Next Article in Journal
Different Trajectories of Heritage Language Identity Development through Short-Term Study Abroad Programs: The Case of Chinese Heritage Learners
Next Article in Special Issue
Impact of Carpooling under Mobile Internet on Travel Mode Choices and Urban Traffic Volume: The Case of China
Previous Article in Journal
Identification of Hazardous Waste Risk Level in Central Java Province, Indonesia
 
 
Font Type:
Arial Georgia Verdana
Font Size:
Aa Aa Aa
Line Spacing:
Column Width:
Background:
Article

Simulation Study of the Effect of Atmospheric Stratification on Aircraft Wake Vortex Encounter

School of Air Traffic Management, Civil Aviation Flight University of China, Guanghan 618307, China
*
Author to whom correspondence should be addressed.
Sustainability 2023, 15(8), 6391; https://doi.org/10.3390/su15086391
Submission received: 21 February 2023 / Revised: 28 March 2023 / Accepted: 4 April 2023 / Published: 8 April 2023
(This article belongs to the Special Issue Towards Green and Smart Cities: Urban Transport and Land Use)

Abstract

The atmospheric environment is an important factor affecting aircraft wake vortex decay and wake separation. In this paper, numerical calculations and strip modeling are combined to complete an analysis of wake encounter under three atmospheric stratifications expressed in Brunt–Väisälä (BV) frequencies. The SST k-ω turbulence model was chosen for the numerical simulation to complete the evolution of the wake vortex field of the A330 aircraft. The A320 and ERJ190 were selected as the aircraft for wake encounter analysis. The dimensionless roll moment coefficient (RMC) was selected as the indicator to construct a three-dimensional hazard zone for wake encounters and then calculate the wake separation. The results show that the higher BV frequencies correspond to faster wake vortex decay and hazard zone dissipation, and a slower decrease in the height of the hazard zone. The risk level of the ERJ190 is higher than that of the A320 with the same wake intensity, and the wake separation of the A320 following the A330 is 5516 m, which is 25.5% less than the ICAO RECAT separation standard, while the wake separation of the A330 following the ERJ190 is 5803 m, which is 37.6% less than the ICAO RECAT separation standard.

1. Introduction

Ways to reasonably reduce wake separation under the premise of ensuring the safety of fling has been a hot topic in civil aviation research. The reduction in wake separation is beneficial to improve airport operation capacity [1], promote the construction of intelligent civil aviation, and ensure the sustainable development of civil aviation transportation. Tail flow is an important factor affecting the safety interval of the aircraft, and when the following aircraft encounters the vortex field of the leading aircraft, it may produce dangerous situations such as tilting, rolling, and pitching. With the entry into service of the large passenger aircraft A380, the concept of wake turbulence re-categorization (RECAT) has been proposed and continuously updated to support the sustainability of civil aviation transportation [2]. To further standardize the wake separation criteria, the European Organization for the Safety of Air Navigation (EUROCONTROL) conducted the RECAT-EU project study in 2013 and the Federal Aviation Administration (FAA) proposed RECAT 1.5 in 2014, which subsequently became effective. It is important to study the evolution of the wake vortices under different meteorological conditions and the trend of the wake vortex hazard zone to establish a wake separation prediction system and promote the upgrading of RECAT [3].
The intensity decay of the wake vortex is mainly divided into the diffusion phase and the fast decay phase [4], and the fast decay of the wake vortex is closely related to the in-stability of long and short waves [5]. With the advancement of computing technology, numerical simulation has gradually become an important tool for wake vortex research. In 2003, Ruith et al. [6] demonstrated, through direct numerical simulation studies, that the wake vortex dissipation process is an axisymmetric model determined by the stability of its own flow field. Reuß et al. [7] performed numerical simulations using the unsteady Reynolds-averaged Navier-Stokes (URANS) method and the hybrid RANS-LES method by referring to experimental data to evaluate the simulation results and found that the URANS method satisfactorily predicted the mean flow behavior and induced the head-on angle of the vortex, while the improvement using the hybrid RANS-LES was method minimal. Misaka verified the feasibility of a coupling approach between steady Reynolds-averaged Navier-Stokes (RANS) and Cartesian large eddy simulation (LES) solvers in the simulation of the jet-wake vortex interaction [8,9]. As the research progressed, it was found that meteorological conditions were particularly important for the wake evolution. Holzäpfel et al. [10] used two different large eddy simulation (LES) codes to perform large eddy simulations of aircraft wake vortex evolution in various turbulent atmospheric environments. They also found that because unstable stratification tends to correspond to stronger atmospheric turbulence and large-scale updrafts and downdrafts, the decay rate of the wake vortex in this case is much faster than in neutral and stable atmospheric conditions [11]. With the continuous improvement of aircraft wake information, a series of wake vortex evolution models have emerged to achieve rapid predictions of wake vortex decay and motion. Proctor et al. [12] proposed the TASS driven algorithms for a wake prediction (TDAWP) model to describe the near-ground decay of the wake vortex. Holzäpfel et al. [13,14] proposed a P2P (probabilistic two-phase wake vortex decay model) model based on empirical models. Zhou et al. [15] used adaptive meshing to simulate the wake vortex evolution for three cases of turbulence intensity and found that the hazard level of the wake vortex encounter is closely related to the unstable development of the wake vortex. Barben et al. [16] used RMC (roll moment coefficient) to determine the hazard level of an aircraft encountering wake vortices and verified that this method is feasible. In 2016, Campos et al. [17] analyzed the roll by calculating the roll moment of an aircraft after encountering a wake and used the maximum roll angular velocity as a measure of the severity of the wake encounter. Pan et al. [18] identified the hazard zone of a wake vortex encounter during approach landing using RMC and overload increments. The wake vortex evolution is closely related to the atmospheric environment, and the environmental changes in the near-surface layer are complex and diverse, with wind speed, atmospheric turbulence, and buoyancy effects affecting the wake vortex evolution [19,20]. Research needs to be conducted in order to solve the problem that the existing wake prediction models cannot consider the influence of all meteorological conditions on the wake vortex evolution [21,22]. In this paper, numerical simulations are combined with a wake encounter response model to carry out the study of wake vortex evolution and wake encounter under different atmospheric stratifications.
The details are as follows. The A330 aircraft wake vortex evolution is performed by adding different BV frequencies using UDF to construct different atmospheric stratifications. The velocity flow field results from the numerical simulation are combined with the strip model to analyze the lift variation and RMC variation in the wake encounter of the following aircraft (A320 and ERJ190). The RMC is used as the determination index to visualize the wake hazard zone at each BV frequency. Considering the safety margin and positioning deviation, the wake separation of the A320 and ERJ190 following the A330′s flight is calculated and compared with the current standard.

2. Numerical Simulation Method

2.1. RANS Control Equation

The Reynolds-averaged Navier–Stokes (RANS) equations are time-averaged equations of motion for fluid flow. They are primarily used while dealing with turbulent flows. Equations (1) and (2) are the continuity equation and the momentum equation.
ρ t + x i ( ρ u i ¯ ) = 0
t ( ρ u i ¯ ) + x i ( ρ u i ¯ u j ¯ ) = x j { [ μ ( u i ¯ x j + u j ¯ x i ) ] 2 3 μ u l ¯ x l δ i j } p ¯ x i τ i j x j
where ρ denotes the fluid density; t is time; u i denotes the velocity in the x i direction in the computational domain; u j denotes the velocity in the x j direction in the computational domain; p is the fluid pressure; μ is the fluid viscosity coefficient; and τ i j is the subgrid Reynolds stress. The SST k-ω model is chosen for the turbulence model, which has higher computational accuracy than the standard k-ω model, and it is suitable for cases such as rotational flow. The turbulent kinetic energy k and specific dissipation rate ω can be obtained from the following equations.
t ( ρ k ) + x i ( ρ k u i ) = x j ( Γ k k x j ) + G k Y k + S k + G b
t ( ρ ω ) + x i ( ρ ω u i ) = x j ( Γ w ω x j ) + G ω Y ω + S ω + G ω b
where G k denotes the turbulent kinetic energy due to the mean velocity gradient; G ω represents the generation of ω ; Γ k and Γ w represent the effective diffusivity of k and ω , respectively. S k and S ω are the turbulent kinetic energy term and the turbulent dissipative original term, respectively; and G b and G ω b are the interpretation of the buoyancy term.

2.2. Wake Vortex Model of Leading Aircraft

The A330-300 was selected as the aircraft that generates the wake vortex for the numerical simulation, and the specific parameters were selected as shown in Table 1. In the table, MLW indicates maximum landing weight and RECAT-CN indicates wake turbulence re-categorization standards of Chinese aircraft.
The empirical model of wake vortex dissipation can only consider a limited number of parameters, which will affect the accuracy of the prediction. Meanwhile, complex meteorological factors will increase the difficulty of constructing an empirical model. In this paper, numerical simulations using ANSYS software are carried out to investigate the evolution of the trailing vortex under different atmospheric stratifications. Different meteorological factors are added by compiling and adding UDF in FLUENT code. The circulation is an important manifestation of the wake vortex intensity, and the aircraft wake vortex parameters are generally described by three basic parameters: initial circulation Γ 0 , initial vortex radius r 0 , and initial vortex spacing b 0 . Γ 0 and b 0 are calculated as follows:
Γ 0 = m g ρ b 0 V ,   b 0 = π 4 b
where m is the weight of the aircraft; g is the acceleration of gravity; ρ is the air density; b is the wingspan of the aircraft; V is the air speed. The ratio between the initial vortex radius r 0 and the initial vortex spacing is b 0 between 1% and 7% under ideal conditions, and 5.2% is taken to calculate the initial vortex radius in this paper.
r 0 = 0.052 b 0
The Hallock-Burnham (H-B) vortex model is commonly used in LIDAR wake observation data processing, numerical simulation initialization, and the wake encounter aircraft response model, which is widely used in practice. Therefore, the Hallock-Burnham tangential velocity model of the wake vortex is used for the initial velocity field of the numerical simulation. The model velocity variation curve is smooth and realistic. The prediction of the time required for the wake to enter the fast dissipation phase is more consistent with the theoretical value [23].
v θ ( r ) = Γ 0 2 π r r 2 r 2 + r 0 2
where v θ is the tangential velocity of the wake and r is the distance from a point in the flow field to the vortex center.
According to Γ 0 and b 0 , the characteristic time t 0 and velocity v 0 of wake evolution can be further defined.
t 0 = b 0 v 0 t ,   v 0 = Γ 0 2 π b 0
where characteristic velocity v 0 is the initial descent velocity of the wake under mutual induction calculated according to the Biot–Savart law, and the characteristic time t 0 represents the time required for the wake to decrease the initial vortex spacing b 0 distance length with characteristic velocity v 0 .
The corresponding initial wake parameters and wake evolution data are shown in Table 2.

3. Evolution of the Wake Vortex and Verification

Figure 1 shows that a structured grid with a resolution of 0.011 is built with the midpoint of the connection between the two initial wake vortices as the origin. The H-B wake model is compiled and added using a UDF.
The flow field fluid is treated as an ideal gas. The numerical simulation of the wake vortex evolution is carried out under the condition of medium atmospheric turbulence intensity to promote the wake vortex to enter the rapid decay stage as early as possible. This is conducive to reducing the calculation time and the analysis of the wake vortex encounter. The calculation method is a transient calculation with a recording step of 0.1 s. The pressure-based solver is selected, and the solution method is selected as the PISO method. Dimensionless treatment of the tail vortex evolution time t = t / t 0 . The initial wake velocity field generated with the initial wake parameters in Table 2 is shown in Figure 2a, and the wake vortex velocity field at the moment of wake vortex evolution to t 0 is shown in Figure 2b, at which point the wake vortex sinks to exactly b 0 , as expected.
Figure 3 shows the comparison of the radial velocity of the wake vortex detected using LIDAR (a) with the horizontal velocity of the wake vortex under numerical simulation (b). Both the numerical simulation results and the radar detection results show two opposite velocity pairs of the wake vortex, and the velocity magnitudes are relatively close, which indicates that the velocity fields of the wake vortex obtained from the numerical simulation and the radar detection are structurally similar. However, due to the interference of the background wind field and the fact that LIDAR detection has a certain elevation angle [24], the measured velocities are radial velocities matched to the detection rays, and the LIDAR detection results do not show a high degree of symmetry.
Holzäpfel used numerical simulations to find that the decay rate of the wake vortex under unstable stratification is much greater than that of neutral and stable conditions [13]. BV frequency is the frequency of the vertical oscillation circle produced by the gas mass under the action of buoyancy and gravity and is a measure of the frequency of free oscillation of fluid body elements in the vertical direction. Using different buoyancy BV (Brunt-Väisälä) frequencies as measures of atmospheric stratification stability, and the relationship between BV frequency and temperature stratification is as follows:
N 2 = a h d z = ( λ d λ ) g T i = g T i ( d T i d z f + g C p )
where N is the BV frequency; a h is the acceleration of the gas in the vertical direction; λ is the vertical decreasing rate of the temperature of the actual atmosphere; λ d is the vertical decreasing rate of the temperature of the dry adiabatic gas, taken as 0.01 K/m; z f is the flight altitude; T i is the atmospheric temperature; and C p is the specific heat at constant pressure.
Using the characteristic time t 0 for the dimensionless treatment of BV frequencies, three cases with dimensionless BV frequencies N* of 0, 0.5, and 1.0 were selected for the study.
N = N t 0
In order to assess the strength of wake vortices, the mean circulation Γ 5 15 is used in this paper, which is averaged over 11 circular planes with radii from 5 to 15 m. Γ 5 15 is a non-dimensional quantity normalized using the initial
Γ 5 15 = 1 11 r = 5 15 ( 0 r ω d A ) / Γ 0
The tail vortex data of different evolution times are extracted to calculate the tail vortex circulation. Figure 4 represents the variation curves of the circulation at each BV frequency. The results show that stronger BV frequencies accelerate the decay rate of the wake vortex, and the intensity of the wake vortex decreases by 72–75% when t* = 3.
Figure 5 shows the variation in the position of the evolving vortex cores. Here, ‘t’ denotes the tail vortex evolution time. The left and right vortices basically show symmetric variation due to the absence of other conditions. In the initial stage of evolution, the wake vortex descends with velocity v 0 under self-induced conditions, and the intervortex spacing increases slightly with the increase in the vortex core radius. In the case of N* = 0, the vortex spacing tends to increase and the sinking speed of the wake vortex is slightly accelerated; in the case of N* = 0.5, the vortex spacing fluctuates within a certain range and the sinking rate of the wake vortex is basically unchanged. The sinking rate of the wake vortex decreases significantly with time. Combined with the change in the circulation, it can be obtained that the decrease in the wake vortex intensity leads to the weakening of the mutual induction effect of the two vortices, which in turn affects the change in the position of the wake vortex.
Figure 6 shows the variation in the height and structure of the wake vortex for t* = 3. As the BV frequency increases, the wake vortex sink height decreases significantly and the vortex spacing is smaller. This is due to the promotional effect of stable atmospheric stratification on the rapid decay of the wake vortex. As shown in Figure 6d for N* = 1, where the evolution of the wake vortex will appear as a small-scale reverse vortex above the wake vortex. The presence of the reverse vortex will reduce the intensity of the wake vortex, leading to a weakening of the mutual induction effect, which in turn leads to a reduction in the rate of descent. At the same time, the presence of a buoyancy effect will also cause a slowdown in the fall speed of the wake vortex.

4. Analysis of the Wake Vortex Encounters

As shown in Figure 7 for the aircraft that is flying on the route, there are generally three ways for the following aircraft to enter the leading aircraft’s vortex: (A) longitudinal entry into the single vortex of the leading aircraft, (B) longitudinal entry into the double vortex of the leading aircraft, and (C) lateral crossing of the wake vortex of the leading aircraft.
The change in force on the following aircraft encountering the forward wake vortex will cause roll change, pitch change, and altitude change. Among them, the roll effect is especially significant, so this paper focuses on the roll change caused by longitudinal follow-up.
The roll variation is mainly due to the upwash and downwash airflow, so the downwash velocity distribution of the wake vortex of the leading aircraft also reflects the effect on the following aircraft. Figure 8 shows the variation in the vertical velocity at the vortex center height. The maximum velocity decreases gradually as the vortex evolves and the intensity of the vortex decreases. The horizontal spacing of the maximum velocity gradually increases due to the increase in the spacing of the vortex cores.
The A320 and ERJ190 are selected as the following aircraft for response analysis of wake encounters, and the model parameters are shown in Table 3.
Figure 9 shows the force analysis of the following plane using the strip method [25].
The amount of change in the angle of attack on each strip is:
Δ α ( y ) = arctan [ V v ( y ) V f ]
where y is the spanwise coordinate of a point on the wing; V f is the flight speed of the following aircraft; and V v ( y ) is the induced velocity of the wake vortex of the leading aircraft at the wing of the following aircraft. The amount of wing lift change Δ L w is calculated as follows:
Δ L w = 1 2 ρ V f 2 - B f 2 B f 2 C L ( y ) C ( y ) d y
where C ( y ) is the chord length of the wing at y ; B f is the wing span of the following aircraft; and C L ( y ) is the amount of lift coefficient variation. For a symmetric airfoil, the amount of variation in the lift coefficient can be expressed using the following Equation (14). The length of chord is calculated as shown in Equation (15).
C L = C L α Δ α ( y ) = C L α arctan [ V v ( y ) V f ]
C ( y ) = 2 S f [ B f + B f η 2 | y | ( 1 η ) ] B f 2 ( 1 + η )
where η is the taper ratio of the wing and S f is the wing area of the following aircraft. C L α is the slope of the lift curve, which can be obtained from the following equation:
C L α = 2 π λ 2 + 4 + λ 2 ( 1 M a 2 ) [ 1 + tan 2 χ 1 / 2 / ( 1 M a 2 ) ] η e
where η e is the airfoil efficiency; λ is the wing aspect ratio; χ 1 / 2 is the swept back angle of 1/2 chord; M a is the Mach number of flight; and the induced roll moment of the wake of the leading aircraft on the following aircraft is:
M v , w = ρ V f 2 2 B f 2 B f 2 C L ( y ) C ( y ) y d y
In the RECAT-PWS-EU safety case, the RMC was selected as the primary indicator of the following aircraft response based on its good discriminatory and dimensionless nature for aircraft wake encounters, and the RMC was calculated as follows:
RMC = M v , w 1 2 ρ V f 2 S f B f
There exists a threshold of tolerable roll moment for the aircraft, beyond which the aircraft will lose stability and it will become difficult to maneuver to change out and return to equilibrium. In general, the threshold value of the roll moment coefficient for aircraft maneuvered with ailerons only is between 0.05 and 0.07 [26].
Figure 10 shows the distribution of the initial wake vortex vertical velocity and the hazard zone of the A320 represented by the line segment. The vertical velocity direction is different on both sides of the wake vortex nucleus. The following aircraft will encounter a strong roll through this region, and the RMC reaches a maximum near the vortex nucleus. The RMC is zero at the midpoint of the left and right vortex nuclei, but there is a strong sinking airflow in this area. The area with positive RMC will cause counterclockwise rolling of the following aircraft, and the area with negative RMC will cause counterclockwise rolling of the following aircraft.
Figure 11 shows the RMC distribution of the initial wake vortex for the A320 and ERJ190. It can be seen that the ERJ190 hazard zone is darker, which indicates a more severe encounter hazard for the RJ190 and a larger hazard zone for the same RMC value. In addition, for the initial wake vortex, there are two reverse roll regions on the left and right sides of the vortex center.
Figure 12 shows the variation of the roll moment coefficient when the following aircraft encounters the initial wake vortex of the leading aircraft, when the hazard zone situation is the most complex, undergoing five directional changes during the −100 m–100 m shift. For the right vortex, the RMC value goes from 0 to 100 m and goes through a process of 0—negative peak between vortices—increasing to a positive peak at the center of the vortex, decreasing to negative peak outside the vortex, and then increasing and approaching 0. The RMC values for the ERJ190 are larger than those of the A320 due to the lower rating of the ERJ190 than of the A320 and the different root-to-edge ratios, indicating that the ERJ190 is subject to a more severe hazard level for the same wake vortex field effects.
Figure 13 shows the RMC variation in the right vortex center height from 0–100 m. As in Figure 12, the variation in the RMC shows a centrosymmetric distribution of approximately (0, 0), so only the variation in the positive y direction is given. With the evolution of the vortex, the clockwise rolling area on the left side of the vortex center will disappear soon, and the clockwise rolling intensity on the right side of the vortex center will gradually weaken. Furthermore, the larger the BV frequency is, the smaller the coordinate position of the maximum RMC value is, but the clockwise roll intensity to the right of the vortex center is greater. The risk of the wake encounter endured by the ERJ190 under the same flow field condition is more severe.
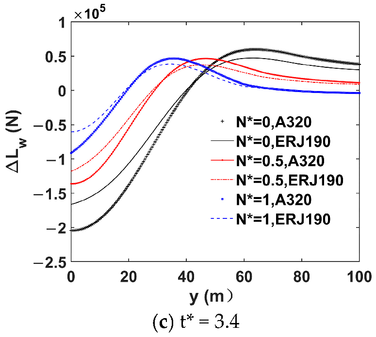
Figure 14 shows the Δ L w variations in of the following aircraft encountering the vortex of the leading aircraft at different stages of wake evolution. The Δ L w variation shows an axisymmetric distribution of approximately x = 0, so only the variation in the positive y direction is given. The negative force indicates that the direction of force is consistent with the direction of gravity. As the horizontal coordinate increases, the Δ L w at t* = 0 decreases slightly and then increases continuously and approaching zero, finally decreases and reaches zero. The Δ L w increases and then decreases for t* = 1.7 and t* = 3.4. As the horizontal coordinate increases, the values of minimum and maximum Δ L w changes for the ERJ190 are larger than those for the A320 under the same forward wake vortex conditions, and the larger the BV frequency, the larger the maximum Δ L w position.
In the RECAT-PWS-EU safety case [16], the RMC values for medium and light aircraft are around 0.6,while the RMC reference values given by the ICAO increase with the decrease dependent on the aircraft type, and the RMC values for medium and light aircraft are approximately 0.5 to 0.7. In this paper, the RMC value of 0.05 is chosen as the boundary of the hazard zone. When the aircraft is in the hazard zone, it will be in an unsafe operation state, the operation is disturbed, and it is difficult to restore normal conditions. The RMC value of 0.08 is taken as the boundary of the severe hazard zone; once the aircraft enters the zone, it will face the serious hazard of losing control; and it is thus almost impossible to restore normal conditions. RECAT-PWS-EU gives an RMC reference value of 0.061 for the A320 and 0.0635 for the ERJ190, which is also given as a reference in the visualization of the hazard zone.
As in Figure 15, the roll moment coefficient is selected as a measure of the hazard zone of the wake encounter to compare the hazard zone generated by the wake of the leading aircraft with the following aircraft at different BV frequencies. In the figure, d is the distance between the two aircraft. As the wake vortex decays, the secondary hazard zone decreases until it disappears. As the BV frequency increases, the hazard zone decreases. Compared to the A320, the ERJ190 has a larger hazard zone and exists for a longer period of time at the same RMC value. The small-scale hazard zones that exist between the main hazard zones of the ERJ190 and the A320 do not exist.
Figure 16 shows the side view of the hazard zones. With the development of the wake vortex, the vertical width of the hazard zones first increases slightly and then decreases with the rapid decay of the wake vortex until it disappears. The difference is that the larger the BV frequency, the faster the vertical width increases and decreases, and the hazard zones thus disappear earlier.
Figure 17 represents the top view of the hazard zones, showing the curve variation of the horizontal boundary of the hazard zones. For the following aircraft, A330, when N* = 0, the width of the hazard zones shows an overall trend of decreasing, while when N* = 1, the hazard zones will first decrease and then increase. This is caused by the dual effect of the BV frequency on the change in the vortex center spacing and the decay rate of the vortex.
Figure 18 illustrates the wake safety separation when the A320 follows the A330 in flight for N* = 1. PAN [18] et al. conducted a study of aircraft approach and landing risks by reducing the value of the RMC required to guarantee the safety margin during aircraft flight. The yellow area of Figure 18 indicates the secondary hazard zone considering the safety margin, and the RMC of the boundary of this secondary hazard zone is 0.5 times the RMC of the boundary of the hazard zone (shown in the red area of Figure 18). In addition, the uncertainty of the vertical position of the leading aircraft also causes the up or down variation in the height of the hazard zone, which affects the judgment of the safety distance from the following aircraft. In this paper, the deviation of the hazard zone caused by the position uncertainty of the leading aircraft is further considered so as to ensure the safety of the following aircraft, and the results are shown in the blue area of Figure 18. Generally, 90% of aircraft have position deviations of less than 30 m in the horizontal and vertical directions, and the size of the safety corridor is defined as 30 m in the vertical direction [15]. In the absence of side wind effects, the lateral dimensions of the hazard zone are not applicable to define the safety corridor, so the vertical variation in the hazard zone on the horizontal plane is mainly considered when the safety interval calculation is carried out in this paper [27]. When the wake vortex sinks to a certain height, the hazard zone will be beyond the safety corridor. The wake vortex of the leading aircraft will then have no effect on the following aircraft.
Table 4 gives the wake turbulence category of each type of aircraft under different standards. In the original ICAO aircraft wake separation standard, aircraft were classified into three main categories: heavy (H), medium (M), and light (L); based on the maximum allowable takeoff weight of the aircraft, the A320 and ERJ190 were both in category M. ICAO proposed a new RECAT, which classifies aircraft into super heavy (A), upper heavy (B), lower heavy (C), upper medium (D), lower medium (E), and light (F) categories according to the maximum allowable takeoff weight and wingspan of the aircraft. RECAT-CN is the wake separation standard introduced by the Civil Aviation Administration of China, which classifies aircraft into five categories: super heavy (J), heavy (B), general heavy (C), medium (M), and light (L). In ICAO RECAT, the ERJ190 and A320 belong to different wake classes, but the A320 and ERJ190 are still in the same wake class in the REACT-CN standard.
Table 5 shows the wake separation for the leading and following combinations of the A330–A320 and the A330–ERJ190 under various standards and the calculated wake safety separation for the A330–A320 and the A330–ERJ190 with different dimensionless effects of BV frequency. The wake separation is 9300 m for both the A330–A320 and the A330–ERJ190 under ICAO and RECAT-CN standards, while the wake separation is 7400 m for the A330–A320 and 9300 m for the A330–ERJ190 under ICAO RECAT standards. The maximum wake separation of A320 following A330 at N* = 1 is 5516 m, which is a 40.7% reduction compared to the ICAO separation standard and a 25.5% reduction compared to the ICAO RECAT separation standard, while the wake separation of the ERJ190 following the A330 is 5803 m, which is a 37.6% reduction compared to the ICAO separation standard and ICAO RECAT separation standard.
The BV frequency changes the sink rate of the wake vortex which can cause large differences in the wake separation at different BV frequencies. For N* = 0, the wake separation of the A330–A320 is 3851 m, which is 1665 m smaller than the wake separation for N* = 1. The wake separation of the A330–ERJ190 is 3976 m, which is 1827 m smaller than the wake separation for N* = 1.

5. Conclusions

In this paper, the wake velocity field from numerical simulations is incorporated into the wake encounter model to provide a new concept for aircraft wake research. Compared using the LIDAR detection technique, this method has the advantages of less input and convenient scene design. It can also improve the establishment of fast prediction models for wake flow. We focus on the effects on wake safety under different atmospheric stratifications, and the main conclusions are as follows.
(1)
The development of the hazard zone is closely related to the wake vortex decay. At moderate atmospheric turbulence intensity, atmospheric stratification mainly affects the fast decay phase of the wake vortex. The higher the BV frequency, the smaller the sinking speed of the vortex, the smaller the vortex spacing, and the faster the reduction in the circulation.
(2)
The RMC of the ERJ190 is larger than that of the A320 under the same wake vortex intensity, and accordingly its hazard level is also larger than that of the A320. The BV frequency is closely related to the development of the hazard zone. The greater the BV frequency, the faster the danger zone of wake encounters disappears, the slower the height of the danger zone drops, and the greater the wake separation.
(3)
The calculation of the wake separation is carried out considering safety margins and positioning deviations. The wake separation of the A320 following the A330 was 5516 m, a 25.5% reduction compared to the ICAO RECAT separation standard, and the wake separation of the ERJ190 following the A330 was 5803 m, a 37.6% reduction compared to the ICAO RECAT spacing standard. The influence of BV frequency on wake spacing is significant and needs attention in the study of wake vortex evolution and wake spacing.
When performing the wing force analysis, the effect of the engine is ignored. This may affect the accuracy of the calculation results. This work can be further improved in the future. The dynamic wake interval is also calculated by considering the change of the leading and following aircraft flight speed.

Author Contributions

Conceptualization, Y.J. and Y.Z.; methodology, W.P.; software, Y.J.; validation, W.P. and Y.J.; formal analysis, W.P. and Y.J.; investigation, W.P., Y.J. and Y.Z.; resources, W.P. and Y.J.; data curation, W.P. and Y.J.; writing—original draft preparation, Y.J. and Y.Z.; writing—review and editing, W.P. and Y.J.; visualization, W.P. and Y.J.; supervision, W.P.; project administration, W.P.; funding acquisition, W.P. All authors have read and agreed to the published version of the manuscript.

Funding

This work was supported by National Natural Science Foundation of China under Grant No. U1733203.

Institutional Review Board Statement

Not applicable.

Informed Consent Statement

Not applicable.

Data Availability Statement

The datasets generated during and/or analyzed during the current. Study is available from the corresponding author on reasonable request.

Conflicts of Interest

The authors declare no conflict of interest.

References

  1. Hallock, J.; Holzäpfel, F. A review of recent wake vortex research for increasing airport capacity. Prog. Aerosp. Sci. 2018, 98, 27–36. [Google Scholar] [CrossRef]
  2. Proctor, F.H. Numerical simulation of wake vortices measured during the Idaho Falls and Memphis field programs. In Proceedings of the 14th AIAA Applied Aerodynamic Conference, New Orleans, LA, USA, 17–20 June 1996; p. 2496. [Google Scholar]
  3. Zhou, J.; Li, D.; Zhang, Z. Radar simulation of wake vortices in rainy conditions based on the Euler-Euler multiphase model. IEEE Access 2020, 8, 35964–35972. [Google Scholar]
  4. Holzäpfel, F. Probabilistic two-phase wake vortex decay and transport model. J. Aircr. 2003, 40, 323–331. [Google Scholar] [CrossRef]
  5. Crow, S.C. Stability theory for a pair of trailing vortices. AIAA J. 1970, 8, 2172–2179. [Google Scholar] [CrossRef]
  6. Ruith, M.R.; Chen, P.; Meiburg, E.; Meiburg, E. Three-dimensional vortex breakdown in swirling jets and wakes: Direct numerical simulation. J. Fluid Mech. 2003, 486, 331–378. [Google Scholar] [CrossRef]
  7. Reuß, S.; Probst, A.; Knopp, T.; Wawrzinek, K. Hybrid RANS/LES study of the development of an airfoil-generated vortex. In Proceedings of the Adances in Simulation of Wing and Nacelle Stall, Braunschweig, Germany, 1–2 December 2014; pp. 41–54. [Google Scholar]
  8. Misaka, T.; Obayashi, S. Numerical study on jet-wake vortex interaction of aircraft configuration. Aerosp. Sci. Technol. 2017, 70, 615–625. [Google Scholar] [CrossRef]
  9. Misaka, T.; Holzäpfel, F.; Gerz, T. Large-eddy simulation of aircraft wake evolution from roll-up until vortex decay. AIAA J. 2015, 53, 2646–2670. [Google Scholar] [CrossRef]
  10. Holzäpfel, F.; MisakaIS, T.; Hennemann, I. Wake-vortex topology, circulation, and turbulent exchange processes. In Proceedings of the AIAA Atmospheric and Space Environments Conference, Toronto, ON, Canada, 2–5 August 2010; p. 7992. [Google Scholar]
  11. Holzäpfel, F.; Gerz, T.; Dörnbrack, A. Wake vortices in convective boundary layer and their influence on following aircraft. J. Aircr. 2000, 37, 1001–1007. [Google Scholar] [CrossRef]
  12. Proctor, F.; Hamilton, D.; Switzer, G. TASS driven algorithms for wake prediction. In Proceedings of the 44th AIAA Aerospace Sciences Meeting and Exhibit, Reno, NV, USA, 9–12 January 2006; p. 1073. [Google Scholar]
  13. Holzäpfel, F.; Gerz, T.; Stumpf, E.; Dolfi-bouteyre, A. Strategies for Circulation Evaluation of Aircraft Wake Vortices Measured by Lidar. J. Atmos. Ocean. Technol. 2003, 20, 1183–1195. [Google Scholar] [CrossRef]
  14. Holzäepfel, F. Probabilistic Two-Phase Aircraft Wake-Vortex Model: Further Development and Assessment. J. Aircr. 2006, 43, 700–708. [Google Scholar] [CrossRef]
  15. Zhou, J.; Chen, Y.; Li, D.; Zhang, Z.; Pan, W. Numerical simulation of aircraft wake vortex evolution and wake encounters based on adaptive mesh method. Eng. Appl. Comput. Fluid Mech. 2020, 14, 1445–1457. [Google Scholar] [CrossRef]
  16. Baren, G.V.; Treve, V.; Rooseleer, F.; Geest, P.; Heesbeen, B. Assessing the severity of wake encounters in various aircraft types in piloted flight simulations. In Proceedings of the AIAA Modeling and Simulation Technologies Conference, National Harbor, MD, USA, 13–17 January 2014; p. 1084. [Google Scholar]
  17. Campos, L.; Marques, J. On an analytical model of wake vortex separation of aircraft. Aeronaut. J. 2016, 120, 1534–1565. [Google Scholar] [CrossRef]
  18. Pan, W.; Wang, J.; Xu, Y.; Jiang, Q.; Luo, Y. Approach and Landing Aircraft Wake Encounter Risk Based on Reynolds-Averaged Navier-Stokes Numerical Simulation. Int. J. Aerosp. Eng. 2022, 4, 9126755. [Google Scholar] [CrossRef]
  19. Lin, M.; Cui, G.; Zhang, Z. Large eddy simulation of aircraft wake vortex with self-adaptive grid method. Appl. Math. Mech. 2016, 37, 1289–1304. [Google Scholar] [CrossRef]
  20. Malael, I.; Bucur, I.O.; Li, M.S. Numerical Evaluation of the Flow around a New Vertical Axis Wind Turbine Concept. Sustainability 2021, 13, 9012. [Google Scholar] [CrossRef]
  21. Kyowon, S. Optimal Vertiport Airspace and Approach Control Strategy for Urban Air Mobility (UAM). Sustainability 2023, 15, 437. [Google Scholar]
  22. Vechtel, D. Simulation study of wake encounters with straight and deformed vortices. Aeronaut. J. 2016, 120, 651. [Google Scholar] [CrossRef]
  23. Ahmad, N.N.; Proctor, F. Review of Idealized Aircraft Wake Vortex Models. In Proceedings of the AIAA Aerospace Sciences Meeting, Grapevine, TX, USA, 7–10 January 2013; p. 0927. [Google Scholar]
  24. Pan, W.; Yin, H.; Leng, Y.; Zhang, X. Recognition of Aircraft Wake Vortex Based on Random Forest. IEEE Access 2022, 10, 8916–8923. [Google Scholar] [CrossRef]
  25. Schwarz, C.; Hahn, K.U.; Fischenberg, D. Wake Encounter Severity Assessment Based on Validated Aerodynamic Interaction Models. In Proceedings of the AIAA ASE Conference, Anaheim, CA, USA, 30 August–2 September 2010; p. 7679. [Google Scholar]
  26. Lang, S.; Tittsworth, J.; Bryant, W.; Wilson, P.; Greene, G. Progress on an ICAO wake turbulence re-categorization effort. In Proceedings of the AIAA Atmospheric & Space Environments Conference, Toronto, ON, Canada, 2–5 August 2010; p. 7682. [Google Scholar]
  27. Zhang, J.; Zuo, Q.; Lin, M.; Huang, W.; Pan, W.; Cui, G. Evolution of vortices in the wake of an ARJ21 airplane: Application of the lift-drag model. Theor. App. Mech. Lett. 2020, 10, 419–428. [Google Scholar] [CrossRef]
Figure 1. Structured grid and initial single vortex.
Figure 1. Structured grid and initial single vortex.
Sustainability 15 06391 g001
Figure 2. Tangential velocity distribution of the wake vortex.
Figure 2. Tangential velocity distribution of the wake vortex.
Sustainability 15 06391 g002
Figure 3. Comparison of radar detection and numerical simulation results of the state of the wake vortex evolution up to 23.2 s. (a) Radial velocity of the wake vortex detected using LIDAR. (b) Horizontal velocity of the wake vortex under numerical simulation.
Figure 3. Comparison of radar detection and numerical simulation results of the state of the wake vortex evolution up to 23.2 s. (a) Radial velocity of the wake vortex detected using LIDAR. (b) Horizontal velocity of the wake vortex under numerical simulation.
Sustainability 15 06391 g003
Figure 4. Variation in wake vortex circulation.
Figure 4. Variation in wake vortex circulation.
Sustainability 15 06391 g004
Figure 5. Variation in vortex cores’ positions with evolutionary time. (a) A 3D diagram. (b) Vertical view. (c) End view, overlapping left and right vortex changes. (d) Front view.
Figure 5. Variation in vortex cores’ positions with evolutionary time. (a) A 3D diagram. (b) Vertical view. (c) End view, overlapping left and right vortex changes. (d) Front view.
Sustainability 15 06391 g005
Figure 6. Change in the topology of the wake vortex for t* = 3.
Figure 6. Change in the topology of the wake vortex for t* = 3.
Sustainability 15 06391 g006
Figure 7. Different ways for the following aircraft to enter the leading wake vortex.
Figure 7. Different ways for the following aircraft to enter the leading wake vortex.
Sustainability 15 06391 g007
Figure 8. Downwash velocity for different vortex ages.
Figure 8. Downwash velocity for different vortex ages.
Sustainability 15 06391 g008
Figure 9. Following aircraft strip method.
Figure 9. Following aircraft strip method.
Sustainability 15 06391 g009
Figure 10. Distribution of initial wake vortex vertical velocity and RMC.
Figure 10. Distribution of initial wake vortex vertical velocity and RMC.
Sustainability 15 06391 g010
Figure 11. Wake vortex hazard zone and RMC.
Figure 11. Wake vortex hazard zone and RMC.
Sustainability 15 06391 g011
Figure 12. Variation in RMC for initial vortex encountered by the following aircraft.
Figure 12. Variation in RMC for initial vortex encountered by the following aircraft.
Sustainability 15 06391 g012
Figure 13. RMC variation in vortex encounter at different vortex ages.
Figure 13. RMC variation in vortex encounter at different vortex ages.
Sustainability 15 06391 g013
Figure 14. Lift variation in the following aircraft encounter at different vortex ages.
Figure 14. Lift variation in the following aircraft encounter at different vortex ages.
Sustainability 15 06391 g014aSustainability 15 06391 g014b
Figure 15. Hazardous areas for each aircraft type at different BV frequencies.
Figure 15. Hazardous areas for each aircraft type at different BV frequencies.
Sustainability 15 06391 g015aSustainability 15 06391 g015b
Figure 16. Vertical boundary of the hazard zones at different BV frequencies.
Figure 16. Vertical boundary of the hazard zones at different BV frequencies.
Sustainability 15 06391 g016
Figure 17. Horizontal boundary of the hazard zones at different BV frequencies.
Figure 17. Horizontal boundary of the hazard zones at different BV frequencies.
Sustainability 15 06391 g017
Figure 18. Safety separation for the pair of A330 and A320 aircraft (N* = 1).
Figure 18. Safety separation for the pair of A330 and A320 aircraft (N* = 1).
Sustainability 15 06391 g018
Table 1. Parameters of the leading aircraft.
Table 1. Parameters of the leading aircraft.
Type of AircraftWingspan (m)90% MLW (kg)Flight Speed (kts)Wing Area (m2)RECAT-CN Classification
A330-30060.30168.30140.00361.60B
Table 2. Initial wake vortex parameters.
Table 2. Initial wake vortex parameters.
Γ 0 /(m2/s) v 0 /(m/s) t 0 /s b 0 /m r 0 /m
474.731.5929.6947.341.66
Table 3. Following machine model parameters.
Table 3. Following machine model parameters.
Type of AircraftWingspan (m)Wing Area (m2)Flight Speed (m/s)MTOW (kg)
A32034.10122.67078,000
ERJ19028.7292.56750,300
Table 4. Wake turbulence category under various standards.
Table 4. Wake turbulence category under various standards.
StandardsICAOICAO RECATRECAT-CN
Type of Aircraft
A330HBB
A320MDM
ERJ190MEM
Table 5. Comparison of following aircraft response calculation results with other wake separation criteria.
Table 5. Comparison of following aircraft response calculation results with other wake separation criteria.
Leading Aircraft—Following AircraftDimensionless BV FrequencyThe Wake Separation at Each Standard/m
Safety SeparationICAOICAO RECATRECAT-CN
A330-A32003851930074009300
0.54228
15516
A330-ERJ19003976930093009300
0.54339
15803
Disclaimer/Publisher’s Note: The statements, opinions and data contained in all publications are solely those of the individual author(s) and contributor(s) and not of MDPI and/or the editor(s). MDPI and/or the editor(s) disclaim responsibility for any injury to people or property resulting from any ideas, methods, instructions or products referred to in the content.

Share and Cite

MDPI and ACS Style

Pan, W.; Jiang, Y.; Zhang, Y. Simulation Study of the Effect of Atmospheric Stratification on Aircraft Wake Vortex Encounter. Sustainability 2023, 15, 6391. https://doi.org/10.3390/su15086391

AMA Style

Pan W, Jiang Y, Zhang Y. Simulation Study of the Effect of Atmospheric Stratification on Aircraft Wake Vortex Encounter. Sustainability. 2023; 15(8):6391. https://doi.org/10.3390/su15086391

Chicago/Turabian Style

Pan, Weijun, Yanqiang Jiang, and Yuqin Zhang. 2023. "Simulation Study of the Effect of Atmospheric Stratification on Aircraft Wake Vortex Encounter" Sustainability 15, no. 8: 6391. https://doi.org/10.3390/su15086391

APA Style

Pan, W., Jiang, Y., & Zhang, Y. (2023). Simulation Study of the Effect of Atmospheric Stratification on Aircraft Wake Vortex Encounter. Sustainability, 15(8), 6391. https://doi.org/10.3390/su15086391

Note that from the first issue of 2016, this journal uses article numbers instead of page numbers. See further details here.

Article Metrics

Back to TopTop