Equity Investments and Environmental Pressure: The Role of Venture Capital
Abstract
:1. Introduction
2. Literature Review and Hypothesis Development
2.1. Literature Review
2.2. Hypothesis Development
3. Data and Methods
3.1. Data
3.2. Empirical Strategy
4. Results
4.1. Baseline Results (Static Model)
4.2. Results with Lagged Regressors (Dynamic Model)
5. Robustness Tests
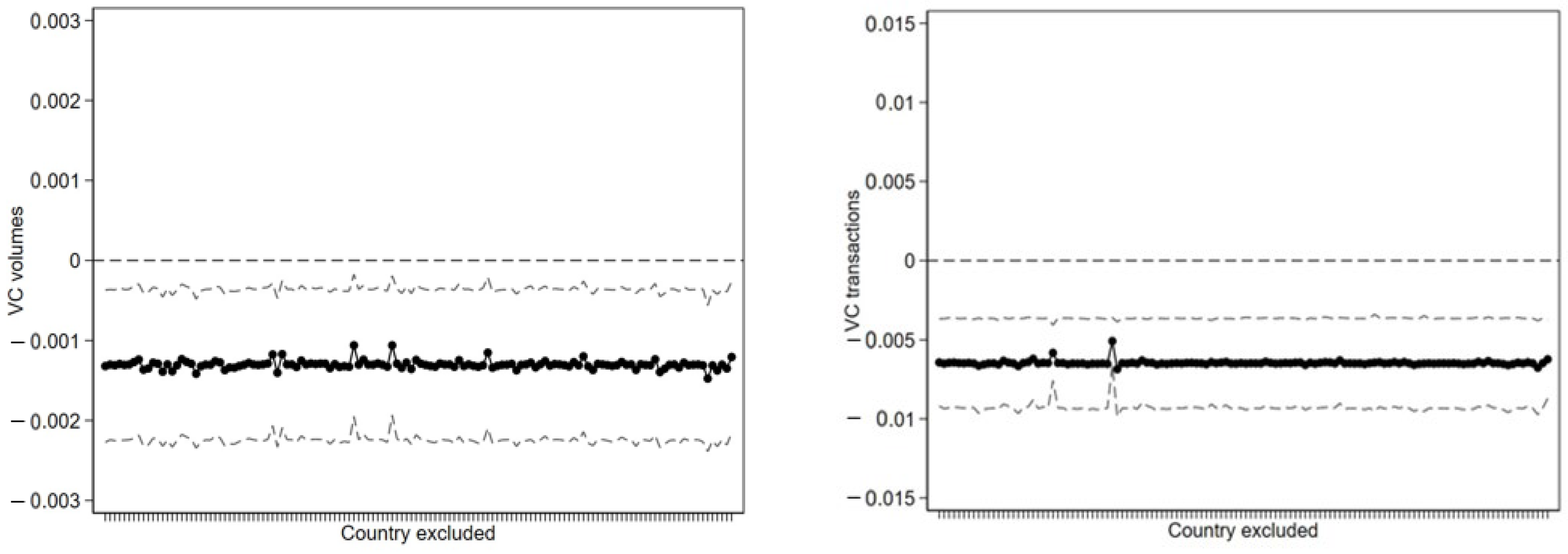
5.1. Country Outliers
5.2. Alternative Definition of Environmental Intensity
5.3. Confounding Factors—Exclusion of Pandemic Times
6. Heterogeneous Effects
6.1. Geography
6.2. Income Groups
6.3. Levels of Environmental Innovation
7. Conclusions, Policy Implications, and Future Research
7.1. Summary of the Main Findings
7.2. Policy Implications
7.3. Limitations and Future Research
Author Contributions
Funding
Institutional Review Board Statement
Informed Consent Statement
Data Availability Statement
Acknowledgments
Conflicts of Interest
Appendix A
| Dependent Variable | Environmental Intensity | |||
|---|---|---|---|---|
| Model Specification | (1) | (2) | (3) | (4) |
| VC investments | −0.0013 *** | −0.0013 *** | ||
| (0.0005) | (0.0004) | |||
| VC transactions | −0.0052 *** | −0.0055 *** | ||
| (0.0012) | (0.0014) | |||
| GDP | −0.1834 *** | −0.3783 *** | −0.1750 *** | −0.3577 *** |
| (0.0583) | (0.0814) | (0.0572) | (0.0809) | |
| Population | 0.3323 *** | 0.5791 *** | 0.3495 *** | 0.6155 *** |
| (0.0698) | (0.1026) | (0.0751) | (0.1078) | |
| Tech | −0.1356 * | −0.2598 *** | −0.1392 * | −0.2649 *** |
| (0.0713) | (0.0958) | (0.0721) | (0.0976) | |
| FDI | 0.0024 * | 0.0020 | 0.0025 * | 0.0018 |
| (0.0015) | (0.0025) | (0.0015) | (0.0025) | |
| Urb | 0.0067 ** | 0.0196 *** | 0.0065 ** | 0.0186 *** |
| (0.0031) | (0.0042) | (0.0031) | (0.0042) | |
| Year | −0.0031 ** | −0.0135 *** | ||
| (0.0012) | (0.0016) | |||
| Observations | 1215 | 1215 | 1215 | 1215 |
| Number of Countries | 131 | 131 | 131 | 131 |
| Adj. R-squared | 0.6367 | - | 0.6352 | - |
| Pseudo R-squared | - | 0.0960 | - | 0.0959 |
| Country fixed effect | Yes | Yes | Yes | Yes |
| Year fixed effect | Yes | Yes | No | No |
References
- Huppes, G.; Ishikawa, M. Eco-efficiency and Its Terminology. J. Ind. Ecol. 2005, 9, 43–46. [Google Scholar] [CrossRef]
- del Pilar Rodríguez-García, M.; Galindo-Manrique, A.F.; Cortez-Alejandro, K.A.; Méndez-Sáenz, A.B. Eco-efficiency and financial performance in Latin American countries: An environmental intensity approach. Res. Int. Bus. Financ. 2022, 59, 101547. [Google Scholar] [CrossRef]
- Abbasi, K.R.; Kirikkaleli, D.; Altuntaş, M. Carbon dioxide intensity of GDP and environmental degradation in an emerging country. Environ. Sci. Pollut. Res. 2022, 29, 84451–84459. [Google Scholar] [CrossRef] [PubMed]
- Maiti, M. Does development in venture capital investments influence green growth? Technol. Forecast. Soc. Chang. 2022, 182, 121878. [Google Scholar] [CrossRef]
- Antarciuc, E.; Zhu, Q.; Almarri, J.; Zhao, S.; Feng, Y.; Agyemang, M. Sustainable venture capital investments: An enabler investigation. Sustainability 2018, 10, 1204. [Google Scholar] [CrossRef]
- Lin, L. Venture capital in the rise of sustainable investment. Eur. Bus. Organ. Law Rev. 2022, 23, 187–216. [Google Scholar] [CrossRef]
- Randjelovic, J.; O’Rourke, A.R.; Orsato, R.J. The emergence of green venture capital. Bus. Strategy Environ. 2003, 12, 240–253. [Google Scholar] [CrossRef]
- Gompers, P.; Lerner, J. Equity financing. In Handbook of Entrepreneurship Research: An Interdisciplinary Survey and Introduction; Springer: New York, NY, USA, 2010; pp. 183–214. [Google Scholar]
- Dong, W.; Li, Y.; Lv, X.; Yu, C. How does venture capital spur the innovation of environmentally friendly firms? Evidence from China. Energy Econ. 2021, 103, 105582. [Google Scholar] [CrossRef]
- Polzin, F.; Sanders, M. How to finance the transition to low-carbon energy in Europe? Energy Policy 2020, 147, 111863. [Google Scholar] [CrossRef]
- Polzin, F.; Sanders, M.; Serebriakova, A. Finance in global transition scenarios: Mapping investments by technology into finance needs by source. Energy Econ. 2021, 99, 105281. [Google Scholar] [CrossRef]
- Bellucci, A.; Fatica, S.; Georgakaki, A.; Gucciardi, G.; Letout, S.; Pasimeni, F. Venture capital financing and green patenting. Ind. Innov. 2023, 30, 947–983. [Google Scholar] [CrossRef]
- Mrkajic, B.; Murtinu, S.; Scalera, V.G. Is green the new gold? Venture capital and green entrepreneurship. Small Bus. Econ. 2019, 52, 929–950. [Google Scholar] [CrossRef]
- Kim, M.H.; Adilov, N. The lesser of two evils: An empirical investigation of foreign direct investment-pollution tradeoff. Appl. Econ. 2012, 44, 2597–2606. [Google Scholar] [CrossRef]
- Gaddy, B.E.; Sivaram, V.; Jones, T.B.; Wayman, L. Venture capital and cleantech: The wrong model for energy innovation. Energy Policy 2017, 102, 385–395. [Google Scholar] [CrossRef]
- Croce, A.; Bianchini, R. The role of environmental policies in promoting venture capital investments in cleantech companies. Rev. Corp. Financ. 2022, 2, 587–616. [Google Scholar]
- García-Sánchez, I.M.; Rodríguez-Ariza, L.; Aibar-Guzmán, B.; Aibar-Guzmán, C. Do institutional investors drive corporate transparency regarding business contribution to the sustainable development goals? Bus. Strategy Environ. 2020, 29, 2019–2036. [Google Scholar] [CrossRef]
- Hegeman, P.D.; Sørheim, R. Why do they do it? Corporate venture capital investments in cleantech startups. J. Clean. Prod. 2021, 294, 126315. [Google Scholar] [CrossRef]
- Parry, I. What Is Carbon Taxation? Financ. Dev. 2019, 8, 54–55. Available online: https://www.imf.org/-/media/Files/Publications/Fandd/Article/2019/June/what-is-carbon-taxation-basics.ashx (accessed on 18 October 2023).
- Wang, F.; Cai, W.; Elahi, E. Do green finance and environmental regulation play a crucial role in the reduction of CO2 emissions? An empirical analysis of 126 Chinese cities. Sustainability 2021, 13, 13014. [Google Scholar] [CrossRef]
- Bendig, D.; Kleine-Stegemann, L.; Schulz, C.; Eckardt, D. The effect of green startup investments on incumbents’ green innovation output. J. Clean. Prod. 2022, 376, 134316. [Google Scholar] [CrossRef]
- Cohen, W.M.; Levinthal, D.A. Absorptive capacity: A new perspective on learning and innovation. Adm. Sci. Q. 1990, 35, 128–152. [Google Scholar] [CrossRef]
- Zhang, C.; Zhou, X. Does foreign direct investment lead to lower CO2 emissions? Evidence from a regional analysis in China. Renew. Sustain. Energy Rev. 2016, 58, 943–951. [Google Scholar] [CrossRef]
- Li, H.; Mu, H.; Zhang, M.; Gui, S. Analysis of regional difference on impact factors of China’s energy–Related CO2 emissions. Energy 2012, 39, 319–326. [Google Scholar] [CrossRef]
- Dhayal, K.S.; Giri, A.K.; Esposito, L.; Agarwal, S. Venture capital investments as the catalyst for sustainable development: Evidence, current status, and future research agenda. J. Clean. Prod. 2023, 396, 136489. [Google Scholar] [CrossRef]
- Crippa, M.; Guizzardi, D.; Banja, M.; Solazzo, E.; Muntean, M.; Schaaf, E.; Pagani, F.; Monforti-Ferrario, F.; Olivier, J.; Quadrelli, R.; et al. CO2 Emissions of All World Countries—JRC/IEA/PBL 2022 Report; EUR 31182 EN.; JRC130363; Publications Office of the European Union: Luxembourg, 2022; Available online: https://edgar.jrc.ec.europa.eu/report_2022 (accessed on 10 September 2023). [CrossRef]
- Ritchie, H.; Roser, M.; Rosado, P. Energy Production and Consumption. Our World in Data. 2022. Available online: https://ourworldindata.org/energy-production-consumption (accessed on 18 October 2023).
- Wei, T. What STIRPAT tells about effects of population and affluence on the environment? Ecol. Econ. 2011, 72, 70–74. [Google Scholar] [CrossRef]
- Khan, A.Q.; Saleem, N.; Fatima, S.T. Financial development, income inequality, and CO2 emissions in Asian countries using STIRPAT model. Environ. Sci. Pollut. Res. 2018, 25, 6308–6319. [Google Scholar] [CrossRef]
- Li, L.; Hong, X.; Peng, K. A spatial panel analysis of carbon emissions, economic growth and high-technology industry in China. Struct. Chang. Econ. Dyn. 2019, 49, 83–92. [Google Scholar] [CrossRef]
- Akalpler, E.; Hove, S. Carbon emissions, energy use, real GDP per capita and trade matrix in the Indian economy-an ARDL approach. Energy 2019, 168, 1081–1093. [Google Scholar] [CrossRef]
- Yang, B.; Jahanger, A.; Ali, M. Remittance inflows affect the ecological footprint in BICS countries: Do technological innovation and financial development matter? Environ. Sci. Pollut. Res. 2021, 28, 23482–23500. [Google Scholar] [CrossRef]
- Vélez-Henao, J.A.; Vivanco, D.F.; Hernández-Riveros, J.A. Technological change and the rebound effect in the STIRPAT model: A critical view. Energy Policy 2019, 129, 1372–1381. [Google Scholar] [CrossRef]
- Cohn, J.B.; Liu, Z.; Wardlaw, M.I. Count (and count-like) data in finance. J. Financ. Econ. 2022, 146, 529–551. [Google Scholar] [CrossRef]
- OECD. Green Growth Indicators 2017; OECD Publishing: Paris, France, 2017. [Google Scholar] [CrossRef]
- Gopinath, G. The Great Lockdown: Worst Economic Downturn since the Great Depression. IMFBlog—Insights Anal. Econ. Financ. 2020. Available online: https://www.imf.org/en/News/Articles/2020/03/23/pr2098-imf-managing-director-statement-following-a-g20-ministerial-call-on-the-coronavirus-emergency (accessed on 12 July 2023).
- Vidya, C.T.; Prabheesh, K.P. Implications of COVID-19 pandemic on the global trade networks. Emerg. Mark. Financ. Trade 2020, 56, 2408–2421. [Google Scholar] [CrossRef]
- Gompers, P.; Gornall, W.; Kaplan, S.N.; Strebulaev, I.A. Venture capitalists and COVID-19. J. Financ. Quant. Anal. 2021, 56, 2474–2499. [Google Scholar] [CrossRef]
- Gompers, P.A.; Kaplan, S.N.; Mukharlyamov, V. Private equity and COVID-19. J. Financ. Intermediation 2022, 51, 100968. [Google Scholar] [CrossRef]
- Aktar, M.A.; Alam, M.M.; Al-Amin, A.Q. Global economic crisis, energy use, CO2 emissions, and policy roadmap amid COVID-19. Sustain. Prod. Consum. 2021, 26, 770–781. [Google Scholar] [CrossRef]

| Variable | Unit | Obs. | Mean | SD | Min | Max | Median |
|---|---|---|---|---|---|---|---|
| EnvInt | ln(tons per USD) | 1437 | 0.415 | 0.250 | 0.050 | 1.486 | 0.337 |
| VC investments | ln(K USD) | 1452 | 6.978 | 5.561 | 0.000 | 21.081 | 8.105 |
| VC transactions | K units | 1452 | 0.187 | 1.752 | 0.000 | 32.904 | 0.003 |
| GDP | ln(USD) | 1437 | 25.103 | 1.881 | 20.567 | 30.615 | 24.821 |
| Population | ln(units) | 1452 | 16.461 | 1.581 | 12.553 | 21.091 | 16.380 |
| Tech | ln(USD/tons) | 1323 | 8.221 | 0.686 | 4.743 | 11.738 | 8.282 |
| FDI | ln(USD) | 1327 | 21.416 | 2.099 | 10.821 | 26.857 | 21.335 |
| Urb | % | 1452 | 61.035 | 21.980 | 10.915 | 100 | 62.894 |
| PCO2Index | ln(index (2000 = 100)) | 1223 | 4.944 | 0.479 | 3.803 | 6.519 | 4.917 |
| Dependent Variable | Environmental Intensity | |||
|---|---|---|---|---|
| Model Specification | (1) | (2) | (3) | (4) |
| VC investments | −0.0013 ** | −0.0013 ** | ||
| (0.0006) | (0.006) | |||
| VC transactions | −0.0052 *** | −0.0055 *** | ||
| (0.0016) | (0.0017) | |||
| GDP | −0.1834 *** | −0.3783 *** | −0.1750 *** | −0.3577 *** |
| (0.0677) | (0.1151) | (0.0662) | (0.1142) | |
| Population | 0.3323 *** | 0.5791 *** | 0.3495 *** | 0.6155 *** |
| (0.1064) | (0.1839) | (0.1108) | (0.1920) | |
| Tech | −0.1356 * | −0.2599 ** | −0.1392 * | −0.2649 ** |
| (0.0774) | (0.1285) | (0.0785) | (0.1317) | |
| FDI | 0.0024 | 0.0020 | 0.0025 | 0.0018 |
| (0.0016) | (0.0033) | (0.0017) | (0.0033) | |
| Urb | 0.0067 | 0.0196 *** | 0.0065 | 0.0155 *** |
| (0.0047) | (0.0068) | (0.0047) | (0.0069) | |
| Year | −0.0031 | −0.0135 *** | ||
| (0.0020) | (0.0030) | |||
| Observations | 1215 | 1215 | 1215 | 1215 |
| Number of Countries | 131 | 131 | 131 | 131 |
| Adj. R-squared | 0.6367 | - | 0.6352 | - |
| Pseudo R-squared | - | 0.0960 | - | 0.0959 |
| Country fixed effect | Yes | Yes | Yes | Yes |
| Year fixed effect | Yes | Yes | No | No |
| Dependent Variable | Environmental Intensity | |||
|---|---|---|---|---|
| Model Specification | (1) | (2) | (3) | (4) |
| VC investments | −0.0010 ** | −0.0014 *** | ||
| (0.0005) | (0.0005) | |||
| VC transactions | −0.0065 *** | −0.0077 *** | ||
| (0.0017) | (0.0022) | |||
| GDP | −0.1224 ** | −0.2467 ** | −0.0995 * | −0.1970 * |
| (0.0566) | (0.1030) | (0.0550) | (0.1019) | |
| Population | 0.3682 *** | 0.7000 *** | 0.3859 *** | 0.7359 *** |
| (0.1000) | (0.1934) | (0.1042) | (0.2031) | |
| Tech | −0.1015 * | −0.2129 * | −0.1032 * | −0.2125 * |
| (0.0603) | (0.1091) | (0.0618) | (0.1119) | |
| FDI | 0.0021 | −0.0002 | 0.0022 | 0.0007 |
| (0.0024) | (0.0058) | (0.0024) | (0.0057) | |
| Urb | 0.0045 | 0.0129 * | 0.0039 | 0.0110 |
| (0.0043) | (0.0075) | (0.0043) | (0.0076) | |
| Year | −0.0053 ** | −0.0167 *** | ||
| (0.0020) | (0.0036) | |||
| Observations | 1215 | 1215 | 1215 | 1215 |
| Number of Countries | 131 | 131 | 131 | 131 |
| Adj. R-squared | 0.4089 | - | 0.3805 | - |
| Pseudo R-squared | - | 0.0938 | - | 0.0936 |
| Country fixed effect | Yes | Yes | Yes | Yes |
| Year fixed effect | Yes | Yes | No | No |
| Dependent Variable | Production-Based CO2 Intensity | |||
|---|---|---|---|---|
| Model Specification | (1) | (2) | (3) | (4) |
| VC investments | −0.0023 * | −0.0024 * | ||
| (0.0014) | (0.0014) | |||
| VC transactions | −0.0008 *** | −0.0010 *** | ||
| (0.0002) | (0.0003) | |||
| GDP | 0.4805 *** | 0.0895 *** | 0.5266 *** | 0.0991 *** |
| (0.0366) | (0.0262) | (0.0356) | (0.0263) | |
| Population | 0.7073 *** | 0.1350 *** | 0.7889 *** | 0.1522 *** |
| (0.1152) | (0.0311) | (0.1149) | (0.0339) | |
| Tech | −0.3623 * | −0.0678 ** | −0.3778 *** | −0.0705 ** |
| (0.0268) | (0.0330) | (0.0268) | (0.0343) | |
| FDI | −0.0025 | −0.0006 | −0.0022 | −0.0006 |
| (0.0051) | (0.0009) | (0.0051) | (0.0010) | |
| Urb | 0.0238 *** | 0.0045 *** | 0.0242 *** | 0.0045 |
| (0.0045) | (0.0013) | (0.0045) | (0.0014) | |
| Year | −0.0154 *** | −0.0033 *** | ||
| (0.0022) | (0.0005) | |||
| Observations | 1059 | 1059 | 1059 | 1059 |
| Number of Countries | 116 | 116 | 116 | 116 |
| Adj. R-squared | 0.3286 | - | 0.3126 | - |
| Pseudo R-squared | - | 0.0117 | - | 0.0117 |
| Country fixed effect | Yes | Yes | Yes | Yes |
| Year fixed effect | Yes | Yes | No | No |
| Dependent Variable | Environmental Intensity | |||
|---|---|---|---|---|
| Model Specification | (1) | (2) | (3) | (4) |
| VC investments | −0.0010 * | −0.0012 ** | ||
| (0.0005) | (0.0005) | |||
| VC transactions | −0.0072 *** | −0.0078 *** | ||
| (0.0018) | (0.0021) | |||
| GDP | −0.1291 ** | −0.2590 ** | −0.1199 ** | −0.2401 ** |
| (0.0570) | (0.1030) | (0.0561) | (0.1025) | |
| Population | 0.3707 *** | 0.6881 *** | 0.3666 *** | 0.6859 *** |
| (0.0996) | (0.1955) | (0.1000) | (0.1973) | |
| Tech | −0.0952 | −0.2047 * | −0.0920 | −0.1953 * |
| (0.0580) | (0.1080) | (0.0568) | (0.1063) | |
| FDI | 0.0012 | −0.0013 | 0.0009 | −0.0011 |
| (0.0024) | (0.0064) | (0.0024) | (0.0062) | |
| Urb | 0.0050 | 0.0140 * | 0.0047 | 0.0133 * |
| (0.0042) | (0.0076) | (0.0042) | (0.0076) | |
| Year | −0.0038 * | −0.0129 *** | ||
| (0.0022) | (0.0039) | |||
| Observations | 1087 | 1087 | 1087 | 1087 |
| Number of Countries | 131 | 131 | 131 | 131 |
| Adj. R-squared | 0.3711 | - | 0.3508 | - |
| Pseudo R-squared | - | 0.0928 | - | 0.0927 |
| Country fixed effect | Yes | Yes | Yes | Yes |
| Year fixed effect | Yes | Yes | No | No |
| Dependent Variable | Environmental Intensity | |||
|---|---|---|---|---|
| Model Specification | Asia-Pacific | Europe | Americas | Africa |
| VC investments | −0.0017 * | −0.0020 | 0.0002 | −0.0009 |
| (0.0009) | (0.0013) | (0.0007) | (0.0007) | |
| GDP | 0.0154 | 0.0140 | −0.1117 *** | 0.0225 |
| (0.0600) | (0.1259) | (0.0233) | (0.0364) | |
| Population | 0.0164 | 0.4618 ** | 0.1500 | 0.2416 |
| (0.0918) | (0.2076) | (0.4184) | (0.1900) | |
| Tech | −0.3154 *** | −0.3012 ** | −0.0101 | −0.1602 *** |
| (0.0586) | (0.1227) | (0.0070) | (0.0279) | |
| FDI | 0.0118 * | 0.0023 | −0.0022 | −0.0062 * |
| (0.0066) | (0.0018) | (0.0053) | (0.0035) | |
| Urb | −0.0089 * | 0.0049 | 0.0094 ** | 0.0079 * |
| (0.0047) | (0.0076) | (0.0040) | (0.0044) | |
| Observations | 337 | 318 | 197 | 286 |
| Number of Countries | 37 | 37 | 22 | 34 |
| Adj. R-squared | 0.4665 | 0.6563 | 0.4533 | 0.2811 |
| Country fixed effect | Yes | Yes | Yes | Yes |
| Year fixed effect | Yes | Yes | Yes | Yes |
| Dependent Variable | Environmental Intensity | |
|---|---|---|
| Model Specification | Advanced Economies | Developing Economies |
| VC investments | −0.0010 | −0.0010 * |
| (0.0015) | (0.0006) | |
| GDP | −0.1095 * | −0.1323 ** |
| (0.0543) | (0.0623) | |
| Population | 0.2353 * | 0.3700 *** |
| (0.1238) | (0.1225) | |
| Tech | −0.0950 | −0.1010 |
| (0.0631) | (0.0637) | |
| FDI | −0.0001 | 0.0031 |
| (0.0011) | (0.0036) | |
| Urb | −0.0004 | 0.0046 |
| (0.0039) | (0.0047) | |
| Observations | 300 | 848 |
| Number of Countries | 35 | 96 |
| Adj. R-squared | 0.7053 | 0.3619 |
| Country fixed effect | Yes | Yes |
| Year fixed effect | Yes | Yes |
| Dependent Variable | Environmental Intensity | |||
|---|---|---|---|---|
| Model Specification | (1) | (2) | (3) | (4) |
| VC investments | −0.0009 | −0.0013 ** | −0.0009 | −0.0013 ** |
| (0.0008) | (0.0006) | (0.0009) | (0.0006) | |
| GDP | −0.1984 * | −0.1064 * | −0.1990 * | −0.1061 * |
| (0.0962) | (0.0593) | (0.0974) | (0.0592) | |
| Population | 0.6930 *** | 0.3184 *** | 0.6881 *** | 0.3182 *** |
| (0.2097) | (0.1073) | (0.2080) | (0.1070) | |
| Tech | −0.1482 * | −0.0996 | −0.1521 * | −0.0995 |
| (0.0787) | (0.0607) | (0.0802) | (0.0605) | |
| FDI | 0.0139 | 0.0011 | 0.0146 | 0.0011 |
| (0.0111) | (0.0024) | (0.0115) | (0.0024) | |
| Urb | −0.0039 | 0.0057 | −0.0037 | 0.0057 |
| (0.0056) | (0.0049) | (0.0055) | (0.0049) | |
| Observations | 1087 | 1087 | 1087 | 1087 |
| Adj. R-squared | 0.5040 | 0.3966 | 0.5087 | 0.3968 |
| EnvTechPerc | 1 | 0 | - | - |
| EnvTechRel | - | - | 1 | 0 |
| Country fixed effect | Yes | Yes | Yes | Yes |
| Year fixed effect | Yes | Yes | Yes | Yes |
Disclaimer/Publisher’s Note: The statements, opinions and data contained in all publications are solely those of the individual author(s) and contributor(s) and not of MDPI and/or the editor(s). MDPI and/or the editor(s) disclaim responsibility for any injury to people or property resulting from any ideas, methods, instructions or products referred to in the content. |
© 2023 by the authors. Licensee MDPI, Basel, Switzerland. This article is an open access article distributed under the terms and conditions of the Creative Commons Attribution (CC BY) license (https://creativecommons.org/licenses/by/4.0/).
Share and Cite
Cappellari, T.; Gucciardi, G. Equity Investments and Environmental Pressure: The Role of Venture Capital. Sustainability 2024, 16, 241. https://doi.org/10.3390/su16010241
Cappellari T, Gucciardi G. Equity Investments and Environmental Pressure: The Role of Venture Capital. Sustainability. 2024; 16(1):241. https://doi.org/10.3390/su16010241
Chicago/Turabian StyleCappellari, Tommaso, and Gianluca Gucciardi. 2024. "Equity Investments and Environmental Pressure: The Role of Venture Capital" Sustainability 16, no. 1: 241. https://doi.org/10.3390/su16010241
APA StyleCappellari, T., & Gucciardi, G. (2024). Equity Investments and Environmental Pressure: The Role of Venture Capital. Sustainability, 16(1), 241. https://doi.org/10.3390/su16010241

