Abstract
The main objective of this study is to perform an approximation on the microplastic pollution on a sandy beach in Costa Nova (Portugal), focused on longitudinal and cross-sectional transects. The results showed a scarce variability in data, with median concentrations ranging from 142 to 356 p/kg d.w. and 211 to 270 p/kg d.w. in cross-sectional and longitudinal transects, respectively. The predominant morphology was microspheres, which accounted for more than 90% in all samples analysed, whereas the most abundant microplastics were <200 µm in size. Microplastic contamination was higher than in other Portuguese beaches despite the moderate–low touristic pressure in Costa Nova, which led us to consider the intense commercial activity of the nearby port and the Canary and Portuguese currents as possible drivers of microplastic pollution in this area. However, this study highlights the disparity in data caused by different methodologies used when similar areas are analysed.
1. Introduction
Global plastic production reached 367 million tonnes (Mt) in 2020 [1], and the amount being dumped into the world’s seas and oceans each year is increasing. Specifically, a recent study has determined that some 9.8 Mt of plastic was dumped into the sea in 2016, an amount that could increase to 16 Mt by 2025 [2]. In the environment, dumped or mismanaged plastic waste can degrade and fragment under the action of high temperatures, ultraviolet radiation, or oxygen, resulting in small plastic particles known as microplastics [3,4]. This term was first used in 2004 to describe small plastic fragments present in the water column and marine sediments of the Mediterranean Sea [5]. However, studies on these particles have advanced greatly and the definition of microplastics (MPs) now includes those particles <5 mm in size that have high polymer content and are synthetic, solid, insoluble in water, and non-degradable over a long period of time [6,7]. Microplastics do not only come from the degradation of poorly managed plastic waste but can have other common sources such as wear of tyres or paints and washing synthetic textile garments, and even include man-made micro-particles for some purposes, such as to improve the properties of some cosmetics or detergents [8].
Some studies have estimated the amount of MP floating on the surfaces of seas and oceans to be between 7000 and 35,500 Mt, accounting for approximately 4850 trillion particles [9,10]. The distribution of these particles is random and difficult to quantify, being influenced in many cases by special current systems called ocean gyres. These are wind-driven surface current systems, which flow clockwise in the northern hemisphere and counter-clockwise in the southern hemisphere [11]. Specifically, the Atlantic Ocean is influenced by two subtropical gyres, the North Atlantic and the South Atlantic. The accumulation of microplastics in these current systems is complex and has numerous influencing factors, leading to sedimentation of very old and degraded particles, as well as particles from distant sources and on nearby coasts such as Portuguese beaches [12]. A recent study [13] has estimated the amount of microplastics (between 32 and 650 µm in size) present in the first 200 m depth of the Atlantic to be between 11.6 and 21.1 Mt, with an average of 990–6999 particles/m3.
However, not only do the environmental characteristics have an influence on the distribution of MPs, but another major factor that often conditions the studies carried out is the absence of a standardised quality control protocol, including a sampling and analysis protocol, and lack of validation of the techniques used [14]. The MSFD (Marine Strategy Framework Directive (2008/56/EC) Technical Subgroup on Marine Litter and the NOAA (National Oceanic and Atmospheric Administration) presented in 2013 and 2015, respectively, some standardised protocols for sampling, characterisation, and quantification of microplastics; however, there are still many unknowns to be resolved and these procedures still depend on the resources available to the research team conducting the study [14,15].
In the present study, a procedure of sampling, extraction, and characterisation of microplastics in fine sand sediments from Costa Nova, Aveiro (Portugal) is carried out with the aim of determining the distribution of microplastics on a sandy beach on the northern coast of Portugal, as well as determining the influence of methodological variables when comparing with similar studies carried out either in nearby areas or along the coast of Portugal, highlighting the existing difficulty in comparing studies and developing hypotheses on the existence of variability in the results between studies.
2. Materials and Methods
2.1. Area of Study and Sampling
Samples were taken from a sandy beach in Costa Nova, located on the western coast of Portugal, bathed by the North Atlantic Ocean (Figure 1A). This coastal area belongs to the village of Ílhavo, with an area of 73.47 square kilometres and a population of 41,200 inhabitants. Ílhavo belongs to the district of Aveiro, which is located at an altitude of less than 100 m, occupying a coastal plain with an extension of 40 km in the southern part of the district. The landscape of this plain is dominated by the Ria of Aveiro and the Vouga river basin. From a geomorphological point of view, the Ria de Aveiro is a shallow lagoon located on the Atlantic coast of north-western Portugal, 45 km long and 10 km wide, consisting in a meso-tidal system that receives freshwater inflows from the Antuã and Vouga rivers [16].

Figure 1.
(A) Geographical location in south-west Europe and coordinates of Costa Nova beach. (B) Distribution and separation of the different sampling lines defined: line 1 (wave breaker), line 2 (high tide), line 3 (supralittoral zone 1), and line 4 (supralittoral zone 2, nearer the promenade).
The district of Aveiro has a population of 714,000 inhabitants and an industrial activity that is mainly focused on the Port of Aveiro, located about 3.5 km from the Costa Nova Beach. The Port of Aveiro has an annual maritime traffic of around 3.5 million tonnes and provides a multifunctional service to various industrial sectors such as the ceramics, chemical, metallurgical, and wood industries, among others. It is the most recent port infrastructure in the country and has one of the largest docking capacities for multipurpose terminals [17].
Samples were taken in one sample campaign in November 2019. During this month, the average precipitation value was higher than normal in the central and northern parts of the country, with values close to 150% of the monthly average value. In addition, temperatures were lower than normal, with average daily values between 8 and 12 °C during the central days of the month when sampling was carried out. Further, this area is usually affected by strong northerly winds [18,19]. At the sampling points, the beach was protected with a breakwater, whose structure allows the reduction of waves and prevents the decantation of sand.
Sediment sampling was conducted according to Besley et al. [20]. On the beach, four 100 metre long lines were marked, coinciding with the following beach areas: wave breaking line (L1), high tide line (L2), supralittoral zone 1 (L3), and supralittoral zone 2 (L4, closer to the promenade than the other lines) (Figure 1B). The separation between the lines was decided in situ based on the geomorphological characteristics of the beach: line 1 was situated at the point of waves breaking, line 2 was two metres from line 1, line 3 was seven metres from line 2, and line 4 was ten metres from line 3. For the sampling, a 50 × 50 cm wood square was designed to avoid contamination by plastics. On each line, a sampling was made every 10 metres, obtaining 11 samples per line and 44 samples in total. At each sampling point, 5 sub-samples were taken with a 5 cm diameter glass vessel, one at each corner of the square and one at the centre. The 5 sub-samples formed one single sample. Considering the sampling wood-square dimensions, a total of 11 m2 were analysed on Costa Nova beach. All the samples were collected with a glass beaker, deepening to the first 5 cm of sediment, and then stored in a sealed aluminium container and transported to the laboratory.
2.2. Microplastics Separation and Analysis
The extraction of microplastics from the samples was conducted according to Maes et al. [21]. For each sample, 25 g of wet sediment were weighed into a glass beaker and 200 mL of saturated NaCl solution was added. To obtain correction to dry sediment, for each sample, 5 g of wet sediment was weighed and placed in an oven at 105 °C for 4 h. Subsequently, the sediment was weighed and the difference between the wet sediment and the dried sediment was calculated.
To prepare the saturated NaCl solution, 300 g of reagent-grade NaCl from Scharlau was added per litre of Milli-Q water. Once the solution was prepared, it was filtered under vacuum system to remove possible impurities from the salt and fibres present in the solution. After adding the NaCl solution to the sediment, the suspension was stirred for 2 min using a glass rod. This allowed the sample material to suspend and enabled density separation of the sediment and the microplastics. The suspension was left for 1 h after stirring, allowing less-dense particles (such as microplastics) to float in the suspension. Then, the supernatant liquid was filtered using Whatman GF/C glass fibre filters with a pore size of 0.7 µm. This procedure was repeated in triplicate for each sample taken on the beach. Further, three blanks were made by placing filters on Petri dishes in the fresh air in the laboratory during the treatment of the samples.
The filters were then treated with 5 mL of hydrogen peroxide (15%) and 5 mL of Fe2+ solution prepared from FeSO4·7H2O, according to Prata et al. [22], to remove the organic matter from the samples. They were left to react for 15 min and were subsequently washed with Milli-Q water. Finally, 1 mL of Nile Red pigment with a concentration of 0.01 mg/mL prepared in reagent grade ethanol was added and allowed to react for 5 min. This technique allows stained microplastics to fluoresce and be distinguishable from other particles when they are observed under lights of certain wavelengths [23]. This procedure was carried out under a fume hood in order to assure the quality control in microplastic monitoring. The filters were then washed again with Milli-Q water and placed on Petri dishes for drying. Once dried, they were examined using forensic light sources (254 nm wavelength) and filters FOCUS LED (SPEX Forensic, Edison, NJ, USA) [23]. Finally, photographs were analysed using the ImageJ software, measuring the sizes of each microplastic and classifying them according to their shapes. Sizes were measured using Feret diameter for spherical shaped particles and longer lengths for fibres and irregularly shaped fragments. Microplastics were classified in five size classes, according to the methodology followed by Simon-Sánchez et al. [24]: <100, 100–200, 200–300, 300–500, <500 µm.
All the glassware used during the treatment of the samples was previously washed in nitric acid (30% purity), three times in distilled water, and covered with aluminium foil to avoid all possible contamination by micro-particles. In addition, cotton laboratory coats were used throughout the extraction process and analysis of microplastics to prevent contamination from textile fibres.
3. Results
3.1. Blanks and Moisture Correction
The three procedural blanks performed during the laboratory treatment of the samples yielded a significant number of fibres (Table 1). The transparent fibres could mostly belong to the filter itself as they were not pre-combusted. However, this source of origin cannot be completely guaranteed, and some of these fibres may consist of environmental contamination. On the other hand, there are fibres of varying colours that point to a synthetic origin, according to the scheme proposed by Prata et al. [25] to discern whether they are natural or synthetic fibres. To distinguish the origin of the fibres with greater certainty, it would be necessary to perform a hot Needle test that causes the synthetic fibres to melt and acquire a coiled morphology [26]. In general, the presence of fibres of varying colours in the filters would indicate moderate environmental contamination. Since fibres found in environmental samples from Costa Nova were lower than those found in the blanks (a median value of 12.5 fibres in the four sampling lines), the former was excluded from the MPs analysis to avoid overestimation errors.
Table 1.
Number and colour of fibres obtained in the laboratory blanks.
Regarding the correction of sediment weight for moisture, this was performed to be able to refer the concentrations to dry sediment weight and to facilitate comparison with other studies. As expected, the highest moisture was obtained in line 1 and was decreasing towards line 4. Specifically, a mean moisture content of 6.99% ± 0.05% was obtained in the sediment of line 1, 4.88% ± 0.049% in line 2, 3.20% ± 0.01% in line 3, and 1.17% ± 0.006% in line 4. Therefore, with these percentages, the weights of all sediment samples analysed in the laboratory were corrected to refer the results to particles per kg of dry weight (p/kg d.w.).
3.2. Concentration and Distribution of Microplastics
The median concentration of microplastics obtained from Costa Nova beach was 2 ± 2 × 102 p/kg dry weight (d.w.) and 7 ± 5 × 102 p/m2 (particles/m2). All concentration data along the discussion are expressed as the median and the interquartile range because of the variability of the data, which impedes treating the data as a normal distribution. The distribution of the contamination in Costa Nova was analysed from two spatial points of view: the distribution along the beach in the longitudinal direction, from the area where the waves break to the promenade (Figure 2); the distribution in the transversal direction, as the sampling points move away from the breakwater.
Figure 2.
Scheme of the spatial distribution of sediment sampling points along sampling sites (S1, S2, etc.) and sampling lines (L1, L2, etc.) on Costa Nova beach. The concentrations are expressed as the median value at each sampling line and site (p/kg d.w.).
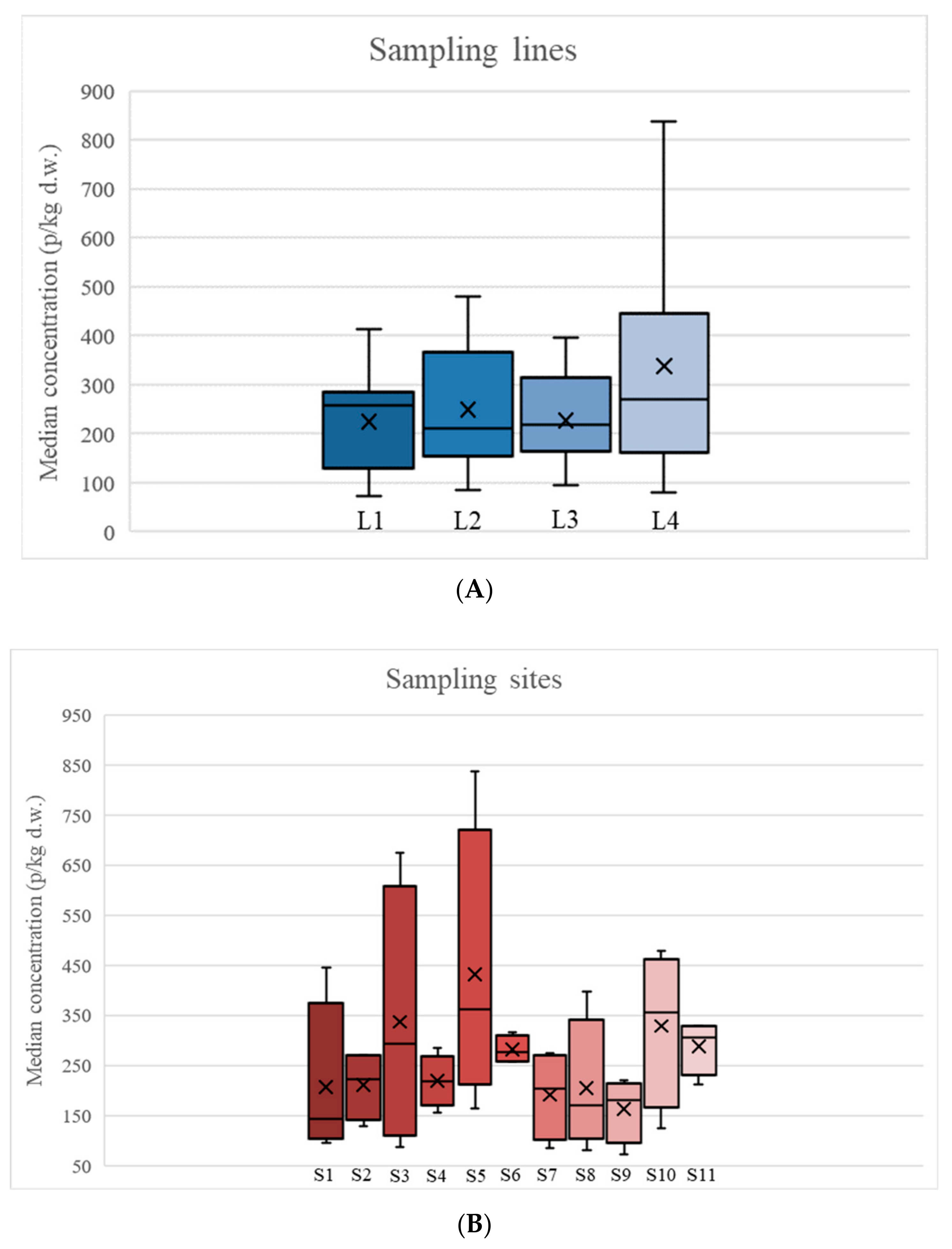
Regarding the longitudinal distribution, the highest median concentration of microplastics was obtained at line 4 (270 ± 196 p/kg d.w.), closest to the promenade, followed by line 1 (257 ± 143 p/kg d.w.), line 3 (219 ± 123 p/kg d.w.), and line 2 (211 ± 169 p/kg d.w.) (Figure 3A). However, there is hardly any disparity in the data, with a very homogeneous distribution observed in all sampling lines. The fact that the highest contamination is present in line 4 may be due to the proximity to the leisure areas. Specifically, two restaurants with terraces are located on the promenade that coincide with the beach extension sampled, in addition to a higher concentration of people settlements at the upper area of the beach, in line 4. On the other hand, line 1 represents the breaking of the waves, and this movement of water can produce a greater contribution of contamination to the sediment. The opposite effect can also occur; so, finding a high or low concentration of MPs on this line can be dependent on the time of day when the samples are taken or the season of the year. Specifically, the presence of heavy rainfall and recurrent storms leads to the occurrence of storm surges capable of carrying distant or non-floating particles and depositing them in the area near the wave breaker when the storm subsides [27]. On the day of sampling at Costa Nova, the weather was stable and sunny; however, the previous days were marked by heavy rains and winds, which could have produced this phenomenon of increased particle deposition.
Figure 3.
Concentration of microplastics (p/kg d.w.) found on Costa Nova beach per sampling line (A) and sampling site (B).
With regards to the cross-sectional distribution, per sampling site, no clear trend is observed that could be explained by geomorphological factors or by proximity to recreational areas (Figure 3B). Median concentrations below 300 p/kg d.w. were obtained at all sampling sites except at S5, S10, and S11. There is a spike in concentration in the middle of the sampling area and this spike occurs again at the sites furthest from the breakwater. The highest median concentration was obtained at site S5 (362 ± 175 p/kg d.w.) while the lowest median concentration was obtained at site S1 (142 ± 110 p/kg d.w.). The low concentrations at the sampling sites closer to the breakwater could be explained by the protection offered by that structure from wind and wave action, possibly favouring a lower deposition of particles at those points [28]. The predominant wind direction in this area is northwest; so, they may be damped by the breakwater, according to Figure 2 [19]. However, there is no clear factor explaining why there is a spike at sites S10 and S11, although a greater proximity of these sites to the restaurant can be observed (Figure 1B). Some studies have found that restaurants near beaches contribute large amounts of single-use plastic waste that eventually degrade into microplastics and contribute to pollution of the beach [29]. Restaurants are major generators of plastic waste, as most food is wrapped in plastic. As numerous studies have shown, this waste can wash up on the beach and degrade when exposed to external agents. However, this would not justify the predominant presence of microspheres on the Costa Nova beach, and other variables should be studied in more depth.
3.3. Shape and Size
The predominant morphologies in the Costa Nova samples were microspheres (Figure 4), accounting for more than 90% of MPs in all sampling sites and sampling lines except in site S4, which reached around 87%. The median concentrations of microspheres ranged from 142 to 347 p/kg d.w. at sites S1 and S5, respectively. Fragments were found in a much lower proportion, with median concentrations varying between 0 and 28 p/kg d.w. at sites S9 and S4, respectively. With regards to sampling lines, median concentrations of microspheres and fragments ranged between 205 and 257, and 0 and 27 p/kg d.w., respectively. However, the trend in the distribution of morphologies is very homogeneous along all sampling sites and lines, indicating that there are no significant variations along the studied transects and that these microspheres and fragments probably have a similar origin along the whole beach. On the other hand, a total of 54 fibres were also found that were not considered for the study due to the difficulty in discarding them as environmental contamination, given the high number of fibres also obtained in the blanks (Table 1). Figure 5 shows some photographs of the microplastics identified on the filters after staining with Nile Red pigment. These photographs are the most noticeable, but the trend in all samples was the same, with a clear predominance of spherical particles.

Figure 4.
Percentage distribution of microspheres and fragments found in sediments from Costa Nova beach, per sampling line (A) and sampling site (B).

Figure 5.
Photographs of some fluorescing microplastics observed after treatment with Nile Red pigment.
The microspheres may originate in the Port of Aveiro, located about 3.5 km from the sampled area and where numerous companies of various services are located, in addition to an important leading company in the maritime-port sector located in that port since 2014, which includes the transport of all kinds of products from the Atlantic coast. It also has the presence of some companies dedicated to the logistics of fish and fresh foodstuffs such as fruit and vegetables, which are businesses that generate large volumes of plastic waste that could result in fragmentation and generation of MPs if the management is not correct. Connected to the Port of Aveiro, there is also a system of salt works dedicated to the manufacture of salt, an activity that has been carried out for centuries in the Ria de Aveiro and that can produce a dragging of pollution into the water [30].
The port is located in the Ria de Aveiro and is connected to the Atlantic Ocean by a single navigation channel that receives large cargo ships every day over a length of more than 7 km. This navigation channel can be a source of microplastics from both ships and the industries located there. Regarding the size of the MPs obtained, according to the cross-sectional distribution (by sampling site), it is observed that sizes <100 µm or between 100 and 200 µm are predominant in all sites (Figure 6A). Both size classes account for more than 60% of the total MPs found at all sampling sites except S2 and S8; although, in these cases, they account for more than 50%, representing a very high proportion. The least abundant microplastics in all cases are those larger than 500 µm. Looking at the longitudinal distribution by sampling lines, the size distribution is very similar to that found in the sampling sites, with MPs <200 µm representing more than 50% of the total MPs in each line (Figure 6B). Line 4 stands out, where almost 90% of the MPs are <200 µm. Microplastics >500 µm show a decrease in quantity from line 1 to line 4. According to Urban-Malinga et al. [31], the majority of microplastics found on European beaches have sizes below 500 µm and there is a decreasing trend in concentration as the size gets larger. However, this can be affected by variables such as the extraction methodology used and the pore size of the filter, the time the MPs have been exposed to the action of natural agents, or the source of the MPs itself. Particles are typically smaller when they have been extensively exposed to weather degradation (wind, water, salinity, UV radiation, etc.) or when they come from a source that involves high abrasion or degradation from the beginning (e.g., tyre wear). On the other hand, Eriksen et al. [11] found a relationship between ocean gyres and advanced fragmentation of microplastics. The Portuguese coast is influenced by the Canary current and the Portuguese current, both connected to the North Atlantic gyre, creating a complex system of currents that could explain the reduced particle sizes deposited in this area of the Portuguese coast [32].
Figure 6.
Percentage distribution of MPs’ size classes found on Costa Nova beach by sampling site (A) and sampling line (B).
3.4. Comparison with Other Portuguese Beaches and with the Coast of Granada (Spain)
Table 2 shows the concentrations of microplastics obtained by different studies carried out on the coast of Portugal, as well as the study carried out by the authors of the present study on the coast of Granada (Spain), with the same methodology as the one used here. Together with these data, the methods of extraction and identification, and the sampling campaigns—which are essential when making comparisons between studies and may explain some of the inconsistencies derived from the methodologies used—have been compiled. Microscopy is a time-consuming technique and can lead to overestimation of MPs when counting by hand [33]. However, coupled with identification techniques such as FTIR or Raman, they allow the identification of very small particle sizes, between 1 and 100 µm. Despite the usefulness of microscopy to identify very small particles that would otherwise not be possible, it is sometimes necessary to apply other techniques such as microplastic staining and UV illumination to detect them [34]. The pigment Nile Red has been shown to be one of the best for the identification of MPs as, under the wavelength of 254 nm, it allows most synthetic polymers to fluoresce and be identified with less interference from biogenic contaminants [23].
The microplastic concentrations obtained in the present study are much higher than those obtained by other authors for the surrounding area and in the same season [35,36]. Specifically, Chouchene et al. [35] used a beach sampling methodology like the one used in this study and found the highest concentrations at the wave breaker line, which partially coincides with the results of the present study. This may be because the sampling in both studies was carried out practically at the same time of the year, so the influence of tides on the sand must have been similar. However, 90% of the MPs found were fibres, which were associated with the nearby discharge of a wastewater stream. In the laboratory separation of microplastics, they used filters with much larger pore size than in the present work, which may explain the lower concentration obtained. However, Prata et al. [36] used a very small pore size and obtained much lower concentrations than in the present study. This could be explained by the fact that, by using the hot needle test to differentiate between polymeric and non-polymeric particles, they were able to make a better estimation of the actual number of synthetic particles present. In addition, the area examined by Prata et al. [36] had a very low touristic demand and could be less affected by anthropogenic pollution. Another influential factor may be the number of sampling campaigns, as they carried out several, which is more significant than conducting a single campaign. Some studies of Atlantic beaches have found that pellets are the predominant form among larger MPs [18,36]. In the present study, this form is predominant in MPs smaller than 500 µm, but the origin could be related. On Atlantic beaches, which are influenced by one of the ocean gyres, it is very common to find microspheres, pellets, and other pollution of exogenous origin, coming from elsewhere and carried by gyre currents [37,38].
The concentrations of MPs in Costa Nova were like those obtained by Frias et al. [39] on the Algarve coast, southern Portugal. However, most of the microplastics found here were fibres, the origin of which the authors attributed to the discharge of water from domestic washing. The µ-FTIR technique used has been able to enhance the identification of MPs, as it is ideal for small particles and allows a complete mapping of the sample. In addition, it also facilitates the identification of irregularly shaped MPs [40,41]. However, these same authors conducted a study on beaches in 2012 using visual identification as a technique to discern microplastics between 1 and 5 mm, finding very disparate concentrations between beaches. They stated that the highest concentrations were found on beaches close to several plastic-producing industries, while beaches that were more protected or away from anthropogenic activity had less contamination. This agrees with the results obtained in the present study, as despite being an area close to the port and salt marshes, it does not show as high pollution as other studies from Portugal [18,42].
On the Portuguese coast, it is also worth noting the high concentrations found in the estuary of the river Mira, a site whose anthropogenic pressure is mainly given by fishing activities and wastewater discharge [43]. Nevertheless, this pressure may not be very different from that currently experienced by Costa Nova with the harbour and salt marshes. One of the most important characteristics of estuaries, deltas, and lakes for the retention of microplastics is the low hydrodynamics of the water in these areas and the presence of fine sediment, which makes the residence time of particles in that area longer than in other water courses [44]. In addition, the sampling carried out in this study is different from the others, as it was conducted with cores at a certain depth. Core sampling is intended to look at trends in MPs contamination over time. It is usually performed with opaque tubes made of plastic, which can cause disturbance of the sediment in the different layers sampled, favouring the mixing of contamination [45]. Furthermore, they have the disadvantage that they may experience more external contamination during sampling and subsequent cutting of the cores [46].
Table 2.
Concentrations of MPs found on other Portuguese beaches and on the coast of Granada (Spain), together with the methodological characteristics of the studies.
Table 2.
Concentrations of MPs found on other Portuguese beaches and on the coast of Granada (Spain), together with the methodological characteristics of the studies.
| Location | MPs Concentration | Extraction Method | Pore Filter Size (µm) | Identification Method | Sampling Campaigns | Reference |
|---|---|---|---|---|---|---|
| Costa Nova, Aveiro | 236.35 p/kg 68 p/m2 | Density separation (NaCl) | 1.2 | Staining with Nile Red | November 2019 | Present work |
| Granada coast, Spain | 22–45 p/kg | Density separation (NaCl) | 1.2 | Staining with Nile Red | November 2018 | [47] |
| Praia da Barra, Aveiro | 100 p/kg | Density separation (NaCl) | Between 7 and 9 | Stereomicroscope + FTIR | October 2018 | [35] |
| Costa Nova, Aveiro | 11 p/kg in wet season 20–43 p/kg in dry season | Density separation (NaCl) | 0.45 | Stereomicroscope + hot needle test | February 2018–2019, June 2018, October 2018 | [36] |
| Mira River estuary | 8000–37,100 p/kg | Density separation (NaCl) | 0.7 | Stereomicroscope | February 2015 | [43] |
| Algarve coast | 0–262.8 p/kg | Density separation (NaCl) | 1.0 | Stereomicroscope + µFTIR | June and August 2013 | [39] |
| Portuguese coast | 3–3758 p/m2 in autumn 0–815 p/m2 in spring | Density separation (NaCl) | 1.2 | Stereomicroscope | April 2011, January 2012, September 2012, March 2013 | [18] |
| Portuguese coast | 7–2080 p/m2 | Density separation (NaCl) | 1.0 | Visual identification | January–February 2012 | [42] |
| Portuguese coast | 1.5–362 p/m2 | n.d. | n.d. | Visual identification | February–March 2012 | [48] |
| Portuguese coast | 28.6–392.85 p/m2 | Density separation (NaCl) | 1.0 | Binocular microscope + µFTIR | March 2010 | [49] |
The comparison with the beaches on the coast of Granada (Spain) was made because the same sampling and identification methodology was used, while the extraction was slightly different, since in Granada only two replicates were taken from each sampling line, while in Costa Nova all 11 sampling points per line were analysed. Furthermore, at both places, the samples were taken in the same month and in a single sampling campaign. Figure 7 shows the concentrations of MPs in both studies per sampling line, with a notable difference between Costa Nova and Granada beaches. In all cases on the beaches of Granada, except in lines 1 and 3 of La Herradura, the concentrations obtained were lower than 50 p/kg d.w., while in Costa Nova it exceeds 200 p/kg d.w. in all sampling lines. This case shows the importance of several factors that influence the performance of this type of study: the geomorphological characteristics of the area sampled, the differences in the treatment of the samples, and the fact of carrying out a single sampling campaign. On the one hand, Costa Nova is a beach bathed by the Atlantic Ocean and affected by the Canary and Portuguese currents (close to the North Atlantic oceanic gyre), as well as having a fine-grained, well-cohesive sediment and being in a plain that forms the Ria de Aveiro [30]. These characteristics are totally contrary to those of the beaches of Granada, which are bathed by the Mediterranean Sea and relatively close to the Strait of Gibraltar, where the currents have a singular behaviour due to the mixture of Atlantic and Mediterranean waters. Moreover, these are beaches with coarse sediment due to the proximity of the Betic mountain range, which is the highest in the Peninsula [47]. Martins and Sobral [49] assumed that the smaller the grain size of the sand, the more the accumulation of microplastics is favoured. This fact is supported by the differences in the relation between microplastic concentration and sediment size found on Costa Nova and Granada beaches. On the other hand, a single sampling campaign may affect the representativeness, since factors such as currents, wind, and waves condition the accumulation of MPs, and it could be interesting to sample with a certain periodicity, as other studies have conducted [18,36,38,50].
Figure 7.
Comparison of MPs concentrations per sampling line between Costa Nova beach and the coast of Granada (Spain).
As a conclusion of this comparison between studies, one of the main drawbacks in the performance of these kind of studies is the absence of a standardised quality control protocol, including sampling protocol, analysis protocol, validation of the techniques used, etc. [14]. The MSFD Technical Subgroup on Marine Litter and NOAA presented in 2013 and 2015, respectively, some standardised protocols for sampling, characterisation, and quantification of microplastics; although, there are still many unknowns to be resolved and these procedures still depend on the means available and the criteria to be followed by the research team conducting the study [14,15].
4. Conclusions
The main objective of this study was to carry out an approximation of microplastic pollution on a beach in Costa Nova (Portugal), an area that had been previously studied using different methodologies, with the aim of analysing the influence of environmental and anthropogenic variables specific to that area on the distribution and characteristics of microplastics. In addition, a discussion of methodological variables compared between similar studies was performed.
The results obtained showed a high contamination by microplastics in comparison with other Portuguese beaches and even with studies carried out in the same area, with median concentrations of 236 ± 156 p/kg d.w. and 68 ± 46 p/m2. Spatial variability in contamination was low along the 11 m2 of beach analysed. This homogeneity may be because Costa Nova is a beach little influenced by large, urbanised areas nearby and the touristic pressure is moderate in comparison with other Portuguese beaches. The predominant morphology is microspheres, which represent more than 90% of the total number of MPs in all sampling points, whose origin could be the intense commercial activity of the nearby port, which receives goods from the Atlantic coast. With respect to size, as in many studies of this type, more than 50% of the MPs are concentrated in the <200 µm range, a fact that could be related to some influence of the Canary and Portuguese currents, close to the North Atlantic gyre, but more likely to the proximity to anthropogenic pressures.
A fact that becomes clear when making comparisons with other Portuguese studies is the need to establish a common methodology for sampling, extraction, and identification of MPs, as well as to establish the number of sampling campaigns necessary to obtain representative data and elucidate the reasons for the high variability in pollution between different studies carried out in the same area.
This study has shown the difficulty in determining which variables have the greatest influence on microplastic pollution on a beach; so, the future path of this study would be to extend it with mathematical analysis and models to observe the behaviour of ocean currents and waves in the Costa Nova area analysed, as well as a more in-depth socio-tourist and industrial analysis to find out the true impact of anthropogenic activity in the area. Some additional laboratory tests could also be carried out to infer the polymeric composition of microplastics identified.
Author Contributions
V.G.: formal analysis, investigation, writing—original draft; J.C.P.: methodology, software, data curation; A.P.: supervision, writing—review and editing, funding acquisition; J.P.d.C.: conceptualization, resources, visualization; T.R.-S.: supervision, writing—review and editing, project administration; A.C.D.: supervision, funding acquisition. All authors have read and agreed to the published version of the manuscript.
Funding
Thanks are due to FCT/MCTES for their financial support [UIDP/50017/2020+UIDB/50017/2020+LA/P/0094/2020], through national funds. This work was also funded by the Portuguese Science Foundation (FCT) through scholarship [PD/BD/135581/2018] under POCH funds, co-financed by the European Social Fund and Portuguese National Funds from MEC. Finally, this work was also supported by Fundación CEI·MAR through mobility programme “Ayudas de Movilidad Internacional para Estudiantes de Doctorado”, financed by the Secretaría General de Universidades, Investigación y Tecnología de la Consejería de Economía, Conocimiento, Empresas y Universidad de la Junta de Andalucía.
Institutional Review Board Statement
Not applicable.
Informed Consent Statement
Not applicable.
Data Availability Statement
Data is contained within the article.
Conflicts of Interest
The authors declare that they have no known competing financial interests or personal relationships that could have appeared to influence the work reported in this paper.
References
- Plastics Europe. Plastics—The Facts 2020; Plastics Europe: London, UK, 2021. [Google Scholar]
- Lau, W.W.Y.; Shiran, Y.; Bailey, R.M.; Cook, E.; Stuchtey, M.R.; Koskella, J.; Velis, C.A.; Godfrey, L.; Boucher, J.; Murphy, M.B.; et al. Evaluating scenarios toward zero plastic pollution. Science 2020, 369, 1455–1461. [Google Scholar] [CrossRef] [PubMed]
- Gomiero, A.; Strafella, P.; Fabi, G. From Macroplastic to Microplastic Litter: Occurrence, Composition, Source Identification and Interaction with Aquatic Organisms. Experiences from the Adriatic Sea. In Plastics in the Environment; IntechOpen: Rijeka, Croatia, 2018. [Google Scholar] [CrossRef]
- Weinstein, J.E.; Crocker, B.K.; Gray, A.D. From macroplastic to microplastic: Degradation of high-density polyethylene, polypropylene, and polystyrene in a salt marsh habitat. Environ. Toxicol. Chem. 2016, 35, 1632–1640. [Google Scholar] [CrossRef] [PubMed]
- Thompson, R.C.; Olson, Y.; Mitchell, R.P.; Davis, A.; Rowland, S.J.; John, A.W.G.; McGonigle, D.; Russell, A.E. Lost at sea: Where is all the plastic? Science 2004, 304, 838. [Google Scholar] [CrossRef] [PubMed]
- GESAMP. Sources, Fate, and Effects of Microplastics in the Marine Environment: A Global Assessment. IMO/FAO/UNESCO-IOC/UNIDO/WMO/IAEA/UN/UNEP/UNDP Joint Group of Experts on the Scientific Aspects of Marine Environmental Protection. 2015. Available online: https://ec.europa.eu/environment/marine/good-environmental-status/descriptor-10/pdf/GESAMP_microplastics%20full%20study.pdf (accessed on 12 February 2023).
- Leslie, H.A. Review of microplastics in Cosmetics. IVM Inst. Environ. Stud. 2014, 476, 1–33. [Google Scholar]
- Eunomia and ICF. Investigating Options for Reducing Releases in the Aquatic Environment of Microplastics Emitted by (but Not Intentionally Added in) Products—Final Report, Report for DG Env EC. 2018. Available online: https://www.eunomia.co.uk/reports-tools/investigating-options-for-reducing-releases-in-the-aquatic-environment-of-microplastics-emitted-by-products/ (accessed on 12 February 2023).
- Cózar, A.; Echevarría, F.; González-Gordillo, J.I.; Irigoien, X.; Úbeda, B.; Hernández-León, S.; Palma, Á.T.; Navarro, S.; García-de-Lomas, J.; Ruiz, A.; et al. Plastic debris in the open ocean. Proc. Natl. Acad. Sci. USA 2014, 111, 10239–10244. [Google Scholar] [CrossRef] [PubMed]
- Eriksen, M.; Lebreton, L.C.M.; Carson, H.S.; Thiel, M.; Moore, C.J.; Borerro, J.C.; Galgani, F.; Ryan, P.G.; Reisser, J. Plastic Pollution in the World’s Oceans: More than 5 trillion Plastic Pieces Weighing over 250,000 Tons Afloat at Sea. PLoS ONE 2014, 9, e111913. [Google Scholar] [CrossRef]
- Eriksen, M.; Thiel, M.; Lebreton, L. Nature of Plastic Marine Pollution in the Subtropical Gyres. In Handbook of Environmental Chemistry; Takada, H., Karapanagioti, H.K., Eds.; Springer International Publishing: Cham, Switzerland, 2016; pp. 135–162. [Google Scholar] [CrossRef]
- Law, K.L.; Morét-Ferguson, S.; Maximenko, N.A.; Proskurowski, G.; Peacock, E.E.; Hafner, J.; Reddy, C.M. Plastic accumulation in the North Atlantic subtropical gyre. Science 2010, 329, 1185–1188. [Google Scholar] [CrossRef]
- Pabortsava, K.; Lampitt, R.S. High concentrations of plastic hidden beneath the surface of the Atlantic Ocean. Nat. Commun. 2020, 11, 4073. [Google Scholar] [CrossRef]
- MSFD. MSDF Guidance on Monitoring of Marine Litter in European Seas; EU Publications: Luxembourg, 2013. [Google Scholar] [CrossRef]
- Masura, J.; Baker, J.; Foster, G.; Arthur, C. Laboratory Methods for the Analysis of Microplastics in the Marine Environment: Recommendations for Quantifying Synthetic Particles in Waters and Sediments; Technical Memorandum; NOAA Marine Debris Program National: Silver Spring, MD, USA, 2015. [Google Scholar]
- Stefanova, A.; Krysanova, V.; Hesse, C.; Lillebø, A.I. Evaluation de l’impact des changements climatiques sur l’apport d’eau à une lagune côtière: Le bassin de Ria de Aveiro, Portugal. Hydrol. Sci. J. 2015, 60, 929–948. [Google Scholar] [CrossRef]
- APA. Porto de Aveiro [WWW Document]. Available online: http://es.portodeaveiro.pt/menu/index.php?x=118 (accessed on 20 January 2020).
- Antunes, J.; Frias, J.; Sobral, P. Microplastics on the Portuguese coast. Mar. Pollut. Bull. 2018, 131, 294–302. [Google Scholar] [CrossRef]
- IPMA. Resumo Climatológico-Novembro de 2019. 2019. Available online: https://www.ipma.pt/pt/media/noticias/documentos/2019/resumo_clima_novembro2019.pdf (accessed on 12 February 2023).
- Besley, A.; Vijver, M.; Behrens, P.; Bosker, T. A standardized method for sampling and extraction methods for quantifying microplastics in beach sand. Mar. Pollut. Bull. 2017, 114, 77–83. [Google Scholar] [CrossRef]
- Maes, T.; Jessop, R.; Wellner, N.; Haupt, K.; Mayes, A.G. A rapid-screening approach to detect and quantify microplastics based on fluorescent tagging with Nile Red. Sci. Rep. 2017, 7, 44501. [Google Scholar] [CrossRef]
- Prata, J.C.; Manana, M.J.; da Costa, J.P.; Duarte, A.C.; Rocha-Santos, T. What is the minimum volume of sample to find small microplastics: Laboratory experiments and sampling of Aveiro lagoon and Vouga river, Portugal. Water 2020, 12, 1219. [Google Scholar] [CrossRef]
- Prata, J.C.; Reis, V.; Matos, J.T.V.; da Costa, J.P.; Duarte, A.C.; Rocha-Santos, T. A new approach for routine quantification of microplastics using Nile Red and automated software (MP-VAT). Sci. Total Environ. 2019, 690, 1277–1283. [Google Scholar] [CrossRef]
- Simon-Sánchez, L.; Grelaud, M.; Garcia-Orellana, J.; Ziveri, P. River Deltas as hotspots of microplastic accumulation: The case study of the Ebro River (NW Mediterranean). Sci. Total Environ. 2019, 687, 1186–1196. [Google Scholar] [CrossRef]
- Prata, J.C.; Castro, J.L.; da Costa, J.P.; Duarte, A.C.; Cerqueira, M.; Rocha-Santos, T. An easy method for processing and identification of natural and synthetic microfibers and microplastics in indoor and outdoor air. MethodsX 2020, 7, 100762. [Google Scholar] [CrossRef]
- De Witte, B.; Devriese, L.; Bekaert, K.; Hoffman, S.; Vandermeersch, G.; Cooreman, K.; Robbens, J. Quality assessment of the blue mussel (Mytilus edulis): Comparison between commercial and wild types. Mar. Pollut. Bull. 2014, 85, 146–155. [Google Scholar] [CrossRef]
- Chubarenko, I.; Stepanova, N. Microplastics in sea coastal zone: Lessons learned from the Baltic amber. Environ. Pollut. 2017, 224, 243–254. [Google Scholar] [CrossRef]
- Fitri, A.; Hashim, R.; Abolfathi, S.; Maulud, K.N.A. Dynamics of sediment transport and erosion-deposition patterns in the locality of a detached low-crested breakwater on a cohesive coast. Water 2019, 11, 1721. [Google Scholar] [CrossRef]
- Omardien, A.; Engel, W.; Smith, N.; Budden, C. BEYOND THE HORIZON: Consumer and Restaurant/Hospitality Industry Approaches to Tackling Marine Plastic Debris; Unpublished report; The Beach Co-op: Cape Town, South Africa, 2017; 97p. [Google Scholar]
- Rodrigues, C.M.; Bio, A.; Amat, F.; Vieira, N. Artisanal salt production in Aveiro/Portugal—An ecofriendly process. Saline Syst. 2011, 7, 3. [Google Scholar] [CrossRef]
- Urban-Malinga, B.; Zalewski, M.; Jakubowska, A.; Wodzinowski, T.; Malinga, M.; Pałys, B.; Dąbrowska, A. Microplastics on sandy beaches of the southern Baltic Sea. Mar. Pollut. Bull. 2020, 155, 111170. [Google Scholar] [CrossRef] [PubMed]
- Barton, E.D. Canary and Portugal Currents. In Encyclopedia of Ocean Sciences; Steele, J.H., Thorpe, S.A., Turekian, K.K., Eds.; Elsevier Ltd.: Amsterdam, The Netherlands, 2001; pp. 380–389. [Google Scholar] [CrossRef]
- Campanale, C.; Savino, I.; Pojar, I.; Massarelli, C.; Uricchio, V.F. A practical overview of methodologies for sampling and analysis of microplastics in riverine environments. Sustainability 2020, 12, 6755. [Google Scholar] [CrossRef]
- Maes, T.; Van der Meulen, M.D.; Devriese, L.I.; Leslie, H.A.; Huvet, A.; Frère, L.; Robbens, J.; Vethaak, A.D. Microplastics baseline surveys at the water surface and in sediments of the North-East Atlantic. Front. Mar. Sci. 2017, 4, 1–13. [Google Scholar] [CrossRef]
- Chouchene, K.; Prata, J.C.; da Costa, J.; Duarte, A.C.; Rocha-Santos, T.; Ksibi, M. Microplastics on Barra beach sediments in Aveiro, Portugal. Mar. Pollut. Bull. 2021, 167, 112264. [Google Scholar] [CrossRef] [PubMed]
- Prata, J.C.; Reis, V.; Paço, A.; Martins, P.; Cruz, A.; da Costa, J.P.; Duarte, A.C.; Rocha-Santos, T. Effects of spatial and seasonal factors on the characteristics and carbonyl index of (micro)plastics in a sandy beach in Aveiro, Portugal. Sci. Total Environ. 2020, 709, 135892. [Google Scholar] [CrossRef]
- Herrera, A.; Asensio, M.; Martínez, I.; Santana, A.; Packard, T.; Gómez, M. Microplastic and tar pollution on three Canary Islands beaches: An annual study. Mar. Pollut. Bull. 2018, 129, 494–502. [Google Scholar] [CrossRef]
- Rapp, J.; Herrera, A.; Martinez, I.; Raymond, E.; Santana, Á.; Gómez, M. Study of plastic pollution and its potential sources on Gran Canaria Island beaches (Canary Islands, Spain). Mar. Pollut. Bull. 2020, 153, 110967. [Google Scholar] [CrossRef]
- Frias, J.P.G.L.; Gago, J.; Otero, V.; Sobral, P. Microplastics in coastal sediments from Southern Portuguese shelf waters. Mar. Environ. Res. 2016, 114, 24–30. [Google Scholar] [CrossRef]
- Löder, M.G.J.; Gerdts, G. Methodology Used for the Detection and Identification of Microplastics—A CRITICAL appraisal. In Marine Anthropogenic Litter; Bergmann, M., Kershaw, J., Gutow, L., Eds.; Springer International Publishing: Cham, Switzerland, 2015; pp. 201–227. [Google Scholar] [CrossRef]
- Rocha-Santos, T.; Duarte, A.C. A critical overview of the analytical approaches to the occurrence, the fate, and the behavior of microplastics in the environment. TrAC—Trends Anal. Chem. 2015, 65, 47–53. [Google Scholar] [CrossRef]
- Frias, J.P.G.L.; Antunes, J.C.; Sobral, P. Local marine litter survey—A case study in Alcobaça municipality, Portugal. Rev. Gestão Costeira Integr. 2013, 13, 169–179. [Google Scholar] [CrossRef]
- Duarte, B.; Manjate, E.; Caçador, I. Baseline Survey on the Accumulation of Microdebris in the Intertidal Sediments of a Reference Estuarine System (Mira Estuary, Portugal). Oceans 2020, 1, 47–55. [Google Scholar] [CrossRef]
- Vianello, A.; Boldrin, A.; Guerriero, P.; Moschino, V.; Rella, R.; Sturaro, A.; Da Ros, L. Microplastic particles in sediments of Lagoon of Venice, Italy: First observations on occurrence, spatial patterns, and identification. Estuar. Coast. Shelf Sci. 2013, 130, 54–61. [Google Scholar] [CrossRef]
- Tsuchiya, M.; Nomaki, H.; Kitahashi, T.; Nakajima, R.; Fujikura, K. Sediment sampling with a core sampler equipped with aluminum tubes and an onboard processing protocol to avoid plastic contamination. MethodsX 2019, 6, 2662–2668. [Google Scholar] [CrossRef]
- Willis, K.A.; Eriksen, R.; Wilcox, C.; Hardesty, B. Microplastic distribution at different sediment depths in an urban estuary. Front. Mar. Sci. 2017, 4, 419. [Google Scholar] [CrossRef]
- Godoy, V.; Prata, J.C.; Blázquez, G.; Almendros, A.I.; Duarte, A.C.; Rocha-Santos, T.; Calero, M.; Martín-Lara, M.Á. Effects of distance to the sea and geomorphological characteristics on the quantity and distribution of microplastics in beach sediments of Granada (Spain). Sci. Total Environ. 2020, 746, 142023. [Google Scholar] [CrossRef]
- Antunes, J.C.; Frias, J.G.L.; Micaelo, A.C.; Sobral, P. Resin pellets from beaches of the Portuguese coast and adsorbed persistent organic pollutants. Estuar. Coast. Shelf Sci. 2013, 130, 62–69. [Google Scholar] [CrossRef]
- Martins, J.; Sobral, P. Plastic marine debris on the Portuguese coastline: A matter of size? Mar. Pollut. Bull. 2011, 62, 2649–2653. [Google Scholar] [CrossRef]
- Reinold, S.; Herrera, A.; Hernández-González, C.; Gómez, M. Plastic pollution on eight beaches of Tenerife (Canary Islands, Spain): An annual study. Mar. Pollut. Bull. 2020, 151, 110847. [Google Scholar] [CrossRef]
Disclaimer/Publisher’s Note: The statements, opinions and data contained in all publications are solely those of the individual author(s) and contributor(s) and not of MDPI and/or the editor(s). MDPI and/or the editor(s) disclaim responsibility for any injury to people or property resulting from any ideas, methods, instructions or products referred to in the content. |
© 2023 by the authors. Licensee MDPI, Basel, Switzerland. This article is an open access article distributed under the terms and conditions of the Creative Commons Attribution (CC BY) license (https://creativecommons.org/licenses/by/4.0/).









