Organic Amendments and Reduced Tillage Accelerate Harvestable C Biomass and Soil C Sequestration in Rice–Wheat Rotation in a Semi-Arid Environment
Abstract
1. Introduction
2. Materials and Methods
2.1. Site Description
2.2. Experimental Design and Crop Management
2.3. Soil and Crop Measurements
2.3.1. Soil Analysis
2.3.2. Determination of Harvestable Carbon Biomass and Carbon Inputs
2.4. Soil Carbon Sequestration
2.5. Soil Nitrogen Sequestration
2.6. Statistical Analyses
3. Results
3.1. Soil Organic Matter
3.2. Harvestable C-Biomass and C-Inputs
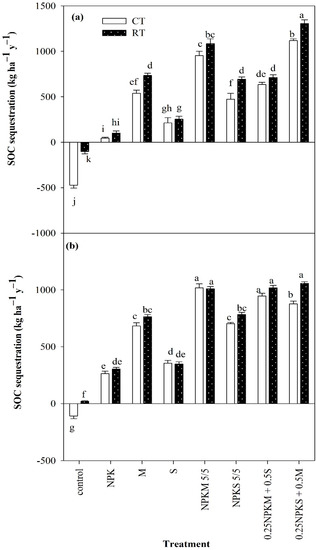
3.3. Soil Organic Carbon Sequestration
3.4. Soil Nitrogen Sequestration Rate
3.5. Relationship between SCS and C-Inputs
3.6. Soil Carbon Sequestration Efficiency
4. Discussion
4.1. Soil Organic Matter
4.2. Harvestable Carbon-Biomass
4.3. Carbon Sequestration and Carbon Inputs
4.4. Carbon Sequestration Efficiency Trends
4.5. Crops, Livestock, and Agro-forestry Carbon Biomass
5. Conclusions
Author Contributions
Funding
Institutional Review Board Statement
Informed Consent Statement
Data Availability Statement
Acknowledgments
Conflicts of Interest
References
- Munoz-Rojas, M.; Lewandrowski, W.; Erickson, T.E.; Dixon, K.W.; Merritt, D.J. Soil respiration dynamics in fire affected semiarid ecosystems: Effects of vegetation type and environmental factors. Sci. Total. Environ. 2016, 572, 1385–1394. [Google Scholar] [CrossRef] [PubMed]
- Ray, R.L.; Griffin, R.W.; Fares, A.; Elhassan, A.; Awal, R.; Woldesenbet, S.; Risch, E. Soil CO2 emission in response to organic amendments, temperature, and rainfall. Sci. Rep. 2020, 10, 5849. [Google Scholar] [CrossRef] [PubMed]
- Abdallah, A.M.; Jat, H.S.; Choudhary, M.; Abdelaty, E.F.; Sharma, P.C.; Jat, M.L. Conservation Agriculture Effects on Soil Water Holding Capacity and Water-Saving Varied with Management Practices and Agroecological Conditions: A Review. Agronomy 2021, 11, 1681. [Google Scholar] [CrossRef]
- Brar, B.S.; Singh, K.; Dheri, G.S. Carbon sequestration and soil carbon pools in a rice–wheat cropping system: Effect of long-term use of inorganic fertilizers and organic manure. Soil Till. Res. 2013, 128, 30–36. [Google Scholar] [CrossRef]
- Guo, Z.; Zhang, Z.; Zhou, H.; Wang, D.; Peng, X. The effect of 34-year continuous fertilization on the SOC physical fractions and its chemical composition in a Vertisol. Sci. Rep. 2019, 9, 102906. [Google Scholar] [CrossRef]
- Nunes, M.R.; Karlen, D.L.; Moorman, T.B. Tillage intensity effects on soil structure indicators-A US meta-analysis. Sustainability 2020, 12, 2071. [Google Scholar] [CrossRef]
- Chen, H.; Zhao, Y.; Feng, H.; Li, H.; Sun, B.J.P. Assessment of climate change impacts on soil organic carbon and crop yield based on long-term fertilization applications in Loess Plateau, China. Plant Soil 2015, 390, 401–417. [Google Scholar] [CrossRef]
- Sun, W.; Canadell, J.G.; Yu, L.; Yu, L.; Zhang, W.; Smith, P.; Fischer, T.; Huang, Y. Climate drives global soil carbon sequestration and crop yield changes under conservation agriculture. Glob. Chang. Biol. 2020, 26, 3325–3335. [Google Scholar] [CrossRef]
- Korav, S.; Rajanna, G.A.; Yadav, D.B.; Paramesha, V.; Mehta, C.M.; Jha, P.K.; Singh, S.; Singh, S. Impacts of Mechanized Crop Residue Management on Rice-Wheat Cropping System—A Review. Sustainability 2022, 14, 15641. [Google Scholar] [CrossRef]
- Singh, G.; Gupta, M.K.; Chaurasiya, S.; Sharma, V.S.; Pimenov, D.Y. Rice straw burning: Areview on its global prevalence and the sustainable alternatives for its effective mitigation. Environ. Sci. Pollut. Res. 2021, 28, 32125–32155. [Google Scholar] [CrossRef]
- Behera, U.K.; Sharma, A.R. Effect of conservation tillage on performance of green gram mustard-cowpea cropping system. J. Soil Water Conser. 2011, 10, 233–236. [Google Scholar]
- Hussain, I.; Shah, H.; Khan, M.A.; Akhtar, W.; Majid, A.; Mujahid, M.Y. Productivity in rice-wheat crop rotation of Punjab: An application of typical farm methodology. Pak. J. Agric. Res. 2012, 25, 1–11. [Google Scholar]
- Page, K.L.; Dang, Y.P.; Dalal, R.C. The ability of conservation agriculture to conserve soil organic carbon and the subsequent impact on soil physical, chemical, and biological properties and yield. Front. Sustain. Food Syst. 2020, 4, 31. [Google Scholar] [CrossRef]
- Williams, H.; Colombi, T.; Keller, T. The influence of soil management on soil health: An on-farm study in southern Sweden. Geoderma 2020, 360, 114010. [Google Scholar] [CrossRef]
- Kukal, S.S.; Rasool, R.; Benbi, D.K. Soil organic carbon sequestration in relation to organic and inorganic fertilization in rice–wheat and maize–wheat systems. Soil Till. Res. 2009, 102, 87–92. [Google Scholar] [CrossRef]
- Chew, K.W.; Chia, S.R.; Yen, H.-W.; Nomanbhay, S.; Ho, Y.-C.; Show, P.L. Transformation of Biomass Waste into Sustainable Organic Fertilizers. Sustainability 2019, 11, 2266. [Google Scholar] [CrossRef]
- Hati, K.M.; Misra, K.G.; Mishra, A.K.; Ghosh, P.K.; Bandyopadhyay, K.K. Effect of inorganic fertilizer and farmyard manure on soil physical properties, root distribution, and water-use efficiency of soybean in Vertisols of central India. Bioresour. Technol. 2006, 97, 2182–2188. [Google Scholar] [CrossRef]
- Rimhanen, K.; Ketoja, E.; Yli-Halla, M.; Kahiluoto, H. Ethiopian agriculture has greater potential for carbon sequestration than previously estimated. Glob. Chang. Biol. 2016, 22, 3739–3749. [Google Scholar] [CrossRef]
- Nieder, R.; Benbi, D.K.; Isermann, K. Soil organic matter dynamics. In Handbook of Processes and Modelling in the Soil-Plant System; Haworth Press, Inc.: New York, NY, USA, 2003; pp. 345–408. ISBN 1-56022-915-2. [Google Scholar]
- Parker, M.A.; Nyakatawa, E.Z.; Reddy, K.C.; Reeves, D.W. Soil Carbon and Nitrogen as Influenced by Tillage and Poultry Litter in North Albama. In Making Conservation Tillage Conventional: Building a future on 25 Years of Research, Proceedings of 25th Annual Southern Conservation Tillage Conference for Sustainable Agriculture, Auburn, AL, USA, 24–26 June 2002; van Santan, E., Ed.; Alabama Agricultural Experiment Station and Auburn University: Auburn, AL, USA, 2002; pp. 283–287. [Google Scholar]
- Rudrappa, L.; Purakayastha, T.J.; Singh, D.; Bhadraray, S. Long-term manuring and fertilization effects on soil organic carbon pools in a typic haplustept of semi-arid sub-tropical India. Soil Till. Res. 2006, 88, 180–192. [Google Scholar] [CrossRef]
- Walkley, A.; Black, I.A. An examination of the Degtjareff method for determining soil organic matter, and a proposed modification of the chromic acid titration method. Soil Sci. 1934, 37, 29–38. [Google Scholar] [CrossRef]
- Black, C.; Evans, D.; White, J.; Ensmingher, L.; Clarke, F.; Dinauer, R.J.I. Part 2-chemical and microbiological properties, 9 series. In Methods of Soil Analysis; American Society of Agronomy, Crop Science Society of America, Soil Science Society of America: Madison, WI, USA, 1965. [Google Scholar]
- Murphy, J.A.M.E.S.; Riley, J.P. A modified single solution method for the determination of phosphate in natural waters. Anal. Chim. Acta 1962, 27, 31–36. [Google Scholar] [CrossRef]
- Olsen, S.R.; Cole, C.V.; Watanabe, F.S.; Dean, L.S. Estimation of Available Phosphorus in Soil by Extraction with Sodium Bicarbonate; US Department of Agriculture Circular No. 939; US Department of Agriculture: Washington, DC, USA, 1954; pp. 1–19. [Google Scholar]
- Kundsen, D.; Peterson, G.A.; Pratt, P.F. Lithium, Sodium, and Potassium. In Methods of Soil Analysis. Part 2, 2nd ed.; ASA and SSSA: Madison, WI, USA, 1982; pp. 225–246. [Google Scholar]
- Liu, X.; Xiao, X.; Yang, G.; Ren, T. Influences of long-term organic and chemical fertilization on soil aggregation and associated organic carbon fractions in a red paddy soil. Chin. J. Eco-Agri. 2014, 22, 1129–1138. [Google Scholar]
- Zhang, L.M.; Yu, D.S.; Shi, X.Z.; Xu, S.X.; Wang, S.H.; Xing, S.H.; Zhao, Y.C. Simulation soil organic carbon change in China’s Tai-Lake paddy soils. Soil Till. Res. 2012, 121, 1–9. [Google Scholar] [CrossRef]
- Zhao, Y.; Zhang, Y.; Liu, X.; He, X.; Shi, X. Carbon sequestration dynamic, trend and efficiency as affected by 22-year fertilization under a rice–wheat cropping system. J. Plant Nutr. Soil Sci. 2016, 179, 652–660. [Google Scholar] [CrossRef]
- Kong, A.Y.; Six, J.; Bryant, D.C.; Denison, R.F.; Van Kessel, C. The relationship between carbon input, aggregation, and soil organic carbon stabilization in sustainable cropping systems. Soil Sci. Soc. Amer. J. 2005, 69, 1078–1085. [Google Scholar] [CrossRef]
- Steel, R.G.; Torrie, J.H.; Dickey, D. Principles and Procedures of Statistics, a Biometrical Approach; The McGraw-Hill Co., Inc.: New York, NY, USA, 1997; pp. 1–665. ISBN 0-07-061028-2. [Google Scholar]
- McGraw-Hill Co. Statistix 8.1. Analytical Software; McGraw-Hill: Tallahassee, FL, USA, 2008; Available online: https://www.statistix.com/ (accessed on 5 April 2023).
- Dolan, M.S.; Clapp, C.E.; Allmaras, R.R.; Baker, J.M.; Molina, J.A.E. Soil organic nitrogen in a Minnesota soil as related to tillage, residue, and nitrogen management. Soil Till. Res. 2006, 89, 221–231. [Google Scholar] [CrossRef]
- Du, Z.; Ren, T.; Hu, C. Tillage and residue removal effects on soil carbon and nitrogen storage in the North China Plain. Soil Sci. Soc. Amer. J. 2010, 74, 196–202. [Google Scholar] [CrossRef]
- Moreno, F.; Murillo, J.M.; Pelegrín, F.; Girón, I.F. Long-term impact of conservation tillage on stratification ratio of soil organic carbon and loss of total and active CaCO3. Soil Till. Res. 2006, 85, 86–93. [Google Scholar] [CrossRef]
- Derpsch, R.; Franzluebbers, A.J.; Duiker, S.W.; Reicosk, D.C.; Koeller, K.; Friedrich, T.; Sá, J.C.M.; Weiss, K. Why do we need to standardize no-tillage research? Soil Till. Res. 2014, 137, 16–22. [Google Scholar] [CrossRef]
- Dimassi, B.; Cohan, J.P.; Labreuche, J.; Mary, B. Changes in soil carbon and nitrogen following tillage conversion in a long-term experiment in Northern France. Agric. Ecosyst. Environ. 2013, 169, 12–20. [Google Scholar] [CrossRef]
- Jemai, I.; Aissa, N.B.; Guirat, S.B.; Ben-Hammouda, M.; Gallali, T. On-farm assessment of tillage impact on the vertical distribution of soil organic carbon and structural soil properties in a semiarid region in Tunisia. J. Environ. Manag. 2012, 113, 488–494. [Google Scholar] [CrossRef] [PubMed]
- Wang, X.; Qi, J.Y.; Zhang, X.Z.; Li, S.S.; Virk, A.L.; Zhao, X.; Xiao, X.P.; Zhang, H.L. Effects of tillage and residue management on soil aggregates and associated carbon storage in a double paddy cropping system. Soil Till. Res. 2019, 194, 104339. [Google Scholar] [CrossRef]
- Laskar, S.Y.; Sileshi, G.W.; Pathak, K.; Debnath, N.; Nath, A.J.; Laskar, K.Y.; Singnar, P.; Das, A.K. Variations in soil organic carbon content with chronosequence, soil depth and aggregate size under shifting cultivation. Sci. Total. Environ. 2021, 762, 143114. [Google Scholar] [CrossRef] [PubMed]
- Prakash, M.V.; Gupta, H.J. Effect of fertilizer application on yield and net returns of major cropping systems under sub-temperate climate of NW Himalayas. Indian Farming 2002, 23, 11–15. [Google Scholar]
- Fan, H.Z.; Chen, Q.R.; Qin, Y.S.; Kun, C.H.E.N.; Tu, S.H.; Xu, M.G.; Zhang, W.J. Soil carbon sequestration under long-term rice-based cropping systems of purple soil in Southwest China. J. Integ. Agri. 2015, 14, 2417–2425. [Google Scholar] [CrossRef]
- Xu, M.; Lou, Y.; Sun, X.; Wang, W.; Baniyamuddin, M.; Zhao, K.J.B.; Soils, F.O. Soil organic carbon active fractions as early indicators for total carbon change under straw incorporation. Biol. Fert. Soils 2011, 47, 745–752. [Google Scholar] [CrossRef]
- Ludwig, B.; Geisseler, D.; Michel, K.; Joergensen, R.G.; Schulz, E.; Merbach, I.; Raupp, J.; Rauber, R.; Hu, K.; Niu, L.; et al. Effects of fertilization and soil management on crop yields and carbon stabilization in soils. A review. Agron. Sustain. Dev. 2011, 31, 361–372. [Google Scholar] [CrossRef]
- Laudicina, V.A.; Novara, A.; Barbera, V.; Egli, M.; Badalucco, L. Long-term tillage and cropping system effects on chemical and biochemical characteristics of soil organic matter in a Mediterranean semiarid environment. Land Degrad. Develop. 2015, 26, 45–53. [Google Scholar] [CrossRef]
- Huang, S.; Rui, W.; Peng, X.X.; Huang, Q.R.; Zhang, W.J. Organic carbon fractions affected by long-term fertilization in a subtropical paddy soil. Nutr. Cyc. Agroecosyst. 2010, 86, 153–160. [Google Scholar] [CrossRef]
- Zhang, W.; Xu, M.; Wang, B.; Wang, X. Soil organic carbon, total nitrogen and grain yields under long-term fertilizations in the upland red soil of southern China. Nutr. Cyc. Agroecosyst. 2009, 84, 59–69. [Google Scholar] [CrossRef]
- Tong, X.; Xu, M.; Wang, X.; Bhattacharyya, R.; Zhang, W.; Cong, R. Long-term fertilization effects on organic carbon fractions in a red soil of China. Catena 2014, 113, 251–259. [Google Scholar] [CrossRef]
- Zhang, W.J.; Wang, X.J.; Xu, M.G.; Huang, S.M.; Liu, H.; Peng, C. Soil organic carbon dynamics under long-term fertilizations in arable land of northern China. Biogeoscie 2010, 7, 409–425. Available online: https://bg.copernicus.org/articles/7/409/2010/bg-7-409-2010.pdf (accessed on 1 March 2023). [CrossRef]
- Hua, K.; Wang, D.; Guo, X.; Guo, Z. Carbon sequestration efficiency of organic amendments in a long-term experiment on a vertisol in Huang-Huai-Hai Plain, China. PLoS ONE. 2014, 9, e108594. [Google Scholar] [CrossRef] [PubMed]
- Manna, M.C.; Swarup, A.; Wanjari, R.H.; Ravankar, H.N.; Mishra, B.; Saha, M.N.; Singh, Y.V.; Sahi, D.K.; Sarap, P.A. Long-term effect of fertilizer and manure application on soil organic carbon storage, soil quality and yield sustainability under sub-humid and semi-arid tropical India. Field Crops Res. 2005, 93, 264–280. [Google Scholar] [CrossRef]
- Bhattacharyya, P.; Roy, K.S.; Neogi, S.; Adhya, T.K.; Rao, K.S.; Manna, M.C. Effects of rice straw and nitrogen fertilization on greenhouse gas emissions and carbon storage in tropical flooded soil planted with rice. Soil Till. Res. 2012, 124, 119–130. [Google Scholar] [CrossRef]
- Zhao, X.; Wang, S.; Xing, G.J.A. Maintaining rice yield and reducing N pollution by substituting winter legume for wheat in a heavily-fertilized rice-based cropping system of southeast China. Agri. Ecosys. Environ. 2015, 202, 79–89. [Google Scholar] [CrossRef]
- Maillard, É.; Angers, D.A. Animal manure application and soil organic carbon stocks: A meta-analysis. Global Chang. Biol. 2014, 20, 666–679. [Google Scholar] [CrossRef]
- Kong, A.Y.; Six, J. Tracing root vs. residue carbon into soils from conventional and alternative cropping systems. Soil Sci. Soc. Amer. J. 2010, 74, 1201–1210. [Google Scholar] [CrossRef]
- Rasse, D.P.; Rumpel, C.; Dignac, M.F. Is soil carbon mostly root carbon? Mechanisms for a specific stabilization. Plant Soil. 2005, 269, 341–356. [Google Scholar] [CrossRef]
- Yan, X.; Zhou, H.; Zhu, Q.H.; Wang, X.F.; Zhang, Y.Z.; Yu, X.C.; Peng, X. Carbon sequestration efficiency in paddy soil and upland soil under long-term fertilization in southern China. Soil Till. Res. 2013, 130, 42–51. [Google Scholar] [CrossRef]
- Xiang, S.R.; Doyle, A.; Holden, P.A.; Schimel, J.P. Drying and rewetting effects on C and N mineralization and microbial activity in surface and subsurface California grassland soils. Soil Biol. Biochem. 2008, 40, 2281–2289. [Google Scholar] [CrossRef]
- Abbas, U.-I.-A.; Farooq, U.; Chandio, A.A. Land Utilization, Development Expenditure, Agricultural Productivity and Economic Growth: Evidence from Pakistan. Eur. Online J. Natur. Soc. Sci. 2018, 7, 84–91. Available online: https://core.ac.uk/download/pdf/230053881.pdf (accessed on 1 March 2023).
- Peng, X.; Zegen, W.; Zhuo, H. A land degradation assessment based on the combination of quantitative and qualitative change of land cover: A case study in Pakistan. Environ. Earth Sci. 2023, 82, 43. [Google Scholar] [CrossRef]
- Ahmad, S.; Israr, M.; Ahmed, R.; Ashraf, A.; Amin, M.; Ahmad, N. Land use and Cover Changes in the Northern Mountains of Pakistan; A Spatio-Temporal Change using MODIS (MCD12Q1) Time Series. Sarhad J. Agric. 2022, 38, 1419. [Google Scholar] [CrossRef]
- Mannan, A.; Liu, J.; Zhongke, F.; Khan, T.U.; Saeed, S.; Mukete, B.; ChaoYong, S.; Yongxiang, F.; Ahmad, A.; Amir, M.; et al. Application of land-use/land-cover changes in monitoring and projecting forest biomass carbon loss in Pakistan. Glob. Ecol. Conserv. 2019, 17, e00535. [Google Scholar] [CrossRef]
- Ali, S.; Khan, S.M.; Ahmad, Z.; Siddiq, Z.; Ullah, A.; Yoo, S.; Han, H.; Raposos, A. Carbon sequestration potential of different forest types in Pakistan and its role in regulating services for public health. Front. Public Health 2023, 10, 1064586. [Google Scholar] [CrossRef]
- Ali, A.; Ashraf, M.I.; Gulzar, S.; Akmal, M.; Ahmad, B. Estimation of soil carbon pools in the forests of Khyber Pakhtunkhwa Province, Pakistan. J. For. Res. 2020, 31, 2313–2321. [Google Scholar] [CrossRef]
- Shahbaz, P.; Boz, I.; Haq, S. Adaptation options for small livestock farmers having large ruminants (cattle and buffalo) against climate change in Central Punjab Pakistan. Environ. Sci. Pollut. Res. 2020, 27, 17935–17948. [Google Scholar] [CrossRef]
- Mahmood, A.; Hamed, A.; Kataoka, R.; Turgay, O.C.; Namli, A. How Agricultural Sector can Contribute to Land Degradation Neutrality in Pakistan; Perspective of Farmers’ Participation and Integrated Land Use. In Proceedings of the International Soil Congress 2019, Ankara, Turkey, 17–19 June 2019; pp. 155–158. [Google Scholar]
- Chowdhury, F.I.; Barua, I.; Chowdhury, A.I.; Dios, V.R.d.; Alam, M.S. Agroforestry shows higher potential than reforestation for soil restoration after slash-and-burn: A case study from Bangladesh. Geol. Ecol. Landsc. 2020, 6, 48–54. [Google Scholar] [CrossRef]
- Figueiredo, E.B.; Jayasundara, S.; Bordonal, R.O.; Berchielli, T.T.; Reis, R.A.; Wagner-Riddle, C.; La Scala, N. Greenhouse gas balance and carbon footprint of beef cattle in three contrasting pasture-management systems in Brazil. J. Clean. Prod. 2017, 142, 420–431. [Google Scholar] [CrossRef]
- Morales, M.M.; Tonini, H.; Behling, M.; Hoshide, A.K. Tree Role in Carbon Stock in an Integrated Livestock-Forestry System in Brazil. Sustainability, 2023; submitted. [Google Scholar]







| Properties | Unit | Value | |
|---|---|---|---|
| 0–15 cm | 15–30 cm | ||
| OM | % | 0.51 | 0.34 |
| Clay | % | 27 | 29 |
| Silt | % | 54 | 51 |
| Sand | % | 19 | 20 |
| Stone | % | 0 | 0 |
| Total Nitrogen | g kg−1 | 0.41 | 0.3 |
| Total Phosphorus | g kg−1 | 0.44 | 0.4 |
| Total Potash | g kg−1 | 31.11 | 30.07 |
| Available N | mg kg−1 | 21.32 | 14.7 |
| Available P | mg kg−1 | 7.07 | 6.07 |
| Available K | mg kg−1 | 164.87 | 138.34 |
| Bulk Density | Mg m−3 | 1.49 | 1.51 |
| Source | Moisture (%) | Carbon (%) | Nitrogen (%) | Phosphorus (%) | Potash (%) | CN Ratio |
|---|---|---|---|---|---|---|
| Manure | 39.5 | 29.6 | 0.8 | 0.21 | 0.61 | 37.00 |
| Rice straw | 15.5 | 41.31 | 0.98 | 0.18 | 1.62 | 40.31 |
| Wheat straw | 10.5 | 39.5 | 1.13 | 0.4 | 2.02 | 36.56 |
| Treatments | Soil Depth (cm) | |||
|---|---|---|---|---|
| 0–15 | 15–30 | Total | ||
| Conventional tillage | Control (Ck) | 4.60 | 3.09 | 7.69 |
| Mineral NPK | 5.61 | 3.82 | 9.43 | |
| Animal manure | 6.54 | 4.60 | 11.14 | |
| Stubble/crop residue | 5.92 | 3.99 | 9.92 | |
| NPKM 5/5 | 7.41 | 5.20 | 12.61 | |
| NPKS 5/5 | 6.40 | 4.61 | 11.01 | |
| 0.25 NPKM + 0.50 S | 6.67 | 5.04 | 11.71 | |
| 0.25 NPKS + 0.50 M | 7.53 | 4.90 | 12.43 | |
| Reduced tillage | Ck | 5.41 | 3.47 | 8.88 |
| NPK | 5.80 | 3.91 | 9.70 | |
| Animal manure | 6.89 | 4.70 | 11.59 | |
| Stubble/crop residue | 6.13 | 4.10 | 10.23 | |
| NPKM 5/5 | 7.60 | 5.21 | 12.81 | |
| NPKS 5/5 | 6.80 | 4.80 | 11.60 | |
| 0.25 NPKM + 0.50 S | 6.88 | 5.10 | 11.98 | |
| 0.25 NPKS + 0.50 M | 7.70 | 5.10 | 12.80 | |
Disclaimer/Publisher’s Note: The statements, opinions and data contained in all publications are solely those of the individual author(s) and contributor(s) and not of MDPI and/or the editor(s). MDPI and/or the editor(s) disclaim responsibility for any injury to people or property resulting from any ideas, methods, instructions or products referred to in the content. |
© 2023 by the authors. Licensee MDPI, Basel, Switzerland. This article is an open access article distributed under the terms and conditions of the Creative Commons Attribution (CC BY) license (https://creativecommons.org/licenses/by/4.0/).
Share and Cite
Shaukat, M.; Ahmad, A.; Khaliq, T.; Hoshide, A.K.; de Abreu, D.C. Organic Amendments and Reduced Tillage Accelerate Harvestable C Biomass and Soil C Sequestration in Rice–Wheat Rotation in a Semi-Arid Environment. Sustainability 2023, 15, 6415. https://doi.org/10.3390/su15086415
Shaukat M, Ahmad A, Khaliq T, Hoshide AK, de Abreu DC. Organic Amendments and Reduced Tillage Accelerate Harvestable C Biomass and Soil C Sequestration in Rice–Wheat Rotation in a Semi-Arid Environment. Sustainability. 2023; 15(8):6415. https://doi.org/10.3390/su15086415
Chicago/Turabian StyleShaukat, Muhammad, Ashfaq Ahmad, Tasneem Khaliq, Aaron Kinyu Hoshide, and Daniel C. de Abreu. 2023. "Organic Amendments and Reduced Tillage Accelerate Harvestable C Biomass and Soil C Sequestration in Rice–Wheat Rotation in a Semi-Arid Environment" Sustainability 15, no. 8: 6415. https://doi.org/10.3390/su15086415
APA StyleShaukat, M., Ahmad, A., Khaliq, T., Hoshide, A. K., & de Abreu, D. C. (2023). Organic Amendments and Reduced Tillage Accelerate Harvestable C Biomass and Soil C Sequestration in Rice–Wheat Rotation in a Semi-Arid Environment. Sustainability, 15(8), 6415. https://doi.org/10.3390/su15086415

