Insights into the Effects of CeO2 Nanoparticles on Medium-Chain Carboxylates Production from Waste Activated Sludge
Abstract
1. Introduction
2. Materials and Methods
2.1. Sources and Characteristics of Inoculum, WAS and CeO2 NPs
2.2. Potential Test for the Production of MCCs
2.3. Key Steps for MCC Production with Different Dosage CeO2 NPs
2.4. The Characteristics of Anaerobes for the Production of MCCs
2.5. Microbial Community Compositions as Revealed by High-Throughput 16S rRNA Gene Sequencing
2.6. Analytical Methods
3. Results and Discussion
3.1. Chain Elongation under Different Dosage of CeO2 NPs
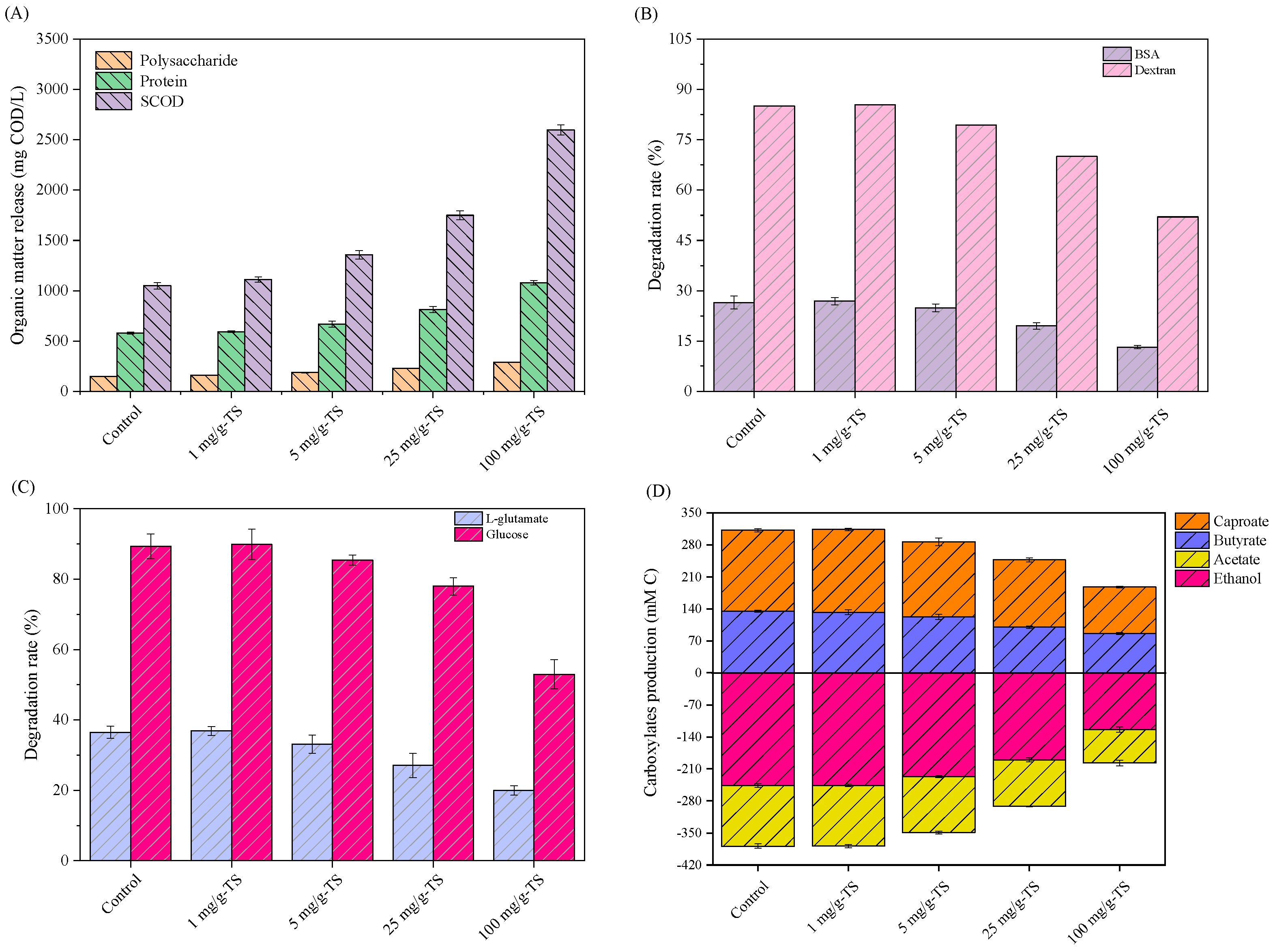
3.2. Flow of Organics Involved in the Key Processes
3.3. Mechanisms of CeO2 NPs Affecting the Production of MCCs
3.4. Microbial Community Composition Analysis of the Chain Elongation Process
4. Conclusions
Author Contributions
Funding
Institutional Review Board Statement
Informed Consent Statement
Data Availability Statement
Acknowledgments
Conflicts of Interest
References
- Wu, Q.; Feng, X.; Chen, Y.; Liu, M.; Bao, X. Continuous medium chain carboxylic acids production from excess sludge by granular chain-elongation process. J. Hazard. Mater. 2021, 402, 123471. [Google Scholar] [CrossRef] [PubMed]
- Usman, M.; Shi, Z.; Dutta, N.; Ashraf, M.A.; Ishfaq, B.; El-Din, M.G. Current challenges of hydrothermal treated wastewater (HTWW) for environmental applications and their perspectives: A review. Environ. Res. 2022, 212, 113532. [Google Scholar] [CrossRef]
- Liu, Y.; Wang, Q.; Zhang, Y.; Ni, B.-J. Zero valent iron significantly enhances methane production from waste activated sludge by improving biochemical methane potential rather than hydrolysis rate. Sci. Rep. 2015, 5, 8263. [Google Scholar] [CrossRef] [PubMed]
- Dutta, N.; Garrison, R.; Usman, M.; Ahring, B.K. Enhancing methane production of anaerobic digested sewage sludge by advanced wet oxidation & steam explosion pretreatment. Environ. Technol. Innov. 2022, 28, 102923. [Google Scholar]
- Luo, J.; Feng, L.; Chen, Y.; Li, X.; Chen, H.; Xiao, N.; Wang, D. Stimulating short-chain fatty acids production from waste activated sludge by nano zero-valent iron. J. Biotechnol. 2014, 187, 98–105. [Google Scholar] [CrossRef]
- Xia, A.; Cheng, J.; Ding, L.; Lin, R.; Song, W.; Su, H.; Zhou, J.; Cen, K. Substrate consumption and hydrogen production via co-fermentation of monomers derived from carbohydrates and proteins in biomass wastes. Appl. Energy 2015, 139, 9–16. [Google Scholar] [CrossRef]
- Wang, X.-T.; Zhang, Y.-F.; Wang, B.; Wang, S.; Xing, X.; Xu, X.-J.; Liu, W.-Z.; Ren, N.-Q.; Lee, D.-J.; Chen, C. Enhancement of methane production from waste activated sludge using hybrid microbial electrolysis cells-anaerobic digestion (MEC-AD) process—A review. Bioresour. Technol. 2021, 346, 126641. [Google Scholar] [CrossRef] [PubMed]
- Dutta, N.; Usman, M.; Ashraf, M.A.; Luo, G.; Gamal El-Din, M.; Zhang, S. Methods to convert lignocellulosic waste into biohydrogen, biogas, bioethanol, biodiesel and value-added chemicals: A review. Environ. Chem. Lett. 2022, 21, 803–820. [Google Scholar] [CrossRef]
- Liu, Y.; Lü, F.; Shao, L.; He, P. Alcohol-to-acid ratio and substrate concentration affect product structure in chain elongation reactions initiated by unacclimatized inoculum. Bioresour. Technol. 2016, 218, 1140–1150. [Google Scholar] [CrossRef]
- Mohammadi, M.; Najafpour, G.D.; Younesi, H.; Lahijani, P.; Uzir, M.H.; Mohamed, A.R. Bioconversion of synthesis gas to second generation biofuels: A review. Renew. Sustain. Energy Rev. 2011, 15, 4255–4273. [Google Scholar] [CrossRef]
- Roghair, M.; Liu, Y.; Adiatma, J.C.; Weusthuis, R.A.; Bruins, M.E.; Buisman, C.J.; Strik, D.P. Effect of n-caproate concentration on chain elongation and competing processes. ACS Sustain. Chem. Eng. 2018, 6, 7499–7506. [Google Scholar] [CrossRef]
- Wang, J.; Yin, Y. Biological production of medium-chain carboxylates through chain elongation: An overview. Biotechnol. Adv. 2022, 55, 107882. [Google Scholar] [CrossRef] [PubMed]
- Scarborough, M.J.; Lynch, G.; Dickson, M.; McGee, M.; Donohue, T.J.; Noguera, D.R. Increasing the economic value of lignocellulosic stillage through medium-chain fatty acid production. Biotechnol. Biofuels 2018, 11, 200. [Google Scholar] [CrossRef]
- Yang, Z.; Ren, N.-Q.; Ho, S.-H. Optimizing the production of short and medium chain fatty acids (SCFAs and MCFAs) from waste activated sludge using different alkyl polyglucose surfactants, through bacterial metabolic analysis. J. Hazard. Mater. 2020, 384, 121384. [Google Scholar]
- Wu, S.-L.; Wei, W.; Sun, J.; Xu, Q.; Dai, X.; Ni, B.-J. Medium-Chain fatty acids and long-chain alcohols production from waste activated sludge via two-stage anaerobic fermentation. Water Res. 2020, 186, 116381. [Google Scholar] [CrossRef] [PubMed]
- Zheng, H.-S.; Guo, W.-Q.; Yang, S.-S.; Feng, X.-C.; Du, J.-S.; Zhou, X.-J.; Chang, J.-S.; Ren, N.-Q. Thermophilic hydrogen production from sludge pretreated by thermophilic bacteria: Analysis of the advantages of microbial community and metabolism. Bioresour. Technol. 2014, 172, 433–437. [Google Scholar] [CrossRef]
- Angenent, L.T.; Richter, H.; Buckel, W.; Spirito, C.M.; Steinbusch, K.J.; Plugge, C.M.; Strik, D.P.; Grootscholten, T.I.; Buisman, C.J.; Hamelers, H.V. Chain elongation with reactor microbiomes: Open-culture biotechnology to produce biochemicals. Environ. Sci. Technol. 2016, 50, 2796–2810. [Google Scholar] [CrossRef]
- Liu, T.; Ghosh, S. Phase separation during anaerobic fermentation of solid substrates in an innovative plug-flow reactor. Water Sci. Technol. 1997, 36, 303. [Google Scholar] [CrossRef]
- Xu, Y.; Wang, C.; Hou, J.; Wang, P.; You, G.; Miao, L.; Lv, B.; Yang, Y. Influence of CeO2 NPs on biological phosphorus removal and bacterial community shifts in a sequencing batch biofilm reactor with the differential effects of molecular oxygen. Environ. Res. 2016, 151, 21–29. [Google Scholar] [CrossRef]
- Ma, J.; Quan, X.; Si, X.; Wu, Y. Responses of anaerobic granule and flocculent sludge to ceria nanoparticles and toxic mechanisms. Bioresour. Technol. 2013, 149, 346–352. [Google Scholar] [CrossRef]
- You, G.; Wang, P.; Hou, J.; Wang, C.; Xu, Y.; Miao, L.; Lv, B.; Yang, Y.; Liu, Z.; Zhang, F. Insights into the short-term effects of CeO2 nanoparticles on sludge dewatering and related mechanism. Water Res. 2017, 118, 93–103. [Google Scholar] [CrossRef]
- You, G.; Hou, J.; Wang, P.; Xu, Y.; Wang, C.; Miao, L.; Lv, B.; Yang, Y.; Luo, H. Effects of CeO2 nanoparticles on sludge aggregation and the role of extracellular polymeric substances–explanation based on extended DLVO. Environ. Res. 2016, 151, 698–705. [Google Scholar] [CrossRef] [PubMed]
- Ünşar, E.K.; Çığgın, A.; Erdem, A.; Perendeci, N. Long and short term impacts of CuO, Ag and CeO2 nanoparticles on anaerobic digestion of municipal waste activated sludge. Environ. Sci. Process. Impacts 2016, 18, 277–288. [Google Scholar] [CrossRef] [PubMed]
- Boxall, A.B.; Tiede, K.; Chaudhry, Q. Engineered nanomaterials in soils and water: How do they behave and could they pose a risk to human health? Nanomedicine 2007, 2, 919–927. [Google Scholar] [CrossRef]
- Tiede, K.; Hassellöv, M.; Breitbarth, E.; Chaudhry, Q.; Boxall, A.B. Considerations for environmental fate and ecotoxicity testing to support environmental risk assessments for engineered nanoparticles. J. Chromatogr. A 2009, 1216, 503–509. [Google Scholar] [CrossRef]
- Zhang, H.; He, X.; Zhang, Z.; Zhang, P.; Li, Y.; Ma, Y.; Kuang, Y.; Zhao, Y.; Chai, Z. Nano-CeO2 exhibits adverse effects at environmental relevant concentrations. Environ. Sci. Technol. 2011, 45, 3725–3730. [Google Scholar] [CrossRef] [PubMed]
- Bour, A.; Mouchet, F.; Verneuil, L.; Evariste, L.; Silvestre, J.; Pinelli, E.; Gauthier, L. Toxicity of CeO2 nanoparticles at different trophic levels–effects on diatoms, chironomids and amphibians. Chemosphere 2015, 120, 230–236. [Google Scholar] [CrossRef] [PubMed]
- Thill, A.; Zeyons, O.; Spalla, O.; Chauvat, F.; Rose, J.; Auffan, M.; Flank, A.M. Cytotoxicity of CeO2 nanoparticles for Escherichia coli. Physico-chemical insight of the cytotoxicity mechanism. Environ. Sci. Technol. 2006, 40, 6151–6156. [Google Scholar] [CrossRef]
- Auffan, M.; Kabore, A.K.; Cuny, A.; Ali, O.A.; Barakat, M.; Angeletti, B.; Proux, O.; Bottero, J.-Y.; Roche, N.; Santaella, C. Combusted-diesel additives containing CeO2 nanomaterials shape methanogenic pathways during sludge digestion and enhance biogas production. Environ. Sci. Nano 2022, 9, 4201–4213. [Google Scholar] [CrossRef]
- Wang, P.; Li, X.; Li, Y.; Su, Y.; Wu, D.; Xie, B. Enhanced anaerobic digestion performance of food waste by zero-valent iron and iron oxides nanoparticles: Comparative analyses of microbial community and metabolism. Bioresour. Technol. 2023, 371, 128633. [Google Scholar] [CrossRef] [PubMed]
- Liu, Y.; Ye, X.; Xiao, Q.; Wang, C.; Jia, Z.; Cao, C.; Du, J.; Kong, X.; Xi, Y. Targeted addition of CeO2 nanoparticles to promote methane production in anaerobic digestion systems of wheat straw. J. Clean. Prod. 2022, 377, 134231. [Google Scholar] [CrossRef]
- Luo, J.; Cao, W.; Guo, W.; Fang, S.; Huang, W.; Wang, F.; Cheng, X.; Du, W.; Cao, J.; Feng, Q. Antagonistic effects of surfactants and CeO2 nanoparticles co-occurrence on the sludge fermentation process: Novel insights of interaction mechanisms and microbial networks. J. Hazard. Mater. 2022, 438, 129556. [Google Scholar] [CrossRef] [PubMed]
- Mu, H.; Chen, Y. Long-term effect of ZnO nanoparticles on waste activated sludge anaerobic digestion. Water Res. 2011, 45, 5612–5620. [Google Scholar] [CrossRef]
- Wang, D.; Duan, Y.; Yang, Q.; Liu, Y.; Ni, B.-J.; Wang, Q.; Zeng, G.; Li, X.; Yuan, Z. Free ammonia enhances dark fermentative hydrogen production from waste activated sludge. Water Res. 2018, 133, 272–281. [Google Scholar] [CrossRef] [PubMed]
- Mu, H.; Zheng, X.; Chen, Y.; Chen, H.; Liu, K. Response of anaerobic granular sludge to a shock load of zinc oxide nanoparticles during biological wastewater treatment. Environ. Sci. Technol. 2012, 46, 5997–6003. [Google Scholar] [CrossRef]
- Chen, Y.; Wang, D.; Zhu, X.; Zheng, X.; Feng, L. Long-term effects of copper nanoparticles on wastewater biological nutrient removal and N2O generation in the activated sludge process. Environ. Sci. Technol. 2012, 46, 12452–12458. [Google Scholar] [CrossRef]
- Segata, N.; Izard, J.; Waldron, L.; Gevers, D.; Miropolsky, L.; Garrett, W.S.; Huttenhower, C. Metagenomic biomarker discovery and explanation. Genome Biol. 2011, 12, R60. [Google Scholar] [CrossRef]
- Borton, M.A.; Sabag-Daigle, A.; Wu, J.; Solden, L.M.; O’Banion, B.S.; Daly, R.A.; Wolfe, R.A.; Gonzalez, J.F.; Wysocki, V.H.; Ahmer, B.M. Chemical and pathogen-induced inflammation disrupt the murine intestinal microbiome. Microbiome 2017, 5, 47. [Google Scholar] [CrossRef]
- Federation, W.E.; Association, A. Standard Methods for the Examination of Water and Wastewater; American Public Health Association: Washington, DC, USA, 2005; Volume 21. [Google Scholar]
- Tian, T.; Qiao, S.; Yu, C.; Tian, Y.; Yang, Y.; Zhou, J. Distinct and diverse anaerobic respiration of methanogenic community in response to MnO2 nanoparticles in anaerobic digester sludge. Water Res. 2017, 123, 206–215. [Google Scholar] [CrossRef]
- Liu, C.; Usman, M.; Ji, M.; Sha, J.; Zhou, L.; Yan, B. Response mechanisms of anaerobic fermentative sludge to zinc oxide nanoparticles during medium-chain carboxylates production from waste activated sludge. Chemosphere 2023, 317, 137879. [Google Scholar] [CrossRef]
- Chen, H.; Chen, Y.; Zheng, X.; Li, X.; Luo, J. How does the entering of copper nanoparticles into biological wastewater treatment system affect sludge treatment for VFA production. Water Res. 2014, 63, 125–134. [Google Scholar] [CrossRef] [PubMed]
- Wei, W.; Chen, X.; Liu, Y.; Ni, B.-J. Aerobic sludge digestion is distinguishingly affected by the different entering pathways of zinc oxide nanoparticles. J. Hazard. Mater. 2021, 416, 125799. [Google Scholar] [CrossRef] [PubMed]
- Xue, Z.; Sendamangalam, V.R.; Gruden, C.L.; Seo, Y. Multiple roles of extracellular polymeric substances on resistance of biofilm and detached clusters. Environ. Sci. Technol. 2012, 46, 13212–13219. [Google Scholar] [CrossRef] [PubMed]
- Mu, H.; Chen, Y.; Xiao, N. Effects of metal oxide nanoparticles (TiO2, Al2O3, SiO2 and ZnO) on waste activated sludge anaerobic digestion. Bioresour. Technol. 2011, 102, 10305–10311. [Google Scholar] [CrossRef]
- Tian, T.; Qiao, S.; Yu, C.; Zhou, J. Effects of nano-sized MnO2 on methanogenic propionate and butyrate degradation in anaerobic digestion. J. Hazard. Mater. 2019, 364, 11–18. [Google Scholar] [CrossRef]
- Li, L.-L.; Tong, Z.-H.; Fang, C.-Y.; Chu, J.; Yu, H.-Q. Response of anaerobic granular sludge to single-wall carbon nanotube exposure. Water Res. 2015, 70, 1–8. [Google Scholar] [CrossRef]
- Blenkinsopp, S.; Lock, M. The measurement of electron transport system activity in river biofilms. Water Res. 1990, 24, 441–445. [Google Scholar] [CrossRef]
- Tang, Y.; He, R.; Zhao, J.; Nie, G.; Xu, L.; Xing, B. Oxidative stress-induced toxicity of CuO nanoparticles and related toxicogenomic responses in Arabidopsis thaliana. Environ. Pollut. 2016, 212, 605–614. [Google Scholar] [CrossRef]
- Jeong, C.-B.; Won, E.-J.; Kang, H.-M.; Lee, M.-C.; Hwang, D.-S.; Hwang, U.-K.; Zhou, B.; Souissi, S.; Lee, S.-J.; Lee, J.-S. Microplastic size-dependent toxicity, oxidative stress induction, and p-JNK and p-p38 activation in the monogonont rotifer (Brachionus koreanus). Environ. Sci. Technol. 2016, 50, 8849–8857. [Google Scholar] [CrossRef]
- Xia, T.; Kovochich, M.; Brant, J.; Hotze, M.; Sempf, J.; Oberley, T.; Sioutas, C.; Yeh, J.I.; Wiesner, M.R.; Nel, A.E. Comparison of the abilities of ambient and manufactured nanoparticles to induce cellular toxicity according to an oxidative stress paradigm. Nano Lett. 2006, 6, 1794–1807. [Google Scholar] [CrossRef]
- Wei, W.; Wu, L.; Shi, X.; Ni, B.-J. Mechanisms of CuO Nanoparticles at an Environmentally Relevant Level Enhancing Production of Hydrogen from Anaerobic Fermentation of Waste-Activated Sludge. ACS ES&T Water 2021, 1, 1495–1502. [Google Scholar]
- Wan, J.; Jing, Y.; Zhang, S.; Angelidaki, I.; Luo, G. Mesophilic and thermophilic alkaline fermentation of waste activated sludge for hydrogen production: Focusing on homoacetogenesis. Water Res. 2016, 102, 524–532. [Google Scholar] [CrossRef] [PubMed]
- Hania, W.B.; Bouanane-Darenfed, A.; Cayol, J.-L.; Ollivier, B.; Fardeau, M.-L. Reclassification of Anaerobaculum mobile, Anaerobaculum thermoterrenum, Anaerobaculum hydrogeniformans as Acetomicrobium mobile comb. nov., Acetomicrobium thermoterrenum comb. nov. and Acetomicrobium hydrogeniformans comb. nov., respectively, and emendation of the genus Acetomicrobium. Int. J. Syst. Evol. Microbiol. 2016, 66, 1506–1509. [Google Scholar] [PubMed]
- Li, W.-J.; Xu, P.; Schumann, P.; Zhang, Y.-Q.; Pukall, R.; Xu, L.-H.; Stackebrandt, E.; Jiang, C.-L. Georgenia ruanii sp. nov., a novel actinobacterium isolated from forest soil in Yunnan (China), and emended description of the genus Georgenia. Int. J. Syst. Evol. Microbiol. 2007, 57, 1424–1428. [Google Scholar] [CrossRef]
- Zhu, X.; Zhou, Y.; Wang, Y.; Wu, T.; Li, X.; Li, D.; Tao, Y. Production of high-concentration n-caproic acid from lactate through fermentation using a newly isolated Ruminococcaceae bacterium CPB6. Biotechnol. Biofuels 2017, 10, 102. [Google Scholar] [CrossRef] [PubMed]
- Murphy, C.L.; Biggerstaff, J.; Eichhorn, A.; Ewing, E.; Shahan, R.; Soriano, D.; Stewart, S.; VanMol, K.; Walker, R.; Walters, P. Genomic characterization of three novel Desulfobacterota classes expand the metabolic and phylogenetic diversity of the phylum. Environ. Microbiol. 2021, 23, 4326–4343. [Google Scholar] [CrossRef]






Disclaimer/Publisher’s Note: The statements, opinions and data contained in all publications are solely those of the individual author(s) and contributor(s) and not of MDPI and/or the editor(s). MDPI and/or the editor(s) disclaim responsibility for any injury to people or property resulting from any ideas, methods, instructions or products referred to in the content. |
© 2023 by the authors. Licensee MDPI, Basel, Switzerland. This article is an open access article distributed under the terms and conditions of the Creative Commons Attribution (CC BY) license (https://creativecommons.org/licenses/by/4.0/).
Share and Cite
Sun, H.; Liu, C.; Ren, S.; Liang, K.; Zhang, Z.; Su, C.; Pei, S.; Usman, M. Insights into the Effects of CeO2 Nanoparticles on Medium-Chain Carboxylates Production from Waste Activated Sludge. Sustainability 2023, 15, 6855. https://doi.org/10.3390/su15086855
Sun H, Liu C, Ren S, Liang K, Zhang Z, Su C, Pei S, Usman M. Insights into the Effects of CeO2 Nanoparticles on Medium-Chain Carboxylates Production from Waste Activated Sludge. Sustainability. 2023; 15(8):6855. https://doi.org/10.3390/su15086855
Chicago/Turabian StyleSun, Huanqing, Chao Liu, Shanshan Ren, Kuijing Liang, Zhiqiang Zhang, Changqing Su, Sujian Pei, and Muhammad Usman. 2023. "Insights into the Effects of CeO2 Nanoparticles on Medium-Chain Carboxylates Production from Waste Activated Sludge" Sustainability 15, no. 8: 6855. https://doi.org/10.3390/su15086855
APA StyleSun, H., Liu, C., Ren, S., Liang, K., Zhang, Z., Su, C., Pei, S., & Usman, M. (2023). Insights into the Effects of CeO2 Nanoparticles on Medium-Chain Carboxylates Production from Waste Activated Sludge. Sustainability, 15(8), 6855. https://doi.org/10.3390/su15086855

