Abstract
During opencast lignite mining, the natural landscape is damaged, along with soils, and new anthropogenic landforms are created which require reclamation. Usually, the evaluation of the effects of reclamation (mostly forestry) is concerned with changes in chemical properties in the first years, mainly in the surface horizon. This study analyzed the effect of long-term agricultural reclamation (43 years) on the physical and water retention properties of Technosols. The experiment involved cultivation of winter wheat and winter oilseed rape under 3 fertilization variants. After 43 years, an Ap horizon (Ap1 and Ap2) developed in fertilized Technosols, but was not clearly formed in unfertilized minesoil. In Ap1, there was improvement in the physical quality (S), bulk density (BD), particle density (PD), structural stability index (SI), soil porosity (SP), air-filled porosity (AFP), field capacity (FC) and plant available water capacity (PAWC). In Ap2, properties were comparable to those in the surface horizon of unfertilized Technosols and to those observed before reclamation. Regardless of fertilization, there was deterioration in physical quality in parent materials. In general, the properties of fertilized Technosols have improved in the surface horizons, but increasing fertilization above plant requirements does not lead to their further enhancement.
1. Introduction
Fossil fuel use since the 19th century has been a milestone for humanity. The global population, which was 6.1 billion in 2000, is expected to be 9.8 billion in 2050 [1] and, in 2100, as high as 10.9 billion [2]. As the human population grows, so does the demand for abiotic and biotic resources. Unfortunately, the consequence of this “human population growth” is a decline in natural resources, including soils. Among the main threats to Europe’s soil resources are soil sealing and land take [2]. This soil take is also connected with opencast mining activities during lignite extraction, as this type of fossil fuel is still an important source of global energy worldwide [3,4]. Poland continues to produce about 28% of its electricity from opencast lignite [5], widely used in many countries around the world [6]. During opencast operations, the natural landscape is damaged along with soils developed over thousands of years and new anthropogenic landforms (e.g., external or internal dumps) with mixed lignite overburden materials are created. These excavated rocks on the surface are the parent material for soils, named minesoils [7] or Technosols [8]. These materials are often characterized by a lack of soil organic carbon (SOC), improper pH, nutrient deficiency, unfavorable air–water properties and low microbial activity [9,10,11].
Post-mining land reclamation is an intervention aimed at mitigating the negative consequences of open-pit mining operations and is designed to initiate ecosystem development, including in soils [4,12,13]. Materials redeposited on the dumps come from different rocks lying at various depths and can have completely different properties [14,15]. Therefore, for varying geo-climatic conditions, there is no universal reclamation method [11,16], but it is known that during the ecosystem restoration process, plants have a key role [13,14,17,18]. The most commonly-practiced postmining land use is forestry [19], followed by natural colonization via succession [12] and agriculture [13,16,20]. Considering the progressive degradation of natural soil resources [2] and the need to ensure food security [1,21], it can be expected that, in the near future, agricultural reclamation on post-mining lands, focused on food production, will gain importance. Unfortunately, due to N deficiency in mine parent materials, during agricultural reclamation, mainly leguminous plants (mainly alfalfa and clover) or their mixtures with grasses are used [11], while there are no findings on using typically productive plants, such as cereals or oilseed rape. Moreover, assessment of reclamation effectiveness is usually based on changes in Technosols’ properties, most commonly chemical attributes, and, less often, physical and biological features [4]. Among the physical parameters, soil texture, bulk density (BD) and soil porosity (SP) are the most widely determined [22], while there are few investigations involving changes in minesoil water retention capacity, particle density (PD) or the widely-used soil physical indicator (S) introduced by Dexter [15,23]. Moreover, most of the studies on the impact of the reclamation method on changing the properties of minesoils’ development on post-mining sites are concerned with the first 10 years [4] and there are few results covering a long treatment period that are compared with initial data (before reclamation) [15]. Furthermore, most of the studies are concerned with evaluating properties in the topsoil rather than in the entire soil profile [20,24]. Here, we present the long-term (43 years) findings of research conducted on an internal heap where agricultural reclamation was carried out using a cereal–rape rotation, a typically productive pair of crops.
The effectiveness of reclamation in soils’ development on land degraded by open-pit mining can be assessed not only by changes in chemical or biological characteristics, but also physical and water retention properties, which, apart from bulk density, are rarely used. The general aim of this research was to examine the temporal changes of physical and water retention properties in Technosols after a long period (43 years) of agricultural restoration, in which different mineral fertilization variants were applied in rotational cultivation of winter wheat and winter oilseed rape. The specific objectives were to assess the long-term impact of initial soil-forming processes on the morphological changes of Technosols, to evaluate the indirect effect of mineral fertilization on changes in the physical and hydrophysical properties of minesoils and to assess the profile variation of these properties over the 43 years of reclamation treatments. The following hypotheses were evaluated in this study: (i) Agricultural reclamation with rotational cultivation of winter wheat and rapeseed without fertilizer stimulation leads to small temporal modifications in physical and water retention properties of minesoils, (ii) Long-term agricultural reclamation supported by mineral fertilization improves properties only in surface horizons, whereas in deeper ones, they remain unchanged, (iii) By stimulating plant biomass production and higher sequestration of organic carbon, mineral fertilization has an indirect favorable impact on temporary shifts of minesoils properties. To evaluate these hypotheses, changes in the physical and retention properties of minesoil were quantitatively analyzed after 43 years of winter wheat and winter oilseed rape cultivation.
2. Materials and Methods
2.1. Study Area
The study was carried out within the experimental field created in 1978 on the internal heap, created after open-pit lignite mining (Figure 1). According to Köppen’s classification, climate in the study area is a humid continental with a warm summer subtype (hemiboreal climate). For the analyzed area, the average annual temperature and average annual rainfall are 9.2 °C and 542.4 mm, respectively. Prior to the commencement of mining operations, the rocks of the lignite overlay were dominated by till of the Central-Polish glaciation; hence, this parent material dominates the experimental field [13].
Figure 1.
Location of the study site (source of orthophotomosaic: http://mapy.geoportal.gov.pl, accessed on 26 April 2022).
2.2. Field Experiment
Experimental field (20 hectares) was established on a post-lignite mine site (internal heap) where, since 1978, research has been conducted on the effectiveness of various agricultural reclamation treatments (different crop rotations with varying fertilization doses) on Technosols’ properties [25]. Prior to the designation of the experimental field, dozens of boreholes were drilled to choose an area with relatively homogeneous rocks, because the non-selective redeposition of lignite overburden rocks causes high heterogeneity of the excavated material [24].
In agricultural reclamation, mainly legumes (or their mixtures with grasses) are used [11,15], which causes a lack of research results on the use of typically productive (consumptive) plants. This study provides the findings on changes in the physical and water retention properties of minesoils over the period 1978–2021 as a result of conducting an agricultural rehabilitation experiment using a cereal–rape rotation (Figure 1). These results are part of an extensive study conducted since 1978 on the effects of different crops and fertilization on changes in the minesoils’ properties. A cereal–rape rotation system was based on alternating winter wheat (Triticum aestivum L.) and winter oilseed rape (Brasica napus L.). This cropping system was conducted in 3 test plots varying in NPK mineral fertilizer rates: 0-NPK (control), I-NPK and II-NPK. No mineral fertilization (control) was used in the 0-NPK plot. In plot I-NPK, fertilizer doses for winter wheat were 160 kg N ha−1, 17.5 kg P·ha−1 and 66.5 kg K·ha−1, while for winter oilseed rape they were 200 kg N ha−1, 30.5 kg P·ha−1 and 74.7 kg K·ha−1. For the II-NPK fertilizer combination, nutrient doses were doubled. Details of the agronomic treatments applied to the crop and the doses of basic plant nutrients (NPK) supplied with fertilizer are summarized in Table 1. Straw and crop residues were plowed annually, which was the only form of organic fertilizer in this cropping system. The dimensions of the experimental plots were 50 × 16 m.
Table 1.
Fertilization and cultivation treatments used in the study.
2.3. Soil Sampling
In 1978, soil pits (10 pits) were made in a 20 ha study area to collect samples and determine preliminary properties of minesoils (Figure 1). The properties of the three soil profiles that were closest to the experimental plots with the cereal–rape rotation were used in this study. Since no profile diversity in morphological properties of these initial Technosols was observed, minesoil samples were collected from the following depths: 0–25 cm, 25–50 cm and 50–75 cm. For each depth, undisturbed-structure samples were collected into metal cylinders: 3 to assess the SWRC (soil water retention curve) and 3 to assess BD (minesoil bulk density). In addition, for each depth, disturbed-structure minesoil samples were collected from 3 walls of a given soil pit.
After 43 years of agricultural rehabilitation (in 2021), 3 soil pits were tested in each treatment variant to collect samples and characterize basic minesoil morphological characteristics. For each identified soil horizon or subhorizon, undisturbed-structure samples were collected into metal cylinders: 4 to assess SWRC and 4 to assess BD. Also, for each horizon or subhorizon, disturbed-structure minesoil samples were collected from 3 walls of each soil pit. A total of 12 undisturbed-structure minesoil samples were collected for every horizon/subhorizon of a given fertilizer combination to determine the SWRC, along with 12 undisturbed minesoil samples to determine BD and 9 disturbed-structure samples to assess other properties.
2.4. Soil Analyses
The soil texture (sand, silt and clay fractions’ content) in air-dry samples sieved through a 2-mm mesh sieve was determined using a combination of the hydrometer and wet sieve methods [26]. Following removal of carbonates, soil organic carbon (SOC) was measured in the Multi N/C 3100 Analytik Jena apparatus. For soil samples collected in 1978, SOC was measured by the Walkley–Black method [27]. Calcium carbonate (CaCO3) was measured by the Scheibler methods. Based on the content of silt and clay fractions and the concentration of SOC, the SI index of structural stability was calculated [28], indicating the potential for minesoil structure evolution, where SI below 5% indicates a structurally degraded soil; SI in the range 5–7% indicates a high risk of soil structure degradation; SI in the range 7–9% indicates a low risk of soil structure degradation and SI above 9% indicates sufficient SOC to maintain the structure stability.
Soil bulk density (BD) was determined by the thermogravimetric method, based on the ratio of soil mass at 105 °C to the soil volume [29]. Using a pycnometer, the minesoil particle density (PD) was assessed [30] and the minesoil porosity (SP) was calculated based on bulk density and particle density. Minesoil water retention properties (SWRC) were obtained using Richards’ apparatus and the method of water vapor pressure over H2SO4 solution [31,32]. For the measured soil water retention data, parameters of the Van Genuchten function [33] were fitted using RETC software. Based on the parameters of the Van Genuchten equation, water contents at 0 cm (saturated water content, SWC), −100 cm (field capacity, FC) and −15,000 cm (wilting point, WP) were calculated. Then, the air-filled porosity, AFP (AFP = SWC-FC), the plant available water capacity, PAWC (PAWC = FC-WP) and the relative field capacity, RFC (RFC = FC/SWC), were computed [34,35]. The PAWC was categorized into 4 classes: PAWC ≥ 0.20 ideal, 0.15 ≤ PAWC < 0.20 good, 0.10 ≤ PAWC < 0.15 limited, PAWC < 0.10 poor (droughty), and the values of RFC were categorized into 3 classes: RFC < 0.6 water-limited soil, 0.6 ≤ RFC ≤ 0.7 optimal, RFC > 0.7 aeration-limited soil [35]. From the parameters of the van Genuchten equation, the ‘Dexter soil index S’, referred to here as ‘S’, which characterizes the physical quality of the soil, was calculated [23]. The S index values were categorized according to Dexter and Czyż [36] into 4 classes: S ≥ 0.050 very good, 0.050 > S ≥ 0.035 good, 0.035 > S ≥ 0.020 poor and 0.020 > S very poor.
2.5. Statistical Analysis
All statistical calculations were conducted using Statistica 13.0 (TIBCO Software Inc., Palo Alto, CA, USA). To determine the differences between soil physical and water retention properties observed, both within soil horizon and subhorizons of each fertilizer combination and between different fertilized plots in relation to the values observed in 1978, an ANOVA (analysis of variance) was used. To show the existence of uniform groups, the multiple comparison post-hoc test (Tukey’s test, α = 0.05) was applied. Before applying the analysis of variance, the data distribution was checked by the K–S test. After data standardization, cluster analysis (CA) using Ward’s method and Euclidean distance was applied to identify subhorizons (or horizons) of differently-fertilized Technosols that had similar properties. The associations among the properties of Technosols after 43 years of agricultural reclamation were evaluated by principal component analysis (PCA).
3. Results
In 1978, soils in the experimental area were classified as Spolic Technosols (Pantocalcaric, Hypereutric, Pantoloamic) [8] and no profile variation in morphological features was observed (Table 2). They only had a grayish brown (2.5Y5/2) C horizon with a firm consistency and massive structure. The Ap horizons that were developed over 43 years in fertilized minesoils had granular and subangular structure, with granular structure predominating in the Ap1 subhorizon and subangular structure in the Ap2 subhorizon. The apparent development of surface horizon Ap met the criteria for the Ochric supplementary qualifier [8]. In the control (0-NPK) soils, subangular structure was dominant in the AC horizon, partially breaking down into granular structure, while subangular and angular structure were dominant in the CA horizon. In the parent materials (C), the structure had not changed and was still massive, sometimes breaking down into angular and subangular. A characteristic feature of the parent materials after 43 years was their very firm consistency. This very firm consistency, together with high bulk density, fulfills the criteria of the supplementary qualifier “densic”. This section may be divided by subheadings, which should provide a concise and precise description of the experimental results and their interpretation, as well as the experimental conclusions that can be drawn.
Table 2.
Basic morphological properties of minesoils.
3.1. Soil Texture, SOC and CaCO3
In 1978, the fractions of sand, silt and clay were mainly 52.8–54.7%, 26.3–28.7% and 16.8–19.2%, respectively (Table 3). Hence, they were mainly characterized by sandy loam (SL) texture. In one sample collected in 1978 from a depth of 0–25 cm, the contents of the individual fractions differed from those reported in Table 2, where clay loam (CL) texture was observed. Also in 2021, the studied Technosols were mainly characterized by SL texture, where the fraction contents in the distinguished horizons and subhorizons were in the range of 53.7–68.5%, 16.5–27.0% and 12.5–19.3%, respectively, for sand, silt and clay. The two samples collected in 2021 from the parent materials of the 0-NPK and II-NPK fertilizer combination were characterized by a sandy clay loam (SCL) texture.
Table 3.
Technosols’ texture, CaCO3, SOC and SI.
In 1978, the SOC concentration (4.68–5.20 g kg−1) in the analyzed minesoils was similar to that recorded in 2021 Cd horizons (3.84–5.31 g kg−1) (Table 3). This was residual geogenic carbon and its content in the parent material (Cd) after long-term restoration was similar in all Technosols. After long-term agricultural rehabilitation, significant vertical variation in SOC content was found, especially in fertilized soils (I-NPK and II-NPK). This was associated with the accumulation of SOC in Ap. In this horizon of fertilized minesoils, SOC contents were 7.94–8.67 g kg−1 and 9.31–9.84 g kg−1 for I-NPK and II-NPK, respectively, with higher SOC contents in the Ap1 subhorizon than in Ap2. In the plot where no mineral fertilization was applied, SOC contents in the Ap horizon were slightly higher than those observed in 1978. In all fertilizer combinations of analyzed Technosols, lower CaCO3 contents were observed in subhorizons Ap1 and Ap2 (AC and CA for 0-NPK) than in parent material (Cd), except for the 0-NPK plot. The effect of 43-year agricultural reclamation on the change in SOC and Technosols’ structure was validated by the results of the SI. With the exception of the 0-NPK combination, SI values were significantly higher in Ap horizons (4.0–5.1%) than in Cd (1.7–2.2%). In spite of a clear increase of SI values in Ap horizons of soils fertilized after 43 years of reclamation, it seems that they did not reach a sufficient amount of SOC to produce a stable structure. Only in the Ap1 II-NPK subhorizon was the mean SI value above 5%, indicating that there was a change of soil conditions for structure development from degraded to a high risk of degradation.
3.2. Soils’ Density and Porosity
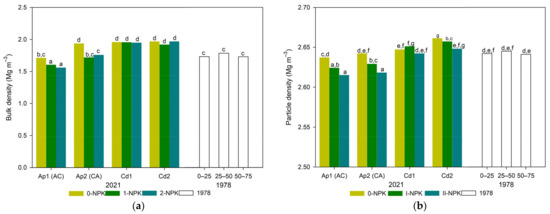
Prior to agricultural reclamation (in 1978), mean BD values of young minesoils showed little diversity (1.730–0.784 Mg m−3) in profile, whereas 2021 showed marked vertical variation in BD in all fertilizer combinations (Figure 2a). In fertilized Technosols (I-NPK and II-NPK), the Ap1 and Ap2 were characterized by lower BD values (1.558–1.756 Mg m−3) in relation to the Cd horizon (1.913–1.966 Mg m−3), while in the control (0-NPK), only the AC horizon had significantly lower BD values (1.709 Mg m−3) than the subhorizons lying below. In surface horizons (AC) of the 0-NPK plot, BD was higher than in the Ap1 subhorizon (1.558–1.603 Mg m−3) and similar to those in the Ap2 (1.716–1.756 Mg m−3) of plots with fertilization and also similar to BD observed in 1978. After long-term agricultural rehabilitation, BD values decreased in the Ap1 sub-horizon of fertilized Technosols, but in the Ap2 subhorizon, the values of this density were similar to those in 1978. A characteristic feature of all Technosols analyzed was that there was a marked compaction (1.916–1.966 Mg m−3) of parent materials over a period of 43 years. At the beginning of the field experiment (1978), PD values were similar at all depths (2.641–2.645 Mg m−3) and close to those observed in Cd after 43 years of rehabilitation (Figure 2b). Overall, after long-term reclamation, a considerable change (decrease) of PD in the surface horizons (Ap) of fertilized Technosols (I-NPK and II-NPK) compared to 1978 occurred, whereas on the variant without fertilization (0-NPK), this temporal change was not statistically significant. These changes in fertilized soils resulted in profile PD variations between Ap (2.615–2.629 Mg m−3) and Cd (2.642–2.657 Mg m−3) horizons.
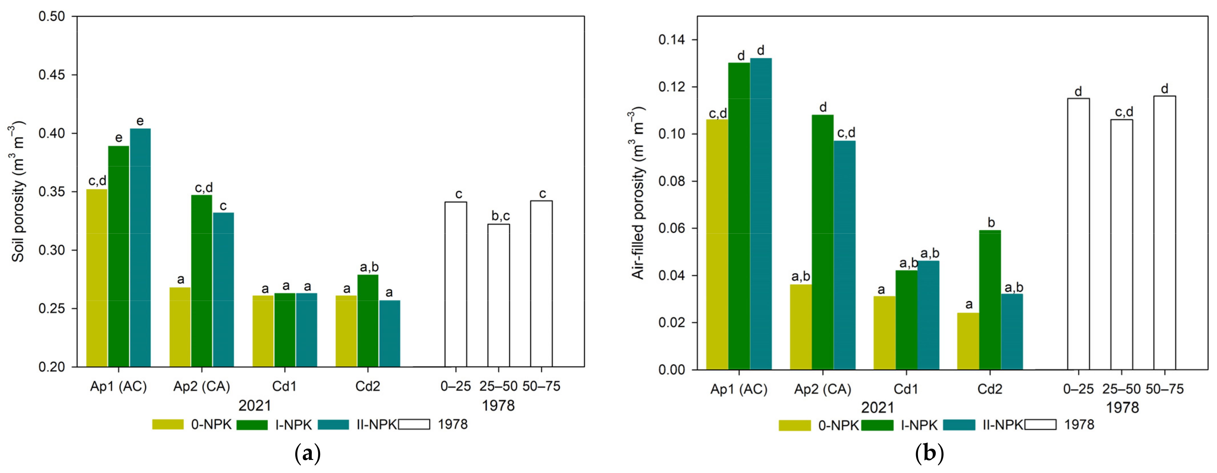
Figure 2.
The ANOVA results for Technosols under different horizons and fertilized rate: (a) bulk density; (b) particle density. The same letters indicate statistically homogeneous groups.
The opposite trend to BD was observed for SP and AFP. In 1978, mean SP and AFP values were in the range 0.322–0.342 m3 m−3 and 0.106–0.116 m3 m−3, respectively, and did not vary in profile (Figure 3). In 2021, considerably higher porosity (SP, AFP) values were found in the Ap of fertilized minesoil and in the AC horizon of the control plot than in the parent material. In fertilized soils (I-NPK and II-NPK), mean SP and AFP values were in the range 0.329–0.389 m3 m−3 and 0.097–0.132 m3 m−3 in Ap horizons, while in parent materials (Cd), they were in the range 0.257–0.279 m3 m−3 and 0.032–0.069 m3 m−3, respectively, for SP and AFP. The AC horizon of 0-NPK minesoils had significantly lower porosity values in relation to Ap1, but were close to Ap2 and to values observed in 1978. In Technosols where fertilization was applied, SP and AFP values statistically increased in the Ap1 subhorizons, were unchanged in Ap2 and significantly decreased in the Cd horizon.
Figure 3.
The ANOVA results for Technosols under different horizons and fertilized rate: (a) soil porosity; (b) air-filled porosity. The same letters indicate statistically homogeneous groups.
3.3. Technosols’ Water Retention and Physical State (S Indicator)
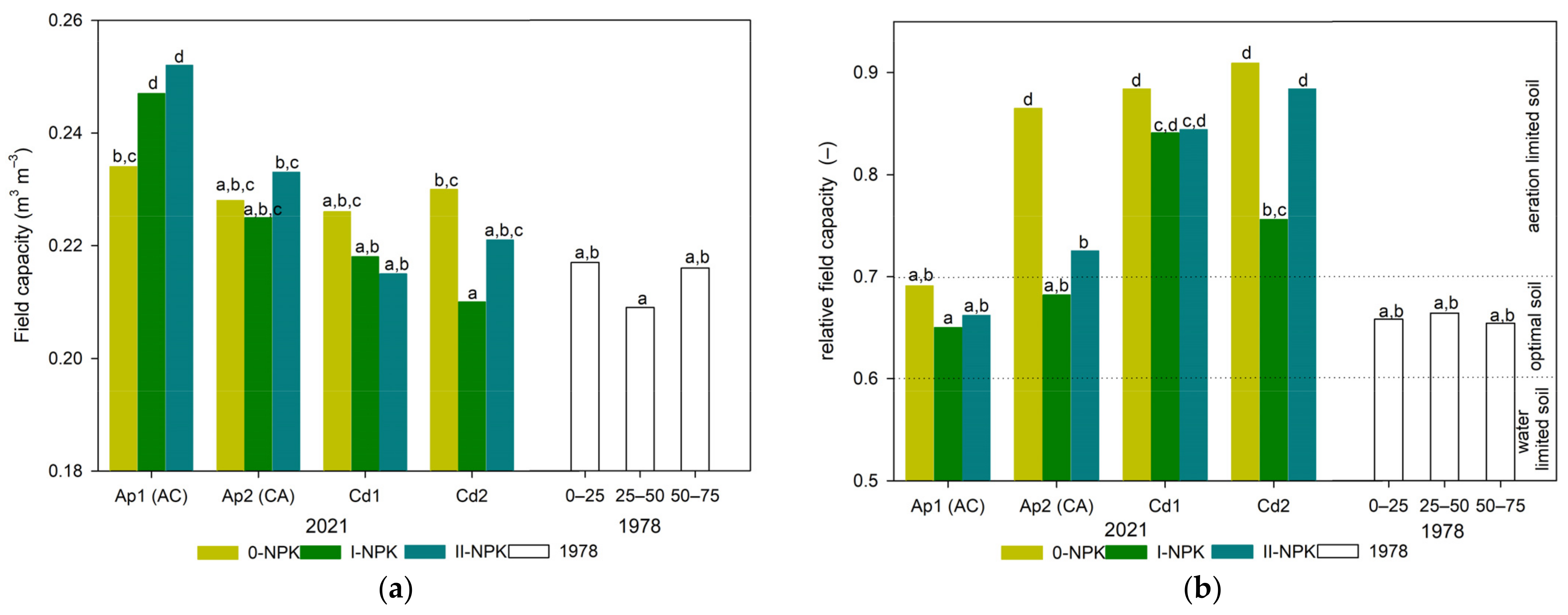
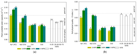
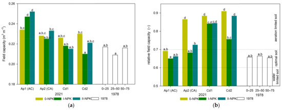
In 1978, FC values were similar at all depths (0.209–0.217 m3 m–3) (Figure 4a). After 43 years of alternating winter wheat and oilseed rape, a marked profile diversity of FC values occurred in the fertilized Technosols that was not observed in the plot without fertilization (0-NPK). In the fertilized minesoil, Ap1 was characterized by higher FC values (0.241–0.252 m3 m–3) than Cd (0.2010–0.2021 m3 m–3). Overall, after long-term agricultural rehabilitation, a marked increase occurred in FC values in the uppermost subhorizon (Ap1) of fertilized soils, while in the Cd horizon and the entire profile of control soils (0-NPK), water retention at FC was the same as that observed in 1978. No significant difference was detected in the Ap1 and Ap2 subhorizons of the soils that were fertilized. Storage of water and air related to the soils’ total pore volume (RFC) in 1978 was similar at all depths, with values ranging from 0.654 to 0.664, indicating optimal conditions (Figure 5a). Following long-term reclamation, the RFC values in the parent material increased in all analyzed Technosols, indicating conditions of insufficient aeration (aeration-limited soil). This caused profile variation of the RFC because, in the surface horizons, its values were close to those recorded in 1978.
Figure 4.
The ANOVA results for Technosols under different horizons and fertilized rate: (a) field capacity; (b) relative field capacity. The same letters indicate statistically homogeneous groups.
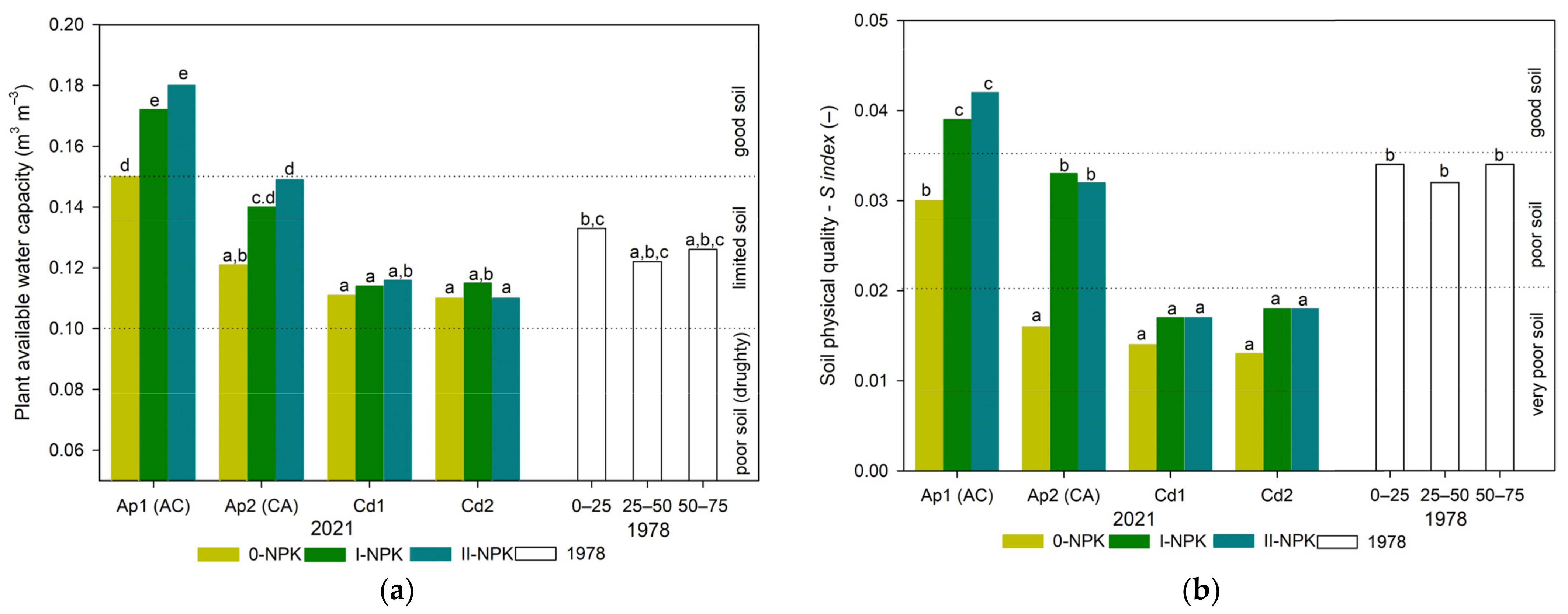
Figure 5.
The ANOVA results for Technosols under different horizons and fertilized rate: (a) plant available water capacity; (b) soil physical quality (S index). The same letters indicate statistically homogeneous groups.
At the beginning of the field experiment, the soils analyzed had PAWC values (0.122 to 0.133 m3 m–3) indicating limited water retention properties that were not significantly differentiated in profile. A clear profile difference in PAWC values occurred after long-term cultivation (Figure 4b). In control soils, the AC horizon had higher PAWC (0.150 m3 m–3) than the underlying horizons (0.110–0121 m3 m–3). There was also considerable profile variation of PAWC values in fertilized minesoils. The Ap1 subhorizons were characterized by higher PAWC (0.172–0.180 m3 m–3) than Ap2 (0.140–0.149 m3 m–3), which also had higher retention capacities than the parent material horizon (0.110–0.116 m3 m–3). Soils of fertilized variants (I-NPK, II-NPK) were characterized by comparable PAWC values in distinguished subhorizons. The Ap1 subhorizons of these soils were characterized by higher PAWC values than the surface AC horizon of the control and the Technosols from 1978. In contrast, PAWC in Ap2 was similar to the AC horizon of the control and the retention capacity observed 43 years ago. In general, in parent material (Cd) horizons, the temporal change of PAWC was not statistically significant, although slightly lower values were observed in 2021 compared to 1978.
Soil physical state is very often expressed by the S index introduced by Dexter (2004a) [23]. At the beginning (1978) of the agricultural reclamation, S values in young Technosols did not demonstrate depth variation and varied from 0.032 to 0.034. Regardless of fertilization, after 43 years of minesoils’ rehabilitation, significantly higher S values were recorded in the surface horizon compared to those lying below. In the Ap1 subhorizon of I-NPK and II-NPK soils, S values were in the range 0.039–0.042 and were higher than in the AC horizon of the control (0.030) and those in Ap2 (Figure 5b). The S values for the Cd horizon were similar in all plots, but there was a marked deterioration in the physical quality of the parent materials relative to 1978. After long-term agricultural reclamation, significant improvement in physical quality was found only in the Ap1 subhorizon of fertilized soils (I-NPK and II-NPK), whereas in minesoils without fertilization (0-NPK), physical quality in the surface AC horizon was similar to that in 1978.
3.4. Multivariate Approach
The diversity of physical and water retention properties in minesoils after long-term agricultural rehabilitation is well concluded by the Principal Component Analysis (PCA) and the Cluster Analysis (CA) results (Table 4, Figure 6). In the PCA, two components (PCs) were extracted that cumulatively explained 86.5% of the total variability of the analyzed properties. The first principal component (PC1) explained 65.8% of the variance and was negatively correlated with BD, PD and CaCO3 and positively correlated with SOC, SI, SP, AFP, FC, PAWC and S. This component characterized the main changes of properties that happened in the analyzed Technosols over 43 years of reclamation. These changes were indirectly related to the accumulation of SOC, soil structure and root development in surface horizons and soil compaction in deeper parts. Also, the current variation in CaCO3 appears to be dependent on the intensity of soil-forming processes. The second PC2 explained 20.7% of the variance and was positively correlated with silt fraction and negatively with sand fraction, indicating that this component characterizes properties inherited from the parent material. Physical and water retention properties after 43 years of reclamation in the parent material horizons were similar regardless of fertilization (cluster 2) (Figure 6). However, they changed from those observed in 1978 as a consequence of compaction. The surface horizons with the properties observed in 1978 formed group 1, which, in relation to group 2, had lower DB, PD and RFC, but higher SI, SP, AFP, FC, PAWC and S. Within cluster 1, the Ap1 subhorizons of I-NPK and II-NPK soils (subcluster 1.2) had the closest properties. The properties of the Ap2 subhorizons of fertilized soil and the surface horizon of the control (0-NPK) were similar and also were close to those observed in 1978 (subcluster 1.1).
Table 4.
Summary of PCA principal components of chemical, physical and water retention properties of Technosols.
Figure 6.
Cluster analysis for sub-horizons and various fertilized plots by physical and water retention properties of Technosols.
4. Discussion
4.1. Development of Pedogenic Processes
The properties of mine soils observed 43 years ago (in 1978) allowed their classification as Spolic Technosols (Pantocalcaric, Hypereutric, Pantoloamic) in which there was no profile variation in morphological features. They only had a C horizon of parent materials. Soil-forming processes under long-term agricultural cultivation of the analyzed minesoils in the post-mining area caused significant changes in their properties. The main process indirectly influencing the physical and hydrophysical properties of minesoil was the soil organic carbon (SOC) accumulation, being significantly higher in NPK-fertilized soils compared to unfertilized Technosols. Sequestration of soil organic carbon is a fundamental and characteristic process for Technosols following vegetation management [18,38,39]. The consequence of this process was the development of the Ap horizon, the thickness of which, in turn, was determined mainly by the depth of agrotechnical operations. In forest or spontaneous reclamation, the thickness of the Ap horizon is usually less [11,18,40,41,42]. The apparent development of surface horizon Ap met the criteria for the Ochric supplementary qualifier [8]. In the fertilized minesoils, the Ap was characterized by subangular and granular peds, with the Ap1 subhorizon dominated by granular and the Ap2 by subangular peds. In the control (0-NPK) soils, the AC horizon was dominated by subangular structure partially breaking down into granular, while the CA horizon had both subangular and angular. This change in structure from massive (in 1978) to granular/subangular (in 2021) in the surface horizons indicates a major role of plants in the development of pedogenic structure, as also found in other studies [6,12,16,22,40,42,43]. Comparing the structure of Ap1 to the Ap2 subhorizon of fertilized and to the AC horizon of unfertilized soils, it can be concluded that in Ap1, the higher impact of biologic agents and processes on the soil structure transformation was marked, as highlighted by other studies [44,45]. Increased biomass supply in Technosols fertilized in the presence of CaCO3 promotes the formation of clay–humus complexes and the accumulation of SOC and, thus, further development of aggregate structure can be expected. This trend relates to the increase in the share of the granular structure over blocky. Unfortunately, in the parent materials (C), the structure remains massive, sometimes breaking down into angular and subangular, as confirmed by the SI results typical for degraded soil structure using Pieri [28] criteria. The massive structure, very firm consistency and high density present a serious barrier to root growth. These properties of parent materials fulfill the criteria of the supplementary qualifier “densic”, which was not observed in 1978. This indicates that, in Technosols having a similar texture of spoil material, strong compaction in subsurface horizons occurs, which is consistent with other reports [40,46], and even long-term legume cultivation does not cause them to loosen [15]. Also, in natural soils, the degradation of their structure due to compaction is difficult to recover [47]. In the analyzed minesoils, after 43 years of the field experiment, profile variation of CaCO3 content was observed, indicating the occurrence of chemical weathering processes. These, however, depend on many factors, including climatic conditions, minesoil use and parent material properties [16,48,49], and may already be evident after a few years of remediation [38,40,50]. Hence, the intensification of weathering processes sometimes leads to the appearance of characteristic features for the B-horizon after only 40 years [38,51]. However, for most Technosols, the time of B horizon formation is much longer [17]; hence, minesoils, depending on age, have mainly C, AC–C or A–C horizons in the profile [11]. Also, the 43-year-old Technosols we analyzed had A–C horizons, in which, in addition to calcite weathering, the initial oxidation processes in the form of mottles were also observed (Table 2). However, these features of initial weathering in the subsurface horizons do not allow the B horizon to be distinguished. Nevertheless, it can be expected that the future development and intensification of weathering processes in the analyzed Technosols may involve their transformation to another Reference Soil Group, such as Cambisols, and then to Luvisols, especially as, in this region, the soils that have been formed from glacial till are dominated by Luvisols [52,53]. A similar future trajectory of Technosols was proposed by Leguédois et al. [17], Santini and Frey [54] and Spasić et al. [18].
4.2. Changes in Technosols’ Properties
Soil bulk density (BD) is one of the important indicators of soil state and productivity [35,55,56]. Its values in the Technosols of the internal dump in 1978 were not significantly profile-differentiated. However, after long-term agricultural restoration, material in the surface parts of fertilized minesoils was loosened with a simultaneous increase in compaction in deeper horizons, which is consistent with previous reports [12,15,16,20,57,58]. Our study indicates that cultivation of winter wheat and winter oilseed rape without fertilizer (0NPK) did not significantly reduce BD values in the surface horizon in comparison to 1978. The reduction of BD was found only in fertilized Ap1 subhorizons and occurred mainly due to the development of the root system of the cultivated plants—and the associated higher SOC content—and the formation of the aggregate soil structure (Table 2). In the Ap2 subhorizon, the BD values were similar to those in the AC horizon of the control plot (0-NPK) and to those in 1978. This indicates that, despite cultivation, this spoil material formed mainly from glacial material (till) is vulnerable to rapid compaction. Tillage operations such as disc harrowing and ploughing were carried out in August and aggregate sowing took place in September, while soil sampling was conducted in the third week of April. Spoil material such as glacial till is highly prone to compaction [59] and even deep soil loosening during cultivation is very quickly invisible [46]. A high BD (close to 2.0 Mg m−3) found in Cd horizons was limiting for plant root development [60,61,62], at the same time indicating the achievement of maximum values for till [63,64]. In the case of particle density (PD), the 43-year development of Technosols under agricultural reclamation resulted in marked profile variation that was not observed in 1978. Our study showed that fertilization significantly affected the PD values in Ap horizons, which was related to the SOC content. In general, PD in the parent material and in the surface AC horizon of unfertilized soil did not change after long-term agricultural rehabilitation, while PD values in the Ap1 of fertilized minesoils were comparable to those observed in cultivated natural soils with similar texture [53].
The consequence of BD and PD changes during long-term agricultural reclamation was reflected in changes of SP and AFP in soil profiles. In the upper-most horizons, SP and AFP values increased, but in parent materials decreased as a result of a BD increase. In unfertilized minesoils, there was no improvement of SP and AFP in the surface horizon after 43 years of cultivation, while in fertilized soils, porosity improved, especially in the Ap1 subhorizon. These relationships were associated with the accumulation of SOC, soil structure changes and root development, which was also highlighted by Čížková et al. [12] and Pihlap et al. [16]. Good root growth and development require adequate soil air capacity (AFP), which should be at least 0.10 m3 m−3 [35]. The analyzed minesoils met these minimum AFP requirements at all depths in 1978. After 43 years, a significant improvement in AFP was found only in Ap1, while a marked deterioration was observed in the parent materials of all plots. Such a trend of temporal changes of AFP in minesoil may already be evident after 3 years [46].
At the beginning of the rehabilitation process (1978), minesoils were characterized by similar water retention at FC and, after long-term agricultural reclamation, regardless of fertilization, resulted in profile differences. In general, FC values in the Ap1 subhorizon of fertilized soils increased, while the values of this property did not change in the parent materials. The trend was similar for PAWC, which describes a soil’s ability to retain and supply water to plants; hence, it is a basic indicator of soil physical quality [34,35,52,55]. At the initial time of reclamation (1978), the soils analyzed were characterized by “limited” PAWC values using the criteria given by Reynolds et al. [36]. However, 43 years of rehabilitation treatments have significantly improved PAWC in surface parts of soil, from “limited” to “good”, simultaneously leading to profile differentiation. Such profile variation of PAWC was not found following 3 years of agricultural reclamation [46] or 16 years of post-mining area afforestation [57], indicating that only after a long period of restoration is PAWC improvement visible.
The relationship between FC and SWC expressed by RFC is a key parameter for assessing the soil’s physical quality [65]. For agriculture, mineral soil is optimal when 0.6 ≤ RFC ≤ 0.7 In the Technosols we studied in 1978, RFC values had the optimal range for microbial activity. After 43 years, the parent materials of all minesoils had RFC values above 0.7, resulting in decreased microbial activity due to inadequate aeration (“aeration limited” soil). The observed deterioration of RFC in parent materials should be associated with a decrease in SP (also SWC) due to the compaction process leading to an increase in BD, with no clear temporal change of FC. Castellini et al. [65] also observed higher RFC values as an effect of increasing BD. In minesoils, even long-term cultivation of alfalfa did not inhibit the compaction and increase of RFC in the subsurface horizons [15]. In the surface horizons of all minesoils, RCF was optimal, despite an increase in FC during the 1978–2021 period, which was also associated with an increase in SP.
The ‘Dexter soil index S’ [23] is an indicator of soil physical state as a result of many other soil properties. In the Technosols we studied in 1978, S index values were similar at all depths and were just below 0.035, indicating “poor” physical quality. After 43 years, the physical condition of the Ap1 subhorizons improved to “good” state, in the AC surface horizon of unfertilized minesoils it had not changed over time, while in the Cd of all Technosols it had significantly deteriorated to “very poor” physical quality. These temporal changes of S in the surface horizons were indirectly related to biomass production and SOC changes. In plots where the highest yields were recorded (I-NPK and II-NPK) (Table 1), there was a significant improvement in physical quality in the surface part of soil. Soares et al. [66] also established an indirect relation between soil physical quality and biomass production, which depended on cover crops. Therefore, the S values obtained with the wheat/rape rotation were lower than those observed by Kozłowski et al. [15] with the alfalfa–grass mixture. This temporal change in the physical quality of the analyzed soils in the surface horizons was also indirectly related to fertilization, as has also been pointed out in other studies [15,67].
4.3. Technosols’ Treatment
Our research showed that fertilization during agricultural rehabilitation where winter wheat/oilseed rape was grown had an indirect beneficial impact on temporal changes in analyzed properties of Technosols. This indirect effect of fertilization was associated with the stimulation of plant development and thus with an increased input of organic matter (Table 1), resulting in higher SOC sequestration, clay–humus complexation and soil aggregation. These, in turn, had a beneficial effect on improving the physical and hydrophysical characteristics of the developing Technosols. A significant effect of improving the properties of Technosols is noticeable only after a dozen or so years [68,69]. In the case of the Technosols analyzed, this effect was only seen in the surface parts of minesoils. Our findings indicate that growing winter wheat/oilseed rape without fertilization does not lead to improvement of Technosols’ properties, as is the case with forestry restoration [19,57,58,70], spontaneous [12,20,40,50] or agriculture with legumes [43,46]. This was also confirmed by the results of average grain yields (Table 1), where, in minesoils without fertilization, they were on average four and nine times lower than in fertilized soils for wheat and oilseed rape, respectively. Also in natural soils, lack of NPK fertilization causes a significant decrease in yield of winter wheat [71,72] and oilseed rape [73]. During agricultural reclamation, biomass development is mainly limited by nitrogen and most post-mining land parent materials are characterized by severe deficiencies of this nutrient [11,16]. Hence, legumes are often used to ease nitrogen deficiency in Technosols of post-mining areas [13,43,74]. However, supporting legumes with fertilizer promotes biomass growth and improved Technosols [13,15]. Our results showed that the application of a winter wheat/winter oilseed rape rotation with fertilization resulted in improved physical properties of minesoil, similar to those observed with an alfalfa/grass mixture without fertilization [15]. Also, our findings showed that in a wheat–rape rotational crop, an increase in fertilization over I-NPK is unnecessary and does not substantially improve properties of minesoils. Taking into account the progressive degradation of natural soil resources [2] and the need to ensure food security [1,21], it can be expected that agricultural reclamation of post-mining land, focused on food production, will become more important in the near future. This, in turn, must be preceded by recognition of the characteristics of young Technosols on the basis of which suitable crop can be selected to achieve higher yield and increased SOC sequestration [10,75,76]. Therefore, it seems that further development of research on agricultural reclamation is necessary, which is also justified in terms of following the development of Technosols, because fertilizer-assisted vegetation, via the inflow of plant residues together with the rhizosphere, can significantly enhance weathering processes.
5. Conclusions
The long-term cultivation of winter wheat and oilseed rape in minesoils caused the development of soil horizons differing in physical, water retention and morphological properties. The soil-forming processes responsible for these transformations are mainly related to organic carbon sequestration, structure development and weathering, while strong compaction has occurred in the subsurface horizons.
After 43 years of agricultural rehabilitation, an Ap horizon (differentiated into Ap1 and Ap2) that was not clearly formed in minesoil without fertilization developed in fertilized Technosols. In the most surface subhorizon (Ap1), there was a significant improvement in the physical quality (S) of Technosols, indicated by decreasing density values (bulk density, BD, and particle density, PD) and increasing structural stability index (SI), soil porosity (SP), air-filled porosity (AFP, statistically insignificant) and water retention properties (field capacity, FC, and plant available water capacity, PAWC). Generally, in the Ap2 subhorizon, physical and water retention properties were similar to those in the surface horizon AC of unfertilized Technosols and to those observed in 1978 (except for PD). Regardless of fertilization, over a period of 43 years, the horizons of parent materials deteriorated in physical quality (S), increased in density (BD) and decreased in porosity (SP, AFP), while particle density (PD) and water retention capacities (FC and PAWC) remained unchanged over time.
The 43-year-old post-mining Technosols with NPK fertilization showed a decrease in BD and PD values in the surface horizon, but an increase in SP, DP, AFP, FC, PAWC and S values in comparison with unfertilized minesoils. In the subsurface horizons, the properties of minesoils were similar regardless of fertilization. Increasing fertilization above plant requirements did not lead to further improvement of Technosols’ properties in surface horizon.
Author Contributions
Conceptualization, M.K. and K.O.; methodology, M.K.; formal analysis, M.K.; investigation, M.K. and K.O.; resources, M.K and K.O.; data curation, M.K.; writing—original draft preparation, M.K.; writing—review and editing, M.K., K.O., M.P. (Marek Pająk) and M.P. (Marcin Pietrzykowski); visualization, M.K.; supervision, M.K. and K.O.; project administration, M.K. and K.O.; funding acquisition, K.O. All authors have read and agreed to the published version of the manuscript.
Funding
This research was funded by Marshal’s Office of the Wielkopolska Region, grant number 255/2022.
Institutional Review Board Statement
Not applicable.
Informed Consent Statement
Not applicable.
Data Availability Statement
The data presented in this study are available on request from the corresponding author.
Conflicts of Interest
The authors declare no conflict of interest.
References
- Kopittke, P.M.; Menzies, N.W.; Wang, P.; McKenna, B.A.; Lombi, E. Soil and the intensification of agriculture for global food security. Environ. Int. 2019, 132, 105078. [Google Scholar] [CrossRef]
- Montanarella, L.; Pennock, D.J.; McKenzie, N.; Badraoui, M.; Chude, V.; Baptista, I.; Mamo, T.; Yemefack, M.; Singh Aulakh, M.; Yagi, K.; et al. World’s soils are under threat. Soil 2016, 2, 79–82. [Google Scholar] [CrossRef]
- Widera, M.; Kasztelewicz, Z.; Ptak, M. Lignite mining and electricity generation in Poland: The current state and future prospects. Energy Pol. 2016, 92, 151–157. [Google Scholar] [CrossRef]
- Martins, W.B.R.; Lima, M.D.R.; Junior, U.D.O.B.; Amorim, L.S.V.B.; de Assis Oliveira, F.; Schwartz, G. Ecological methods and indicators for recovering and monitoring ecosystems after mining: A global literature review. Ecol. Eng. 2020, 145, 105707. [Google Scholar] [CrossRef]
- Wyrwa, A.; Suwała, W.; Pluta, M.; Raczyński, M.; Zyśk, J.; Tokarski, S. A new approach for coupling the short-and long-term planning models to design a pathway to carbon neutrality in a coal-based power system. Energy 2022, 239, 122438. [Google Scholar] [CrossRef]
- Li, Y.; Zhou, W.; Jing, M.; Wang, S.; Huang, Y.; Geng, B.; Cao, Y. Changes in reconstructed soil physicochemical properties in an opencast mine dump in the loess plateau area of China. Int. J. Environ. Res. Public Health 2022, 19, 706. [Google Scholar] [CrossRef] [PubMed]
- Feng, Y.; Wang, J.; Bai, Z.; Reading, L. Effects of surface coal mining and land reclamation on soil properties: A review. Earth Sci. Rev. 2019, 191, 12–25. [Google Scholar] [CrossRef]
- USS Working Group WRB. World Reference Base for Soil Resources 2014, Update 2015: International Soil Classification System for Naming Soils and Creating Legends for Soil Maps; World Soil Resources Reports No. 106; FAO: Rome, Italy, 2015. [Google Scholar]
- Placek-Lapaj, A.; Grobelak, A.; Fijalkowski, K.; Singh, B.R.; Almas, A.R.; Kacprzak, M. Post-mining soil as carbon storehouse under Polish conditions. J. Environ. Manag. 2019, 238, 307–314. [Google Scholar] [CrossRef]
- Gonçalves, J.O.; Fruto, C.M.; Barranco, M.J.; Oliveira, M.L.S.; Ramos, C.G. Recovery of degraded areas through Technosols and mineral nanoparticles: A review. Sustainability 2022, 14, 993. [Google Scholar] [CrossRef]
- Kumari, S.; Maiti, S.K. Nitrogen recovery in reclaimed mine soil under different amendment practices in tandem with legume and non-legume revegetation: A review. Soil Use Manag. 2022, 38, 1113–1145. [Google Scholar] [CrossRef]
- Čížková, B.; Woś, B.; Pietrzykowski, M.; Frouz, J. Development of soil chemical and microbial properties in reclaimed and unreclaimed grasslands in heaps after opencast lignite mining. J. Ecol. Eng. 2018, 123, 103–111. [Google Scholar] [CrossRef]
- Otremba, K.; Kozłowski, M.; Tatuśko-Krygier, N.; Pająk, M.; Kołodziej, B.; Bryk, M. Impact of alfalfa and NPK fertilization in agricultural reclamation on the transformation of Technosols in an area following lignite mining. Land Degrad. Dev. 2021, 32, 1179–1191. [Google Scholar] [CrossRef]
- Frouz, J. Soil recovery and reclamation of mined lands. In Soils and Landscape Restoration; Stanturf, J.A., Callaham, M.A., Eds.; Academic Press: Cambridge, MA, USA, 2021; pp. 161–191. [Google Scholar] [CrossRef]
- Kozłowski, M.; Otremba, K.; Tatuśko-Krygier, N.; Komisarek, J.; Wiatrowska, K. The effect of an extended agricultural reclamation on changes in physical properties of Technosols in post-lignite-mining areas: A case study from central Europe. Geoderma 2022, 410, 115664. [Google Scholar] [CrossRef]
- Pihlap, E.; Vuko, M.; Lucas, M.; Steffens, M.; Schloter, M.; Veettrlein, D.; Endenich, M.; Kögel-Knabner, I. Initial soil formation in an agriculturally reclaimed open-cast mining area—The role of management and loess parent material. Soil Tillage Res. 2019, 191, 224–237. [Google Scholar] [CrossRef]
- Leguédois, S.; Séré, G.; Auclerc, A.; Cortet, J.; Huot, H.; Ouvrard, S.; Watteau, F.; Schwartz, C.; Morel, J.L. Modelling pedogenesis of Technosols. Geoderma 2016, 262, 199–212. [Google Scholar] [CrossRef]
- Spasić, M.; Boruvka, L.; Vacek, O.; Drábek, O.; Tejnecký, V. Pedogenesis problems on reclaimed coal mining sites. Soil Water Res. 2021, 16, 137–150. [Google Scholar] [CrossRef]
- Bartuska, M.; Frouz, J. Carbon accumulation and changes in soil chemistry in reclaimed open? Cast coal mining heaps near Sokolov using repeated measurement of chronosequence sites. Eur. J. Soil Sci. 2015, 66, 104–111. [Google Scholar] [CrossRef]
- Liu, X.; Bai, Z.; Zhou, W.; Cao, Y.; Zhang, G. Changes in soil properties in the soil profile after mining and reclamation in an opencast coal mine on the Loess Plateau, China. Ecol. Eng. 2017, 98, 228–239. [Google Scholar] [CrossRef]
- Montanarella, L.; Panagos, P. The relevance of sustainable soil management within the European Green Deal. Land Use Policy 2021, 100, 104950. [Google Scholar] [CrossRef]
- Zhang, P.; Cui, Y.; Zhang, Y.; Jia, J.; Wang, X.; Zhang, X. Changes in soil physical and chemical properties following surface mining and reclamation. Soil Sci. Soc. Am. J. 2016, 80, 1476–1485. [Google Scholar] [CrossRef]
- Dexter, A.R. Soil physical quality. Part I: Theory, effects of soil texture, density and organic matter and effects on root growth. Geoderma 2004, 120, 201–214. [Google Scholar] [CrossRef]
- Liu, R.; Lal, R. A laboratory study on amending mine soil quality. Water Air Soil Pollut. 2013, 224, 1679. [Google Scholar] [CrossRef]
- Bender, J. Reclamation of post-mining areas in Poland. Adv. Agric. Sci. Prob. ISS 1995, 418, 75–86. (In Polish) [Google Scholar]
- ISO 11277; Determination of Particle Size Distribution in Mineral Soil Material—Method by Sieving and Sedimentation. ISO: Geneva, Switzerland, 2009.
- Nelson, D.W.; Sommers, L.E. Total carbon, organic carbon, and organic matter. In Methods of Soil Analysis. Part 2 Chemical and Microbiological Properties, 2nd ed.; Page, A.L., Miller, R.H., Keeney, D.R., Eds.; Agronomy Monograph No. 9; ASA, SSSA: Madison, WI, USA, 1982; pp. 539–580. [Google Scholar] [CrossRef]
- Pieri, C.J.M.G. Establishing the Organic Matter Balance in Cultivated Soils. In Fertility of Soils; Pieri, C.J.M.G., Ed.; Springer: Berlin, Germany, 1992; Volume 10, pp. 244–261. [Google Scholar] [CrossRef]
- ISO 11272; Soil Quality—Determination of Dry Bulk Density. ISO: Geneva, Switzerland, 2017.
- ISO 11508; Soil Quality—Determination of Particle Density. ISO: Geneva, Switzerland, 2017.
- Campbell, G.S.; Gee, G.W. Water Potential: Miscellaneous Methods. In Methods of Soil Analysis: Part 1—Physical and Mineralogical Methods, 2nd ed.; Klute, A., Ed.; American Society of Agronomy: Madison, WI, USA, 1986; Volume 6, pp. 619–633. [Google Scholar] [CrossRef]
- Klute, A. Water Retention: Laboratory Methods. In Methods of Soil Analysis: Part 1—Physical and Mineralogical Methods, 2nd ed.; Klute, A., Ed.; American Society of Agronomy: Madison, WI, USA, 1986; Volume 6, pp. 635–662. [Google Scholar] [CrossRef]
- van Genuchten, M.T.; Leij, F.J.; Yates, S.R. The RETC Code for Quantifying the Hydraulic Functions of Unsaturated Soils (EPA/600/2-91/065); US Environmental Protection Agency: Ada, OK, USA, 1991. [Google Scholar]
- Reynolds, W.D.; Drury, C.F.; Yang, X.M.; Tan, C.S. Optimal soil physical quality inferred through structural regression and parameter interactions. Geoderma 2008, 146, 466–474. [Google Scholar] [CrossRef]
- Reynolds, W.D.; Drury, C.F.; Tan, C.S.; Fox, C.A.; Yang, X.M. Use of indicators and pore volume-function characteristics to quantify soil physical quality. Geoderma 2009, 152, 252–263. [Google Scholar] [CrossRef]
- Dexter, A.R.; Czyż, E.A. Applications of S-theory in the study of soil physical degradation and its consequences. Land Degrad. Dev. 2007, 18, 369–381. [Google Scholar] [CrossRef]
- FAO. Guidelines for Soil Description, 4th ed.; FAO: Rome, Italy, 2006. [Google Scholar]
- Scalenghe, R.; Ferraris, S. The first forty years of a Technosol. Pedosphere 2009, 19, 40–52. [Google Scholar] [CrossRef]
- Séré, G.; Schwartz, C.; Ouvrard, S.; Renat, J.C.; Watteau, F.; Villemin, G.; Morel, J.L. Early pedogenic evolution of constructed Technosols. J. Soils Sediments 2010, 10, 1246–1254. [Google Scholar] [CrossRef]
- Huot, H.; Simonnot, M.O.; Marion, P.; Yvon, J.; De Donato, P.; Morel, J.L. Characteristics and potential pedogenetic processes of a Technosol developing on iron industry deposits. J. Soils Sediments 2013, 13, 555–568. [Google Scholar] [CrossRef]
- Wick, A.F.; Daniels, W.L.; Orndorff, Z.W.; Alley, M.M. Organic matter accumulation post-mineral sands mining. Soil Use Manag. 2013, 29, 354–364. [Google Scholar] [CrossRef]
- Uzarowicz, Ł.; Wolińska, A.; Błońska, E.; Szafranek-Nakonieczna, A.; Kuźniar, A.; Słodczyk, Z.; Kwasowski, W. Technogenic soils (Technosols) developed from mine spoils containing Fe sulphides: Microbiological activity as an indicator of soil development following land reclamation. Appl. Soil Ecol. 2020, 156, 103699. [Google Scholar] [CrossRef]
- Kumari, S.; Maiti, S.K. Reclamation of coalmine spoils with topsoil, grass, and legume: A case study from India. Environ. Earth Sci. 2019, 78, 1–14. [Google Scholar] [CrossRef]
- Lucas, M.; Schlüter, S.; Vogel, H.J.; Vetterlein, D. Soil structure formation along an agricultural chronosequence. Geoderma 2019, 350, 61–72. [Google Scholar] [CrossRef]
- Meurer, K.; Barron, J.; Chenu, C.; Coucheney, E.; Fielding, M.; Hallett, P.; Herrmann, A.M.; Keller, T.; Koestel, J.; Larsbo, M.; et al. A framework for modelling soil structure dynamics induced by biological activity. Glob. Chan. Biol. 2020, 26, 5382–5403. [Google Scholar] [CrossRef] [PubMed]
- Krümmelbein, J.; Raab, T. Development of soil physical parameters in agricultural reclamation after brown coal mining within the first four years. Soil Tillage Res. 2012, 125, 109–115. [Google Scholar] [CrossRef]
- Keller, T.; Colombi, T.; Ruiz, S.; Schymanski, S.J.; Weisskopf, P.; Koestel, J.; Sommer, M.; Stadelmann, V.; Breitenstein, D.; Kirchgessner, N.; et al. Soil structure recovery following compaction: Short-term evolution of soil physical properties in a loamy soil. Soil Sci. Soc. Am. J. 2021, 85, 1002–1020. [Google Scholar] [CrossRef]
- Santini, T.C.; Fey, M.V. Assessment of Technosol formation and in situ remediation in capped alkaline tailings. Catena 2016, 136, 17–29. [Google Scholar] [CrossRef]
- Allory, V.; Séré, G.; Ouvrard, S. A meta-analysis of carbon content and stocks in Technosols and identification of the main governing factors. Eur. J. Soil Sci. 2022, 73, 1–17. [Google Scholar] [CrossRef]
- Abakumov, E.V.; Frouz, J. Evolution of the soil humus status on the calcareous Neogene clay dumps of the Sokolov quarry complex in the Czech Republic. Eurasian Soil Sci. 2009, 42, 718–724. [Google Scholar] [CrossRef]
- Abakumov, E.V. Elemental composition and structural features of humic substances in young podzols developed on sand quarry dumps. Eurasian Soil Sci. 2009, 42, 616–622. [Google Scholar] [CrossRef]
- Kozłowski, M.; Komisarek, J. Groundwater chemistry and hydrogeochemical processes in a soil catena of the Poznań Lakeland, central Poland. J. Elem. 2017, 22, 681–695. [Google Scholar] [CrossRef]
- Kozłowski, M.; Komisarek, J. Influence of terrain attributes on organic carbon stocks distribution in soil toposequences of central Poland. Soil Sci. Ann. 2018, 69, 215–222. [Google Scholar] [CrossRef]
- Santini, T.C.; Fey, M.V. From tailings to soil: Long-term effects of amendments on progress and trajectory of soil formation and in situ remediation in bauxite residue. J. Soils Sediments 2018, 18, 1935–1949. [Google Scholar] [CrossRef]
- Koureh, H.K.; Asgarzadeh, H.; Mosaddeghi, M.R.; Khodaverdiloo, H. Critical values of soil physical quality indicators based on vegetative growth characteristics of spring wheat (Triticum aestivum L.). J. Soil Sci. Plant Nutr. 2020, 20, 493–506. [Google Scholar] [CrossRef]
- Huang, Y.; Cao, Y.; Pietrzykowski, M.; Zhou, W.; Bai, Z. Spatial distribution characteristics of reconstructed soil bulk density of opencast coal-mine in the loess area of China. Catena 2021, 199, 105116. [Google Scholar] [CrossRef]
- Ahirwal, J.; Maiti, S.K. Assessment of soil properties of different land usesgenerated due to surface coal mining activities in tropical Sal (Shorea robusta) forest, India. Catena 2016, 140, 155–163. [Google Scholar] [CrossRef]
- Haigh, M.; Woodruffe, P.; D’Aucourt, M.; Alun, E.; Wilding, G.; Fitzpatrick, S.; Filcheva, E.; Noustorova, M. Successful ecological regeneration of opencast coal mine spoils through forestation: From cradle to grove. Minerals 2020, 10, 461. [Google Scholar] [CrossRef]
- Stock, O.; Bens, O.; Hüttl, R.F. The interrelationship between the cultivation of crops and soil-strength dynamics. J. Plant Nutr. Soil Sci. 2007, 170, 713–720. [Google Scholar] [CrossRef]
- Reynolds, W.D.; Bowman, B.T.; Drury, C.F.; Tan, C.S.; Lu, X. Indicators of good soil physical quality: Density and storage parameters. Geoderma 2002, 110, 131–146. [Google Scholar] [CrossRef]
- USDA-NRCS Soil Quality-Soil Compaction: Detection, Prevention, and Alleviation; Agronomy Technical Notes; National Soil Quality Institute: Auburn, Alabama, 2003; Volume 17.
- Sato, M.K.; de Lima, H.V.; de Oliveira, P.D.; Rodrigues, S. Critical soil bulk density for soybean growth in Oxisols. Int. Agrophys. 2015, 29, 441–447. [Google Scholar] [CrossRef]
- Fausey, N.R.; Hall, G.F.; Bigham, J.M.; Allred, B.J.; Christy, A.D. Properties of the fractured glacial till at the Madison County, Ohio, field workshop pit site. Ohio J. Sci. 2000, 100, 107–112. [Google Scholar]
- Bąkowska, A.; Dobak, D.; Gawriuczenkow, I.; Kiełbasiński, K.; Szczepański, T.; Trzciński, J.; Wójcik, E.; Zawrzykraj, P. Stress-strain behaviour analysis of Middle Polish glacial tills from Warsaw (Poland) based on the interpretation of advanced field and laboratory tests. Acta Geol. Pol. 2016, 66, 562–586. [Google Scholar] [CrossRef]
- Castellini, M.; Fornaro, F.; Garofalo, P.; Giglio, L.; Rinaldi, M.; Ventrella, D.; Viti, C.; Vonella, A.V. Effects of no-tillage and conventional tillage on physical and hydraulic properties of fine textured soils under winter wheat. Water 2019, 11, 484. [Google Scholar] [CrossRef]
- Soares, M.B.; Tavanti, R.F.R.; Rigotti, A.R.; de Lima, J.P.; da Silva Freddi, O.; Petter, F.A. Use of cover crops in the southern Amazon region: What is the impact on soil physical quality? Geoderma 2021, 384, 114796. [Google Scholar] [CrossRef]
- Kiani, M.; Hernandez-Ramirez, G.; Quideau, S.; Smith, E.; Janzen, H.; Larney, F.J.; Puurveen, D. Quantifying sensitive soil quality indicators across contrasting long-term land management systems: Crop rotations and nutrient regimes. Agric Ecosyst Environ. 2017, 248, 123–135. [Google Scholar] [CrossRef]
- Stutler, K.; Pena-Yewtukhiw, E.; Skousen, J. Mine soil health on surface mined lands reclaimed to grassland. Geoderma 2022, 413, 115764. [Google Scholar] [CrossRef]
- Khlifa, R.; Rivest, D.; Grimond, L.; Bélanger, N. Stability of carbon pools and fluxes of a Technosol along a 7-year reclamation chronosequence at an asbestos mine in Canada. Ecol. Indic. 2023, 186, 106839. [Google Scholar] [CrossRef]
- Frouz, J.; Pižl, V.; Cienciala, E.; Kalčík, J. Carbon storage in post-mining forest soil, the role of tree biomass and soil bioturbation. Biogeochemistry 2009, 94, 111–121. [Google Scholar] [CrossRef]
- Malghani, A.L.; Malik, A.U.; Sattar, A.; Hussain, F.; Abbas, G.; Hussain, J. Response of growth and yield of wheat to NPK fertilizer. Sci. Int. 2010, 24, 185–189. [Google Scholar]
- Kostić, M.M.; Tagarakis, A.C.; Ljubičić, N.; Blagojević, D.; Radulović, M.; Ivošević, B.; Rakić, D. The effect of n fertilizer application timing on wheat yield on chernozem soil. Agronomy 2021, 11, 1413. [Google Scholar] [CrossRef]
- Tian, C.; Zhou, X.; Fahmy, A.E.; Ding, Z.; Zhran, M.A.; Liu, Q.; Peng, J.; Zhang, Z.; Song, H.; Guan, C.; et al. Balanced fertilization under different plant densities for winter oilseed rape (Brassica napus L.) grown on paddy soils in Southern China. Ind. Crops Prod. 2020, 151, 112413. [Google Scholar] [CrossRef]
- Misebo, A.M.; Pietrzykowski, M.; Woś, B. Soil carbon sequestration in novel ecosystems at post-mine sites-a new insight into the determination of key factors in the restoration of terrestrial ecosystems. Forests 2022, 13, 63. [Google Scholar] [CrossRef]
- Gairola, S.U.; Bahuguna, R.; Bhatt, S.S. Native Plant Species: A Tool for Restoration of Mined Lands. J. Soil Sci. Plant Nutr. 2023, 1–11. [Google Scholar] [CrossRef] [PubMed]
- Iskandar, I.; Suryaningtyas, D.T.; Baskoro, D.P.T.; Budi, S.W.; Gozali, I.; Saridi, S.; Masyhuri, M.; Dultz, S. The regulatory role of mine soil properties in the growth of revegetation plants in the post-mine landscape of East Kalimantan. Ecol. Indic. 2022, 139, 108877. [Google Scholar] [CrossRef]
Disclaimer/Publisher’s Note: The statements, opinions and data contained in all publications are solely those of the individual author(s) and contributor(s) and not of MDPI and/or the editor(s). MDPI and/or the editor(s) disclaim responsibility for any injury to people or property resulting from any ideas, methods, instructions or products referred to in the content. |
© 2023 by the authors. Licensee MDPI, Basel, Switzerland. This article is an open access article distributed under the terms and conditions of the Creative Commons Attribution (CC BY) license (https://creativecommons.org/licenses/by/4.0/).





