Next Article in Journal
Study on Height Development Characteristics of Water-Conducting Fracture Zone in Fully Mechanized Mining of Shallow Thick Coal Seam under Water
Previous Article in Journal
Optimal Charging Pile Configuration and Charging Scheduling for Electric Bus Routes Considering the Impact of Ambient Temperature on Charging Power
 
 
Font Type:
Arial Georgia Verdana
Font Size:
Aa Aa Aa
Line Spacing:
Column Width:
Background:
Article

Does Cultural Agglomeration Affect Green Total Factor Productivity? Evidence from 279 Cities in China

School of Finance and Economics, Jiangsu University, Zhenjiang 212013, China
*
Author to whom correspondence should be addressed.
Sustainability 2023, 15(9), 7373; https://doi.org/10.3390/su15097373
Submission received: 17 March 2023 / Revised: 22 April 2023 / Accepted: 26 April 2023 / Published: 28 April 2023

Abstract

This study investigates the function and contribution of the cultural industries’ agglomeration to green economic growth. Based on the quasi-natural experiment of the “provincial cultural industry park” selection policy, we use the panel data of 279 prefecture-level cities from 2004 to 2019, and the multi-period difference-in-differences method, to empirically test the impact of cultural industry parks on green economic growth. The basic results support that urban GTFP increases by about 1.5% on average after constructing a provincial cultural industry park. The regional heterogeneity test revealed that the green economic growth effect is more robust in the eastern and human geography regions of northeast cities. Further research on the influencing mechanisms found that the regional economic development level and economic openness, cultural education level, upgrade industry structure, and digital technology development level support the driving effect of cultural industry parks on the development of the green economy. The research in this article gives empirical support to the driving effect of cultural industry parks on regional green economic growth. It proposes that various regions strengthen financial support, improve cultural and educational levels, and develop digital technology to promote green economic growth.

1. Introduction

With green technology serving as the tipping point, the concept of the green economy seeks to reorient economic development with the ultimate objectives of increasing employment, eradicating poverty, and boosting competitiveness. Thus, the green economy is a new market-oriented economic structure based on the old industrial economy, and evolves intending to achieve economic and environmental harmony. The primary objective of green economic growth is the coexistence of economic, social, and environmental sustainability. It is a new development paradigm that stresses the sustainable use of natural resources and views the ecological environment as a source of intrinsic productivity. It is a development state created and exhibited by the industrial economy to address environmental and health protection demands.
Recent decades have seen a surge in interest in cultural industries as a source of green economic growth. The innovation drive has created new opportunities for global economic recovery, accelerating industrial transformation and consolidation on a global scale, and reordering the global economy. The cultural industry is one of the most prominent and emerging industries of the 21st century. Cultural industries belong to the operational cultural part of social culture. They are the centralized embodiment of the economic attributes of culture, generally referring to the operational industries engaged in producing cultural products and providing cultural services (the culture industry and cultural sub-industries in this paper are based on the classification in the China Yearbook of Cultural and Related Industries). It has increasingly become an essential tool for restructuring China’s economy and transforming economic growth. By 2022, the value added to China’s cultural industry will reach 2.3235 trillion yuan, accounting for 3.97% of GDP, and the competitiveness of the cultural industry shows a positive correlation with China’s economic growth [1].
Some scholars believe that cultural industry is a typical green economy, which is increasingly showing the unique advantages of the green economy in increasing employment and promoting leapfrogging, and is becoming an essential breakthrough in achieving green economic development [2,3]. As a new engine to realize ecological civilization and the conversion of old and new dynamics, cultural industry is a meaningful way to improve the quality of the regional economy [4].
Several studies have investigated the significance and determinants of a green economy. Although these studies have emphasized the impact variables of the green economy, they have ignored the link between cultural industries and green economic growth.
Cultural industry agglomeration can be understood as a process in which cultural industries are highly concentrated in a specific geographical area, and cultural industries’ capital elements constantly converge in a particular spatial area. The formation and development of cultural industry agglomerations evolved from the division of labor based on the vertical decomposition of the culture value chain. Cultural industry agglomerations can respond flexibly to the high degree of instability in the production and consumption of cultural goods and services. At the same time, production networks and labor markets combine to create a strong network of local relationships. The composition of this relational network includes firms and their interrelationships, as well as various types of facilities and initial social capital, such as schools, research institutions, design centers, etc. These institutions complement or feed the innovative capacity of the production network. The importance of agglomeration economy effects for cultural industry economies can also be understood in terms of sharing (e.g., infrastructure), matching (e.g., specialized input–output relationships, or matching of jobs to employed people), and learning (e.g., information exchange between firms). Cultural industry clustering has successfully resolved the dilemma between the benefits and transaction costs of the division of labor among firms, while providing a relatively efficient division of labor arrangement. This arrangement can better fill the efficiency deficit of different organizational forms of enterprises [5]. The agglomeration of cultural industries can accelerate the development of the regional economy and cultural industries. The agglomeration of cultural industries can contribute to upgrading a city’s industrial structure and economic growth. The agglomeration of cultural industries can increase the innovation capacity of cities and contribute to employment growth as one of the drivers of employment growth [6]. Therefore, governments have created different types of cultural industry clusters to accelerate the development of cultural industries, enhance the agglomeration effect of cultural industries, promote industrial transformation, and stimulate cultural consumption. The core of the research in this paper is to explore whether and how cultural industry clustering affects regional green economic growth.
The state’s cultural policy is an essential factor that facilitates economic success and the improvement of social living standards [7]. In 2010, the Ministry of Culture of the People’s Republic of China implemented the policy “Management of Cultural Industry Parks (for trial implementation)”, to develop cultural industries and enhance the agglomeration effect of cultural industries. A culture industry park can be seen as a park that produces a series of cultural products according to industrial standards. China’s former Ministry of Culture defined a cultural industry park as a specific area with the cultural industry as the leading industry, gathering a certain number of cultural enterprises, possessing a specific industrial scale, and having an independent operation and management organization, providing corresponding infrastructure guarantee and public services for the clustering and development of cultural enterprises and intensive utilization of resources. From 2010 to 2019, 328 provincial-level cultural industry parks were built in 124 cities. This study focuses on the causal effects and intrinsic mechanisms of the Chinese government’s provincial cultural industry park policies on green economic growth.
This paper calculates green total factor productivity (GTFP) from 2004 to 2019 using panel data from 279 prefecture-level cities from 2003 to 2019. Then, we use the multi-period difference-in-differences method to explore the impact of the construction of provincial cultural industry parks on regional green economic development. During our sample period, 120 prefecture-level cities established provincial-level cultural industry parks (as shown in Figure 1 and Figure 2) and suffered from time-inconsistent policy shocks. Notably, 52 cities established more than one provincial-level cultural industry park. The number of provincial cultural industry parks reflects the strength of implementing provincial cultural industry park policies and the level of agglomeration in the region. As the number of provincial cultural industry parks increases in a city, the impact of the policy on green economic growth will also increase.
This study covers the following aspects: 1. We estimate the magnitude and duration of provincial cultural industry parks’ green economy growth-driving effect on the cities in which they are located, using a multi-period difference-in-differences method. The results provide empirical evidence for the impact of cultural industry parks on the green economy. 2. Based on the imbalance of regional development, we verify the regional heterogeneity of green economy growth driven by cultural industry parks and provide suggestions for different regions to implement development strategies according to local conditions. 3. We test the mechanism of regional economic growth driven by provincial cultural industry parks and provide suggestions for developing regional cultural industries. This study also examines the mechanisms by which provincial cultural industry parks drive regional economic growth and suggests developing regional cultural industries.
The rest of the paper is organized as follows. Section 1 is an introduction that introduces the background of the study. Section 2 summarizes the relevant literature and research hypotheses on green total factor productivity and cultural industry parks. Section 3 presents the identification strategy and data description. Section 4 reports the preliminary empirical results and the corresponding analysis. Section 5 tests the different effect mechanisms. Section 6 concludes the paper and provides policy implications.

2. Literature Review and Hypotheses

Cultural industries are a typical green economy with low pollution and low consumption. The culture industry empowers people to take responsibility for their development and promotes innovation and creativity, thereby contributing to inclusive and sustainable development [8]. Recognized as the “sunrise industry of the century” or “golden industry”, the development of cultural industries is considered to contribute to the quality of economic growth and has important developmental implications for the green economy [9]. Whether it is production, distribution, or consumption, each link of resource utilization and processing is a low-pollution and low-consumption industry, highlighting the green dividend of the cultural industry compared to other industries [10]. For the development of the CTI (cultural tourism industry), forest restoration can sequester 150,000 m3 of CO2 per year, which dramatically reduces its carbon emissions per unit of GDP and promotes the development of low-carbon cities. With the development of the CTI and the transformation of the traditional industrial structure, this tertiary industry has gradually emerged and expanded. CTI-related employment has also increased, contributing to poverty eradication and achieving global sustainable development goal [11]. At the same time, government budgetary allocations and socioeconomic status in the entertainment and cultural industries are crucial to ensure environmental sustainability, as they contribute to lower carbon emission levels. Therefore, regions are increasingly striving to demonstrate the potential of cultural and creative industries (CCI) to seek new sources of innovation and competitive advantage and to demonstrate sustainable and inclusive growth pathways driven by creativity [12].
Scott [13] argues that cultural industries cluster in cities due to historical and cultural factors, interpersonal relationships, production organization, and institutions, creating agglomeration economies. When industry clustering within an industry reaches a certain level, it can increase the upgrading and sharing of infrastructure, production factors, shared knowledge, and technology. Industrial agglomeration also increases the efficiency of green total factor production within an industrial agglomeration. For example, both specialization and diversification of production services significantly increase GTFP in Yellow River cities, and the promotion of specialization is stronger than diversification [14]. Green industrial park policies can increase urban GTFP by promoting urban green innovation and reducing urban energy intensity [15]. Spatially organizing cultural products in industrial zones can lead to endogenous local economic growth [16]. The agglomeration of cultural industries has a positive effect on economic development. Over the last twenty years, cities around the world have seen the multiplication of cultural district projects, which aim to concentrate cultural organizations in a circumscribed urban space, or to label a neighborhood’s cultural scene [17]. The agglomeration of cultural industries can improve the quality of the regional environment by enhancing inter-firm communication and cooperation, deepening inter- and intra-industry division of labor, creating ecological production cycles, stimulating innovation, and bringing about knowledge spillover effects [10]. The evolutionary typology of cultural agglomeration enhances long-term, realistic goal-setting for urban development [18]. In the last two decades, cultural districts have become popular, to encourage urban revitalization [19]. Cultural and creative industrial parks are becoming a popular industry to promote industrial restructuring and improve the quality of urban space [20]. Based on the above scholars’ findings, we propose Hypothesis 1.
Hypothesis 1: 
Building provincial cultural industry parks can promote green total factor productivity in cities. The more cultural industry parks a city has, the faster the city’s green economy will grow.
Considering the significant differences in economic development levels between different regions in China, as well as different natural resources and cultural endowments, the pulling effect of cultural industries on the green economy may be different. First, China’s agglomeration of cultural industries needs to be more balanced. There are significant differences in the degree of agglomeration and development of cultural industries between inland and coastal regions of China, especially in cultural information transmission services, culturally creative and design services, cultural industry manufacturing, and wholesale and retail industries [21]. Due to the economic development and advanced institutional environment in China’s eastern coastal regions, eastern cities are more likely to attract the accelerated entry of technology, capital, talent, and other elements, and cultural enterprises tend to cluster in the eastern regions. Cultural industries’ clustering and synergistic effects further promote regional economic development, forming a virtuous cycle [22]. Fang [23] found significant differences in the efficiency of cultural industries across regions. The efficiency was generally higher in the eastern region and lower in the central and western regions. The cultural industry operated more efficiently in southern cities than in northern cities and more efficiently in coastal cities than inland cities. Regional differences also emerge in the efficiency of cultural industries in driving green economic development. There is a nonlinear relationship between cultural industry development efficiency and agglomeration, and the efficiency of cultural industry development is much higher in the eastern region than in the central, western, and northeastern regions [24]. The primary manifestation of this is that the eastern region has the most competitiveness in cultural industries, followed by the central, northeastern, and western regions [1]. The factors affecting the level of green economy development have different action ranges in different years. The importance of the same local factors varies across provinces in the same year [25]. Therefore, we propose Hypothesis 2.
Hypothesis 2: 
There is regional heterogeneity in the impact of provincial cultural industry parks on regional green economic growth.
Further analysis of the relationship between the cultural industry and green economic development reveals the role of the cultural industry in green economic development. From a micro-perspective, it is generally studied regarding specific economic, social, resource, and environmental indicators. The cultural industry has a strong correlation effect with upstream and downstream industries. Therefore, after the formation of the agglomeration effect, it can widely attract many industries, such as manufacturing, processing, and high-tech industries, and their supporting service industries related to the cultural industry, to combine organically and form a sizeable industrial agglomeration in the region. Through the mutual integration of different industries and the support of local governments in terms of policies such as investment and construction of infrastructure, improvement of relevant supporting public services, and the introduction of targeted tax incentives, the regional economy can develop healthily, rapidly, and steadily, thus realizing an urbanized economy and promoting continuous and stable growth in the regional economy [5]. For example, in the Central Metropolitan Area (CMA) of Toronto, Canada, regional specialization, human capital, agglomeration economies, and complementarities between firms and industries influence urban competitiveness and economic development [26]. The development of the cultural industry agglomeration phenomenon can effectively reduce the redundancy costs of innovation in this industry, reduce resource consumption due to labor and geographical distance, and influence regional GTFP through technological and human capital spillover effects [27]. Becker argues that the policy of universal higher education implemented in the United States has catalyzed the country’s economic development. The agglomeration of cultural industries facilitates the breakthrough of the finished products of this industry in terms of creativity, which indirectly contributes to the expansion of the scale of cultural industries and the push-up of the development rate. Opening up cultural creativity and ideas can lead to more foreign investment through exchanging information with the outside world.
FDI has a positive long-term impact on total factor productivity [28]. Similarly, in China, where rising labor contributes significantly to GTFP [29], innovative human capital increases green total factor productivity in two ways [30]. First, it promotes technological innovation, which makes technology greener and can save energy and reduce pollution. Digital technologies dismantle the barriers of time and space, bringing innovation activities to different entrepreneurial agents [31]. The level of the digital technology in the surrounding areas has a significant spatial spillover effect on green productivity growth [32]. Therefore, science and technology innovation is essential in promoting green total factor productivity. Second, it can create new production functions that promote green total factor productivity through their spillover effects. Compared to heavy and manufacturing industries, cultural and related industries are typically environmentally friendly and, therefore, have a more ecological civilizational nature to regional economic efficiency. She [33] states that empirically derived industrial policies for low-carbon cities promote green total factor productivity. Liu [34] and Sun [35] studied the effects of energy efficiency and industrial structure on the impact of green total factor productivity. They concluded that industrial structure significantly improves green total factor productivity, and this effect is more pronounced in the eastern region. Technological progress and industrial structure are the key channels through which industrial agglomeration affects pollution emissions. Technological progress plays a more significant role in reducing the emission effect of industrial agglomeration [36]. In summary, Hypothesis 3 is proposed in this paper.
Hypothesis 3: 
Provincial cultural industry park policies promote regional green economic growth by attracting investment, improving cultural education, upgrading industrial structure, and promoting internet development (Figure 3).

3. Methods and Data

3.1. Econometric Model

A quasi-experimental approach is the most appropriate estimation method to quantify the causal effect on an outcome variable [37]. In order to estimate the impact of provincial cultural industry parks policy measures on green economic growth, we compare the performance of cities that build provincial cultural industry parks pre-and post-treatment relative to the performance of some comparison groups pre-and post-treatment. We examined the green economy measure of green total factor productivity (GTFP).
We conduct a multi-period difference-in-differences (DID) specification to assess the green economy growth due to the building of provincial cultural industry parks, based on the following regression:
G T F P i t = α + β d i d i t + γ X i t + δ i + μ t + ε i t
In Equation (1), GTFPit is a measure of green total factor productivity in city i in year t, δt and µt are vectors of city and year dummy variables that account for city and year fixed-effects, Xit is a set of time-varying, city-level variables, and εit is the error term. The variable of interest is didit, a dummy variable that equals 1 in the years after building provincial cultural industry parks and equals 0 otherwise. Considering the lag effect of the policy, the dummy corresponding to cities that built cultural industry parks in the second half of year t equals 1 starting from year t + 1.
The multi-period difference-in-differences estimation technique allows us to control for omitted variables. We include year-specific dummy variables to control trends that shape green total factor productivity.
For the relation between the number of cultural industry parks and the green economy, we establish the regression:
G T F P i t = α + β d i d _ N o i t + γ X i t + δ i + μ t + ε i t
The variable did_Noit is an indicator for the number of provincial cultural industry parks.

3.2. Variable Selection and Treatment

3.2.1. Dependent Variable

We use green total factor productivity (GTFP) to measure the green economy for each city and year from 2004 to 2019. The concept of GTFP is drawn from the integration of two important development strategies: productivity improvement and environmental protection. Green total factor productivity takes into account the traditional TFP that reflects productivity and considers the environmental emission factors, which can reflect the connotation of green development [38]. We employ the SBM directional distance function (SBM-DDF) and Global Malmquist–Luenberger index to measure GTFP. In 1997, Chung and Fare [39] put forward the directional distance function (DDF), taking bad outputs into account, we define the directional distance function (DDF) on the production possibility set to obtain the efficiency value of each decision-making unit (DMU). Generally, the DDF can be expressed as:
D 0   ( x , y , d , g ) = sup { β : ( y , b ) + β g P ( x ) }
where x is the inputs, y is the desirable output, d is the undesirable output, g is the direction vector of output expansion, and β is a variable used to measure inefficiency. When β = 0, the DMU is efficient. The inputs index includes the capital stock, labor force, and energy consumption. The desirable output is urban real gross domestic product. The undesirable outputs are waste water effluent, SO2 emission, and dust emission. P(x) represents the production possibility set of the environmental technology function. Table 1 shows the specific input–output factors and their descriptive statistics.
The global Malmquist–Luenberger model can be constructed as follows:
G T F P t t + 1 = [ 1 + D t ( x t + 1 , y t + 1 , d t + 1 , g t + 1 ) 1 + D t ( x t , y t , d t , g t ) × 1 + D t + 1 ( x t + 1 , y t + 1 , d t + 1 , g t + 1 ) 1 + D t + 1 ( x t , y t , d t , g t ) ] 1 2
The global Malmquist-Luenberger index can be further decomposed into global efficiency change (GEC) and global technical change (GTC):
G T F P t t + 1 = 1 + D t + 1 ( x t + 1 , y t + 1 , d t + 1 , g t + 1 ) 1 + D t ( x t , y t , d t , g t ) × [ 1 + D t ( x t + 1 , y t + 1 , d t + 1 , g t + 1 ) 1 + D t + 1 ( x t + 1 , y t + 1 , d t + 1 , g t + 1 ) × 1 + D t ( x t , y t , d t , g t ) 1 + D t + 1 ( x t , y t , d t , g t ) ] 1 2 = G E C × G T C
If the GML index is greater than 1, the green economy growth has an increasing effect.

3.2.2. Independent Variable

This paper’s core explanatory variables of interest are measured in two ways. From 2010 to 2019, 120 cities built 239 provincial cultural industry parks. This model contains these 120 cities in the treatment group and 159 cities in the comparison group. The core explanatory variable in Equation (1), didit, is a dummy variable which equals 1 after the provincial cultural industry park is introduced in a region and 0 before the provincial cultural industry park is introduced. Considering the time lag of policy, we denoted those cities that built cultural industry parks in the second half of a year as the following year.
The number of provincial cultural industry parks is another core explanatory variables. did_Noit in Equation (2) is the cumulative number of provincial cultural industry parks selected in year t in a region.

3.2.3. Control Variables

Labor resources (lnhl). Many scholars research labor resources, existing studies have demonstrated that total human capital can improve GTFP, especially tertiary-level educational human capital [40]. We choose the number of employees in a city to estimate labor resources, because urban workers on average receive a high level of education.
Economic development (lngdp). Economic development is an essential variable that affects urban GTFP [41]. We employ per capita GDP to measure urban economic development.
Government intervention (lngov). Local clean energy policies explain the variation in the green economy across cities [42]. An investment in environmental pollution control has multiple effects on the green total factor growth rate, including a threshold effect on the rate of technological progress, a positive effect on resource allocation, and a negative effect on scale efficiency [43]. We use the proportion of government public fiscal expenditure in GDP to estimate government intervention.
Technology innovation (lnRD). It is found that countries that have science-technology-innovation-oriented global competitiveness strategies have sustainable competitiveness and long-run growth [44]. We use the government’s research and development investment to indicate urban technology innovation.
Industry structure (lnsecond). Some scholars have pointed out that upgrading industrial structure has a positive effect on the increase in GTFP. In the evolution of industrial structure from lower to higher levels, the ratio between industries changes, and labor productivity increases simultaneously, driving the increase in GTFP through the change in leading industries. The overall impact is optimistic despite the spatial and temporal differences in the study sample. We use the secondary industry GDP share to indicate industry structure.
Economic openness (lnopen). As a combination of capital and technology, FDI brings advanced production technology and management experience to the host country and generates positive technology spillover to host country enterprises through demonstration, imitation, training, and competition effects, and raises total factor productivity [45]. Many scholars believe economic openness will affect the industrial distribution and environmental cost transfer and impact green GDP [46]. The impact of economic openness on green economic growth has different performances: insignificant (eastern region), positive U-shaped (central region), and negative U-shaped (western region) [46]. We use actual foreign direct investment (FDI) to measure economic openness. Table 2 presents the descriptive statistics of the main variables used.
All data were processed by removing missing samples and taking logarithms, and the descriptive statistics are shown in Table 2.

4. Empirical Results

4.1. Baseline Model Estimations on Urban GTFP

The baseline results of the provincial cultural industry parks’ effects on green total factor productivity are reported in Table 3.
The result in column (1) shows that the estimated coefficient of the provincial cultural industry park is significantly positive at the 5% significance level when the year fixed effects and city fixed effects are not controlled and control variables are not added.
The result in column (2) shows that the estimated coefficient of the provincial cultural industry park is significantly positive at the 10% significance level when the year fixed effects and city fixed effects are controlled and control variables are not added. This result only verifies the correlation between constructing the provincial cultural industry park and GTFP. Column (3) includes numerous time-varying, city-space characteristics: labor resources, economic development, industry structure, government intervention, technology innovation, and economic openness.
Column (3) includes the year fixed effects, the city fixed effects, and control variables. The estimated result of the provincial cultural industry park policy’s effect on GTFP is still accurate. From the results of column (3), the urban GTFP increases by about 1.5% on average after constructing a provincial cultural industry park. This shows that, when other conditions are unchanged, the urban GTFP is higher than cities without provincial cultural industry parks. That is, constructing a provincial cultural industry park has promoted the improvement of urban green total factor productivity, which means that research hypothesis H1 proposed in this paper is verified. The coefficient of labor resources (lnhl) is negative, with a p-value less than 0.01, and is significantly negative at the 1% significance level. This indicates that the continuous expansion of the workforce changes inversely with green total factor productivity, showing a significant negative correlation. The study concluded that in expanding human resources, the damage to the ecological environment is also increasing, and the consumption of resources is also increasing, which is in line with the current stage of urban expansion.
The baseline results of the effect of the number of provincial cultural industry parks on green factor productivity are reported in Table 4. The result in column (2) shows that the estimated coefficient of the number of provincial cultural industry parks is significantly positive at the 5% significance level when the year fixed effects and city fixed effects are controlled. Column (3) includes the year fixed effects, the city fixed effects, and control variables, and the estimated result of the effect of the number of provincial cultural industry parks constructed on green total factor productivity is accurate. From the results of column (3), the urban GTFP increases by about 0.6% on average after constructing a provincial cultural industry park. The main results of this paper show that the establishment of provincial cultural industry parks is helpful for urban green economy growth. At the same time, the number of provincial cultural parks also has a positive impact on the green economy. In the control variables, the coefficient of labor resources (lnhl) is still negative, with a p-value less than 0.01, and is significantly negative at the 1% significance level (Table 3), that means labor resources truly have a negative impact on green total factor productivity.

4.2. Robustness Test

4.2.1. Common Trend Test and Dynamic Test

An essential prerequisite for assessing policy effects using the multi-period difference-in-differences approach is that the outcome variable (dependent variable) needs to meet the assumption of a common trend between the treatment and comparison groups. In the absence of a policy shock, the trend in the outcome variable should be the same for both groups. We examine the dynamics of the relationship between provincial cultural industry parks and green total factor productivity. We do this by including a series of dummy variables in the standard regression to trace out the year-by-year effects of intrastate deregulation on the GTFP coefficient:
G T F P i t = α + β 1 × d i d i t 7 + β 2 × d i d i t 6 + + β 16 × d i d i t 9 + γ X i t + δ i + μ t + ε i t
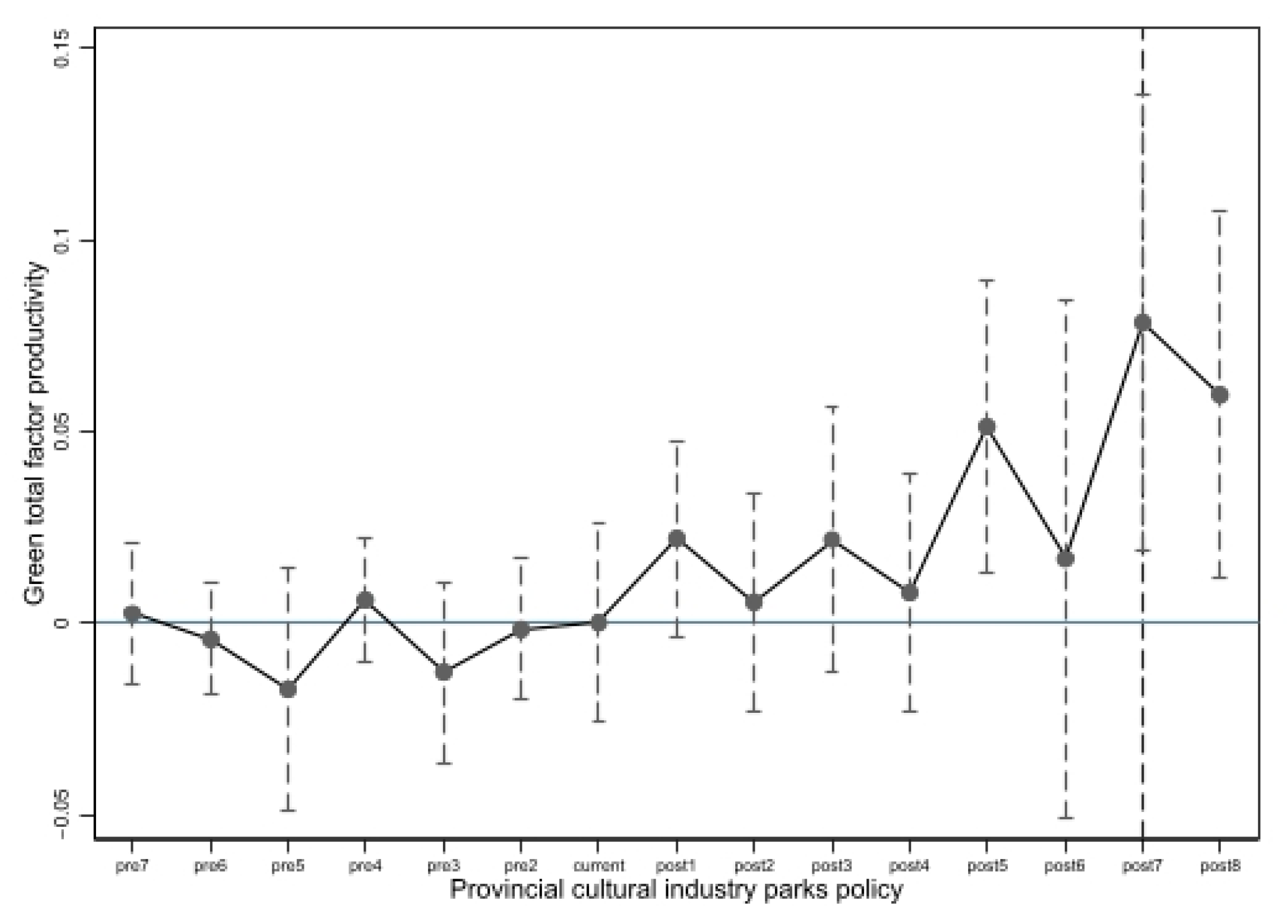
where the deregulation dummy variables, did−n, equal 1 for cities in the nth year before establishing provincial cultural industry parks, while didn equals 1 for cities in the nth year after building provincial cultural industry parks, otherwise, it equals 0. We exclude the year of building of the provincial cultural industry park, thus estimating the dynamic effect of building cultural industry parks on GTFP relative to the year of building. δt and µt are vectors of the city and year dummy variables. At the end points, didit7 equals 1 for all years that are seven or more years before the building of cultural industry parks, while didit9 equals 1 for all years that are nine or more years after establishing provincial cultural industry parks.
As shown in Figure 4, before building provincial cultural industry parks, there was no significant difference in the urban GTFP among all cities. After introducing provincial cultural industry parks, there is an upward trend in urban GTFP. This result suggests no significant difference in the temporal trends of the urban GTFP prior to the construction of provincial cultural industry parks. The common trend hypothesis is satisfied. In addition, the follow-up coefficient of the dynamic test (k > 0) only starts to be statistically significant and positive after the year in which provincial cultural industry parks are constructed. This result suggests that the impact of provincial cultural industry parks on the city’s GTFP only comes into play after building provincial cultural industry parks. There is a time lag and no expected effect. The impact of provincial cultural industry parks on GTFP shows a fluctuating increase after the policy is implemented, reaching a maximum in the fifth year.

4.2.2. Placebo Test

To further check to what extent some omitted variables influence the results, we randomly assign the provincial cultural industry parks and conduct a regression. This random data generation and regression process is repeated 1000 times. The expression of the regression coefficient β is the following:
β = β + θ × cov ( d i d i t , ε i t | H ) var ( d i d i t | H )
where H is the control variables and represents unobserved factors. Since the data is randomly generated, β = 0. If β is not 0, the estimation results of this paper are influenced by unobserved factors. Figure 5 and Figure 6 show the p-value distributions of the regression estimates, which show that the estimated values of 1000 simulated regressions obey a normal distribution, indicating that the regression results of this paper are relatively robust.
The results of the placebo test further confirm that the effect of the provincial cultural industry parks policy and the number of provincial cultural industry parks on GTFP is not significantly driven by unobserved factors.

4.2.3. PSM-DID Test

Since provincial cultural industry parks were established in phases, this paper uses cities that have established provincial cultural industry parks during the sample period as the treatment group. Using Heckman’s propensity score matching method, with put-back sampling according to 1:1 nearest neighbor matching, it matches the treatment group year by year.
As can be seen from Table 5, the %bias of all covariates is less than 10%, and all are significantly smaller than the %bias before matching. After re-matching, the standardized deviation plots of the control variables are shown in Figure 7. Figure 7 shows that the bias of each control variable between the treatment and comparison groups was significantly reduced after matching, and the absolute value of the %bias is significantly lower than before matching. The results show the rationality of using the PSM-DID method.
From Table 6, we can see after matching, that the results in column (1) and column (2) are all significantly positive.

4.3. Heterogeneity Test

Although the results in Table 3 and Table 4 demonstrate that GTFP increased after provincial cultural industry parks were built, the analysis does not show whether the impact varies among different cities. We now address this issue by examining the impact of building provincial cultural industry parks in different regions.

4.3.1. Heterogeneity of Economy Level

According to economic development, we divided the cities into three zones: eastern cities, western cities, and central cities. Eastern cities are the most economically developed in China, followed by central cities, and western cities’ economic development is the lowest. The regression results are reported in Table 7. The results show that the estimated coefficients of provincial cultural industry parks are significantly positive in central cities, but the results of eastern and western cities are not significant. That means that building provincial cultural industry parks has a more substantial effect in central cities than in eastern cities.

4.3.2. Heterogeneity of Chinese Human Geography

The economic level is not the sole measure of cultural development. The development of cultural industries also needs to take complete account of the regional differences and similarities in human elements across the country to promote regional development locally. The comprehensive regionalization of Chinese human geography is based on the rules governing regional differentiation of Chinese physical geographic factors. Based on regional differences and similarities in human factors [23], Chinese human geography is divided into eight regions and 66 sub-regions. The eight human geography regions are (I) Northeast China, (II) North China, (III) East China, (IV) Central China, (V) South China, (VI) Northwest China, (VII) Southwest China, and (VIII) Qinghai and Tibet. The regression results are reported in Table 8.
The regression results are reported in Table 8. The results show that northeast cities’ cultural industry parks coefficients are significantly positive. In other words, the cultural industry parks have a stimulative effect on northeast cities. The northeast region is a significant base of Chinese heavy industries, and there has been severe pollution since industrialization. Resource depletion constrains northeast cities’ economic output. Cultural industry parks inject new vitality into northeast cities. The estimated coefficient in the sample of southwest cities is negative. There are few heavy industries in southwest cities, so industrial pollution is not a problem. Nevertheless, polluting is inevitable when cities establish cultural industry parks. So, cultural industry parks possess an inhibitory effect on GTFP in southwest cities.

5. Further Discussion: Impact Mechanism

Having found that building provincial cultural industry parks increases green economic growth, we explore three potential mechanisms underlying these findings. Provincial cultural industry parks are required to have public service systems that can provide enterprises entering the park with public services, such as business incubation, financing intermediary, technology, information, transaction, and display. Hence, this study argues that provincial cultural industry parks increase urban GTFP by attracting capital, improving educational level, upgrading industry structure, and integrating with the internet.
Based on the above analysis, in order to comprehensively examine the impact mechanism of provincial cultural industry parks on green economic growth, this paper constructs a mediating effect model for testing [47]:
I C i t = α + β d i d i t + γ X i t + δ t + μ i + ε i t
G T F P i t = α + β 1 d i d i t + β 2 d i d i t × I C i t + γ X i t + δ t + μ i + ε i t
where ICit represents the mechanism variable. We apply a derivative process to the relevant variables to maintain consistency in the direction of the variables. If the regression parameter β is significantly positive, it indicates that the provincial cultural industry parks have contributed to the rise in the mechanism variable. If the regression parameter β of the crossover didit × Cit is significantly positive, it indicates that the mechanism variable is an important channel of influence for the provincial cultural industry park policy.

5.1. Evidence on the Finance Channel

Implementation of the provincial cultural industry parks policy relies on government systems and fiscal policies. The government should increase its financial investment in the cultural industry and optimize the capital structure of the cultural industry as a means to promote the upgrading of the cultural industry [48]. Increased financial support is an important pathway to promote the growth of the cultural industries [49]. Cultural and creative industries are mainly financed through equity financing and long-term borrowing. Riding [50] finds that developing bond markets and improving the financing environment can help to promote the growth of cultural industries.
Considering that the credit market and the capital market are two essential components of the financial market, this paper focuses on the two primary levels of credit market development and capital market development to reveal the mechanism of the impact of financial development on the growth of the cultural industry. FDI (foreign direct investment) is the main form of foreign capital investment in China. This paper will focus on the mechanism of the impact of FDI development on the growth of the cultural industry.
We use RMB loans of financial institutions and actual foreign direct investment to measure the financial development. The above two variables are involved as intervening variables, and regression results are reported in Table 9. The results show that the coefficient of finance is significantly positive in column (1), indicating that provincial cultural industry parks significantly improve local finance development. The estimated coefficient of the cultural industry cluster is significantly positive in column (2). The estimated coefficient of did × IC(finance) is significantly positive, indicating an intervening solid variable effect. The cultural industry cluster can improve the finance development to promote the urban GTFP. In column (3), the estimated coefficient of the cultural industry cluster is significantly positive, indicating that provincial cultural industry parks have significantly attracted more FDI. The provincial cultural industry park policy’s estimated coefficient in column (4) is significantly negative relative to the baseline results. In contrast, the did × IC(economy openness) coefficient is positive at the significance level of 5%, which means that the actual FDI (foreign direct investment) has an intervening solid variable effect. Economic openness is the channel of provincial cultural industry parks affecting urban GTFP.

5.2. Evidence on the Education Channel

Cultural and creative industries tend to cluster in large cities due to factors such as technological innovation, openness, and tolerance of cultural diversity [51]. Veselá [52] found that greater educational reform promotes the growth of cultural industries. The cultural industry is unusual from the point of view of labor supply, in that it is an industry based on cultural resources. To develop long term and be recognized by consumers and the market, cultural industries must have a unique and rich cultural connotation to support practicality and aesthetics. The cultural industries require a high level of quality for the workers themselves. From the point of view of consumer demand, people’s aesthetic ability gradually increases with their level of education, and there will be greater demand for cultural products. So we suppose the cultural industry wants to develop long term and be recognized by consumers and the market. In that case, it must have a unique and rich cultural connotation as a support and be practical and aesthetic. Increased decentralization of education influences regional development through local innovation and increased creativity [53]. So improving cultural accomplishment and education is a requirement for cultural industry practitioners.
Table 10 depicts estimation coefficients for regressions that examine whether cultural and education levels can help cultural industry parks improve the green economy. From column (1) and column (3), we can see that the estimation coefficients of cultural industry parks are positive. That means cultural industry parks promote upgrading industry structure and internet enterprise. In columns (2) and (4), the cross-terms are significantly positive, so the education level is an effective channel for provincial cultural industry parks to increase GTFP.

5.3. Evidence on the Industrial Structure

A rational and advanced industrial structure is an essential path for culture development to enhance the efficiency level of the green economy. Industrial structural evolution is a process of orderly transformation and technological upgrading of the dominant industrial sectors of an economy, which can drive the flow of input factors from sectors with low productivity growth rates to sectors with higher productivity growth rates, thus bringing a “structural dividend” [54]. The main objective of industrial restructuring is to create a rational industrial structure so that resources can be fully and effectively utilized. Furthermore, while driven by technological progress, the best economic benefits can be obtained at lower environmental costs and factor inputs [55]. Promoting the development of industrial structures and the production of green products are two excellent ways to meet consumer demand preferences and achieve green production and high value-added products that contribute to the sustainable development of the economy and the improvement of the ecological environment. We choose tertiary industry share to estimate whether industrial structure affects green economic growth.
Table 11 shows the mediating effect of industry structure. To verify this effect mechanism, we investigated the effects of the provincial cultural industry park policy on industry structure. The results show that provincial cultural industry parks’ coefficients in column (1) are positive at the significance level of 1%, indicating that the policy has significantly increased GTFP. This result indicates that the cultural industry has played an active role in promoting urban green economic growth.

5.4. Evidence on the Digital Technology Channel

The cultural industry has entered a new stage of development, with digitization and networking as the precursors. The rapid changes in digital technology have affected the production, distribution, exchange, and consumption of cultural products. As a result of the deep integration of digital technology with the cultural industry, a variety of new models and new business models have emerged. “Internet Plus” is increasingly becoming a bright spot and new growth point for the development of the cultural industry, providing new momentum for the sustainable development of the cultural industry. The growth rate of the cultural information transmission service industry, which is most closely linked to digital technology, ranked first among the top ten industries in the cultural industry in the past two years, with a growth rate of 30.3% in 2016 and 34.6% in 2017, with a turnover of RMB 799 billion in 2017. “Internet Plus” provides a new model for developing the cultural industry. The digital technology has created a broad trading platform and convenient terminals for both supply and demand, which has promoted the development of cultural productivity and made the production of cultural products and services more and more popular and accessible to the masses. The “computer + human brain” can trigger unlimited creative possibilities, significantly improving convenience and reducing the cost of cultural supply and injecting fresh blood into the transformation and upgrading of the cultural industry. We introduce the number of internet information and software service industry practitioners to measure the internet industry development.
Table 12 shows the mediating effect of internet development on the relationship between cultural industry parks and green economic growth. The regression result shows that the provincial cultural industry parks’ coefficients in column (1) are positive at the significance level of 1%, indicating that the policy has significantly increased GTFP.

6. Conclusions and Policy Implication

The provincial cultural industry policy promotes the development of the cultural industry and the agglomeration effect of cultural industries in China. While improving the development of cultural industry in cities, this policy has a positive effect on developing a green economy and driving the urban GTFP to increase. Based on the panel data of 279 prefecture-level cities in China during the period 2004–2019, this paper estimates the driving effect of provincial cultural industry parks on regional green economic growth, using the multi-period difference-in-differences method. We drew three main conclusions. Establishing provincial cultural industry parks drives the green total factor productivity in their cities, and the more the number of provincial cultural industry parks, the stronger the driving effect on the green economy. There is pronounced regional heterogeneity in the pulling effect of cultural industry parks on developing the local green economy. Among the three major economic zones as the basis for division, the central region’s provincial cultural industry parks have the most significant driving effect on the green economy. Based on the comprehensive human geography zoning, the provincial cultural industry park in the northeast human geography region has the most significant driving effect on the green economy. After analyzing the influence mechanism, it is found that the development of the green economy mainly depends on the degree of local financial development and economic openness, the level of culture and education, and the industrial structure. In addition, a series of robustness tests are conducted to show the stability and reliability of the measurement results.
Furthermore, we adopt different methods to test the robustness of the basic results. Firstly, we employ a common trend test and dynamic test to meet the assumption of a common trend between the treatment and comparison groups. Secondly, we adopt the placebo test to further check to what extent some omitted variables influence the results. Thirdly, we use Heckman’s propensity score matching method with put-back sampling. All of the tests show that the basic results are extremely robust. In heterogeneity analysis, the provincial cultural industry policy plays a more prominent role in central and northeast cities.
This study has practical implications for China’s transition to green development. First, this paper investigates the mechanism of the influence of cultural industry agglomeration as a core variable on the efficiency of a green economy. Our research has significant application value for experts and scholars to scientifically judge the efficiency of urban green development and its influencing factors. The study’s conclusion shows that the construction of provincial cultural industry parks can significantly promote the improvement of urban GTFP. Moreover, the effect is more evident as the construction of provincial cultural industry parks increases. The results of this study suggest that cities that emphasize cultural industries will achieve faster and better transformation and upgrading of their green economies. Therefore, governments can extend these experiences to more countries and regions to develop cultural industries and promote green development. Second, this study can better understand the characteristics of the green economy under different spatial and temporal regions in China. This study provides an essential reference value and significance for reasonably assessing the effect of cultural industry agglomeration development to enhance the green economy, for the government to allocate the industrial structure reasonably. The results of our study show that the green effect of building provincial cultural industry parks is better in central and northeastern cities. This result suggests that the policy can solve the problems of resource-poor and economically backward regions. Therefore, the government should accelerate implementing and promoting provincial cultural industry park policies in economically backward regions. Thus, it can realize the spillover effect and drive the development of a green economy in the region. Third, a green economy implies a positive economic and ecological interaction. Developing a green economy includes the participation of government, enterprises, and social organizations and is also closely related to the participation of the public and the internet. They can all benefit from the cultural industry agglomeration and promote the development of all green factors in the city. This paper finds that industrial structure upgrading, cultural education, investment, and digital technology development are channels for provincial cultural industry parks to influence green development. The government should appropriately increase financial support for cultural industries in policy formulation, to encourage external investment in developing cultural industry parks and increase employment opportunities for cultural industry employees to stimulate their creative potential. Meanwhile, the government should improve regional higher education, especially the training mechanism for cultural industry talents. The government should introduce internet talents by upgrading their treatment, make better use of the policy dividends brought by creating cultural industry parks, realize the “Internet Plus” path of industrial integration, and promote the development of the regional green economy.

7. Limitation

The effect of cultural industry agglomeration on green economy efficiency has been verified at the city level in China. The results of this study are both an affirmation of the green economy development model and actual proof of the necessity of economic structure transformation and upgrading in China, with particular theoretical and practical significance. However, there are still some things that could be improved in the following three aspects of this paper, and at the same time, improvements in such directions can be focused on in future research.
First, this paper refers to cultural industries as a group industry containing several sub-industries. In this setting, the analytical framework is constructed and empirically tested. Since these different cultural industries have different characteristics, the results obtained from a unified study of different industries cannot be easily applied to the study of improvement policies in specific industries. Therefore, future related studies can start from a specific cultural industry and focus on analyzing the cultural industry agglomeration differences among sub-industries.
Second, regarding sample level selection, this paper is only conducted at the prefectural and municipal levels due to time and energy constraints. The relationship between cultural industry agglomeration and green economy efficiency can be discussed at the county level. The results from a more micro-level better align with the actual situation.
Thirdly, another shortcoming is that there is no comparative analysis with other countries’ cultural industry agglomeration to promote green total factor productivity in cities. The paper only investigates cities’ total green factor productivity driven by China’s agglomeration of cultural industries. It could include a comparative study of foreign experiences under similar institutional environments and city economic scale volume in the future.

Author Contributions

Conceptualization, H.C.; Methodology, J.L.; Writing—original draft, J.L.; Writing—review & editing, H.C. All authors have read and agreed to the published version of the manuscript.

Funding

This research was funded by [the Key Projects of Philosophy and Social Sciences in Jiangsu Universities: Research on the Structural Reform Motivation and Growth Potential of Jiangsu Cultural Industry under the New Normal] grant number [2017ZDIXM037]. The APC was funded by [2017ZDIXM037].

Institutional Review Board Statement

Not applicable.

Informed Consent Statement

Not applicable.

Data Availability Statement

Not applicable.

Conflicts of Interest

The authors declare no conflict of interest.

References

  1. Yao, L.; Maneejuk, P.; Yamaka, W.; Liu, J. Quantifying the Competitiveness of Cultural Industry and Its Impacts on Chinese Economic Growth. Sustainability 2023, 15, 79. [Google Scholar] [CrossRef]
  2. Zang, Z. Government subsidies, nature of companies and the employment of cultural industry: Empirical analysis on the moderating effect from the panel data of 161 listed cultural companies. Chin. J. Popul. Sci 2014, 5, 57–66+127. [Google Scholar]
  3. Zhou, K.; Wu, J. Research on the relationship and path between culture industry and change the way of economic development. Mod. Manag. Sci. 2012, 9, 30–32. [Google Scholar]
  4. Zhang, T.; Wu, J. Spatial Network Structure and Influence Mechanism of Green Development Efficiency of Chinese Cultural Industry. Sci. Geogr. Sin. 2021, 4, 580–587. [Google Scholar]
  5. Chen, X. Research on the Influence of Cultural Industry Agglomeration on Green Economy Efficiency—An Empirical Analysis Based on the Yangtze River Economic Belt. Ph.D. Thesis, China University of Geosciences, Wuhan, China, 2019. [Google Scholar]
  6. Mossig, I. Regional Employment Growth in the Cultural and Creative Industries in Germany 2003--2008. Eur. Plan. Stud. 2010, 19, 967–990. [Google Scholar] [CrossRef]
  7. Ścibiorska-Kowalczyk, I.; Cichoń, J. The Significance of Cultural Policy—Case Study of South Korea. Sustainability 2021, 13, 13805. [Google Scholar] [CrossRef]
  8. Klein, M.; Gutowski, P.; Gerlitz, L.; Gutowska, E. Creative and Culture Industry in Baltic Sea Region Condition and Future. Sustainability 2021, 13, 4239. [Google Scholar] [CrossRef]
  9. Li, Y.; Zhang, X.; Jin, C.; Huang, Q. The Influence of Reverse Technology Spillover of Outward Foreign Direct Investment on Green Total Factor Productivity in China’s Manufacturing Industry. Sustainability 2022, 14, 16496. [Google Scholar] [CrossRef]
  10. Liu, Y.; Yuan, X.; Wang, Z. Dynamic Panel Data Modeling of the Effects of Cultural Industry Clusters on Green Economic Efficiency. Resour. Sci. 2017, 39, 747–755. [Google Scholar]
  11. Liu, X.; Chai, J.; Luo, Y.; Wang, S.; Liu, B. How to Achieve Sustainable Development: From the Perspective of Science and Technology Financial Policy in China. Environ. Sci. Pollut. Res. Int. 2022, 30, 1–16. [Google Scholar] [CrossRef]
  12. Gerlitz, L.; Prause, G.K. Cultural and Creative Industries as Innovation and Sustainable Transition Brokers in the Baltic Sea Region: A Strong Tribute to Sustainable Macro-Regional Development. Sustainability 2021, 13, 9742. [Google Scholar] [CrossRef]
  13. Scott, A.J. The Shoe Industry of Marikina City, Philippines: A Developing Country Cluster in Crisis. Urban Reg. 2005, 20, 76–99. [Google Scholar]
  14. Dong, X.; Chen, Y.; Zhuang, Q.; Yang, Y.; Zhao, X. Agglomeration of Productive Services, Industrial Structure Upgrading and Green Total Factor Productivity: An Empirical Analysis Based on 68 Prefectural-Level-and-Above Cities in the Yellow River Basin of China. Int. J. Environ. Res. Public Heal. 2022, 19, 11643. [Google Scholar] [CrossRef]
  15. Zhang, H.; Wang, Y.; Li, R.; Si, H.; Liu, W. Can Green Finance Promote Urban Green Development? Evidence from Green Finance Reform and Innovation Pilot Zone in China. Environ Sci Pollut Res 2023, 30, 12041–12058. [Google Scholar] [CrossRef]
  16. Santagata, W. Cultural Districts, Property Rights and Sustainable Economic Growth. Int. J. Urban Reg. Res. 2002, 26, 9–23. [Google Scholar] [CrossRef]
  17. Molho, J. Modelling Diversity: Cultural District Policies in Doha and Singapore. Int. J. Cult. Policy 2020, 26, 740–755. [Google Scholar] [CrossRef]
  18. Rahbarianyazd, R. Cultural Agglomeration in the Urban Context: Creation and Management Approaches. J. Urban Plan. Dev. 2021, 147. [Google Scholar] [CrossRef]
  19. Portillo, J.E.; Wagner, G.A. Do Cultural Districts Spur Urban Revitalization: Evidence from Louisiana. J. Econ. Behav. Organ. 2021, 188, 651–673. [Google Scholar] [CrossRef]
  20. Song, Q.; Yang, Z. GRA and CRITIC Method for Intuitionistic Fuzzy Multiattribute Group Decision Making and Application to Development Potentiality Evaluation of Cultural and Creative Garden. Math. Probl. Eng. 2021, 2021, 1–9. [Google Scholar]
  21. Liang, J.; Li, M. Agglomeration and Development of Cultural Industry: A Comparative Study of Inland and Coastal Zones in China. J. Coast. Res. 2020, 112, 152–157. [Google Scholar] [CrossRef]
  22. Guo, X.; Chen, T. Cultural Industry Agglomeration, Spatial Spillover and High-quality Economic Development. Mod. Econ. Res. 2021, 2, 79–87. [Google Scholar] [CrossRef]
  23. Fang, C.; Liu, H.; Luo, K.; Yu, X. Process and Proposal for Comprehensive Regionalization of Chinese Human Geography. Acta Geogr. Sin. 2017, 27, 1155–1168. [Google Scholar] [CrossRef]
  24. Lei, H.; Li, Y. Heterogeneity Analysis of the Temporal and Spatial Evolution of Cultural Industry Development Efficiency. Contemp. Econ. Manag. 2020, 42, 50–56. [Google Scholar] [CrossRef]
  25. Xu, X.; Fan, H.; Su, Y.; Zheng, Z. Research on the Driving Factors of China’s Green Economy Development level. J. Quant. Tech. Econ. 2021, 38, 65–82. [Google Scholar] [CrossRef]
  26. Avilés Ochoa, E.; Canizalez Ramírez, P.M. Cultural Industries and Spatial Economic Growth a Model for the Emergence of the Creative Cluster in the Architecture of Toronto. City Cult. Soc. 2018, 14, 47–55. [Google Scholar] [CrossRef]
  27. You, J.; Xiao, H. Can FDI Facilitate Green Total Factor Productivity in China? Evidence from Regional Diversity. Environ. Sci. Pollut. Res. Int. 2022, 39, 118–126. [Google Scholar] [CrossRef]
  28. Herzer, D. Foreign Direct Investment and Total Factor Productivity in Bolivia. Appl. Econ. Lett. 2017, 24, 399–403. [Google Scholar] [CrossRef]
  29. Qian, W.; Wang, Y. How Do Rising Labor Costs Affect Green Total Factor Productivity? Based on the Industrial Intelligence Perspective. Sustainability 2022, 14, 13653. [Google Scholar] [CrossRef]
  30. Zhang, W.; Hu, Y. The effect of innovative human capital on green total factor productivity in the Yangtze River Delta: An empirical analysis based on the spatial Durbin model. China Popul. Resour. Environ. 2020, 30, 106–120. [Google Scholar]
  31. Nambisan, S.; Lyytinen, K.; Majchrzak, A.; Song, M. Digital Innovation Management: Reinventing Innovation Management Research in a Digital World. MIS Q. 2017, 41, 223–238. [Google Scholar] [CrossRef]
  32. Deng, H.; Bai, G.; Shen, Z.; Xia, L. Digital Economy and Its Spatial Effect on Green Productivity Gains in Manufacturing: Evidence from China. J. Clean. Prod. 2022, 378, 134539. [Google Scholar] [CrossRef]
  33. She, S.; Wang, Q.; Zhang, A. Technological Innovation, Industrial Structure and Urban GTFP-Channel Test based on National Low-carbon City Pilots. Res. Econ. Manag. 2020, 41, 44–61. [Google Scholar] [CrossRef]
  34. Liu, Y.; Tian, Y.; Luo, Y. Upgrading of Industrial Structure, Energy Efficiency, Green Total Factor Productivity. Theory Pract. Financ. Econ. 2018, 39, 118–126. [Google Scholar]
  35. Sun, J.; Tang, D.; Kong, H.; Boamah, V. Impact of Industrial Structure Upgrading on Green Total Factor Productivity in the Yangtze River Economic Belt. Int. J. Environ. Res. Public Health 2022, 19, 3718. [Google Scholar] [CrossRef]
  36. Cai, Y.; Hu, Z. Industrial Agglomeration and Industrial SO2 Emissions in China’s 285 Cities: Evidence from Multiple Agglomeration Types. J. Clean. Prod. 2022, 353, 131675. [Google Scholar] [CrossRef]
  37. Meyer, D.; Carmen, B. Multiple Essential Functions of Neuregulin in Development. Nature 1995, 378, 386–390. [Google Scholar] [CrossRef]
  38. Lolli, F.; Coruzzolo, A.M.; Peron, M.; Sgarbossa, F. Age-Based Preventive Maintenance with Multiple Printing Options. Int. J. Prod. Econ. 2022, 243, 108339. [Google Scholar] [CrossRef]
  39. Chung, Y.H.; Färe, R.; Grosskopf, S. Productivity and Undesirable Outputs: A Directional Distance Function Approach. J. Env. Manag. 1997, 51, 229–240. [Google Scholar] [CrossRef]
  40. Wang, M.; Xu, M.; Ma, S. The Effect of the Spatial Heterogeneity of Human Capital Structure on Regional Green Total Factor Productivity. Struct. Change Econ. Dyn. 2021, 59, 427–441. [Google Scholar] [CrossRef]
  41. Mikayilov, J.I.; Galeotti, M.; Hasanov, F.J. The Impact of Economic Growth on CO2 Emissions in Azerbaijan. J. Clean. Prod. 2018, 197, 1558–1572. [Google Scholar] [CrossRef]
  42. Yi, H.; Liu, Y. Green Economy in China: Regional Variations and Policy Drivers. Glob. Environ. Change 2015, 31, 11–19. [Google Scholar] [CrossRef]
  43. Dan, Z. Promote the development of cultural industry and cultivate new economic growth point. Chin. Bus. Mark. 2009, 23, 10–13. [Google Scholar]
  44. Şener, S.; Sarıdoğan, E. The Effects Of Science-Technology-Innovation On Competitiveness And Economic Growth. Soci. Behav. Sci. 2011, 24, 815–828. [Google Scholar] [CrossRef]
  45. Kinoshita, Y. R&D and Technology Spillovers Via FDI: Innovation and Absorptive Capacity; William Davidson Institute Working Papers Series; William Davidson Institute at the University of Michigan: Ann Arbor, MI, USA, 2000. [Google Scholar] [CrossRef]
  46. Song, X.; Zhou, Y.; Jia, W. How Do Economic Openness and R&D Investment Affect Green Economic Growth?—Evidence from China. Resour. Conserv. Recycl. 2019, 146, 405–415. [Google Scholar] [CrossRef]
  47. Mao, Q. Does Trade Policy Uncertainty Affect Chinese Manufacturing Firms’ Imports? Economic Res. J. 2020, 2, 148–164. [Google Scholar]
  48. Allan, B.; Michael, J.S. Toward an Emergent Global Culture and the Effects of Globalization on Obsolescing National Cultures. J. Int. Manag. 2003, 9, 395–407. [Google Scholar]
  49. Rioja, F.; Valev, N. Financial Structure and Capital Investment. Appl. Econ. 2012, 44, 13–15. [Google Scholar] [CrossRef]
  50. Riding, A.L.; Haines, G. Loan Guarantees: Costs of Default and Benefits to Small Firms. J. Bus. Ven. 2001, 16, 595–612. [Google Scholar] [CrossRef]
  51. Clifton, N.; Cooke, P. Creative Knowledge Workers and Location in Europe and North America: A Comparative Review. Creat. Ind. J. 2009, 2, 73. [Google Scholar] [CrossRef]
  52. Veselá, D.; Klimová, K. Knowledge-Based Economy vs. Creative Economy. Procedia Soc. Behav. Sci. 2014, 141, 413–417. [Google Scholar] [CrossRef]
  53. Andersson, R.; Quigley, J.M.; Wilhelmsson, M. Urbanization, Productivity, and Innovation: Evidence from Investment in Higher Education. J. Urban Econ. 2009, 66, 2–15. [Google Scholar] [CrossRef]
  54. Peneder, M. Industrial Structure and Aggregate Growth. Struct. Change Econ. Dyn. 2003, 14, 427–448. [Google Scholar] [CrossRef]
  55. Xiao, T.; Liu, H. An empirical study on industrial restructuring and energy conservation and emission reduction. Economist 2014, 9, 58–68. [Google Scholar] [CrossRef]
Figure 1. Distribution and number of provincial cultural industry parks in 2014.
Figure 1. Distribution and number of provincial cultural industry parks in 2014.
Sustainability 15 07373 g001
Figure 2. Distribution and number of provincial cultural industry parks in 2019.
Figure 2. Distribution and number of provincial cultural industry parks in 2019.
Sustainability 15 07373 g002
Figure 3. The impact mechanism of provincial cultural industry park policy on GTFP.
Figure 3. The impact mechanism of provincial cultural industry park policy on GTFP.
Sustainability 15 07373 g003
Figure 4. The dynamics of provincial cultural industry parks and GTFP.
Figure 4. The dynamics of provincial cultural industry parks and GTFP.
Sustainability 15 07373 g004
Figure 5. Distributions of t value of estimated coefficients for the placebo test (provincial cultural industry park).
Figure 5. Distributions of t value of estimated coefficients for the placebo test (provincial cultural industry park).
Sustainability 15 07373 g005
Figure 6. Distributions of t value of estimated coefficients for the placebo test (the number of provincial cultural industry parks).
Figure 6. Distributions of t value of estimated coefficients for the placebo test (the number of provincial cultural industry parks).
Sustainability 15 07373 g006
Figure 7. Propensity score matching.
Figure 7. Propensity score matching.
Sustainability 15 07373 g007
Table 1. Input–output factor definitions and descriptive statistics.
Table 1. Input–output factor definitions and descriptive statistics.
DefinitionObsMeanStd. Dev.MinMaxUnit
InputCapital stock474342,177,52849,607,5531,656,720412,091,207Ten thousand RMB
Labor force474344.44748.9284.05649.334Ten thousand people
Energy consumption4743884,973.611,293,073.8224815,624,897Ten thousand kilowatt-hours
Desirable outputGDP474311,900,09215,091,878215,100160,663,552Ten thousand RMB
Undesirable outputWaste water47436635.4218783.7167154,625Ten thousand tons
SO2474348,454.66448,224.0332628,605Tons
Dust emission474329,569.561110,765.95345,168,812Tons
Table 2. Descriptive statistics.
Table 2. Descriptive statistics.
DefinitionVariablesObsMeanStd. Dev.MinMax
Green economy growthlnGTFP43200.0240.133−1.8011.351
Provincial cultural industry parkdid43200.1280.33501
The number of provincial cultural industry parksdid_No43200.2320.837013
Labor resourceslnhl43203.4790.7721.3996.476
Economic developmentlngdp43209.310.667.55212.244
Government interventionlngov43202.6940.4531.3985.266
Urban technology innovationlnRD43209.1851.706−2.10615.161
Industry structurelnsecond43203.840.2480.9784.477
Economic opennesslnopen43209.3621.9110.65713.847
Table 3. Baseline estimates of provincial cultural industry parks policy.
Table 3. Baseline estimates of provincial cultural industry parks policy.
Variables(1)(2)(3)
did−0.013 **0.013 *0.015 *
(0.006)(0.008)(0.008)
lnhl −0.072 ***
(0.019)
lngdp −0.032
(0.029)
lnsecond 0.016
(0.026)
lngov −0.017
(0.015)
lnRD 0.004
(0.003)
lnopen 0.001
(0.003)
_cons0.026 ***0.084 ***0.547 **
(0.002)(0.008)(0.254)
Control variableNoNoYes
Year fixed effectsNoYesYes
City fixed effectsNoYesYes
N446444644464
R2 0.1360.162
adj. R2 0.1320.158
Standard errors in parentheses. * p < 0.1, ** p < 0.05, *** p < 0.01.
Table 4. Baseline estimates of the number of provincial cultural industry parks.
Table 4. Baseline estimates of the number of provincial cultural industry parks.
Variables(1)(2)(3)
did_No−0.0020.005 **0.006 **
(0.003)(0.002)(0.003)
lnhl −0.072 ***
(0.019)
lngdp −0.032
(0.029)
lnsecond 0.018
(0.026)
lngov −0.016
(0.015)
lnRD 0.004
(0.003)
lnopen 0.001
(0.003)
_cons0.025 ***0.084 ***0.538 **
(0.002)(0.008)(0.254)
Control varibaleNoNoYes
TimeNoYesYes
CityNoYesYes
N446444644464
R2 0.1360.162
adj. R2 0.1330.158
Standard errors in parentheses. ** p < 0.05, *** p < 0.01.
Table 5. Balance test.
Table 5. Balance test.
Variable Mean (Treated)Mean (Control)%biasT-Valuep-Value
lnhlUnmatched3.62693.34993612.1300.000
Matched3.58703.52368.22.4700.013
lngdpUnmatched10.478010.100049.116.3300.000
Matched10.408010.4810−9.5−2.8600.004
lnsecondUnmatched3.86613.812121.46.9700.000
Matched3.86823.8779−3.8−1.1700.241
lngovUnmatched2.56752.8346−58−19.2100.000
Matched2.58572.56783.91.2000.230
lnRDUnmatched9.65678.712956.719.0200.000
Matched9.46769.4744−0.4−0.1300.898
lnopenUnmatched10.20408.944367.422.4000.000
Matched10.03809.88268.32.6500.008
Table 6. PSM-DID test.
Table 6. PSM-DID test.
VariableslnGTFPlnGTFP
(1)(2)
did0.015 *0.015 *
(0.008)(0.008)
did_No 0.006 **
(0.003)
Control variablesYesYes
Year fixed effectsYesYes
City fixed effectsYesYes
Oobservations44644464
R20.1620.162
Adj. R20.1580.158
Standard errors in parentheses. * p < 0.1, ** p < 0.05.
Table 7. Heterogeneity test for different economy.
Table 7. Heterogeneity test for different economy.
Variables(1)(2)(3)
Eastern cities0.013
(0.008)
Western cities −0.003
(0.019)
Central cities 0.020 *
(0.011)
_cons0.537 **0.550 **0.557 **
(0.254)(0.260)(0.257)
Control variableYesYesYes
Year fixed effectsYesYesYes
City fixed effectsYesYesYes
N446444644464
R20.1620.1610.162
Adj. R20.1570.1570.157
Standard errors in parentheses. * p < 0.1, ** p < 0.05.
Table 8. Heterogeneity test for Chinese human geography.
Table 8. Heterogeneity test for Chinese human geography.
Variables(1)(2)(3)(4)(5)(6)(7)(8)
North cities−0.013
(0.011)
Northeast cities 0.018 *
(0.010)
East cities 0.013
(0.009)
Central cities 0.027
(0.017)
South cities 0.030
(0.023)
Southwest cities −0.040 ***
(0.015)
Northwest cities 0.021
(0.040)
Qinghai and Tibet cities 0.000
(.)
_cons0.555 **0.535 **0.551 **0.565 **0.548 **0.547 **0.556 **0.552 **
(0.257)(0.258)(0.256)(0.259)(0.258)(0.258)(0.258)(0.258)
Control variableYesYesYesYesYesYesYesYes
Year fixed effectsYesYesYesYesYesYesYesYes
City fixed effectsYesYesYesYesYesYesYesYes
N44644464446444644464446444644464
R20.1610.1610.1620.1620.1620.1620.1610.161
Adj. R20.1570.1570.1570.1570.1570.1570.1570.157
Standard errors in parentheses. * p < 0.1, ** p < 0.05, *** p < 0.01.
Table 9. Evidence on the finance channel.
Table 9. Evidence on the finance channel.
VariablesFinancelnGTFPEconomy OpennesslnGTFP
(1)(2)(3)(4)
did10.632 *** 10.289 ***
(0.083) (0.150)
did × IC 0.021 *** 0.007 **
(0.007) (0.003)
_cons1.597 *0.513 **2.892 *0.526 **
(0.878)(0.251)(1.584)(0.253)
Control variableYesYesYesYes
Year fixed effectsYesYesYesYes
City fixed effectsYesYesYesYes
N4464446444644464
R20.9930.1640.9700.163
Adj. R20.9930.1590.9700.158
Standard errors in parentheses. * p < 0.1, ** p < 0.05, *** p < 0.01.
Table 10. Evidence on the education channel.
Table 10. Evidence on the education channel.
VariablesCulturelnGTFPEducationlnGTFP
(1)(2)(3)(4)
did7.803 *** 11.108 ***
(0.084) (0.113)
did × IC 0.013 ** 0.012 **
(0.005) (0.005)
_cons−3.592 ***0.971 **−1.8510.946 **
(1.377)(0.448)(2.005)(0.444)
Control variableYesYesYesYes
Year fixed effectsYesYesYesYes
City fixed effectsYesYesYesYes
N4464446444644464
R20.9850.1540.9890.155
Adj. R20.9850.1490.9890.149
Standard errors in parentheses. ** p < 0.05, *** p < 0.01.
Table 11. Evidence on the industrial structure.
Table 11. Evidence on the industrial structure.
VariablesIndustrial StructurelnGTFP
(1)(2)
did3.773 ***
(0.017)
did × IC 0.060 *
(0.034)
_cons0.398 **0.523 **
(0.162)(0.252)
Control variableYesYes
Year fixed effectsYesYes
City fixed effectsYesYes
N44644464
R20.9970.163
Adj. R20.9970.158
Standard errors in parentheses. * p < 0.1, ** p < 0.05, *** p < 0.01.
Table 12. Evidence on the digital technology channel.
Table 12. Evidence on the digital technology channel.
VariablesDigital TechnologylnGTFP
(1)(2)
did6.448 ***
(0.089)
did × IC 0.018 ***
(0.006)
_cons−5.372 ***1.023 **
(1.717)(0.445)
Control variableYesYes
Year fixed effectsYesYes
City fixed effectsYesYes
N44644464
R20.9740.155
Adj. R20.9740.150
Standard errors in parentheses. ** p < 0.05, *** p < 0.01.
Disclaimer/Publisher’s Note: The statements, opinions and data contained in all publications are solely those of the individual author(s) and contributor(s) and not of MDPI and/or the editor(s). MDPI and/or the editor(s) disclaim responsibility for any injury to people or property resulting from any ideas, methods, instructions or products referred to in the content.

Share and Cite

MDPI and ACS Style

Chen, H.; Lu, J. Does Cultural Agglomeration Affect Green Total Factor Productivity? Evidence from 279 Cities in China. Sustainability 2023, 15, 7373. https://doi.org/10.3390/su15097373

AMA Style

Chen H, Lu J. Does Cultural Agglomeration Affect Green Total Factor Productivity? Evidence from 279 Cities in China. Sustainability. 2023; 15(9):7373. https://doi.org/10.3390/su15097373

Chicago/Turabian Style

Chen, Haibo, and Jiawei Lu. 2023. "Does Cultural Agglomeration Affect Green Total Factor Productivity? Evidence from 279 Cities in China" Sustainability 15, no. 9: 7373. https://doi.org/10.3390/su15097373

APA Style

Chen, H., & Lu, J. (2023). Does Cultural Agglomeration Affect Green Total Factor Productivity? Evidence from 279 Cities in China. Sustainability, 15(9), 7373. https://doi.org/10.3390/su15097373

Note that from the first issue of 2016, this journal uses article numbers instead of page numbers. See further details here.

Article Metrics

Back to TopTop