Abstract
Pursuing innovations in sustainable architectural solutions, this study examines the impact of a climate-adaptive building envelope with dynamic photovoltaic integrated shading devices (PVSDs) on building performance. A major challenge in designing PVSDs is the lack of established guidelines for geometry and operations. We delve into the complexities and potential benefits of integrating dynamic PVSD designs into building performance simulations, particularly considering their time-varying geometric and operational aspects. This research assesses a range of similar PVSD design options with differing patterns, emphasizing their effects on solar energy potential, daylighting, and thermal efficiency. We conducted tests on south-oriented PVSDs (featuring two-axis rotation) in Houston, Texas, focusing on variables such as panel count (4 or 36), rotation angle range, and operational patterns (synchronized or individual). Regarding solar potential, the four-panel synchronized PVSD option outperformed static shading by 2.1 times. For daylighting and thermal performance, the 36-panel synchronized option with a wide rotation range and the four-panel individual option proved superior to other PVSD configurations, improving up to an average of 36% (sDA300/50%) and 1.5 °C, respectively. Our findings emphasize the critical role of integrating geometric design and operational patterns in PVSDs for enhanced system effectiveness and highlight PVSD design and application limitations. Our findings emphasize the critical role of integrating geometric design and operational patterns in PVSDs for enhanced system effectiveness. Furthermore, they shed light on the limitations in the PVSD design process and practical applications.
1. Introduction
The energy consumption associated with the operating of buildings contributes 30% of the world’s total final energy usage and is responsible for 26% of global energy-related emissions. Out of this, 8% corresponds to direct emissions within buildings, while 18% represents indirect emissions originating from the generation of electricity and heat used in buildings [1]. The building sector is responsible for approximately 50% of the world’s electricity use [2]. In addition, nearly 50% of the capacity in the power generation system is allocated to buildings, a crucial factor in achieving carbon neutrality by 2050 [3]. In this context, numerous studies have been conducted worldwide to create net zero energy buildings (NZEBs) in alignment with global sustainability goals and environmental preservation [4]. Moreover, the field is continuously growing, with the emergence of new themes such as smart building, electric vehicles, and zero-emission neighborhoods [5]. To attain NZEB status, it is crucial to focus on energy infrastructure, renewable energy resources, and energy-efficient strategies. Among renewable energy options, solar power stands out as the primary choice for NZEBs due to its widespread availability, cost reductions, and diverse harvesting possibilities [6]. Additionally, smart controls are an appealing factor for NZEBs, with the advancement of sensor and actuator technologies [7]. Furthermore, NZEBs must be designed and built to respond to the local climate in order to minimize energy consumption and achieve net zero energy use, because climatic conditions offer opportunities for passive and renewable systems [8].
Building-integrated photovoltaics (BIPVs) have garnered interest due to their ability to harness clean solar energy, meeting the annual energy consumption needs of buildings with reduced material costs and enhanced aesthetics [9,10,11,12]. Among various BIPV options, Photovoltaic integrated shading devices (PVSDs) have demonstrated superior technical efficiency compared with other types like PV facades and PV roofs [13]. PVSDs offer dual benefits by efficiently generating electricity and simultaneously reducing cooling loads in buildings [14]. However, despite the abundance of static PVSD research in the previous literature [15], there is a scarcity of studies focusing on dynamic PVSDs. Dynamic PVSDs, though involving more complex design and operation, hold greater promise. They offer optimal PV panel orientation, striking a balance between electricity generation and the efficient utilization of solar irradiation. This, in turn, helps minimize the building’s requirements for heating, cooling, and lighting [11]. Furthermore, soft robotics [16] and smart materials [17] offer a solution for achieving dynamic PVSDs, addressing a significant challenge in realizing dynamic building envelopes—specifically, the cost and reliability of the actuation system. This system needs to endure harsh external weather conditions while demanding minimal maintenance throughout the building’s lifespan [16]. Moreover, the integration of soft robotics in dynamic PVSDs not only expands their applicability but also facilitates implementation in constrained spaces, such as those found in micro housing environments. This adaptability becomes particularly significant as urban landscapes continue to witness a trend toward compact and space-efficient buildings.
Both academic and industrial initiatives are actively driving advancements in the development of dynamic PVSDs, recognizing their pivotal role in sustainable building technologies. The ongoing collaborative efforts in research and development can refine the integration of soft robotics, ensuring that dynamic PVSDs not only meet the rigorous demands of energy efficiency but also cater to the unique challenges posed by limited spatial dimensions. Thus, this study investigates geometric and operational aspects of dynamic PVSDs with the aim of controlling optimal positions that enhance PV generation, reduce building loads, and improve daylighting within the designated zone. This study presents outcomes derived from a case-study model in a hot and humid climate, illustrating how the positioning of PVSDs can yield optimal energy generation, load reduction, and daylighting performance.
2. Background
In this section, the existing body of literature was reviewed for modeling and simulation to identify the present achievements and constraints associated with the performance of PVSDs. Various static PVSDs have been examined in previous studies, exploring configurations such as horizontal and vertical panels, semi-eggcrate, shading, and surface-mounted PV panels, cladding PV panels, and roof-integrated PV panels [9,11,12]. These investigations assessed various aspects, including energy production, energy load efficiency, daylighting, and visual comfort, with the objective of determining the optimal configurations and positions for PVSDs. One study conducted the comparative analysis between BIPV and static PVSD across different climatic conditions—cold (Prague), moderate (Athens), and hot (Dubai) [18]. The primary goal was to propose effective strategies for electricity generation and enhance building energy efficiency. The methodology employed an integrated whole-building energy simulation approach using TRNSYS software, coupled with daylight simulations through the Radiance-based DIVA plugin. Subsequent analysis facilitated by Ladybug–Honeybee, a Grasshopper plugin based on Radiance and DAYSIM simulation engines, focused on a non-residential building with various BIPV systems, including an opaque façade, semi-transparent PV glazing, PV overhang, and PV louvres. Numerical simulations and parametric analyses were also conducted for different configurations of inclined single-panel PVSDs, unfilled eggcrate PVSDs, and various louvre PVSDs, specifically addressing visual comfort and glare reduction [19]. The study utilized the façade of a prototype office building located in a hot desert climate (Saudi Arabia), employing EnergyPlus and the DIVA plugin. Furthermore, the investigation extended to improving visual comfort and reducing lighting energy consumption in large office buildings through the application of light shelf photovoltaics, tailored for the hot desert-like climate of Saudi Arabia [20]. Utilizing radiance simulation analysis in four phases, the research evaluated optimal performance factors such as height, reflector, internal curved light shelf angle, and integrated PV coverage. Energy simulation models were developed for diverse PVSDs in both single-story and multi-story office buildings, particularly focusing on BIPV façades, using the DesignBuilder tool [21]. Conducted across five climate zones in China, the study considered the shading effect of upper PVSDs and concluded that PVSDs can be effectively applied in both hot and cold climates, with optimal styles varying based on the shading impact. In another application, a multi-objective approach was employed to optimize the design of fixed vertical PVSDs in classrooms in Iran, aiming to maximize benefits to indoor environments and occupants [22]. In contrast to conventional shading devices limited to non-amorphous and rectangular shapes, the study explored the potential advantages of using panels with innovative designs. The process involved creating a parametric model using the Grasshopper program, assessing daylight and energy operations, and evaluating occupants’ thermal and visual comfort with the assistance of environmental plugins such as Honeybee and Ladybug. Summarizing the literature on fixed PVSDs, it was observed that despite numerous simulation-based studies across different climates having been conducted using various software, there was a lack of clear explanation on how independent variables, including PVSD configurations, impacted the simulation results.
For dynamic PVSDs, multiple simulation-based studies have also been conducted. Among the reviewed research, one study compared manual dynamic PVSDs with fixed modes, incorporating variables such as overhang depths and one-axis tilt angles [23]. The study delved into the crucial role of the tilt angle in influencing radiation absorption by PV panels, subsequent electricity generation, and reduction in building loads. Optimizing positions for each month involved calculating varying angles for the BIPV shading device. To streamline this optimization process, a combined approach using EnergyPlus and MATLAB was implemented. In other studies, automated dynamic PVSDs were developed and examined in the cold climate of Switzerland [24,25]. These investigations considered various factors, including PV module arrangement, tracking control, façade orientation, distance between modules, and electrical design parameters. The research aimed to comprehend how different combinations of these variables affected the overall efficiency and energy yield of the solar energy system. Motion control strategies, such as one or two-axis solar tracking mechanisms, were systematically adjusted within a parametric 3D design and calculation framework to assess their impact on the visual appearance, solar insolation, and electrical performance of dynamic PV modules integrated into building envelopes. Simulation environments were created using Rhinoceros 3D software and its Grasshopper plugin. In addition, a simulation framework was developed to utilize high-resolution radiance and PV models considering partial shading between modules [26]. A resistance–capacitance (RC) building thermal model used in the study effectively simulated many cases. The study of dynamic PVSDs, emphasizing electricity generation, has also been approached through both experimental and simulation methodologies [27]. Researchers employed an empirical approach to investigate PVSDs in an office building in Iraq. Using a physical prototype with dual-axis solar tracking, real-time data were collected to compare the efficiency of the responsive system with a fixed installation. The EnergyPlus Energy Management System (EMS) and Ladybug were used for simplified scripting, simulating multiple overlapping surfaces with different tilt and azimuth angles to assess the impact of shading devices on reducing cooling and heating loads. Ladybug Renewables, integrated with Grasshopper 3D, modeled automated panels, providing insights into the generation of electricity from each orientation. The effects of integrating various adaptive envelope technologies were also explored for U.S. office buildings, including switchable insulation systems, dynamic PVSDs, and dynamic cool roofs [28]. These technologies, based on control strategies designed to modify their thermal and optical properties either seasonally or hourly, were analyzed using EnergyPlus with Energy EMS features. An innovative approach was also introduced for optimizing the design of PVSDs to maximize energy performance [29]. Unlike previous methods, that approach comprehensively considered the impact of geometric parameters on energy performance and introduced an adaptive control model that can instantly adjust the tilt angle of the PVSD based on real-time weather data using a machine learning approach.
While existing studies have extensively addressed various aspects such as module configuration, manual and/or automated rotation, and quantity for both static and dynamic PVSDs, a significant gap remains in specifically identifying optimal angles and configurations for controlling dynamic PVSDs, comprehensively considering PV generation, building loads, and daylighting. Furthermore, existing research tends to underemphasize the significance of time-varying operational and geometric aspects in optimizing angles for energy generation, building loads, and daylighting. Therefore, this study presents novel methodologies for assessing both operational and geometric aspects in the control of PVSDs. Compared with the existing studies, the examination in this study encompasses factors such as the quantity of PV panels (geometric aspect) and the individual and combined movement of PV panels (operational aspect). This study can provide insights into enhancing operational PVSD dynamics in the near future through the utilization of smart materials and sensors/actuators.
The remaining sections of this paper are structured as follows: Section 3 describes the methodologies including a simulation workflow, reference model, and geometric design and control strategies used in this research. Section 4 and Section 5 present the outcomes derived from various simulation scenarios, along with discussions on the limitations of the study. Lastly, Section 6 presents the conclusions drawn from this study.
3. Materials and Methods
3.1. Workflow for Assessing the Performance of PVSDs
This section outlines the workflow for evaluating PVSD performance and generating optimal operation patterns, as depicted in Figure 1. The process involves parametric modeling, building performance simulation, and an optimization approach to represent various hourly geometric states and their corresponding outcomes. We developed the parametric geometric motions of the PVSD in Grasshopper, a visual programming environment within Rhinoceros [30]. To assess the motion performance of the PVSD, we constructed multiple energy and daylighting models, alongside a reference office model, based on a number of geometric states. Annual simulation results, including solar radiation from shading surfaces, daylight conditions, and indoor temperature profiles for each motion, were obtained through independent simulations.
Figure 1.
Workflow for evaluating PVSD performance and generating optimal operation patterns.
Two separate approaches were employed to ascertain optimal hourly performance outcomes and their corresponding geometric motions: post-data sorting and an optimization process. The data sorting process identified the best hourly outcomes from all possible independent simulations representing the movements of PVSD options. For example, the parametric PVSD model displays motions from P1 to Pn, as shown in Figure 2, with the optimal outcome for each hour being selected, demonstrating its corresponding geometric state (e.g., motions at 8 am and 9 am correspond to geometric states P4 and P3, respectively). Thus, the most effective operation scenarios are presented by amalgamating these hourly motions. Similar methods for evaluating PVSD performance have been noted in previous research [31]. The optimization process is effective in efficiently obtaining optimal hourly outcomes, especially when considering a large number of PVSD operation patterns [32]. Based on the analysis of the PVSD’s performance, Scenarios A to D were defined, and subsequently, a choice was made between data sorting and the optimization process. Details regarding the PVSD scenarios are introduced in the following paragraphs.
Figure 2.
Process for producing optimal hourly simulation outcomes.
3.2. Reference Office Model for Assessing PVSDs
In this study, we used a reference office model representing a closed single zone to test the performance of the PVSD system (see Figure 3). The model, facing south, measured 3 m × 6 m × 3 m (length × width × height). The south wall featured a window comprising 95% of the wall area. The thermal characteristics of the reference model followed the small office building type as per the DOE commercial reference building models of the national building stock, in compliance with ANSI/ASHRAE/IES standard 90.1-2013 [33]. To focus exclusively on the PVSD’s impact, all walls, floors, and ceilings were made adiabatic, except for the south wall, and other internal loads were omitted. Houston, Texas, known for its hot and humid climate, was chosen as the test location. According to the ASHRAE standard 55 comfort model [34], Houston’s climate indicates that installing a shading device can increase comfortable hours by up to 31.6%, suggesting that PVSD could perform well under these conditions. We conducted a test on a typical summer day (specifically, June 2) from 8 am to 6 pm, using a TMY3 data set. This date was chosen to represent a day with clear skies (the minimum sky coverage ratio) during summer, which is ideal for maximizing the efficacy of PVSDs. Daylight sensors were positioned at 0.6 m grid intervals and a height of 0.8 m. Table 1 describes the key input values used for the thermal and daylighting simulations.
Figure 3.
Reference office model utilized in energy and daylight simulations.
Table 1.
Key input values used for thermal and daylight simulations.
3.3. PVSD Geometric Design and Control Strategies
The geometric design and control strategies of the PVSD are crucial parameters for decision making during the design phases. The myriad combinations of geometric forms and their dynamic transformations present a challenge due to the vast array of possible PVSD designs. To address these design challenges, geometric motions of the PVSD can incorporate a variety of transformations including folding, sliding, expanding, creasing, hinging, rolling, inflating, fanning, rotating, and curling [35]. In this study, we utilized a combination of a rectangular PVSD geometry and rotating motion. While a rectangular geometry was adopted, we explored two different PVSD geometric patterns to assess the impact of control strategies. The first option divided the panel into four separate rectangles (1.43 m × 1.43 m each), while the second comprised 36 smaller rectangles (0.48 m × 0.48 m each). The geometry’s motion involved dual-axis rotation (θ1 and θ2), enabling coverage in all directions within its motion range. The gap between the window and the PVSD geometry was set at 0.5 m, limiting the maximum motion range for θ1 and θ2 to between −12° (west) and 12° (east), and −28° (lower) and 28° (upper), respectively (see Figure 4).
Figure 4.
Geometric patterns and rotating motions of dynamic PVSD.
Table 2 outlines the various PVSD geometric patterns and control scenarios examined in this study. These scenarios aimed to investigate the impact of PVSD design variables on building performance, addressing three key questions: (1) Does the motion of each PVSD panel operate synchronously or individually? (2) What impact does the number of panels have on building performance? and (3) How do movement restrictions influence building performance? Responding to these questions, we divided the test scenarios into four types (A to D). Assuming synchronous operations, scenarios A and B explore the effects of panel count (geometric pattern), comparing a larger configuration (4 panels) with a smaller one (36 panels), all within the movement constraints of the 4-panel configuration. The size of the 36 panels is smaller than the gap between the window and the shading device, allowing unrestricted movement. Scenario C, therefore, extends the range of constraints to between −90° (west) and 90° (east) and from −15° (lower) to 90° (upper), encompassing typical vertical and horizontal shading. Scenarios A to C feature synchronized movement in the same direction, while Scenario D, under the same conditions as Scenario A, allows each panel to move independently, hypothesizing better performance. Each scenario (A to D) was evaluated across three performance domains: solar energy potential, daylighting, and thermal conditions. These domains highlight the performance priority to determine the best hourly outcomes, along with the geometric shape and pattern. For all the scenarios, the partial shading between the panels was considered. Emphasizing the design process for PVSDs within a reference office model, this study specifically focuses on the solar radiation incident on the PV panel, not the generation of the PV system. Factors such as PV module temperature, PV cell efficiency, and inverter efficiency have been deliberately excluded. In addition, indoor temperature was employed for assessing thermal efficiency, providing an intuitive insight into the cooling loads in the reference office model. Indoor temperature serves as a key indicator for evaluating the thermal performance of the building [36].
Table 2.
List of PVSD performance test scenarios.
To identify the optimal hourly motion across performance domains, Scenarios A, B, and C employed a data sorting process, as illustrated in Figure 1. This involved analyzing 377 independent simulation cases for Scenarios A and B (with a 2° interval within constraints) and 814 cases for Scenario C (with a 5° interval within constraints), respectively. In the case of Scenario D, due to the vast number of independent simulations incorporating individual geometric motions of each panel, we applied an evolutionary optimization algorithm to ascertain the optimal hourly outcomes. Galapagos [37], an optimization tool integrated into Grasshopper, was utilized to determine the best outcomes using a genetic algorithm (GA) approach, thereby reducing computational costs and time. Using a GA, a random initial population (geometric information of PVSDs) was generated based on the variables (θ1 and θ2) with a 2° interval (constraint). This geometric information was then evaluated using simulation tools to determine whether the objective function met the goal. If the PVSD’s shape did not meet the objective, a portion of the initial population was replaced with a new one using crossover and mutation for the next generation, which was then evaluated. This process continued until either the value of the objective function met the goal or the maximum number of generations was reached. In this study, independent optimizations were conducted for each of the three performance domains, on an hourly basis, totaling 33 iterations.
In Scenario D, the objective functions for the three performance domains were to maximize solar radiation on the shading surface and spatial daylight autonomy (sDA), as well as to minimize indoor air temperature each hour on June 2 from 8 am to 6 pm. sDA is a daylighting performance index defined as the percentage of floor area meeting the target illuminance level for a significant number of occupied hours annually [38]. LEED v4 recommends that at least 55% of regularly occupied floor area should achieve a minimum 300 lux illuminance level for 50% of the annual occupied hours (sDA 300/50%) [39]. For thermal performance, indoor temperature profiles were plotted to illustrate the hourly impact of the PVSD. The objective functions for the three performance domains are formulated as follows:
where represents the solar radiation reaching the shading surface at intervals of 0.15 m, denotes the indoor temperature, refers to the satisfied sDA300/50% for a given geometric motion. For solar radiation and sDA values, the objective functions were set to minimize their values to achieve maximal outcomes. The maximum global radiation at Houston during the simulation period was under 800 Wh/m2. The variables and constraints of the PVSD test cases follow, as described in Table 2. Variables such as the geometric forms of PVSDs, the shape of the test office, orientation, and location can be adjusted based on research objectives within the workflow, as described in Figure 1.
The parameters of motion for the PVSD’s geometric states involve variables across two axes. While these define the shape, recognizing the hourly configuration of the geometry is challenging due to its time-varying movement. To efficiently define the geometric movement, we adopted the concept of the incident angle. The incident angle is defined as the angle between the normal direction of a surface and the sun vector. This allows efficient tracking of the sun’s movement and the corresponding response of the PVSD. For instance, an angle close to 0° indicates that the surface is positioned perpendicular to the sun [40].
4. Results
4.1. Scenario A Results from 4 Panels and Scenario B Results from 36 Panels
This study conducted simulations to assess the operational and geometric aspects of dynamic PVSDs, focusing on the best performance of solar radiation (W/m2), daylighting (sDA 300/50 (%)), and thermal cooling load (indoor temperature (°C)), respectively. The examined office model incorporated a dynamic PVSD system, with Scenario A involving 4 panels and Scenario B featuring 36 panels. In Scenario A, where the motion range was constrained due to a gap between the window and the PVSD geometry, the best solar radiation, daylighting, and cooling load performance were determined. Scenario B, considering 36 panels, was also simulated. The primary aim of this test case, involving PVSD panels of varying sizes, included the shading effect of each panel on building performance, a critical factor in the design decision-making stages.
Figure 5 illustrates the results for the best solar performance and thermal efficiency priorities on June 2, from 8 am to 6 pm, aligning with a typical office schedule. The upper-left plot displays the outcomes for Scenario A#1 through #3 and Scenario B#4 through #6. While Scenario A#1 exhibited the best solar performance, Scenario A#3 demonstrated comparable performance, despite prioritizing cooling load reduction. Notably, the four panels in Scenario A achieved the best performance for both solar and cooling load priorities. Scenario A#1 exceeded the performance of vertical static shading by 2.1 times. However, in Scenario B, a performance gap was evident between the solar and cooling load priorities, particularly in Scenario B#4 and B#6 when 36 panels were applied. In comparisons with a vertical BIPV system, the dynamic PVSD system outperformed the vertical one in the various scenarios for both the solar and thermal efficiency priorities (i.e., Scenarios A#1, A#3, B#4, and B#6).
Figure 5.
Simulation results from Scenario A and Scenario B.
The upper-right plot presents results prioritizing daylighting, while the lower-right plot displays the angles (°) of solar incidence for each scenario. The incident angles were lower (i.e., Scenarios A#1 and B#4) when achieving optimal solar performance and higher (i.e., Scenarios A#2 and B#5) when achieving optimal daylighting performance. The lower-left plot shows the results prioritizing thermal efficiency, where Scenario A#3 and Scenario B#6 demonstrated the best thermal efficiency performance. However, Scenario B#4 exhibited poorer performance than Scenario A#1, as the 4 panels outperformed the 36 panels for both solar and cooling load priorities. In summary, across all priorities, Scenario A with 4 panels consistently outperformed Scenario B with 36 panels.
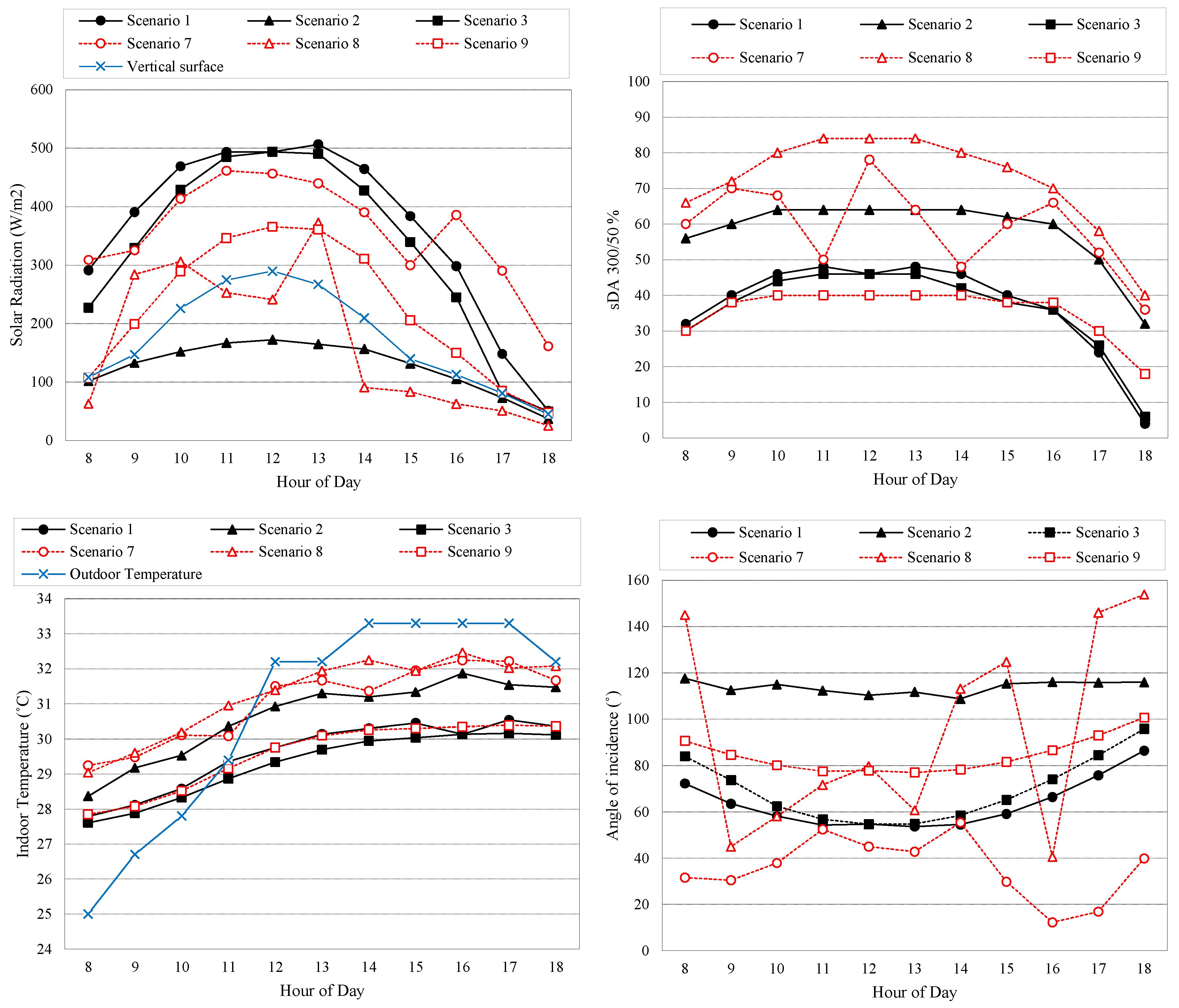
4.2. Scenario C Results for 36 Panels Using the Extended Motion Range
Scenario C utilizing 36 panels with an extended motion range demonstrated optimal performance in solar radiation (W/m2), daylighting (sDA 300/50%), and thermal efficiency (indoor temperature (°C)). The upper-left plot in Figure 6 presents the results for Scenario C#7 through #9, allowing a comparison with the earlier Scenario A#1 through #3. Scenario C#7 exhibited comparable performance, while Scenario A#1 resulted in the best solar performance. It is noteworthy that the 36 panels with the extended motion range (i.e., Scenario C#7) outperformed those with the previous range (i.e., Scenario B#4 in Figure 5), particularly after 3 pm. In addition, even Scenario C#8 outperformed the vertical BIPV system at some hours.
Figure 6.
Simulation results from Scenario A and Scenario C.
The upper-right plot displays the results prioritizing daylighting, where Scenario C#8 exhibited the best daylighting performance. Daylighting performance in Scenario C#8 showed an average increase of 14% and 36% in sDA300/50% compared with Scenario A#2 and Scenario C#7, respectively. Even Scenario C#7 showed superior performance compared with Scenario A#2, except at 11 am, 2 pm, and 3 pm, when the four panels moved within the limited motion range. The lower-left plot reveals the results prioritizing thermal efficiency. Compared with Scenario B with 36 panels using the limited motion range in Figure 5, Scenario C with 36 panels using the extended motion range showed worse performance. The lower-right plot illustrates the incident angle, indicating that Scenario C required up and down incident angles. In summary, Scenario A with 4 panels consistently outperformed Scenario C with 36 panels using the extended motion range, except in the case of daylighting priority.
4.3. Scenario D Results from 4 Panels Using the Individual Motion Pattern
In Scenario D, a GA approach was employed to achieve optimal outcomes by allowing individual PVSD panel movement. Figure 7, Figure 8 and Figure 9 illustrate the outcomes for solar radiation, daylighting, and indoor temperature, as well as the hourly incident angle of each panel, in comparison to the results of Scenario A. The findings indicate that GA achieved marginally better outcomes (an average improvement of 0.14 °C) by moving each panel individually. However, Scenario A demonstrated superior performance in terms of solar radiation and sDA. Contrary to our initial expectations that individual movement might yield better results across all criteria, the results showed that a uniform movement of all panels, particularly with a larger size (i.e., the four-panel type), was the most effective design option among all the scenarios.
Figure 7.
Simulation results from Scenario A and Scenario D for the solar radiation on PV priority.
Figure 8.
Simulation results from Scenario A and Scenario D for the daylighting priority.
Figure 9.
Simulation results from Scenario A and Scenario D for the thermal efficiency priority.
The individual movement of Panel 1 closely aligned with that of Scenario A to yield the best outcomes, while the GA directed other panels towards different solutions that failed to achieve optimal results, as shown in Figure 7. Additionally, the range of movement patterns for individual panels in terms of sDA is relatively narrow, limiting the potential for performance enhancement, as depicted in Figure 8. By contrast, Figure 9 shows that the patterns of hourly incident angle profiles for each panel are markedly different from those in Scenario A. Interestingly, in contrast to other performance areas, GA identified options with improved thermal performance. Indoor temperature in Scenario D#12 exhibited an average decrease of 0.44 °C and 1.5 °C compared with Scenario A#3 and Scenario A#2, respectively. This indicates that alternative control strategies might be more effective in managing conflicting multi-objectives. Consequently, further exploration with different GA approaches is necessary to find better solutions, especially for an efficient hourly-based optimization approach.
The primary benefit of installing a PVSD is to achieve both conflicting performance criteria (e.g., minimizing energy loads while maximizing daylighting conditions) in line with occupant preferences. Figure 10 presents hourly Pareto front solutions based on Scenario A, including 377 cases per hour, amounting to a total of 4147 cases. From 9 am to 4 pm, the sDA performance remained relatively consistent, ranging between 40% and 65%. In comparison, the range of indoor temperature was wider than that of daylighting performance during these hours. This suggests that thermal performance is more sensitive to changes in the motion of the PVSD within these time intervals. Conversely, daylighting performance saw a decline at 5 pm and 6 pm. During these hours, both daylighting and thermal performance were significantly affected by the geometric motion of the PVSD, particularly near an indoor temperature of 30.5 °C and an sDA of 30% to 40%. Table 3 indicates the results that meet the daylighting recommendations of LEED v4. A greater number of solutions were found for 1 pm, diminishing towards the morning and afternoon.
Figure 10.
Pareto results from the Scenario A simulations.
Table 3.
Pareto optimal solutions for daylighting recommendation.
The use of the incident angle enables easy tracking of the hourly movement of the PVSD in relation to the sun. However, the results from the test cases primarily focus on clear sky conditions, where the impact of the sun is greatest. Investigating the incident angle based on different levels of sky coverage is essential. Similarly, further testing on the performance of PVSDs under varying orientations and seasons is crucial to inform the geometric variation and its control strategies during the design phases.
5. Discussion
The simulation results present design and operation strategies for PVSDs which can be useful in the early design stages. However, further investigation and validation of PVSD application guidelines are required. Building energy simulation predicts space temperature by feeding back data at certain time steps to the load calculations for subsequent time steps [41]. In this study, however, we used multiple energy models with static shading for independent simulations, selecting data for specific time steps and then aggregating hourly outcomes into overall results to evaluate dynamic PVSDs [35,42]. This approach may not fully capture thermal performance. Recently, ref. [32] developed parametric behavior maps (PBMs) that include the time interval feedback loop, thereby enhancing accuracy. Although the PBM method improves accuracy, we employed the existing approach to efficiently manage results from other simulation domains. Comparative studies with the PBM approach are necessary to further enhance the accuracy of our results.
To generalize the design guidelines, the scope of the simulation needs to be expanded. (1) An annual simulation incorporating PVSDs, considering varying climate conditions, is necessary. (2) The effectiveness of PVSDs in different climate zones and orientations should be evaluated. (3) Including other simulation domains, such as glare analysis, could yield better design solutions to enhance occupants’ thermal and visual comfort. Additionally, a critical challenge in developing PVSD design guidelines is incorporating the complexities of simulation and optimization methods into the PVSD design process. Given the vast array of design variables in PVSDs, including geometry and time-varying operations, the application of optimization often encounters challenges and can produce incorrect data. Therefore, an innovative optimization approach is essential for efficiently controlling the geometry and operational schedules of PVSDs.
6. Conclusions
This study delved into time-varying operational and geometric aspects to optimize the best performance of solar energy potentials, daylighting, and indoor temperature for thermal efficiency in controlling dynamic PVSDs. Over 4000 simulation cases for various scenarios were conducted to identify optimal performance, providing a simulation framework for dynamic PVSD analysis. The study employed a simulation framework encompassing parametric modeling, building performance simulation, and an optimization approach to represent hourly geometric states and their corresponding outcomes. Parametric geometric motions of PVSDs were developed, and multiple energy and daylight models, along with a reference office model, were created based on a number of geometric states. Annual simulation results, including solar radiation from shading surfaces, daylight conditions, and indoor temperature profiles for each motion, were obtained via independent simulations.
The results indicated that Scenario A, utilizing the four panels within the limited motion range, generally outperformed the configuration with 36 panels. This noteworthy finding emphasized the importance of the geometric aspect of dynamic PVSD systems, which previous studies did not consider. The primary advantage of installing PVSD was to achieve conflicting performance criteria, such as minimizing energy loads while maximizing daylighting conditions, aligned with occupant preferences. Accordingly, a multi-objective analysis was conducted, highlighting the pressing need for more comprehensive studies on dynamic PVSDs, given recent advancements in sensor and actuator technologies. The study’s outcomes contribute valuable insights to enhance control strategies, facilitating more dynamic operations through the use of smart materials and sensors/actuators in the near future.
In the context of the climate crisis, the study’s findings contribute to the ongoing discourse on sustainable building practices. By paving the way for high-performance buildings capable of withstanding extreme climatic conditions and reducing building energy consumption, this research underscores the significance of innovative solutions in shaping a resilient built environment through the implementation of dynamic PVSDs.
Author Contributions
Conceptualization, S.O. and H.K.; methodology, H.K.; software, H.K.; validation, S.O. and H.K.; formal analysis, H.K.; investigation, S.O. and G.-S.C.; resources, S.O.; data curation, H.K.; writing—original draft preparation, S.O. and H.K.; writing—review and editing, S.O., G.-S.C. and H.K.; visualization, H.K.; supervision, H.K.; project administration, G.-S.C. All authors have read and agreed to the published version of the manuscript.
Funding
This research was supported by Basic Science Research Program through the National Research Foundation of Korea (NRF) funded by the Ministry of Science, ICT and Future Planning (Grant No. RS-2023-00212459). This work was also supported by Korea Institute of Energy Technology Evaluation and Planning (KETEP) grant funded by the Korea government (MOTIE) (20202020800030, Development of Smart Hybrid Envelope Systems for Zero Energy Buildings through Holistic Performance Test and Evaluation Methods and Fields Verifications).
Data Availability Statement
Data are contained within the article.
Conflicts of Interest
The authors declare no conflicts of interest.
References
- IEA Tracking Buildings. Available online: https://www.iea.org/energy-system/buildings (accessed on 19 September 2023).
- REN21. Renewables 2018 Global Status Report; REN21: Paris, France, 2018. [Google Scholar]
- Santamouris, M.; Vasilakopoulou, K. Present and Future Energy Consumption of Buildings: Challenges and Opportunities towards Decarbonisation. e-Prime—Adv. Electr. Eng. Electron. Energy 2021, 1, 100002. [Google Scholar] [CrossRef]
- Wei, W.; Skye, H.M. Residential Net-Zero Energy Buildings: Review and Perspective. Renew. Sustain. Energy Rev. 2021, 142, 110859. [Google Scholar] [CrossRef]
- Omrany, H.; Chang, R.; Soebarto, V.; Zhang, Y.; Ghaffarianhoseini, A.; Zuo, J. A Bibliometric Review of Net Zero Energy Building Research 1995–2022. Energy Build. 2022, 262, 111996. [Google Scholar] [CrossRef]
- Ahmed, A.; Ge, T.; Peng, J.; Yan, W.C.; Tee, B.T.; You, S. Assessment of the Renewable Energy Generation towards Net-Zero Energy Buildings: A Review. Energy Build. 2022, 256, 111755. [Google Scholar] [CrossRef]
- Verma, A.; Prakash, S.; Srivastava, V.; Kumar, A.; Mukhopadhyay, S.C. Sensing, Controlling, and IoT Infrastructure in Smart Building: A Review. IEEE Sens. J. 2019, 19, 9036–9046. [Google Scholar] [CrossRef]
- Feng, W.; Zhang, Q.; Ji, H.; Wang, R.; Zhou, N.; Ye, Q.; Hao, B.; Li, Y.; Luo, D.; Lau, S.S.Y. A Review of Net Zero Energy Buildings in Hot and Humid Climates: Experience Learned from 34 Case Study Buildings. Renew. Sustain. Energy Rev. 2019, 114, 109303. [Google Scholar] [CrossRef]
- Zhang, X.; Lau, S.K.; Lau, S.S.Y.; Zhao, Y. Photovoltaic Integrated Shading Devices (PVSDs): A Review. Sol. Energy 2018, 170, 947–968. [Google Scholar] [CrossRef]
- Assoa, Y.B.; Mongibello, L.; Carr, A.; Kubicek, B.; Machado, M.; Merten, J.; Misara, S.; Roca, F.; Sprenger, W.; Wagner, M.; et al. Thermal Analysis of a BIPV System by Various Modelling Approaches. Sol. Energy 2017, 155, 1289–1299. [Google Scholar] [CrossRef]
- Kirimtat, A.; Tasgetiren, M.F.; Brida, P.; Krejcar, O. Control of PV Integrated Shading Devices in Buildings: A Review. Build. Environ. 2022, 214, 108961. [Google Scholar] [CrossRef]
- Taşer, A.; Koyunbaba, B.K.; Kazanasmaz, T. Thermal, Daylight, and Energy Potential of Building-Integrated Photovoltaic (BIPV) Systems: A Comprehensive Review of Effects and Developments. Sol. Energy 2023, 251, 171–196. [Google Scholar] [CrossRef]
- Mandalaki, M.; Tsoutsos, T.; Papamanolis, N. Integrated PV in Shading Systems for Mediterranean Countries: Balance between Energy Production and Visual Comfort. Energy Build. 2014, 77, 445–456. [Google Scholar] [CrossRef]
- Bahr, W. A Comprehensive Assessment Methodology of the Building Integrated Photovoltaic Blind System. Energy Build. 2014, 82, 703–708. [Google Scholar] [CrossRef]
- Corti, P.; Bonomo, P.; Frontini, F. Paper Review of External Integrated Systems as Photovoltaic Shading Devices. Energies 2023, 16, 5542. [Google Scholar] [CrossRef]
- Svetozarevic, B.; Begle, M.; Jayathissa, P.; Caranovic, S.; Shepherd, R.F.; Nagy, Z.; Hischier, I.; Hofer, J.; Schlueter, A. Dynamic Photovoltaic Building Envelopes for Adaptive Energy and Comfort Management. Nat. Energy 2019, 4, 671–682. [Google Scholar] [CrossRef]
- Fiorito, F.; Sauchelli, M.; Arroyo, D.; Pesenti, M.; Imperadori, M.; Masera, G.; Ranzi, G. Shape Morphing Solar Shadings: A Review. Renew. Sustain. Energy Rev. 2016, 55, 863–884. [Google Scholar] [CrossRef]
- Skandalos, N.; Karamanis, D. An Optimization Approach to Photovoltaic Building Integration towards Low Energy Buildings in Different Climate Zones. Appl. Energy 2021, 295, 117017. [Google Scholar] [CrossRef]
- Mesloub, A.; Ghosh, A.; Touahmia, M.; Albaqawy, G.A.; Noaime, E.; Alsolami, B.M. Performance Analysis of Photovoltaic Integrated Shading Devices (Pvsds) and Semi-Transparent Photovoltaic (Stpv) Devices Retrofitted to a Prototype Office Building in a Hot Desert Climate. Sustainability 2020, 12, 10145. [Google Scholar] [CrossRef]
- Mesloub, A.; Ghosh, A. Daylighting Performance of Light Shelf Photovoltaics (LSPV) for Office Buildings in Hot Desert-like Regions. Appl. Sci. 2020, 10, 7959. [Google Scholar] [CrossRef]
- Shi, S.; Sun, J.; Liu, M.; Chen, X.; Gao, W.; Song, Y. Energy-Saving Potential Comparison of Different Photovoltaic Integrated Shading Devices (PVSDs) for Single-Story and Multi-Story Buildings. Energies 2022, 15, 9196. [Google Scholar] [CrossRef]
- Noorzai, E.; Bakmohammadi, P.; Garmaroudi, M.A. Optimizing Daylight, Energy and Occupant Comfort Performance of Classrooms with Photovoltaic Integrated Vertical Shading Devices. Archit. Eng. Des. Manag. 2023, 19, 394–418. [Google Scholar] [CrossRef]
- Akbari Paydar, M. Optimum Design of Building Integrated PV Module as a Movable Shading Device. Sustain. Cities Soc. 2020, 62, 102368. [Google Scholar] [CrossRef]
- Hofer, J.; Groenewolt, A.; Jayathissa, P.; Nagy, Z.; Schlueter, A. Parametric Analysis and Systems Design of Dynamic Photovoltaic Shading Modules. Energy Sci. Eng. 2016, 4, 134–152. [Google Scholar] [CrossRef]
- Nagy, Z.; Svetozarevic, B.; Jayathissa, P.; Begle, M.; Hofer, J.; Lydon, G.; Willmann, A.; Schlueter, A. The Adaptive Solar Facade: From Concept to Prototypes. Front. Archit. Res. 2016, 5, 143–156. [Google Scholar] [CrossRef]
- Jayathissa, P.; Luzzatto, M.; Schmidli, J.; Hofer, J.; Nagy, Z.; Schlueter, A. Optimising Building Net Energy Demand with Dynamic BIPV Shading. Appl. Energy 2017, 202, 726–735. [Google Scholar] [CrossRef]
- Abdullah, H.K.; Alibaba, H.Z. Retrofits for Energy Efficient Office Buildings: Integration of Optimized Photovoltaics in the Form of Responsive Shading Devices. Sustainability 2017, 9, 2096. [Google Scholar] [CrossRef]
- Dehwah, A.H.A.; Krarti, M. Energy Performance of Integrated Adaptive Envelope Technologies for Commercial Buildings. J. Build. Eng. 2023, 63, 105535. [Google Scholar] [CrossRef]
- Liu, J.; Bi, G.; Gao, G.; Zhao, L. Optimal Design Method for Photovoltaic Shading Devices (PVSDs) by Combining Geometric Optimization and Adaptive Control Model. J. Build. Eng. 2023, 69, 106101. [Google Scholar] [CrossRef]
- McNeel, R. Grasshopper-Algorithmic Modeling for Rhino. 2013. Available online: https://www.grasshopper3d.com/ (accessed on 28 November 2023).
- Loonen, R.C.G.M.; Favoino, F.; Hensen, J.L.M.; Overend, M. Review of Current Status, Requirements and Opportunities for Building Performance Simulation of Adaptive Facades. J. Build. Perform. Simul. 2017, 10, 205–223. [Google Scholar] [CrossRef]
- Kim, H.; Clayton, M.J. A Multi-Objective Optimization Approach for Climate-Adaptive Building Envelope Design Using Parametric Behavior Maps. Build. Environ. 2020, 185, 107292. [Google Scholar] [CrossRef]
- Deru, M.; Field, K.; Studer, D.; Benne, K.; Griffith, B.; Torcellini, P.; Liu, B.; Halverson, M.; Winiarski, D.; Rosenberg, M. US Department of Energy Commercial Reference Building Models of the National Building Stock; National Renewable Energy Laboratory: Golden, CO, USA, 2011.
- Standard 55-2010; Thermal Environmental Conditions for Human Occupancy. American Society of Heating, Refrigerating and Air-Conditioning Engineers: Peachtree Corners, GA, USA, 2010.
- Loonen, R.C.G.M.; Trčka, M.; Cóstola, D.; Hensen, J.L.M. Climate Adaptive Building Shells: State-of-the-Art and Future Challenges. Renew. Sustain. Energy Rev. 2013, 25, 483–493. [Google Scholar] [CrossRef]
- Lee, J.; Kim, S.; Kim, J.; Song, D.; Jeong, H. Thermal Performance Evaluation of Low-Income Buildings Based on Indoor Temperature Performance. Appl. Energy 2018, 221, 425–436. [Google Scholar] [CrossRef]
- Rutten, D. Galapagos: On the Logic and Limitations of Generic Solvers. Archit. Des. 2013, 83, 132–135. [Google Scholar] [CrossRef]
- Heschong, L.; Wymelenberg, V.D.; Keven, M.; Andersen, N.; Digert, L.; Fernandes, A. Approved Method: IES Spatial Daylight Autonomy (SDA) and Annual Sunlight Exposure (ASE); IES–Illuminating Engineering Society: New York, NY, USA, 2012. [Google Scholar]
- U.S. Green Building Council. LEED Reference Guide for Building Design and Construction; U.S. Green Building Council: Washington, DC, USA, 2013; ISBN 1932444181. [Google Scholar]
- Kim, H.; Asl, M.R.; Yan, W. Parametric BIM-Based Energy Simulation for Buildings with Complex Kinetic Façades. In Proceedings of the 33rd eCAADe Conference, Vienna, Austria, 16–18 September 2015; Volume 1, pp. 657–664. [Google Scholar]
- Crawley, D.B.; Lawrie, L.K.; Winkelmann, F.C.; Buhl, W.F.; Huang, Y.J.; Pedersen, C.O.; Strand, R.K.; Liesen, R.J.; Fisher, D.E.; Witte, M.J. EnergyPlus: Creating a New-Generation Building Energy Simulation Program. Energy Build. 2001, 33, 319–331. [Google Scholar] [CrossRef]
- Vlachokostas, A.; Madamopoulos, N. Quantification of Energy Savings from Dynamic Solar Radiation Regulation Strategies in Office Buildings. Energy Build. 2016, 122, 140–149. [Google Scholar] [CrossRef]
Disclaimer/Publisher’s Note: The statements, opinions and data contained in all publications are solely those of the individual author(s) and contributor(s) and not of MDPI and/or the editor(s). MDPI and/or the editor(s) disclaim responsibility for any injury to people or property resulting from any ideas, methods, instructions or products referred to in the content. |
© 2023 by the authors. Licensee MDPI, Basel, Switzerland. This article is an open access article distributed under the terms and conditions of the Creative Commons Attribution (CC BY) license (https://creativecommons.org/licenses/by/4.0/).









