was effective in both recycling company-dominated and sanitation engineering group-dominated models. Moreover, all programs implementing the reward–punishment policy under the recycling company-dominated model were best in terms of their sorting rate and profitability. Hao et al. [] comprehensively analyzed the impacts of a reward–punishment mechanism and deposit–refund mechanism on electric vehicle (EV) battery recycling by establishing a Stackelberg game theory model and found that both mechanisms increased the recycling rates and profits of recycling enterprises. These studies have shown that reward mechanisms can significantly improve recycling rates. Thus, it can be assumed that consumers would be more willing to use an intelligent express packaging recycling cabinet for the recycling of express packaging waste if there was a reward mechanism.
Specifically, this study proposes Hypothesis 1: rewards, in comparison to no rewards, can stimulate people’s willingness to use intelligent express packaging recycling cabinets.
3.1.2. Immediate Reward vs. Delayed Reward
People often need to make a choice after considering the gain and loss in the present and the future. When an individual faces a smaller immediate gain and a larger delayed gain, a choice is made after weighing the advantages and disadvantages of both, i.e., after intertemporal decision making []. An important feature of intertemporal decision making is the existence of time discounting: people tend to assign smaller weights to future rewards and losses compared to current rewards and losses. People usually underestimate the future and overprioritize their immediate needs: they tend to prefer an immediate benefit. Valeria et al. [] investigated the effects of three different frameworks (criterion, gain, and loss) on the intertemporal choices of elementary school children; in the criterion control framework, the children chose the immediate option, a finding that is in line with the results of a previous experiment on both children and adults []. Consumers, when faced with cash rewards that can be obtained immediately and vouchers that need to be accumulated in order to be redeemable, will prioritize obtaining the immediate reward, because they experience a sense of crisis and urgency. For example, they believe that they must redeem the cash reward immediately, or they will miss out on the opportunity; this form of anxiety motivates consumers to prioritize immediate benefits [].
In summary, this study proposes Hypothesis 2: immediate rewards are more likely to stimulate people’s willingness to use smart express packaging recycling cabinets than delayed rewards.
3.2. Mediating Role of Weighing the Advantages and Disadvantages
Gain and loss trade-offs are trade-offs that people aim to make between possible gains and possible losses; they are a comparative measure of gains and losses. These are similar to perceived value, and they can be used as a specific form of perceived value for consumers. Although there is no research that proves the mediating role of gain and loss trade-offs between a reward mechanism and participants’ willingness to use an item, the mediating role of perceived value has been verified. Zou et al. [] explored the effect of referral rewards on consumers’ willingness to recommend poverty-alleviating products, and the results showed that, under tournament reward conditions, social image, indebtedness, and perceived reward value had negative impacts on consumers’ willingness to recommend a product. Under piece-rate reward conditions, the perceived reward value significantly and positively affected consumers’ willingness to recommend it. Choi et al. [] explored the impact of donation appeals that required physical effort on the consumers’ part to donate in the context of corporate social responsibility (CSR) initiatives. The findings suggested that consumers tended to perceive companies as more socially responsible when the donation appeal involved local beneficiaries and had reward fitness, i.e., perceived CSR engagement. In addition, a mediation analysis showed that perceived CSR engagement had a spillover effect on behavioral outcomes (e.g., a willingness to donate) when the initiative supported local beneficiaries. Huang [] explored the relationship between Chinese movie fans’ willingness to pay for movie crowdfunding and the incentives offered to crowdfund movies. The empirical study showed that most Chinese movie fans tended to sponsor projects posted on movie crowdfunding platforms, and their willingness to crowdfund a movie was affected by the perceived value of the non-material result, but not by the perceived value of their material reward. Moreover, the perceived risk of movie crowdfunding platforms significantly mediated the relationship between peoples’ willingness to pay for movie crowdfunding and movie crowdfunding incentives. Consumers tend to make choices after weighing the advantages and disadvantages of each decision. If they feel that it is worthwhile to protect the environment and obtain a reward, compared to the time and effort that they have to invest in understanding and learning to use a smart express packaging recycling cabinet, their gain and loss trade-off will result in greater gain value, and they will be more likely to use the service.
Therefore, this study proposes Hypothesis 3: gain and loss trade-offs play a mediating role between a reward mechanism and people’s willingness to use the recycling cabinet. By combining gain and loss trade-offs with research carried out by other scholars, this study used a five-level Likert scale to measure the value of these gain and loss trade-offs. The specific scaled questions asked, as well as their references, are shown in Table 1.

Table 1.
The gain and loss trade-off scale.
3.3. Moderating Role of Environmental Responsibility
Environmental responsibility is derived from the Norm Activation Model used in social psychology and has been applied to a number of disciplines, including environmental pedagogy, environmental sociology, and consumer behavior. Environmental responsibility refers to an individual’s recognition that they have a responsibility to protect the environment, and this induces them to take positive actions to achieve this and regulate their own behavior. It has been proven that individuals with a higher sense of environmental responsibility have a greater willingness to purchase green products. For example, Sheng et al. [] constructed a model of the influence mechanisms involved in consumers’ green product purchasing behavior, based on the model of responsible environmental behavior and the theory of perceived value, and the study found that consumers with a higher sense of environmental responsibility had greater willingness to purchase green products when faced with them. Based on the responsible environmental behavior model, Du et al. [] empirically found that a sense of environmental responsibility made a significant positive contribution to green purchase intentions, and individuals with a strong sense of environmental responsibility had stronger green consumption intentions. Wang et al. [] explored the impact of environmental responsibility on consumers’ green customization intention, and the results showed that consumers with high environmental responsibility were more likely to purchase green products in the process of product customization compared to consumers with low environmental responsibility. Consumers’ willingness to purchase green products is affected not only by their individual sense of environmental responsibility but also by their personal interests. For example, Yue et al. [] explored the effect of environmental responsibility on green consumption when consumers were concerned about both the environment and their personal interests. The results showed that a sense of environmental responsibility had a positive effect on their environmental concern and a positive effect on their green consumption intention, but to varying degrees. Durmaz et al. [] showed that a sense of environmental responsibility is an important factor influencing green consumption intentions and environmental concern. Price sensitivity plays a moderating role between environmental responsibility and green consumption intentions and between environmental concern and green consumption intentions. By combining environmental responsibility and research carried out by other scholars, the questions and references used to measure environmental responsibility in this study are shown in Table 2.

Table 2.
The environmental responsibility scale.
All of the above studies show that a sense of environmental responsibility has an impact on people’s green intentions and green behavior, and that people with a high sense of environmental responsibility are more likely to display green intentions and green behavior. However, in addition to the influence of environmental responsibility, reward mechanisms have a great influence on green intentions and green behavior. Consumers with a low sense of environmental responsibility are more likely to display green behavior due to the promise of rewards compared to those with a high sense of environmental responsibility. Moreover, immediate cash rewards are more likely to increase their sense of acquisition and satisfaction than delayed point rewards, increasing the value of these gains to consumers in the trade-off. Consumers with a high sense of environmental responsibility will not be overly concerned about the gains and losses in terms of whether that is the time and effort spent protecting the environment or the rewards that they will receive for it. They are likely to protect the environment even if there are no rewards, and they will be more concerned about the positive actions they have taken to benefit the environment.
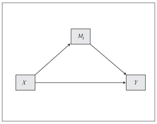
Therefore, this study proposes Hypothesis 4: Environmental responsibility plays a moderating role on the effect of reward mechanisms on the gain–loss trade-off, with cash rewards having greater value compared to point rewards for people with low environmental responsibility. However, there will be no difference in the value of cash rewards and point rewards in the gain–loss trade-offs made by people with a high sense of environmental responsibility. The four theoretical hypotheses proposed in this paper and the theoretical model of this study are shown in Figure 1.

Figure 1.
Research theoretical model.
4. Methodology
In this study, three experimental scenarios were designed to test our proposed theoretical hypotheses and to verify the feasibility of using intelligent express packaging recycling cabinets to promote express packaging recycling. All three experiments were carried out using the intelligent research platform Credamo (https://www.credamo.com/#/ (accessed on 6 January 2024)), which adopts a new type of research model. The quality of the data meets the requirements of the highest-ranking international academic journals, and its users’ papers have been accepted by major international journals in the fields of psychology, management, environmental sciences, and sociology with a high degree of domestic and international authority and recognition. Given the observational nature of this study, and in the absence of any medical treatment, no formal approval of the institutional review board of the local ethics committee was required. Nonetheless, all subjects were informed about the study, and participation was fully on a voluntary basis. Participants were assured of the confidentiality and anonymity of the information associated with the surveys. This study was conducted according to the guidelines of the Declaration of Helsinki.
Before conducting formal experiments, there were three factors that needed to be determined. The first was the form of the immediate and delayed rewards. Drawing on the research of scholars, as well as the forms of rewards offered in the real world, this study selected cash rewards as the immediate rewards and point rewards, which can be exchanged for shopping vouchers, as the delayed rewards. In order to ensure that the two types of rewards (cash rewards and point rewards) were equivalent in the minds of the consumers—i.e., to ensure that the cash value of the point rewards was considered to be equivalent in RMB to the value of the cash rewards—a pre-experiment was performed using questionnaires (https://www.wjx.cn/ (accessed on 18 December 2023)). Firstly, the consumer was asked the following question: “When you go to the express point/express cabinet to pick up the goods and find that the express point/express cabinet is carrying out recharging activities, and cash can be used to purchase high-value coupons for shipping to offset shipping costs, what value in coupons do you think RMB 1 cash is equivalent to?” A total of 119 valid questionnaires were collected, and the mean value of the collected results was used to determine the face value of the coupon as RMB 2.5. The second time, the consumers were asked the following question: “There are RMB 1 cash and RMB 2.5 no-threshold vouchers, and the vouchers are used to offset shipping costs, so which do you choose?” A total of 202 valid questionnaires were collected, and the results showed that the results were equally split, so it was concluded that the RMB 1 in cash and RMB 2.5 in vouchers were equal. Then, the package sizes were divided into three groups according to express packaging division standards, namely small, medium, and large recycling cabinets, with reference made to the dimensions of the Feng Chao Express Cabinet. Finally, the recycling reward standard was considered with respect to the price of each logistics company’s express box, the wholesale price of the Alibaba express box, and the recycling price of express cartons.
4.1. Experiment 1
4.1.1. Purpose of the Experiment
The purpose of Experiment 1 was to verify whether the presence or absence of rewards had an impact on consumers’ willingness to use smart express packaging recycling cabinets, i.e., to verify whether H1 is valid. The experiment used a one-way, two-level (no reward and with a reward) between-groups design.
4.1.2. Experimental Design
In this experiment, 206 subjects were recruited and randomly assigned to one of two groups, i.e., group A (the no reward scenario) and group B (the reward scenario). The two groups’ experiments were conducted independently and simultaneously. The specific experimental design is as follows.
The first stage was a basic information survey, including whether the subjects had online shopping experience, their average monthly express deliveries, their gender, and their age. Then, background information about the intelligent express packaging recycling cabinet was provided, as well as a step-by-step introduction.
Imagine a scenario in which China has placed intelligent express packaging recycling cabinets at express points/express cabinets to promote express packaging recycling, and these packages are equipped with QR codes. You can pick up the package, open the package by hand, and use the recycling cabinet to recycle the express packaging, but also specifically deposit the express packaging at the express point/express cabinet, using the recycling cabinet’s recovery system. An intelligent express packaging recycling cabinet is shown in Figure 2.

Figure 2.
Intelligent express packaging recycling cabinet.
The steps of its use are as follows:
- Use a cell phone to scan the code or enter a cell phone number to open the system and interact with the operation desk;
- The system will scan the QR code on the package, identify the material and volume of the package, and open the drop port;
- Flatten the express package and place it into the designated drop port.
In order to help the subjects to understand how to use the smart express packaging recycling cabinets, and also to test whether the subjects had read the material carefully, three screening questions were set. Both groups of subjects were required to answer the following questions: “Where are the smart express packaging recycling cabinets placed?”, “How can the intelligent express packaging recycling cabinet be used?”, and “How can the intelligent express packaging recycling cabinet be used?” Groups A and B were then asked to read the experimental materials. Group A’s question was “If there is such an intelligent express packaging recycling cabinet near your neighborhood express point/express cabinet, what is your willingness to use the intelligent express packaging recycling cabinet?” In group B, the question was, “If there is such a smart express packaging recycling cabinet near your neighborhood express point/express cabinet, and you can get rewards (cash rewards or point rewards) by using this smart recycling cabinet, what is your willingness to use this smart express packaging recycling cabinet?” Finally, the subjects were asked to complete the willingness scale. The questions included in the scale and the relevant references are shown in Table 3. According to the manipulation test questions, 5 invalid questionnaires were eliminated, 99 valid questionnaires were obtained in group A, and 102 valid questionnaires were obtained in group B.

Table 3.
The willingness scale.
4.2. Experiment 2
4.2.1. Purpose of the Experiment
The purpose of Experiment 2 was to verify whether there is a difference in consumers’ willingness to use recycling cabinets in the face of two different rewards, and whether instant rewards are more likely to lead to the use of smart express packaging recycling cabinets than delayed rewards, i.e., to verify whether H2 is valid. The experiment used a one-factor, two-level (immediate reward vs. delayed reward), between-groups design.
4.2.2. Experimental Design
In this experiment, 204 subjects were recruited and randomly assigned to one of two groups, i.e., group A (immediate reward scenario) or group B (delayed reward scenario). The two groups’ experiments were conducted independently and simultaneously. The specific experimental design was as follows.
The first stage was a survey of basic information about the subjects, including whether they have online shopping experience, their average monthly express deliveries, their gender, and their age. Then, background material about the intelligent express packaging recycling cabinet was provided, as well as an introduction to its use, with the same design as in Experiment 1.
Then, the subjects in groups A and B were asked to read the experimental materials. The statement administered to group A was as follows: “After understanding the above information, you find that you can get cashback rewards by using this intelligent recycling cabinet, and the specific rewards are as follows: the intelligent express packaging recycling cabinet has three drop-off ports, the small drop-off port recycles the cardboard boxes within 34 cm × 45 cm × 8 cm, and you can get RMB 0.5 for placing one express packaging waste in this drop-off port. The medium-sized pitches to recover cardboard boxes within 34 cm × 45 cm × 19 cm, put one express packaging waste in the pitches can get RMB 1 cashback reward. The large pitches to recover cardboard boxes within 34 cm × 45 cm × 29 cm, put one express packaging waste in the pitches can get RMB 2 cashback reward.”
The statement administered to group B was as follows: “After understanding the above information, you find that you can get bonus points by using this intelligent recycling cabinet, and the points can be used for exchanging express delivery vouchers. The specific situation is as follows: intelligent express packaging recycling cabinet has three pitches, small pitches recycling 34 cm × 45 cm × 8 cm cartons, in the pitches put one express packaging waste can get 1.25 points, medium-sized pitches recycling 34 cm × 45 cm × 19 cm cartons, in the pitches put one express packaging waste can get 2.5 points, large pitches recycling medium-sized drop-off points for cartons up to 34 cm × 45 cm × 29 cm, and 5 points for one express packaging waste dropped off at the drop-off point. Accumulated points can be exchanged for express shipping vouchers, 1 point is equivalent to RMB 1 express shipping vouchers, there are different denominations of vouchers to choose from”.
In order to help the subjects to understand the use of intelligent express packaging recycling cabinets, and also to test whether the subjects had read the material carefully, four screening questions were used, which both groups of subjects were required to answer: “Where are the intelligent express packaging recycling cabinets placed?”, “How can the intelligent express packaging recycling cabinet be used?”, and “How can I use the intelligent express packaging recycling cabinet?” Group A’s subjects were also required to answer the question, “How many dollars of cashback reward can I get for the cartons recycled at the medium-sized drop-in opening?” Group B’s subjects were also required to answer the question, “How many points can I get for the cartons recycled from the medium-sized drop-in opening?” Finally, the subjects were asked to complete the willingness scale. Due to the manipulation of a test question, 4 invalid questionnaires were excluded; 100 valid questionnaires were obtained for group A, and 100 valid questionnaires were obtained for group B.
4.3. Experiment 3
4.3.1. Purpose of the Experiment
The purpose of Experiment 3 was to verify whether immediate rewards are more effective than delayed rewards in engaging people in the use of intelligent express packaging recycling cabinets, i.e., to verify whether H2 still holds when considering different subjects. It also sought to verify whether the mediating effect of gain and loss trade-offs and the moderating effect of environmental responsibility were significant, i.e., whether H3 and H4 hold. The experiment used a 2 (immediate reward vs. delayed reward) × 2 (high environmental responsibility vs. low environmental responsibility) between-groups design.
4.3.2. Experimental Design
In this experiment, 406 subjects were recruited and randomly assigned to one of two groups, i.e., group A (immediate reward scenario) or group B (delayed reward scenario). The two groups’ experiments were conducted independently and simultaneously. The specific experimental design was the same as that of Experiment 2, with the inclusion of the environmental responsibility scale and the gain and loss trade-offs scale at the end. Environmental responsibility was divided into two groups, high and low, according to its mean plus or minus one standard deviation (M ± SD): group A was divided into group A1 (immediate reward, high environmental responsibility) and group A2 (immediate reward, low environmental responsibility), and group B was divided into group B1 (immediate reward, high environmental responsibility) and group B2 (immediate reward, low environmental responsibility). After excluding invalid data, there were 400 valid questionnaires.
As mentioned earlier, this study used the platform Credamo. For Experiment 1, Experiment 2, and Experiment 3, respondents were randomly recruited for the survey, and their basic information, from valid samples, is presented in Table 4.

Table 4.
Basic information about the sample.
As can be seen from Table 4, the distribution of the sample characteristics across Experiment 1, Experiment 2, and Experiment 3 is relatively consistent, and the proportion of subjects receiving more than 5 average monthly express deliveries is more than 60%, which indicates that most of the interviewees frequently engage in online shopping and need express delivery packaging recycling facilities.
5. Results
5.1. Analysis of Experiment 1’s Results
Firstly, a reliability test was conducted on the willingness scale, and its Cronbach’s α value of 0.924 is greater than 0.7, indicating that the scale passed the consistency test with good reliability.
The no-reward scenarios were coded as −1, and the reward scenarios were coded as 1. Independent sample t-tests were performed on the two sets of data using SPSS 24.0; the results are shown in Table 5.

Table 5.
Independent sample t-test (Experiment 1).
As can be seen from Table 5, the sig value of the variance chi-square test is 0.005, i.e., less than 0.05, and the variances are unequal. Thus, the t-test needs to consider the sig value of the second row, sig = 0.014, which is less than 0.05, thus demonstrating that there is a significant difference between people’s willingness to use the system with no rewards and that with rewards. Moreover, because 4.03 < 4.34, their willingness to use it in the scenario with rewards is higher than that in the scenario with no rewards: under the same general conditions, the presence of rewards is more likely to encourage people to use an intelligent express packaging recycling cabinet compared to no rewards and, thus, H1 is verified.
5.2. Analysis of Experiment 2’s Results
Firstly, a reliability test was conducted on the willingness scale, and its Cronbach’s α value of 0.870, which is greater than 0.7, indicates that the scale passed the consistency test with good reliability.
Immediate reward scenarios were coded as 1, and delayed reward scenarios were coded as −1. Independent sample t-tests were performed on the two sets of data, using SPSS 24.0; the results are shown in Table 6.

Table 6.
Independent sample t-test (Experiment 2).
As can be seen from Table 6, the sig value of the variance chi-square test is <0.05, and the variances are unequal, so the t-test must examine the sig value of the second row. The sig value there is <0.05, so there is a significant difference in people’s willingness to use the system with respect to the instant rewards versus the delayed rewards. Because 4.19 < 4.59, their willingness to use in the instant-rewards scenario is higher than that in the delayed-rewards scenario: when all other conditions are equal, instant rewards are more likely to encourage people to use smart express packaging recycling cabinets than delayed rewards and, thus, H2 is verified.
5.3. Analysis of Experiment 3’s Results
The reliability of the willingness scale, gain and loss trade-offs scale, and environmental responsibility scale was first tested. As shown in Table 7, with the exception of the Cronbach’s α value for the weighing of gains and losses, which is 0.694, i.e., slightly less than 0.7, the Cronbach’s α values for willingness to use and environmental responsibility are both significantly greater than 0.7, which indicates that these scales have good reliability.

Table 7.
Reliability test (Experiment 3).
Immediate reward scenarios were coded as 1, and delayed-reward scenarios were coded as −1. Independent sample t-tests were performed using SPSS 24.0; the results are shown in Table 8.

Table 8.
Independent sample t-test (Experiment 3).
As can be seen from Table 8, the sig value of the variance chi-square test is 0.003, i.e., less than 0.05, and the variances are unequal, so the t-test must examine the sig value of the second row. Here, sig < 0.05, so there is a significant difference in people’s willingness to use the system with respect to the instant rewards and delayed rewards; because 4.34 < 4.57, their willingness to use in the instant-rewards scenario is higher than that in the delayed-rewards scenario: H2 is again validated as, under the same conditions, instant rewards are more likely to encourage people to use smart express packaging recycling cabinets than delayed rewards.
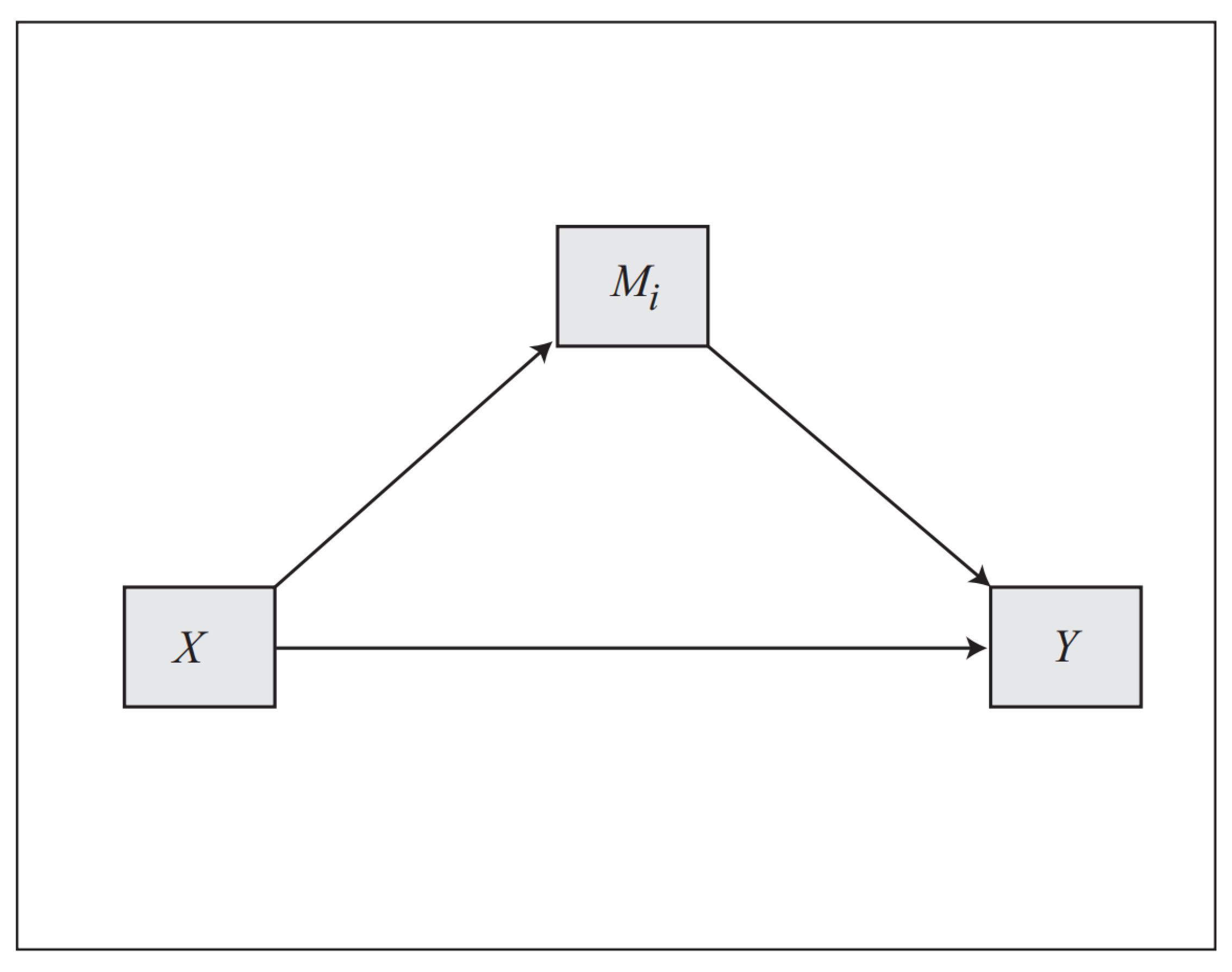
The next mediation effect test was conducted using a process model, specifically model 4, which is a simple mediation model, as shown in Figure 3. X is the independent variable (reward mechanism), Y is the dependent variable (use willingness), and M is the mediator variable (gain and loss trade-offs).

Figure 3.
Process model 4.
The confidence interval was chosen to be 95%, the number of samples was 5000, and the results of the run are as shown in Table 9.

Table 9.
Results of mediation effect test.
As can be seen from Table 9, the mediation effect of the gain and loss trade-offs is significant, with no zeros included in the 95% confidence interval. The mediation effect is 54.53%, which means that H3 is valid.
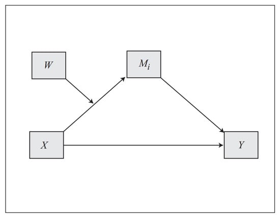
Next, the moderating effect test is conducted using another process model, and model 7 is selected, which is a mediated model with moderation (first half), as shown in Figure 4. Here, X is the independent variable (reward mechanism), Y is the dependent variable (use willingness), M is the mediating variable (gain and loss trade-offs), and W is the moderating variable (environmental responsibility).

Figure 4.
Process model 7.
The confidence interval was chosen to be 95%, the number of samples was 5000, and the results of the run are as shown in Table 10.

Table 10.
Results of moderating effect test.
As can be seen from Table 10 and Figure 5, the p-value of the interaction term between the reward mechanism and environmental responsibility is less than 0.05, so their interaction is significant. With low environmental responsibility, the 95% confidence interval does not contain 0, and the mediation effect of gain and loss trade-offs is significant, with an effect value of 0.076. Moreover, there is greater value to the gain and loss trade-offs for cash rewards compared to point rewards. With high environmental responsibility, the 95% confidence interval contains 0, the mediating effect of the gain and loss trade-offs is not significant, and there is no difference in the value of the gain and loss trade-offs between cash rewards and point rewards. This indicates that the mediating effect of gain and loss trade-offs is moderated by a person’s sense of environmental responsibility, and H4 is confirmed.

Figure 5.
The moderating role of environmental responsibility.
6. Discussion
6.1. Implications and Conclusions
In this study, a literature research method was used to organize the previous relevant literature on express packaging recycling. This showed that the convenience of an intelligent express packaging recycling cabinet can effectively promote express packaging recycling, and some new ideas for the design and use of such cabinets were put forward to make them more convenient and simpler for people to use.
This study designed three experimental scenarios in order to study the relationship between reward mechanisms and use willingness in the recycling of express packaging, and it obtained the following conclusions. First, a reward mechanism has a significant effect on people’s willingness to use intelligent express packaging recycling cabinets. Experiment 1 verifies that a reward is more likely to encourage people to use intelligent express packaging recycling cabinets than no reward. Experiment 2 verifies that an immediate reward is more likely to encourage people to use intelligent express packaging recycling cabinets than a delayed reward. Experiment 3, which involved different subjects, verifies the conclusions of Experiment 2, showing that gain and loss trade-offs play a mediating role between a reward mechanism and people’s willingness to use the system and that consumers make a choice after weighing the advantages and disadvantages. If consumers feel that it is worthwhile to protect the environment, then, in terms of the rewards obtained compared to the time and effort spent using intelligent express packaging recycling cabinets, the gain outweighs the loss, and they are inclined to use intelligent express packaging recycling cabinets. This also shows that a sense of environmental responsibility plays a moderating role in gain and loss trade-offs. With a low sense of environmental responsibility, people regard cash rewards, compared to point rewards, as being greater in value in their gain and loss trade-offs; with a high sense of environmental responsibility, people’s gain and loss trade-offs when using cash rewards, compared to point rewards, do not differ.
6.2. Suggestions
This study puts forward the following suggestions in the hope that intelligent express packaging recycling cabinets will be cited as a convenient recycling method and used to improve the recycling rate of express packaging and promote the realization of China’s “dual-carbon” goal.
First, it is necessary to promote the use of intelligent express packaging recycling cabinets, which are easy to use and simple to operate. The use of these cabinets can improve recycling rates, and it is recommended that express points/express cabinets are put into use.
Secondly, in order to improve the use of intelligent express packaging recycling cabinets, the government, express companies, and other appropriate parties should offer incentives to consumers. The size of the express packaging, in accordance with the standard sizes of express cabinets, is divided into three categories: large, medium, and small. Different ranges could be assigned incentives of a certain amount of cash or points for consumers to choose from. We recommend promoting the use of intelligent express packaging recycling cabinets in the early stage of their operation and encouraging the use of incentives so that people understand that these systems are easy to use. This would not only promote the recovery of express packaging waste, but the use of rewards would improve consumers’ sense of satisfaction and achievement.
Finally, we must publicize the “dual carbon” policy and promote an awareness of the ecological environment and express packaging recycling. This will increase people’s awareness of the necessity and urgency of recycling express packaging, improve people’s sense of environmental responsibility, and communicate the message that each of us has a responsibility to participate in express packaging recycling, not only to receive recycling rewards but to contribute to preserving the environment to the greatest possible extent.
6.3. Limitations and Future Research
The forms of reward involved in the experimental design of this study were only cash rewards and point rewards; perhaps, other forms of rewards may impact consumers’ willingness to use these systems, and more forms of rewards will be designed in the future, making these investigations more comprehensive.
Intelligent express packaging recycling cabinets are not yet popular or widely used, but this may change as people’s attitudes change. There may be more ways to improve the recovery of express packaging waste in the future, and we should also consider new methods for this to help achieve China’s “dual-carbon” goal.
Author Contributions
Conceptualization, Y.Z.; methodology, Y.Z.; software, Y.S.; validation, J.X.; investigation, Y.Z. and Y.S.; resources, J.X.; data curation, Y.Z. and Y.S.; writing—original draft, Y.Z. and Y.S.; writing—review & editing, Y.Z. and J.X.; visualization, Y.S.; funding acquisition, Y.Z. All authors have read and agreed to the published version of the manuscript.
Funding
This research was funded by 2023 Hubei Provincial Education Science Planning Project grant number 2023GB083.
Institutional Review Board Statement
Ethical review and approval were waived for this study, due to the absence of sensitive data and to the processing of all personal information of the subjects involved in the study anonymously.
Informed Consent Statement
Informed consent was obtained from all subjects involved in the study.
Data Availability Statement
The data presented in this study are available on request from the corresponding author.
Conflicts of Interest
The authors declare no conflict of interest.
References
- Bin, X. Environmental Regulations, Technological Innovation, and Low Carbon Transformation: A Case of the Logistics Industry in China. J. Clean. Prod. 2024, 439, 140710. [Google Scholar]
- Ye, C.; Zheng, Y.H.; Han, X.L.; Chen, S.J. Can Increased Economic Complexity and Reduced Carbon Emissions of the Logistics Industry Go Hand in Hand? Evidence From Countries Along the Belt and Road. Adv. Clim. Chang. Res. 2023, 14, 789–797. [Google Scholar] [CrossRef]
- Che, Y. Distribution Site Selection for Green Logistics Under Environmental Sustainability. J. Environ. Prot. Ecol. 2022, 23, 2438–2448. [Google Scholar]
- Zhan, Y.; Sun, Y.; Xu, J. A Study on the Recycling Classification Behavior of Express Packaging Based on UTAUT under “Dual Carbon” Targets. Sustainability 2023, 15, 11622. [Google Scholar] [CrossRef]
- Chu, D.L.; Fan, X.; Dou, X.F.; Geng, H. Research on Reverse Logistics Recycling Network System Based on “Internet+TPR”. Packag. Eng. 2023, 44, 166–174. [Google Scholar]
- Li, S.S.; Han, Y.J.; Zhao, Y.Z.; Fan, Z.Q. Reverse Logistics Network Design for Express Packaging under Uncertain Environment. J. Chongqing Norm. Univ. Nat. Sci. Ed. 2022, 39, 100–107. [Google Scholar]
- Shi, Y.H.; Lin, Y.; Wang, S.Y.; Wen, H.L.; Lim, M.K.; Li, Y. A Simultaneous Facility Location and Vehicle Routing Problem with Recyclable Express Packaging Consideration for Sustainable City Logistics. Sustain. Cities Soc. 2023, 98, 104857. [Google Scholar] [CrossRef]
- Mao, J.; Cheng, J.Y.; Li, X.Y.; Zhao, H.G.; Lin, C.Y. Optimal Design of Reverse Logistics Recycling Network for Express Packaging Considering Carbon Emissions. Mathematics 2023, 11, 812. [Google Scholar] [CrossRef]
- Zheng, K.J.; Zou, X.P. Research on Optimal Incentive Strategy for Waste Express Packaging Recycling. Packag. Eng. 2022, 43, 305–314. [Google Scholar]
- Cheng, Z.P.; Ma, L.; Cong, P.D. Dynamic Regulation and Simulation of Express Packaging Recycling Based on Evolutionary Game. Ind. Eng. Manag. 2023, 28, 27–35. [Google Scholar]
- You, Z.L.; Hou, G.S. Research on the Evolution of Express Packaging Recycling Strategy Considering Virtual Rewards and Heterogeneous Subsidies. Sci. Rep. 2023, 13, 8478. [Google Scholar]
- Guo, X.L.; Li, X.S.; Bian, J.S.; Yang, C.C. Deposit or Reward: Express Packaging Recycling for Online Retailing Platforms. Omega 2023, 117, 102828. [Google Scholar] [CrossRef]
- Peng, X.P.; Lai, C.Y.; Shang, H. Structural Design Study of A Removable and Recyclable Express Packaging Box. Packag. Eng. 2022, 43, 196–202. [Google Scholar]
- Zhang, H.; Ke, S.H.; He, L.L. Shared Express Packaging Design for High-grade White Wine. Packag. Eng. 2021, 42, 210–217. [Google Scholar]
- Wang, J.; Zhu, A.H. Empirical Study on Intention to Use Express Packaging Recycling Functional Express Lockers Based on UTAUT Modeling. Packag. Eng. 2019, 40, 131–137. [Google Scholar]
- Ding, L.L.; Guo, Z.M.; Xue, Y.M. Dump or Recycle? Consumer’s Environmental Awareness and Express Package Disposal Based on An Evolutionary Game Model. Environ. Dev. Sustain. 2022, 25, 6963–6986. [Google Scholar] [CrossRef]
- Jia, Y.J.; Zhang, X.Q. The Effects of Environmental Cognition and Perceived Benefits on Consumers’ Willingness to Participate in Express Packaging Recycling and Behavioral Paradoxes. Resour. Sci. 2022, 44, 2060–2073. [Google Scholar]
- Fu, X.X.; Sun, X.C. Analysis of Packaging Recycling Patterns Using Mathematical Modeling. Rev. Int. Contam. Ambient. 2023, 38, 109–116. [Google Scholar] [CrossRef]
- Xiao, L.; Fan, R.R.; Wang, C.J.; Wang, J. Policy Analyses on Promoting the Recycling of Express Packages. Sustainability 2020, 12, 9504. [Google Scholar] [CrossRef]
- Lyu, R.X.; Zhang, C.H.; Li, Z.T. Optimal Strategies of Green Express Packaging Recycling and Sales Mode in an Online Platform. J. Clean. Prod. 2023, 390, 136090. [Google Scholar] [CrossRef]
- Wang, H.J. Interactivity, Consumer Psychological Experience and Purchase Intention of Agricultural Products Live Streaming. Bus. Econ. Res. 2023, 22, 80–83. [Google Scholar]
- Liu, Y.; Li, Q.; Edu, T.; Fam, K.S.; Zaharia, R.; Negricea, C. Mobile Social Commerce Content, Consumer Emotions and Behaviour. Int. J. Consum. Stud. 2023, 47, 1315–1334. [Google Scholar] [CrossRef]
- Li, Z.W.; Chen, C.X.; Zhang, Y.H.; He, J. Residential Intelligence, Consumer Heterogeneity and Willingness to Pay—An Empirical Analysis Based on Technology Acceptance Modeling. J. Technol. Econ. 2023, 42, 152–164. [Google Scholar]
- Zhang, D.H.; Zhang, Y.J.; Lou, S. What Determines Consumers’ Purchasing Behavioral Intention on Social Commerce Platforms: Introducing Consumer Credit to TPB. Environ. Dev. Sustain. 2023, 26, 13353–13373. [Google Scholar] [CrossRef]
- Li, C.X.; Lin, Y.X.; Wang, L. A Study of Factors Influencing the Use Willingness of Post-Exposure Prophylaxis Among People at High Risk of HIV Infection. AIDS STDs China 2021, 27, 1096–1101. [Google Scholar]
- Lin, M.; Zhang, Z.; Wu, G. Determinants of Employees’ Willingness to Seek Help from Robots. Int. J. Hosp. Manag. 2024, 119, 103703. [Google Scholar] [CrossRef]
- Zhu, Z.Z.; Shan, M.H.; Fang, X.Y. “Statement” or “Rhetoric”: The Effects of Online Review Language Style on Consumers’ Purchase Intention. Financ. Econ. Ser. 2023, 92–102. [Google Scholar] [CrossRef]
- Guo, L.L.; Liang, J.P.; Huang, Y.S.; Shang, J.C. The Impact of the Cuteness of Service Robots on Consumers’ Interaction Willingness. Curr. Psychol. 2023, 1–10. [Google Scholar] [CrossRef]
- Lin, H.; Wu, X. Effect of Framing on Consumers’ Willingness to Participate in A Promotion Campaign. Soc. Behav. Personal. 2022, 50, 1–10. [Google Scholar] [CrossRef]
- Alam, M.N.; Ogiemwonyi, O.; Hago, I.E.; Azizan, N.A.; Hashim, F.; Hossain, M.S. Understanding Consumer Environmental Ethics and the Willingness to Use Green Products. SAGE Open 2023, 13, 21582440221149727. [Google Scholar] [CrossRef]
- Al, M.A.; Rahman, M.K.; Masud, M.M.; Mohiuddin, M. Willingness to Pay Premium Prices for Green Buildings: Evidence from An Emerging Economy. Environ. Sci. Pollut. Res. 2023, 30, 78718–78734. [Google Scholar]
- Liao, C.S.; Huang, Y.K.; Zheng, Z.W.; Xu, Y.H. Investigating the Factors Influencing Urban Residents’ Low-Carbon Travel Intention: A Comprehensive Analysis Based on the TPB Model. Transp. Res. Interdiscip. Perspect. 2023, 22, 100948. [Google Scholar] [CrossRef]
- Wu, S.L.; Jin, S.; Yuan, Y.N. What Makes Me Look Green—The Effect of Packaging Characteristics of Eco-friendly Products on Consumers’ Green Purchase Intention. J. Mark. Sci. 2022, 2, 24–40. [Google Scholar]
- Sun, J.; Chen, C.; Lu, J. A Study on the Impact of Resource Scarcity on Consumer Preference for Green Products. Foreign Econ. Manag. 2023, 45, 82–99. [Google Scholar]
- Zhang, S.Q.; Mu, D.; Liu, P. Impact of Charging and Reward-Penalty Policies on Household Recycling: A Case Study in China. Resour. Conserv. Recycl. 2022, 185, 106462. [Google Scholar] [CrossRef]
- Mu, D.; Zhang, S.Q. The Impact of Reward–Penalty Policy on Different Recycling Modes of Recyclable Resources in Residential Waste. Sustainability 2021, 13, 7883. [Google Scholar] [CrossRef]
- Hao, H.; Xu, W.X.; Wei, F.F.; Wu, C.L.; Xu, Z.R. Reward–Penalty vs. Deposit–Refund: Government Reward Mechanisms for EV Battery Recycling. Energies 2022, 15, 6885. [Google Scholar] [CrossRef]
- Blavatskyy, P.R. Intertemporal Choice with Savoring of Yesterday. Theory Decis. 2022, 94, 539–554. [Google Scholar] [CrossRef]
- Faralla, V.; Novarese, M.; Di Giovinazzo, V. Replication: Framing Effects in Intertemporal Choice With Children. J. Econ. Psychol. 2021, 82, 102345. [Google Scholar] [CrossRef]
- Faralla, V.; Novarese, M.; Ardizzone, A. Framing Effects in Intertemporal Choice: A Nudge Experiment. J. Behav. Exp. Econ. 2017, 71, 13–25. [Google Scholar] [CrossRef]
- Sharma, E.; Tully, S.M.; Wang, X. Scarcity and Intertemporal Choice. J. Personal. Soc. Psychol. 2023, 125, 1036–1054. [Google Scholar] [CrossRef] [PubMed]
- Zou, F.; Zhou, Y.J. Optimal Referral Rewards for Poverty-Alleviating Products Based on the Structural Equation Interpretation. Kybernetes 2023. [Google Scholar] [CrossRef]
- Choi, S.; Mattila, A.S.; Quadri-Felitti, D. Donation Appeals Rewarding Fitness in the Context of CSR Initiatives. J. Serv. Mark. 2019, 33, 160–167. [Google Scholar] [CrossRef]
- Huang, W.L. The Study on the Relationships Among Film Fans’ Willingness to Pay by Film Crowdfunding and Their Influencing Factors. Econ. Res.-Ekon. Istraživanja 2020, 33, 804–827. [Google Scholar] [CrossRef]
- Lindahl, W.E. The Science of Giving: Experimental Approaches to the Study of Charity. Nonprofit Volunt. Sect. Q. 2013, 42, 627–629. [Google Scholar] [CrossRef]
- Sheng, G.H.; Ge, W.D.; Tang, L. The Influence of Consumers’ Environmental Responsibility on Green Product Purchasing Behavior—A Case Study of Energy-Saving Home Appliances. Forum Stat. Inf. 2018, 33, 114–120. [Google Scholar]
- Du, J.G.; Duan, S.L. Influence of Environmental Responsibility on Consumers’ Green Purchasing Behavior—Chained Multiple Mediating Effects of Green Self-Efficacy and Green Perceived Value. J. Nanjing Univ. Technol. Soc. Sci. Ed. 2022, 21, 48–60+115–116. [Google Scholar]
- Wang, C.; Zhang, R.; Feng, T.W.; Tao, J.Y. Impeding Green Customization: The Roles of Negative Perceptions, Environmental Responsibility and Claim Type. Manag. Decis. 2023, 61, 2698–2719. [Google Scholar] [CrossRef]
- Yue, B.B.; Sheng, G.H.; She, S.X.; Xu, J.Q. Impact of Consumer Environmental Responsibility on Green Consumption Behavior in China: The Role of Environmental Concern and Price Sensitivity. Sustainability 2020, 12, 2074. [Google Scholar] [CrossRef]
- Durmaz, Y.; Akdogan, L. The Effect of Environmental Responsibility on Green the Effect of Environmental Responsibility on Green Consumption Intention: The Moderator Role of Price Sensitivity and The Mediator Role of Environmental Concern. A Case Study in Turkey. Environ. Dev. Sustain. 2024, 26, 9089–9114. [Google Scholar] [CrossRef]
- Stone, G.; Barnes, H.J.; Montgomery, C. Ecoscale: A Scale for the Measurement of Environmentally Responsible Consumers. Psychol. Mark. 1995, 12, 595–612. [Google Scholar] [CrossRef]
- Venkatesh, V.; Morris, G.M.; Davis, B.G. User Acceptance of Information Technology: Toward a Unified View. MIS Q. 2003, 27, 425–478. [Google Scholar] [CrossRef]
- Ming, J.R.; Zhang, J.; Yang, Y.N.; Chen, K.L. User Behavior Model and Empirical Study of Mobile Library Based on UTAUT. Libr. Forum 2017, 37, 70–77. [Google Scholar]
- Guo, J.; Wang, J.W. A Study on the Factors Influencing Mass Participation Behavior in Crowdsourcing Logistics Based on UTAUT Perspective. Oper. Res. Manag. 2017, 26, 1–6. [Google Scholar]
- Mu, X.Z.; Xue, L. A Study on the Classification Behavior of University Students in the Recycling Process of Take-Away Packaging. Environ. Eng. 2022, 40, 199–205. [Google Scholar]
Disclaimer/Publisher’s Note: The statements, opinions and data contained in all publications are solely those of the individual author(s) and contributor(s) and not of MDPI and/or the editor(s). MDPI and/or the editor(s) disclaim responsibility for any injury to people or property resulting from any ideas, methods, instructions or products referred to in the content. |
© 2024 by the authors. Licensee MDPI, Basel, Switzerland. This article is an open access article distributed under the terms and conditions of the Creative Commons Attribution (CC BY) license (https://creativecommons.org/licenses/by/4.0/).