Abstract
Because of the current increase in energy requirement, reduction in fossil fuels, and global warming, as well as pollution, a suitable and promising alternative to the non-renewable energy sources is proton exchange membrane fuel cells. Hence, the efficiency of the renewable energy source can be increased by extracting the precise values for each of the parameters of the renewable mathematical model. Various optimization algorithms have been proposed and developed in order to estimate the parameters of proton exchange membrane fuel cells. In this manuscript, a novel hybrid algorithm, i.e., Hybrid Particle Swarm Optimization Puffer Fish (HPSOPF), based on the Particle Swarm Optimization and Puffer Fish algorithms, was proposed to estimate the proton exchange membrane fuel cell parameters. The two models were taken for the parameter estimation of proton exchange membrane fuel cells, i.e., Ballard Mark V and Avista SR-12 model. Firstly, justification of the proposed algorithm was achieved by benchmarking it on 10 functions and then a comparison of the parameter estimation results obtained using the Hybrid Particle Swarm Optimization Puffer Fish algorithm was done with other meta-heuristic algorithms, i.e., Particle Swarm Optimization, Puffer Fish algorithm, Grey Wolf Optimization, Grey Wolf Optimization Cuckoo Search, and Particle Swarm Optimization Grey Wolf Optimization. The sum of the square error was used as an evaluation metric for the performance evaluation and efficiency of the proposed algorithm. The results obtained show that the value of the sum of square error was smallest in the case of the proposed HPSOPF, while for the Ballard Mark V model it was 6.621 × 10−9 and for the Avista SR-12 model it was 5.65 × 10−8. To check the superiority and robustness of the proposed algorithm computation time, voltage–current (V–I) curve, power–current (P–I) curve, convergence curve, different operating temperature conditions, and different pressure results were obtained. From these results, it is concluded that the Hybrid Particle Swarm Optimization Puffer Fish algorithm had a better performance in comparison with the other compared algorithms. Furthermore, a non-parametric test, i.e., the Friedman Ranking Test, was performed and the results demonstrate that the efficiency and robustness of the proposed hybrid algorithm was superior.
1. Introduction
Rapid urbanization is contributing to the depletion of fossil resources while the need for energy grows daily [1]. It has caused the world to change to renewable energy sources such as solar energy, geothermal energy, tidal energy, wind energy, and wave energy for generating electricity. Fuel cells are one of the most suitable and promising alternative energy sources, with numerous characteristics, such as a high efficiency, reliability, stability, durability, consistent power generation, and cleanliness. Similarly, the majority of conventional renewable energy sources, such as solar and wind, have experienced rapid expansion, and in recent years they have caught the attention of researchers and academics [2]. Fuel cells have several applications, including in transportation, power generation, heating companies, backup power supply, and so on. The main components of a fuel cell are an anode and a cathode with an electrolyte, H2 (pure hydrogen), which feeds the anode, while O2 (or oxygen) feeds the cathode. The fuel cell operates on the basis of a controlled chemical process [3]. In the presence of a catalyst, the chemical reaction between hydrogen and oxygen produces chemical energy, which is directly transformed into electrical energy.
Several types of electrolytes can be used in fuel cells, and different types of fuel cells can be constructed based on this, such as the Proton Exchange Membrane Fuel Cell (PEMFC). When it comes to energy generation, PEMFC has various advantages such as high efficiency, low operating temperature, less deterioration, higher stability, low noise, high power density, and being an ecofriendly energy resource. To clearly understand the phenomena of the dynamic processes that occur within the fuel cell, it is critical to perform PEMFC modelling and the construction of precise models, which saves time and effort [4]. The polarization curve, which describes the output voltage and current relationship, is the most essential PEMFC characteristic, and hence forms the basis of PEMFC modelling. Several attempts have been made to design and create a suitable model with greater accuracy and precision for PEMFC parameter extraction.
The statistics provided in any PEMFC datasheet are typically insufficient for establishing the optimal parameter configuration, and the results produced using the model and the data published in the manufacturer’s datasheet differ greatly. As a result, parameter estimation can be thought of as an optimization issue, and the best set of solutions can be found by combining several approaches. As PEMFC parameters are non-linear, conventional optimization methods have a lower accuracy and precision. However, meta-heuristic algorithms provide several advantages such as random starting estimate, convergence to global optimal solution, and tackling complicated issues. Many researchers are interested in identifying a PEMFC parameter estimation model with a high accuracy and efficiency. The mathematical model serves as the foundation for fuel cell design and integration. It also provides information on the physical events occurring in fuel cells. The electrochemical models of fuel cells contain significant experimental and empirical formulations [5].
Various optimization algorithms have been proposed and applied in order to estimate the PEMFC parameters, which can further be categorized into two categories: based on a single algorithm only and the combination of two or more algorithms, also known as hybrid algorithms. An adaptive RNA genetic algorithm (ARNA-GA) [6] based on a biological RNA mechanism was proposed for PEMFC parameter estimation enhancing the global search, maintaining population diversity and the avoidance of premature convergence. The adaptive method in this algorithm helps with the dynamic selection of the crossover operation, thus improving the search ability. An adaptive differential evolution algorithm (ADE) [7] was proposed to accurately estimate the parameters of PEMFC by adjusting the variation operators in a dynamic manner and the control parameters, thereby increasing the search efficiency. Another optimization algorithm, i.e., Grasshopper Optimization algorithm (GOA) [8], was applied in order to find the optimum values of the unknown parameters for PEMFC. GOA is inspired by the behavior of grasshopper groups in the surrounding environment. The Dragonfly algorithm (DA) [9], inspired by the static and dynamic swarming behavior of dragonflies, was applied in order to estimate the parameters of PEMFC. Because of the static swarming behavior of dragonflies, this algorithm has the advantage of high exploration. Another meta-heuristic algorithm, i.e., Chaotic Binary Shark Smell Optimization (CBSSO) [10] algorithm, based on the ability of sharks to smell while in search of their prey, was proposed in order to estimate the PEMFC parameters, and it has a better performance and takes less time to converge.
Hybrid adaptive differential evolution (HADE) [11] based on biological genetic strategy, adaptive scaling factors, and dynamic crossover was proposed for PEMFC parameter estimation. The Bee Colony search method has been applied for improving the performance of local search. The modelling of PEMFC and parameter estimation was done using an optimization algorithm, known as the grouping-based global harmony search (GGHS) algorithm [12], based on the improvisation of a new harmony and using the best harmonies efficiently for finding an optimum solution. Another hybrid optimization algorithm i.e., cuckoo search algorithm with an explosion operator (CS-EO) [13], was proposed for finding an optimal solution to the PEMFC parameter estimation problem. This algorithm enhances the search ability with the help of the adaptive method and the local minima trap is avoided through the use of an explosion operator, which results in better convergence and accuracy. A hybrid algorithm based on Teaching−Learning-Based Optimization (TLBO) and Differential Evolution (DE) [14] was proposed for estimating the parameters of PEMFC. Nature-inspired TLBO is based on the teaching−learning technique occurring inside a classroom, and an individual population is used for finding an optimum solution, whereas the basis of DE is the evolution method of an individual’s population.
Therefore, the last few years have seen the development of multiple techniques for finding the optimal parameter set of PEMFC, beginning with conventional algorithms and moving to meta-heuristic algorithms. PEMFC parameter estimation was done by developing Black Widow Optimization (BWO) along with the comparison of its results with other different meta-heuristic algorithms under various operating temperatures. Various other meta-heuristic algorithms that have been developed are the Slime Mould (SM)-based optimization algorithm, Modified Monarch Butterfly Optimization (MMBO) algorithm, Backtracking Search Algorithm combined with Burger’s Chaotic map (BSABCM), Particle Swarm Optimization (PSO) [15], Genetic Algorithms (GA) [16], Chaotic Mayflies Optimization (CMO) algorithm [17], Grey Wolf Optimizer (GWO) [18], Whale Optimization Approach (WOA) [19], Salp Swarm Optimization algorithm (SSOA) [20], Effective Informed Adaptive PSO (EIA-PSO) [21], Cuckoo Search-Ant Colony Optimization (CS-ACO) [22], bi-inspired algorithm [23], Tribe PSO Algorithm (T-PSO) [24], Bi-Subgroup Optimization (BSO) [25], Sine Cosine Algorithm (SCA) [26], and Modified Owl Search Algorithm (DOSA) [27]. Another meta-heuristic algorithm, for example Puffer Fish (PF) [28], based on the behavior of male puffer fish in order to charm the female puffer fish by building special circular structures on the seabed, was developed for finding the optimal solution set to the problems of optimization. Various hybrid algorithms, i.e., Particle Swarm Optimization Grey Wolf Optimizer (PSOGWO) [29] and Grey Wolf Optimizer Cuckoo Search (GWOCS) [30], were also developed for the same reason and performed significantly better when identifying the optimal solution.
The major goal of this paper is to propose a new algorithm in order to estimate the parameters of PEMFC. The major contributions are listed below:
- A novel hybrid algorithm, i.e., HPSOPF based on Particle Swarm Optimization and Puffer Fish, is proposed for estimating the PEMFC parameters.
- For justification of the proposed hybrid algorithm, the mean and standard deviation (SD) are calculated using 10 benchmark functions.
- The Sum of Square Error (SSE) objective function is used for the performance evaluation and efficiency of the proposed algorithm for the parameter estimation of PEMFC.
- Ballard Mark V and Avista SR-12 models are the two datasheets used in order to estimate the PEMFC parameters.
- To check the performance and accuracy of the proposed algorithm, the computation time for both of the fuel cell models is calculated.
- To check the consistency and robustness of the proposed algorithm, the convergence curve, I–V, P–I curve, different operating temperature, and different pressure results are obtained.
- Non-parametric statistical test, i.e., Friedman Ranking Test, is done for finding the significance of the parameter estimation of PEMFC.
2. Materials and Methods
2.1. PEMFC Mathematical Modelling
The anode and cathode are two electrodes in PEMFC segregated by membranes with a polymer electrolyte, as illustrated in Figure 1. Hydrogen is injected by the anode, whereas oxygen is injected by the cathode, and a thin membrane forms the electrolyte which conducts ions and prevents the passage of electrons. The output voltage is generated when the flow of ions takes place through the electrolyte, whereas the outside circuit allows for the passage of electrons.
Figure 1.
PEMFC diagram.
Electrochemical reactions occurring in PEMFC are shown in the following equations, where the anode and cathode side chemical reactions are represented in (1) and (2), respectively, and (3) shows the total chemical reaction or electrical energy generation [31].
There are three types of voltages constituted in the fuel cell terminal voltage (), as illustrated in (4). represents the reversible open circuit voltage, represents the activation voltage drop, represents the ohmic voltage drop, and represents the concentration voltage drop [32].
The reversible thermodynamic potential of the oxygen and hydrogen reaction is defined by the Nernst equation, as shown in (5), in which denotes the reference voltage, R denotes the universal gas constant, denotes temperature of cell (in Kelvin), Z denotes the number of electrons transferred, F denotes the faraday constant, and and denote hydrogen and oxygen pressure, respectively. After expansion, (5) is re-written in the following form [33],
and are shown in (7) and (8), respectively, where represents the anode pressure from the input side, represents the cathode pressure from the input side, and the relative humidity of the vapor from the cathode and anode side of PEMFC is represented by and , respectively. represents the current generated by PEMFC, the surface area of the membrane is represented by A, and is the pressure at water saturation, as represented in (9) [34].
The activation process leads to voltage loss, which is shown in (10), where represents the transfer coefficient and represents the exchange current density, which can be expanded as shown below [34].
represent semi-empirical coefficients on the PEMFC cathode side. The concentration of oxygen () is calculated as shown in (12).
The resistive ohmic voltage drop () is illustrated in (13), in which represents the membrane surface resistance and represents the contact resistance.
The membrane resistance () is calculated using (14), represents the membrane resistivity, and represents the membrane thickness. Furthermore, can be expressed as below [34].
The adjustable empirical variable is denoted by . The value of the voltage concentration loss () is calculated as shown in (16).
is the current density when the reactant concentration is zero. It can be re-written as shown below.
represents the constant and represents the maximum current density. The evaluation of the value for can be done as shown in (18) [35].
In order to generate sufficient energy, multiple stacks need to be combined and connected in series or parallel, as the value of the single stack PEMFC current and output voltage is small. The output voltage () of the stack of fuel cell in the case of series connection is shown in (19).
represents the number of cells that are connected in series. It can be re-written as shown below (20) [35].
As per the equations mentioned above, seven parameters for PEMFC, i.e., , need to be estimated with accuracy and precision for the controlled operation and adequate modelling of the fuel cell. The proposed HPSOPF algorithm as well as other well-established meta-heuristic algorithms, i.e., PSO, GWO, GWOCS, PF, and PSOGWO, were used to estimate the parameters in order to find a suitable and promising alternative for non-renewable energy sources, and found it to be the proton exchange membrane fuel cell (PEMFC).
2.2. Problem Formulation
This paper proposes a new hybrid algorithm, i.e., HPSOPF, in order to estimate the parameters of the PEMFC. Against each current density input, prediction of the output voltage was done using optimization algorithms. SSE (sum of square error) is used as a metric in order to evaluate the predicted output voltage and experimental values of the output voltage, and its objective function is shown in (21).
The constraints are as follows:
n represents the number of data points, is the experimental output voltage and is the predicted output voltage using various optimization algorithms. The main goal of this paper is to minimize the SSE value for obtaining a better performance as well as more accuracy and precision in order to estimate the parameters of PEMFC.
2.3. Proposed Algorithm (HPSOPF)
This paper proposes a new hybrid algorithm, i.e., HPSOPF, based on the Particle Swarm Optimization (PSO) and Puffer Fish optimization algorithm (PF). PSO and PF are two well-known meta-heuristic algorithms that have distinct search techniques. The basis of PSO is bird flocking behavior and fish schooling, whereas Puffer Fish is a bio-inspired meta-heuristic optimization algorithm that is based on the behavior of male puffer fish in order to charm the female puffer fish [36]. Torquigeneral bomaculosus is the scientific name of a puffer fish with a length of 12 cm and 9.1 cm in males and females, respectively. The unique and special characteristic of this species is building large circular structures on the seabed. The circular structure created by the puffer fish includes a specific pattern in the center, sand peaks, and inner and outer circle. Satisfactory results were obtained for estimating the parameters of fuel cells using meta-heuristic algorithms, but there were some disadvantages such as convergence instability and the ability to fall easily into the trap of the local optimum. The genetic algorithm is time consuming as well as having premature convergence. There is partial optimism, a low rate of convergence, and less population diversity in Particle Swarm Optimization (PSO). This paper develops a new hybrid algorithm, i.e., HPSOPF, for obtaining better and highly efficient results in order to estimate the parameters of fuel cells. The pseudo code of HPSOPF is illustrated in Figure 2.
Figure 2.
HPSOPF Pseudo Code.
As prob denotes probability. Rand (0, 1) < prob increases the range of search, and every time there are no changes in order to avoid the algorithm getting stuck at the local minimum.
3. Results
3.1. Benchmark Test Function
Ten benchmark test functions were selected, as shown in Table 1, for evaluation of the proposed hybrid algorithm, i.e., HPSOPF, for the PEMFC parameter estimation. The ten benchmark test functions contained seven uni-modal functions and three multi-modal functions where every function’s dimension was set to 30. Table 2 represents the values of the mean and standard deviation (SD) calculated using 10 benchmark test functions, and it was clear that the proposed hybrid algorithm, i.e., HPSOPF, had a remarkably better performance than the various other meta-heuristic algorithms, i.e., PSO, PF, and GWO, and hybrid algorithms, i.e., GWOCS and PSOGWO. The coding of each program was done in MATLAB 2020a in Windows 10 with 8 GB RAM and a 2.50 GHz intel CPU processor. The feature evaluation limit for the benchmark test functions comparison was 1000 and the code of every algorithm was run 20 times with dim size 30.
Table 1.
Definition of the benchmark functions.
Table 2.
Results of the benchmark test functions.
3.2. PEMFC Parameter Estimation
The parameter search range for estimating the PEMFC parameters is represented in Table 3 for both of the models, i.e., Ballard Mark V and Avista SR-12. Table 4 represents the manufacturer data sheet for both of the models. Coding for each program was done in MATLAB 2020a and each program was run 20 times. The PEMFC parameter estimation was done with the proposed HPSOPF and a comparison of its performance and efficiency was further done with various other algorithms, i.e., PSO, PF, GWO, PSOGWO, and GWOCS. Parameter estimation for PEMFC using both the models at STC (standard temperature condition) is represented in Table 5 and Table 6.
Table 3.
Range of the upper and lower bound.
Table 4.
Manufacturer data sheets.
Table 5.
Parameter estimation of PEMFC using the Ballard Mark V model.
Table 6.
Parameter estimation of the Avista SR-12 model.
3.3. Solution Accuracy Analysis
The values of the objective function, computational time (s), and SSE were calculated after the PEMFC parameter estimation, as represented in Table 5 and Table 6. Bar graphs corresponding to the SSE value and computational time (s) are shown in Figure 3 and Figure 4, respectively, for the Ballard Mark V model. Bar graphs corresponding to the SSE value and computational time (s) are shown in Figure 5 and Figure 6, respectively, of the Avista SR-12 model. It is very clear from the bar graphs that the SSE value and computational time (s) of both the models were the lowest in the case of the new proposed hybrid algorithm. The proposed algorithm is an efficient and better algorithm than other well-known meta-heuristic algorithms such as PSO, PF, GWO, GWOCS, and PSOGWO, for estimating the PEMFC parameters.
Figure 3.
SSE bar graph for the Ballard Mark V model.
Figure 4.
Bar graph of computational time for the Ballard Mark V model.
Figure 5.
SSE Bar Graph of Avista SR-12 Model.
Figure 6.
Bar graph of computational time for the Avista SR-12 model.
3.4. Convergence Analysis
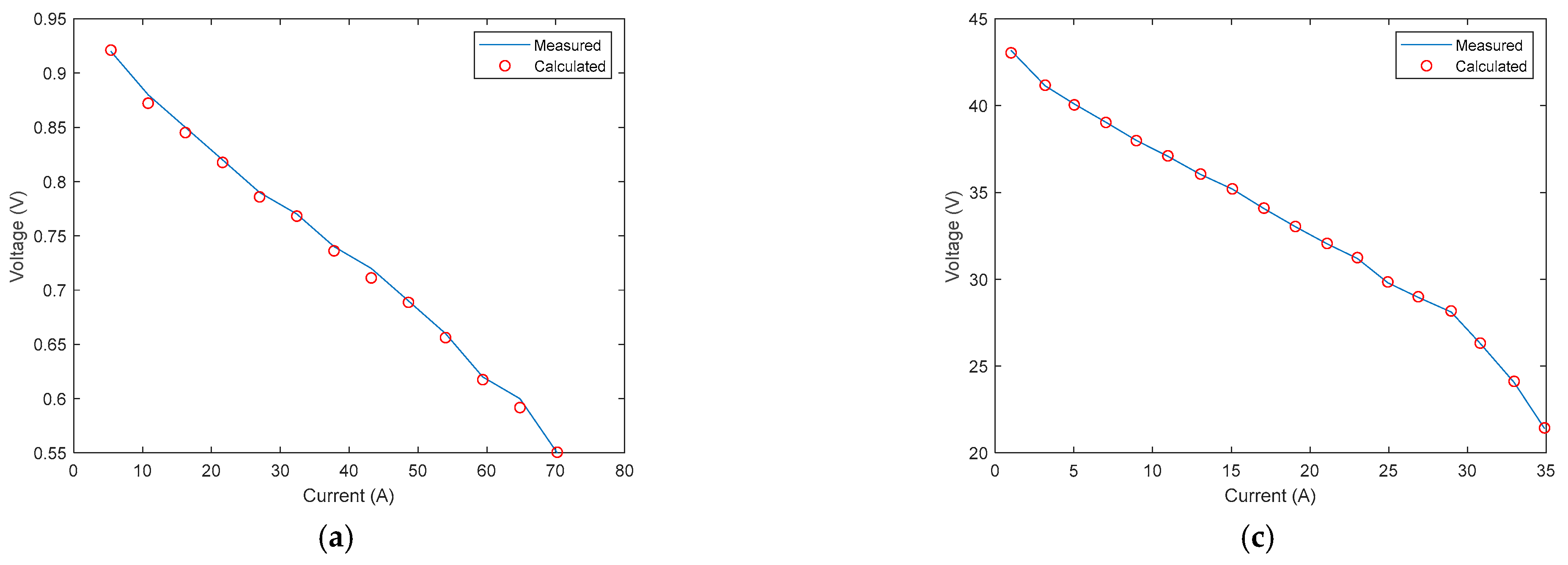
The proposed algorithm convergence graph and its further comparison with other well-known meta-heuristic algorithms, i.e., PSO, PF, GWO, GWOCS, and PSOGWO, are shown in Figure 7 and Figure 8. From this, it is clear that the proposed hybrid algorithm has a higher convergence pace than other meta-heuristic algorithms, thus proving it has more accuracy and precision. The values of power, absolute error, and voltage are calculated and represented in Table 7 for the Ballard Mark V model and in Table 8 for the Avista SR-12 model. Furthermore, the P−I and V−I characteristic curves of PEMFC are illustrated in Figure 9a–d, respectively, which justifies the accuracy of the proposed HPSOPF. Table 9 and Table 10 represent the parameter estimation of the fuel cell at different operating temperatures for both of the fuel cell models. Table 11 and Table 12 show the parameter estimation of PEMFC at different pressures for both of the fuel cell models. From this, it is very clear that the proposed algorithm has better accuracy and performance than the compared algorithms. The comparison of both of the sheets was done at different temperature and pressure to check the reliability of the model.
Figure 7.
Convergence graph for the Ballard Mark V model.
Figure 8.
Convergence graph for the Avista SR-12 model.
Table 7.
Calculated values for the voltage, power, and absolute error for the Ballard Mark V model.
Table 8.
Calculated values for the voltage, power, and absolute error for the Avista SR-12 model.

Figure 9.
V−I and P−I curves for the Ballard Mark V model and for the Avista SR-12 model. (a) V−I curve for the Ballard Mark V model. (b) P−I curve for the Ballard Mark V model. (c) V−I curve for the Avista SR-12 Model. (d) P−I curve for the Avista SR-12 model.
Table 9.
Parameter estimation of PEMFC at different operating temperatures for the Ballard Mark V model.
Table 10.
Parameter estimation of PEMFC at different operating temperatures for the Avista SR-12 model.
Table 11.
Parameter estimation of PEMFC at different pressures for the Ballard Mark V model.
Table 12.
Parameter estimation of PEMFC at different pressures for the Avista SR-12 model.
3.5. Statistical Analysis
Table 13 shows the statistical analysis results from the PEMFC parameter estimation done using the Friedman Ranking Test [37,38,39,40] for both of the fuel cell models. First place is secured by HPSOPF, followed by PSOGWO, GWOCS, PF, GWO, and PSO. For both fuel cell models, HPSOPF is shown to perform significantly better than various other meta-heuristic algorithms, because it is more efficient, accurate, precise, and robust.
Table 13.
Friedman ranking test.
4. Conclusions
For attaining the best result for the parameter estimation of PEMFC, a novel hybrid approach called HPSOPF has been suggested in this study. The proposed algorithm is better than the compared algorithms. Two datasheets are considered in this work, i.e., Ballard Mark V and Avista SR-12. The following is a list of conclusions drawn from the results:
- Firstly, the proposed algorithm is applied on the 10 benchmark test functions to justify the algorithm. The mean and standard deviation values are calculated and it is seen that the proposed algorithm achieved better results than the other metaheuristic algorithms considered.
- Parameter estimation of PEMFC for both the models is done and the SSE and computation time are calculated. The SSE of the proposed algorithm for the Ballard Mark V model is 6.621 × 10−9 and for the Avista SR-12 model it is 5.65 × 10−8.
- The computation time for both models is also calculated. The computation time of the Ballard Mark V model is 2 s and for the Avista SR-12 model it is 2.12 s. It is clearly indicated that the proposed algorithm is better than the other metaheuristic algorithms considered.
- It is clearly demonstrated that hybrid algorithms have a faster pace of convergence when compared with other metaheuristic algorithms using convergence graphs, P−I and V−I curves, different operating temperatures, and different pressure.
- Furthermore, a non-parametric test is carried out, i.e., Friedman Ranking Test. From this test, the first rank is secured by HPSOPF and then continued by PSOGWO, GWOCS, PF, GWO, and PSO, respectively. This test is conducted to check the efficiency, robustness, and performance of the proposed algorithm.
HPSOPF highlights the advantages of hybridization; hence, it can form the reference for different new hybrid algorithms. The proposed algorithm also can also be observed in different domains such as multi optimization and image processing. Finally, hybrid algorithms can also provide improved accuracy over traditional algorithms. By leveraging the strengths of multiple algorithms, hybrid algorithms can provide more accurate results than a single algorithm alone. This can be particularly helpful for applications where accuracy is essential, such as in medical diagnosis and fraud detection. Overall, hybrid algorithms offer a variety of benefits over traditional algorithms. They can provide better results, faster processing times, and improved accuracy, making them a great choice for various applications [41,42,43,44,45,46,47]. The proposed algorithm can be further used in different applications such as solid oxide fuel cell, economic load dispatch, and the parameter estimation of solar PV models.
Author Contributions
Conceptualization, M.K.S. and A.E.-S.; Methodology, J.G. and A.E.-S.; Software, M.K.S. and P.N.; Validation, J.G.; Formal analysis, M.K.S., J.G., B.S. and P.N.; Investigation, M.K.S., J.G. and P.N.; Resources, B.S.; Data curation, J.G. and B.S.; Writing—original draft, M.K.S.; Writing—review & editing, A.Y.A. and A.E.-S.; Visualization, B.S. and A.Y.A.; Supervision, A.Y.A. and A.E.-S.; Project administration, P.N. and A.Y.A. All authors have read and agreed to the published version of the manuscript.
Funding
This research received no external funding.
Institutional Review Board Statement
Not applicable.
Informed Consent Statement
The article is not describing a study involving humans.
Data Availability Statement
Not applicable.
Conflicts of Interest
The authors declare no conflict of interest.
References
- Singla, M.K.; Nijhawan, P.; Oberoi, A.S. Parameter estimation of proton exchange membrane fuel cell using a novel meta-heuristic algorithm. Environ. Sci. Pollut. Res. 2021, 28, 34511–34526. [Google Scholar] [CrossRef] [PubMed]
- Gupta, J.; Nijhawan, P.; Ganguli, S. Optimal parameter estimation of PEM fuel cell using slime mould algorithm. Int. J. Energy Res. 2021, 45, 14732–14744. [Google Scholar] [CrossRef]
- Yuan, Z.; Wang, W.; Wang, H. Optimal parameter estimation for PEMFC using modified monarch butterfly optimization. Int. J. Energy Res. 2020, 44, 8427–8441. [Google Scholar] [CrossRef]
- Wilberforce, T.; Olabi, A.G.; Rezk, H.; Abdelaziz, A.Y.; Abdelkareem, M.A.; Sayed, E.T. Boosting the output power of PEM fuel cells by identifying best-operating conditions. Energy Convers. Manag. 2022, 270, 116205. [Google Scholar] [CrossRef]
- Li, Q.; Yin, L.; Yang, H.; Wang, T.; Qiu, Y.; Chen, W. Multiobjective Optimization and Data-Driven Constraint Adaptive Predictive Control for Efficient and Stable Operation of PEMFC System. IEEE Trans. Ind. Electron. 2020, 68, 12418–12429. [Google Scholar] [CrossRef]
- Zhang, L.; Wang, N. An adaptive RNA genetic algorithm for modeling of proton exchange membrane fuel cells. Int. J. Hydrogen Energy 2013, 38, 219–228. [Google Scholar] [CrossRef]
- Cheng, J.; Zhang, G. Parameter fitting of PEMFC models based on adaptive differential evolution. Int. J. Electr. Power Energy Syst. 2014, 62, 189–198. [Google Scholar] [CrossRef]
- El-Fergany, A.A. Electrical characterisation of proton exchange membrane fuel cells stack using grasshopper optimiser. IET Renew. Power Gener. 2018, 12, 9–17. [Google Scholar] [CrossRef]
- Hamal, N.S.; Isa, Z.M.; Nayan, N.M.; Arshad, M.H.; Kajaan, N.A.M. Optimizing PEMFC Model Parameters Using Dragonfly Algorithm: A Performance Study; IET: London, UK, 2018. [Google Scholar]
- Han, W.; Li, D.; Yu, D.; Ebrahimian, H. Optimal parameters of PEM fuel cells using chaotic binary shark smell optimizer. Energy Sources Part A Recover. Util. Environ. Eff. 2019, 1–15. [Google Scholar] [CrossRef]
- Sun, Z.; Wang, N.; Bi, Y.; Srinivasan, D. Parameter identification of PEMFC model based on hybrid adaptive differential evolution algorithm. Energy 2015, 90, 1334–1341. [Google Scholar] [CrossRef]
- Askarzadeh, A.; Rezazadeh, A. A grouping-based global harmony search algorithm for modeling of proton exchange membrane fuel cell. Int. J. Hydrogen Energy 2011, 36, 5047–5053. [Google Scholar] [CrossRef]
- Chen, Y.; Wang, N. Cuckoo search algorithm with explosion operator for modeling proton exchange membrane fuel cells. Int. J. Hydrogen Energy 2019, 44, 3075–3087. [Google Scholar] [CrossRef]
- Turgut, O.E.; Coban, M.T. Optimal proton exchange membrane fuel cell modelling based on hybrid Teaching Learning Based Optimization – Differential Evolution algorithm. Ain Shams Eng. J. 2016, 7, 347–360. [Google Scholar] [CrossRef]
- Ye, M.; Wang, X.; Xu, Y. Parameter identification for proton exchange membrane fuel cell model using particle swarm optimization. Int. J. Hydrogen Energy 2009, 34, 981–989. [Google Scholar] [CrossRef]
- Mohamed, I.; Jenkins, N. Proton exchange membrane (PEM) fuel cell stack configuration using genetic algorithms. J. Power Sources 2004, 131, 142–146. [Google Scholar] [CrossRef]
- Gupta, J.; Nijhawan, P.; Ganguli, S. Parameter Estimation of Fuel Cell Using Chaotic Mayflies Optimization Algorithm. Adv. Theory Simulations 2021, 4, 2100183. [Google Scholar] [CrossRef]
- Diab, A.A.Z.; Abdul-Ghaffar, H.I.; Ahmed, A.A.; Ramadan, H.A. An effective model parameter estimation of PEMFCs using GWO algorithm and its variants. IET Renew. Power Gener. 2022, 16, 1380–1400. [Google Scholar] [CrossRef]
- El-Fergany, A.A.; Hasanien, H.M.; Agwa, A.M. Semi-empirical PEM fuel cells model using whale optimization algorithm. Energy Convers. Manag. 2019, 201, 112197. [Google Scholar] [CrossRef]
- El-Fergany, A.A. Extracting optimal parameters of PEM fuel cells using Salp Swarm Optimizer. Renew. Energy 2018, 119, 641–648. [Google Scholar] [CrossRef]
- Li, Q.; Chen, W.; Wang, Y.; Liu, S.; Jia, J. Parameter Identification for PEM Fuel-Cell Mechanism Model Based on Effective Informed Adaptive Particle Swarm Optimization. IEEE Trans. Ind. Electron. 2010, 58, 2410–2419. [Google Scholar] [CrossRef]
- Mahato, D.P.; Sandhu, J.K.; Singh, N.P.; Kaushal, V. On scheduling transaction in grid computing using cuckoo search-ant colony optimization considering load. Clust. Comput. 2020, 23, 1483–1504. [Google Scholar] [CrossRef]
- Rani, S.; Babbar, H.; Kaur, P.; Alshehri, M.D.; Shah, S.H.A. An Optimized Approach of Dynamic Target Nodes in Wireless Sensor Network Using Bio Inspired Algorithms for Maritime Rescue. IEEE Trans. Intell. Transp. Syst. 2022, 24, 2548–2555. [Google Scholar] [CrossRef]
- Sedighizadeh, M.; Farhangian Kashanib, M. A tribe particle swarm optimization for parameter identification of proton exchange membrane fuel cell. Fuel Cells 2014, 1, 2. [Google Scholar]
- Chen, Y.; Pi, D.; Wang, B.; Chen, J.; Xu, Y. Bi-subgroup optimization algorithm for parameter estimation of a PEMFC model. Expert Syst. Appl. 2022, 196, 116646. [Google Scholar] [CrossRef]
- Chen, H.; Jiao, S.; Heidari, A.A.; Wang, M.; Chen, X.; Zhao, X. An opposition-based sine cosine approach with local search for parameter estimation of photovoltaic models. Energy Convers. Manag. 2019, 195, 927–942. [Google Scholar] [CrossRef]
- Lai, G.; Li, L.; Zeng, Q.; Yousefi, N. Developed owl search algorithm for parameter estimation of PEMFCs. Int. J. Ambient. Energy 2020, 43, 3676–3685. [Google Scholar] [CrossRef]
- Catalbas, M.C.; Gulten, A. Circular structures of puffer fish: A new metaheuristic optimization algorithm. In Proceedings of the 2018 Third International Conference on Electrical and Biomedical Engineering, Clean Energy and Green Computing (EBECEGC), Beirut, Lebanon, 25–27 April 2018. [Google Scholar]
- Singh, N.; Singh, S.B. Hybrid Algorithm of Particle Swarm Optimization and Grey Wolf Optimizer for Improving Convergence Performance. J. Appl. Math. 2017, 2017, 1–15. [Google Scholar] [CrossRef]
- Bai, Q.; Li, H. The application of hybrid cuckoo search-grey wolf optimization algorithm in optimal parameters identification of solid oxide fuel cell. Int. J. Hydrogen Energy 2021, 47, 6200–6216. [Google Scholar] [CrossRef]
- Al-Baghdadi, M.A.S. Modelling of proton exchange membrane fuel cell performance based on semi-empirical equations. Renew. Energy 2005, 30, 1587–1599. [Google Scholar] [CrossRef]
- Mansour, A.M.; Saad, N.H.; Sattar, A.A. Maximum power point tracking of ten parameter fuel cell model. J. Am. Sci. 2012, 8, 8. [Google Scholar]
- Avelar, H.J.; Coelho, E.A.A.; Camacho, J.R.; Junior, J.B.V.; Freitas, L.C.; Wu, M. PEM fuel cell dynamic model for electronic circuit simulator. In Proceedings of the 2009 IEEE Electrical Power & Energy Conference (EPEC), Montreal, QC, Canada, 22–23 October 2009. [Google Scholar]
- Mo, Z.-J.; Zhu, X.-J.; Wei, L.-Y.; Cao, G.-Y. Parameter optimization for a PEMFC model with a hybrid genetic algorithm. Int. J. Energy Res. 2006, 30, 585–597. [Google Scholar] [CrossRef]
- Barbir, F. PEM Fuel Cells: Theory and Practice; Academic Press: Cambridge, MA, USA, 2012. [Google Scholar]
- Ezugwu, A.E.; Adeleke, O.J.; Akinyelu, A.A.; Viriri, S. A conceptual comparison of several metaheuristic algorithms on continuous optimisation problems. Neural Comput. Appl. 2020, 32, 6207–6251. [Google Scholar] [CrossRef]
- Gupta, J.; Nijhawan, P.; Ganguli, S. Optimal sizing of different configuration of photovoltaic, fuel cell, and biomass-based hybrid energy system. Environ. Sci. Pollut. Res. 2022, 29, 17425–17440. [Google Scholar] [CrossRef] [PubMed]
- Singla, M.K.; Nijhawan, P.; Oberoi, A.S. A novel hybrid particle swarm optimization rat search algorithm for parameter estimation of solar PV and fuel cell model. COMPEL-Int. J. Comput. Math. Electr. Electron. Eng. 2022, 41, 1505–1527. [Google Scholar] [CrossRef]
- Gupta, J.; Hussain, A.; Singla, M.K.; Nijhawan, P.; Haider, W.; Kotb, H.; AboRas, K.M. Parameter Estimation of Different Photovoltaic Models Using Hybrid Particle Swarm Optimization and Gravitational Search Algorithm. Appl. Sci. 2022, 13, 249. [Google Scholar] [CrossRef]
- Singla, M.K.; Gupta, J.; Nijhawan, P.; Alsharif, M.H.; Kim, M.-K. Sustainable development of fuel cell using enhanced weighted mean of vectors algorithm. Heliyon 2023, 9, e14578. [Google Scholar] [CrossRef]
- Zhao, H.; Zhang, C. An online-learning-based evolutionary many-objective algorithm. Inf. Sci. 2020, 509, 1–21. [Google Scholar] [CrossRef]
- Dulebenets, M.A. An Adaptive Polyploid Memetic Algorithm for scheduling trucks at a cross-docking terminal. Inf. Sci. 2021, 565, 390–421. [Google Scholar] [CrossRef]
- Kavoosi, M.; Dulebenets, M.A.; Abioye, O.; Pasha, J.; Theophilus, O.; Wang, H.; Raphael, K.; Mikijeljević, M. Berth scheduling at marine container terminals: A universal island-based metaheuristic approach. Marit. Bus. Rev. 2019, 5, 30–66. [Google Scholar] [CrossRef]
- Pasha, J.; Nwodu, A.L.; Fathollahi-Fard, A.M.; Tian, G.; Li, Z.; Wang, H.; Dulebenets, M.A. Exact and metaheuristic algorithms for the vehicle routing problem with a factory-in-a-box in multi-objective settings. Adv. Eng. Inform. 2022, 52. [Google Scholar] [CrossRef]
- Dulebenets, M.A. A novel memetic algorithm with a deterministic parameter control for efficient berth scheduling at marine container terminals. Marit. Bus. Rev. 2017, 2, 302–330. [Google Scholar] [CrossRef]
- Rabbani, M.; Oladzad-Abbasabady, N.; Akbarian-Saravi, N. Ambulance routing in disaster response considering variable patient condition: NSGA-II and MOPSO algorithms. J. Ind. Manag. Optim. 2022, 18, 1035. [Google Scholar] [CrossRef]
- Singla, M.K.; Hassan, M.H.; Gupta, J.; Jurado, F.; Nijhawan, P.; Kamel, S. An enhanced efficient optimization algorithm (EINFO) for accurate extraction of proton exchange membrane fuel cell parameters. Soft Comput. 2023, 1–20. [Google Scholar] [CrossRef]
Disclaimer/Publisher’s Note: The statements, opinions and data contained in all publications are solely those of the individual author(s) and contributor(s) and not of MDPI and/or the editor(s). MDPI and/or the editor(s) disclaim responsibility for any injury to people or property resulting from any ideas, methods, instructions or products referred to in the content. |
© 2023 by the authors. Licensee MDPI, Basel, Switzerland. This article is an open access article distributed under the terms and conditions of the Creative Commons Attribution (CC BY) license (https://creativecommons.org/licenses/by/4.0/).









