Effect of Green Human Resource Management on Green Psychological Climate and Environmental Green Behavior of Hotel Employees: The Moderator Roles of Environmental Sensitivity and Altruism
Abstract
1. Introduction
2. Conceptual Model
2.1. Green Human Resource Management and Green Psychological Climate
2.2. Psychological Green Climate and Environmental Green Behavior
2.3. The Moderator Effect of Environmental Sensitivity and Altruism on the Relationship between Green Psychological Climate and Environmental Green Behavior
3. Methodology
3.1. Research Instrument
3.2. Sampling and Data Collection
3.3. Common Method Bias
3.4. Data Analysis
3.5. Findings
3.5.1. Demographic Profile
3.5.2. Confirmatory Factor Analysis Regarding the Structural Model
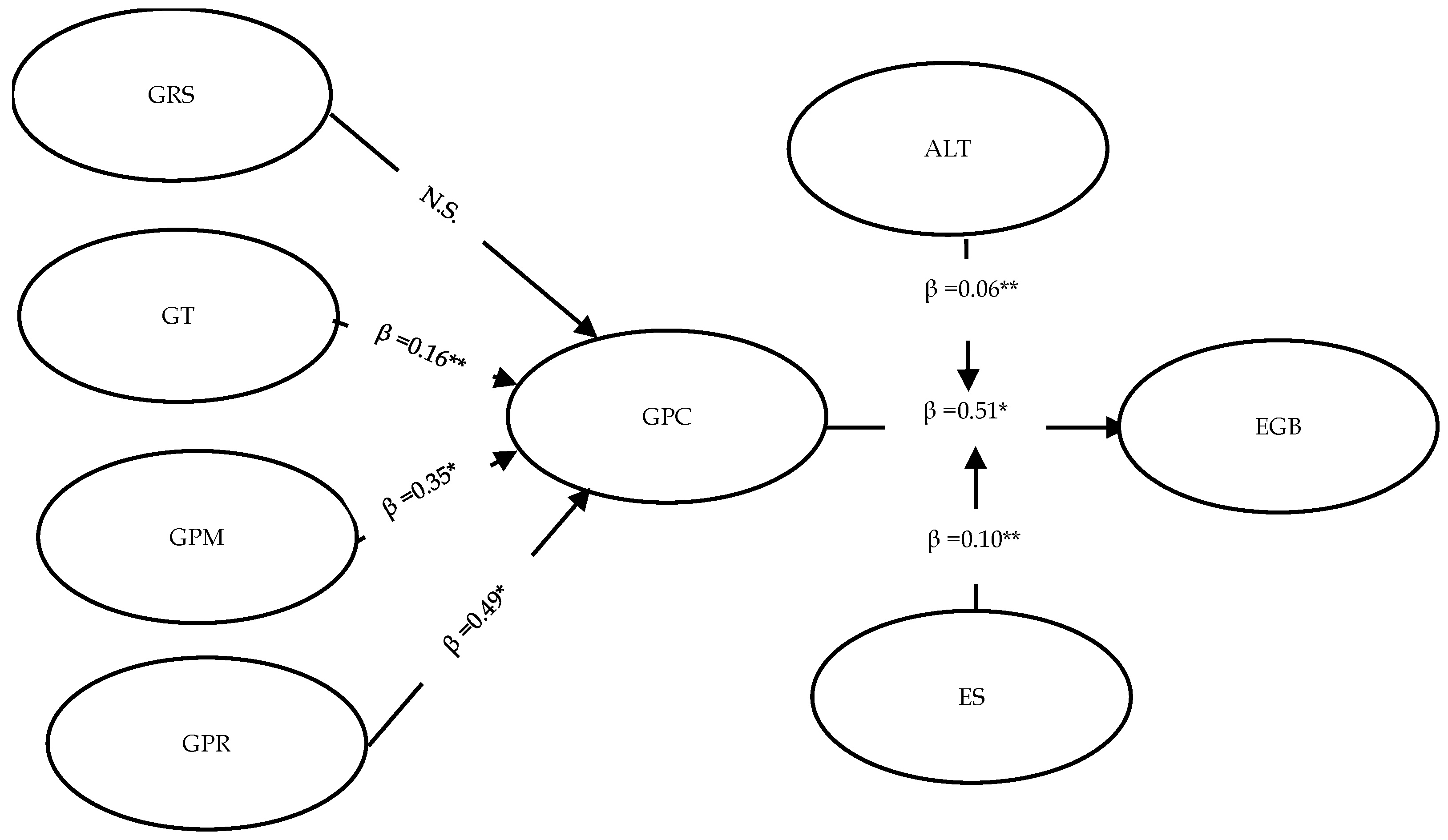
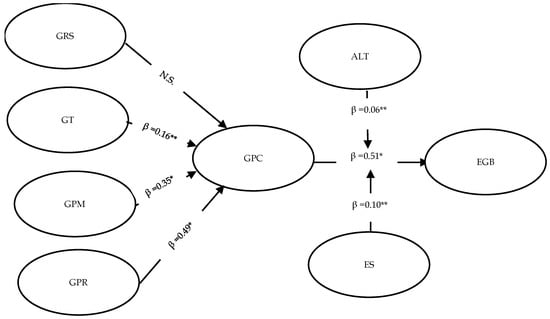
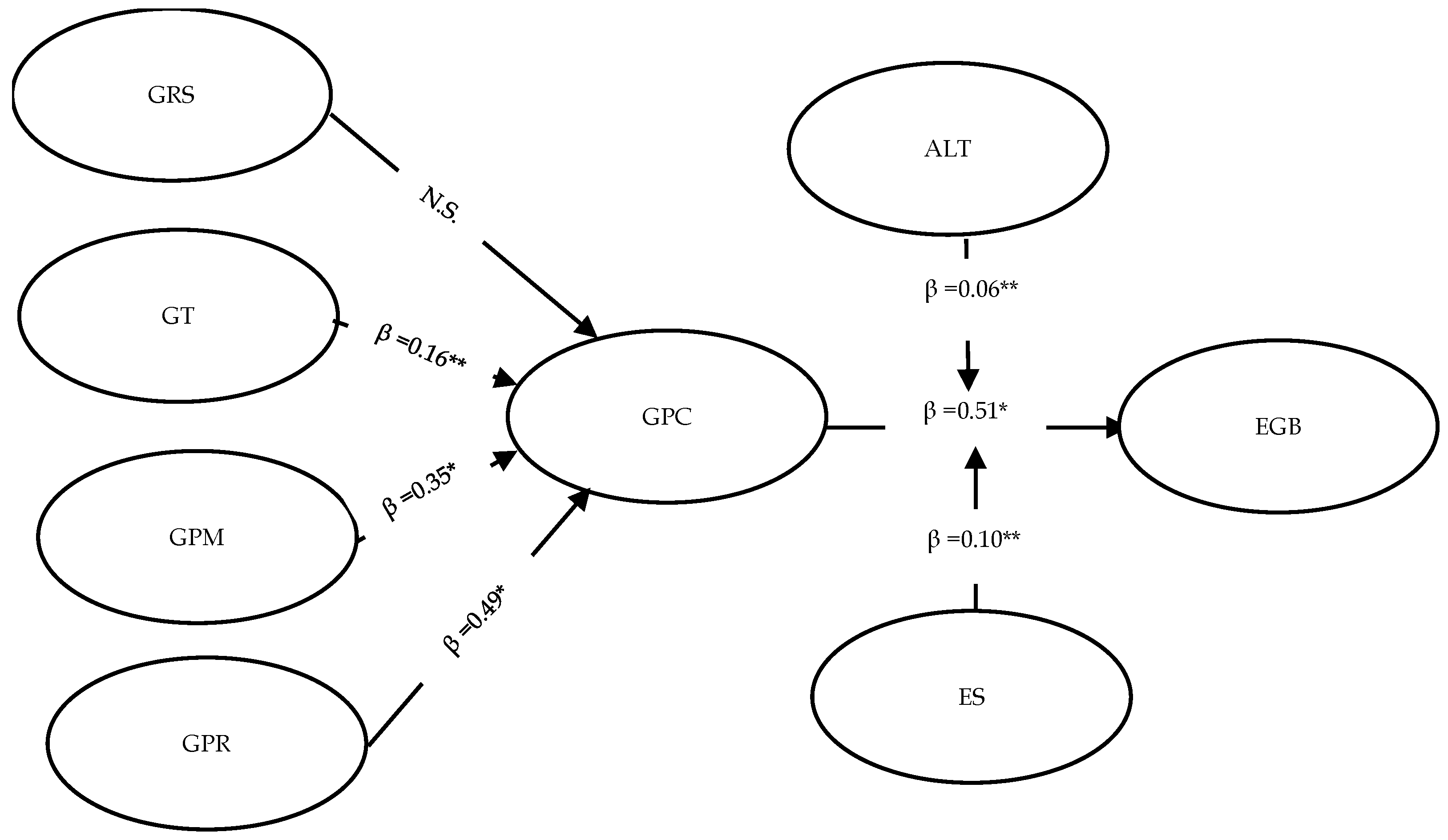
3.5.3. Hypothesis Tests
4. Discussion and Implications
4.1. Theoretical Implications
4.2. Practical Implications
5. Limitations and Future Research Directions
5.1. Limitations
5.2. Future Research Directions
6. Conclusions
Author Contributions
Funding
Institutional Review Board Statement
Informed Consent Statement
Data Availability Statement
Conflicts of Interest
References
- Renwick, D.W.; Redman, T.; Maguire, S. Green Human Resource Management: A Review and Research Agenda. Int. J. Manag. Rev. 2013, 15, 1–14. [Google Scholar] [CrossRef]
- Mousa, S.K.; Othman, M. The Impact of Green Human Resource Management Practices on Sustainable Performance in Healthcare Organisations: A Conceptual Framework. J. Clean. Prod. 2020, 243, 118595. [Google Scholar] [CrossRef]
- Sarkis, J.; Gonzalez-Torre, P.; Adenso-Diaz, B. Stakeholder Pressure and the Adoption of Environmental Practices: The Mediating Effect of Training. J. Oper. Manag. 2010, 28, 163–176. [Google Scholar] [CrossRef]
- Graves, L.M.; Sarkis, J.; Zhu, Q. How Transformational Leadership and Employee Motivation Combine to Predict Employee Proenvironmental Behaviors in China. J. Environ. Psychol. 2013, 35, 81–91. [Google Scholar] [CrossRef]
- Faezah, J.N.; Yusliza, M.Y.; Azlina, Y.N.; Saputra, J.; Zulkifli, W.K.W. Developing a Conceptual Model to Implement the Employee Ecological Behavior in Organisations. J. Environ. Manag. Tour. 2022, 13, 746–755. [Google Scholar] [CrossRef]
- Dumont, J.; Shen, J.; Deng, X. Effects of Green HRM Practices on Employee Workplace Green Behavior: The Role of Psychological Green Climate and Employee Green Values. Hum. Resour. Manag. 2017, 56, 613–627. [Google Scholar] [CrossRef]
- Daily, B.F.; Huang, S. Achieving Sustainability through Attention to Human Resource Factors in Environmental Management. Int. J. Oper. Prod. Manag. 2001, 21, 1539–1552. [Google Scholar] [CrossRef]
- Shafaei, A.; Nejati, M.; Mohd Yusoff, Y. Green Human Resource Management: A Two-Study Investigation of Antecedents and Outcomes. Int. J. Manpow. 2020, 41, 1041–1060. [Google Scholar] [CrossRef]
- Gruescu, R.; Nanu, R.; Pirvu, G. Human Resource Management in the Tourism Industry. Bull. Univ. Agric. Sci. Vet. Med. Cluj Napoca Hortic. 2008, 65, 168–173. [Google Scholar]
- Harb, T.; Ahmed, S. Perceived Financial Sustainability of Tourism Enterprises: Do Green Human Resource Management Practices Really Matter. J. Tour. Hosp. Manag. 2019, 7, 173–185. [Google Scholar]
- Qadri, S.U.; Bilal, M.A.; Li, M.; Ma, Z.; Qadri, S.; Ye, C.; Rauf, F. Work Environment as a Moderator Linking Green Human Resources Management Strategies with Turnover Intention of Millennials: A Study of Malaysian Hotel Industry. Sustainability 2022, 14, 7401. [Google Scholar] [CrossRef]
- Emmanuel, A.A.; Dato‘Mansor, Z.; MohD Rasdi, R.B.; Abdullah, A.R. Conceptual Viewpoint on the Needs for Creating Green Human Resource Management Practices Awareness of Hotel Industry in Nigeria; Issues and Challenges. Int. J. Manag. 2020, 11, 295–304. [Google Scholar]
- Chan, E.S.; Hsu, C.H. Environmental Management Research in Hospitality. Int. J. Contemp. Hosp. Manag. 2016, 28, 886–923. [Google Scholar] [CrossRef]
- Pham, N.T.; Tučková, Z.; Jabbour, C.J.C. Greening the Hospitality Industry: How Do Green Human Resource Management Practices Influence Organizational Citizenship Behavior in Hotels? A Mixed-Methods Study. Tour. Manag. 2019, 72, 386–399. [Google Scholar] [CrossRef]
- Islam, M.A.; Hack-Polay, D.; Haque, A.; Rahman, M.; Hossain, M.S. Moderating Role of Psychological Empowerment on the Relationship between Green HRM Practices and Millennial Employee Retention in the Hotel Industry of Bangladesh. Bus. Strat. Dev. 2022, 5, 17–29. [Google Scholar] [CrossRef]
- Robertson, J.L.; Barling, J. Greening Organizations through Leaders’ Influence on Employees’ pro-Environmental Behaviors. J. Organ. Behav. 2013, 34, 176–194. [Google Scholar] [CrossRef]
- Brown, M. Environmental Policy in the Hotel Sector:“Green” Strategy or Stratagem? Int. J. Contemp. Hosp. Manag. 1996, 8, 18–23. [Google Scholar] [CrossRef]
- Hale, M. Training for Environmental Technologies and Environmental Management. J. Clean. Prod. 1995, 3, 19–23. [Google Scholar] [CrossRef]
- Sarkis, J. How Green Is the Supply Chain? Practice and Research. Pract. Res. 1999. [Google Scholar] [CrossRef]
- Renwick, D.; Redman, T.; Maguire, S. Green HRM: A Review, Process Model, and Research Agenda. Univ. Sheff. Manag. Sch. Discuss. Pap. 2008, 1, 1–46. [Google Scholar]
- Jabbour, C.J.C.; Santos, F.C.A. Relationships between Human Resource Dimensions and Environmental Management in Companies: Proposal of a Model. J. Clean. Prod. 2008, 16, 51–58. [Google Scholar] [CrossRef]
- Jabbour, C.J.C.; de Sousa Jabbour, A.B.L. Green Human Resource Management and Green Supply Chain Management: Linking Two Emerging Agendas. J. Clean. Prod. 2016, 112, 1824–1833. [Google Scholar] [CrossRef]
- Paillé, P.; Chen, Y.; Boiral, O.; Jin, J. The Impact of Human Resource Management on Environmental Performance: An Employee-Level Study. J. Bus. Ethics 2014, 121, 451–466. [Google Scholar] [CrossRef]
- Nejati, M.; Rabiei, S.; Jabbour, C.J.C. Envisioning the Invisible: Understanding the Synergy between Green Human Resource Management and Green Supply Chain Management in Manufacturing Firms in Iran in Light of the Moderating Effect of Employees’ Resistance to Change. J. Clean. Prod. 2017, 168, 163–172. [Google Scholar] [CrossRef]
- Masri, H.A.; Jaaron, A.A. Assessing Green Human Resources Management Practices in Palestinian Manufacturing Context: An Empirical Study. J. Clean. Prod. 2017, 143, 474–489. [Google Scholar] [CrossRef]
- Luu, T.T. Green Human Resource Practices and Organizational Citizenship Behavior for the Environment: The Roles of Collective Green Crafting and Environmentally Specific Servant Leadership. J. Sustain. Tour. 2019, 27, 1167–1196. [Google Scholar] [CrossRef]
- Tang, G.; Chen, Y.; Jiang, Y.; Paillé, P.; Jia, J. Green Human Resource Management Practices: Scale Development and Validity. Asia Pac. J. Hum. Resour. 2018, 56, 31–55. [Google Scholar] [CrossRef]
- Jose Chiappetta Jabbour, C. How Green Are HRM Practices, Organizational Culture, Learning and Teamwork? A Brazilian Study. Ind. Commer. Train. 2011, 43, 98–105. [Google Scholar] [CrossRef]
- Irani, F.; Kiliç, H.; Adeshola, I. Impact of Green Human Resource Management Practices on the Environmental Performance of Green Hotels. J. Hosp. Mark. Manag. 2022, 31, 570–600. [Google Scholar] [CrossRef]
- Yusliza, M.-Y.; Norazmi, N.A.; Jabbour, C.J.C.; Fernando, Y.; Fawehinmi, O.; Seles, B.M.R.P. Top Management Commitment, Corporate Social Responsibility and Green Human Resource Management: A Malaysian Study. Benchmarking Int. J. 2019, 26, 2051–2078. [Google Scholar] [CrossRef]
- Yusoff, Y.M.; Nejati, M.; Kee, D.M.H.; Amran, A. Linking Green Human Resource Management Practices to Environmental Performance in Hotel Industry. Glob. Bus. Rev. 2020, 21, 663–680. [Google Scholar] [CrossRef]
- Haldorai, K.; Kim, W.G.; Garcia, R.F. Top Management Green Commitment and Green Intellectual Capital as Enablers of Hotel Environmental Performance: The Mediating Role of Green Human Resource Management. Tour. Manag. 2022, 88, 104431. [Google Scholar] [CrossRef]
- Gupta, S.; Kumar, V. Sustainability as Corporate Culture of a Brand for Superior Performance. J. World Bus. 2013, 48, 311–320. [Google Scholar] [CrossRef]
- Norton, T.A.; Zacher, H.; Parker, S.L.; Ashkanasy, N.M. Bridging the Gap between Green Behavioral Intentions and Employee Green Behavior: The Role of Green Psychological Climate. J. Organ. Behav. 2017, 38, 996–1015. [Google Scholar] [CrossRef]
- Raineri, N.; Paillé, P. Linking Corporate Policy and Supervisory Support with Environmental Citizenship Behaviors: The Role of Employee Environmental Beliefs and Commitment. J. Bus. Ethics 2016, 137, 129–148. [Google Scholar] [CrossRef]
- Das, A.K.; Biswas, S.R.; Abdul Kader Jilani, M.M.; Uddin, M.A. Corporate Environmental Strategy and Voluntary Environmental Behavior—Mediating Effect of Psychological Green Climate. Sustainability 2019, 11, 3123. [Google Scholar] [CrossRef]
- Chiappetta Jabbour, C.J.; Mauricio, A.L.; Jabbour, A.B.L.D.S. Critical Success Factors and Green Supply Chain Management Proactivity: Shedding Light on the Human Aspects of This Relationship Based on Cases from the Brazilian Industry. Prod. Plann. Control 2017, 28, 671–683. [Google Scholar] [CrossRef]
- Pinzone, M.; Guerci, M.; Lettieri, E.; Redman, T. Progressing in the Change Journey towards Sustainability in Healthcare: The Role of ‘Green’HRM. J. Clean. Prod. 2016, 122, 201–211. [Google Scholar] [CrossRef]
- Cheema, S.; Javed, F. The Effects of Corporate Social Responsibility toward Green Human Resource Management: The Mediating Role of Sustainable Environment. Cogent Bus. Manag. 2017, 4, 1310012. [Google Scholar] [CrossRef]
- Singh, S.K.; Del Giudice, M.; Chierici, R.; Graziano, D. Green Innovation and Environmental Performance: The Role of Green Transformational Leadership and Green Human Resource Management. Technol. Forecast. Soc. Change 2020, 150, 119762. [Google Scholar] [CrossRef]
- Raut, R.D.; Gardas, B.; Luthra, S.; Narkhede, B.; Kumar Mangla, S. Analysing Green Human Resource Management Indicators of Automotive Service Sector. Int. J. Manpow. 2020, 41, 925–944. [Google Scholar] [CrossRef]
- Yu, W.; Chavez, R.; Feng, M.; Wong, C.Y.; Fynes, B. Green Human Resource Management and Environmental Cooperation: An Ability-Motivation-Opportunity and Contingency Perspective. Int. J. Prod. Econ. 2020, 219, 224–235. [Google Scholar] [CrossRef]
- Anwar, N.; Mahmood, N.H.N.; Yusliza, M.Y.; Ramayah, T.; Faezah, J.N.; Khalid, W. Green Human Resource Management for Organisational Citizenship Behaviour towards the Environment and Environmental Performance on a University Campus. J. Clean. Prod. 2020, 256, 120401. [Google Scholar] [CrossRef]
- Sabokro, M.; Masud, M.M.; Kayedian, A. The Effect of Green Human Resources Management on Corporate Social Responsibility, Green Psychological Climate and Employees’ Green Behavior. J. Clean. Prod. 2021, 313, 127963. [Google Scholar] [CrossRef]
- O’Donohue, W.; Torugsa, N. The Moderating Effect of ‘Green’HRM on the Association between Proactive Environmental Management and Financial Performance in Small Firms. Int. J. Hum. Resour. Manag. 2016, 27, 239–261. [Google Scholar] [CrossRef]
- Elshaer, I.A.; Sobaih, A.E.E.; Aliedan, M.; Azazz, A.M. The Effect of Green Human Resource Management on Environmental Performance in Small Tourism Enterprises: Mediating Role of pro-Environmental Behaviors. Sustainability 2021, 13, 1956. [Google Scholar] [CrossRef]
- Pham, N.T.; Thanh, T.V.; Tučková, Z.; Thuy, V.T.N. The Role of Green Human Resource Management in Driving Hotel’s Environmental Performance: Interaction and Mediation Analysis. Int. J. Hosp. Manag. 2020, 88, 102392. [Google Scholar] [CrossRef]
- Han, H. Travelers’ pro-Environmental Behavior in a Green Lodging Context: Converging Value-Belief-Norm Theory and the Theory of Planned Behavior. Tour. Manag. 2015, 47, 164–177. [Google Scholar] [CrossRef]
- Westaby, J.D.; Versenyi, A.; Hausmann, R.C. Intentions to Work during Terminal Illness: An Exploratory Study of Antecedent Conditions. J. Appl. Psychol. 2005, 90, 1297. [Google Scholar] [CrossRef]
- Meng, B.; Lee, M.J.; Chua, B.-L.; Han, H. An Integrated Framework of Behavioral Reasoning Theory, Theory of Planned Behavior, Moral Norm and Emotions for Fostering Hospitality/Tourism Employees’ Sustainable Behaviors. Int. J. Contemp. Hosp. Manag. 2022, 34, 4516–4538. [Google Scholar] [CrossRef]
- Jiang, K.; Lepak, D.P.; Hu, J.; Baer, J.C. How Does Human Resource Management Influence Organizational Outcomes? A Meta-Analytic Investigation of Mediating Mechanisms. Acad. Manag. J. 2012, 55, 1264–1294. [Google Scholar] [CrossRef]
- Rousseau, D.M. Issues of Level in Organizational Research: Multi-Level and Cross-Level Perspectives. Res. Organ. Behav. 1985, 7, 1–37. [Google Scholar]
- Kuenzi, M.; Schminke, M. Assembling Fragments into a Lens: A Review, Critique, and Proposed Research Agenda for the Organizational Work Climate Literature. J. Manag. 2009, 35, 634–717. [Google Scholar] [CrossRef]
- Burke, M.J.; Borucki, C.C.; Kaufman, J.D. Contemporary Perspectives on the Study of Psychological Climate: A Commentary. Eur. J. Work Organ. Psychol. 2002, 11, 325–340. [Google Scholar] [CrossRef]
- Patterson, M.G.; West, M.A.; Shackleton, V.J.; Dawson, J.F.; Lawthom, R.; Maitlis, S.; Robinson, D.L.; Wallace, A.M. Validating the Organizational Climate Measure: Links to Managerial Practices, Productivity and Innovation. J. Organ. Behav. 2005, 26, 379–408. [Google Scholar] [CrossRef]
- Chou, C.-J. Hotels’ Environmental Policies and Employee Personal Environmental Beliefs: Interactions and Outcomes. Tour. Manag. 2014, 40, 436–446. [Google Scholar] [CrossRef]
- Norton, T.A.; Zacher, H.; Ashkanasy, N.M. Organisational Sustainability Policies and Employee Green Behaviour: The Mediating Role of Work Climate Perceptions. J. Environ. Psychol. 2014, 38, 49–54. [Google Scholar] [CrossRef]
- Bowen, D.E.; Ostroff, C. Understanding HRM–Firm Performance Linkages: The Role of the “Strength” of the HRM System. Acad. Manag. Rev. 2004, 29, 203–221. [Google Scholar]
- Schneider, B.; Ehrhart, M.G.; Macey, W.H. Organizational Climate and Culture. Annu. Rev. Psychol. 2013, 64, 361–388. [Google Scholar] [CrossRef]
- Saleem, M.; Qadeer, F.; Mahmood, F.; Ariza-Montes, A.; Han, H. Ethical Leadership and Employee Green Behavior: A Multilevel Moderated Mediation Analysis. Sustainability 2020, 12, 3314. [Google Scholar] [CrossRef]
- Ones, D.S.; Dilchert, S. Environmental Sustainability at Work: A Call to Action. Ind. Organ. Psychol. 2012, 5, 444–466. [Google Scholar] [CrossRef]
- Norton, T.A.; Parker, S.L.; Zacher, H.; Ashkanasy, N.M. Employee Green Behavior: A Theoretical Framework, Multilevel Review, and Future Research Agenda. Organ. Environ. 2015, 28, 103–125. [Google Scholar] [CrossRef]
- Zhou, S.; Zhang, D.; Lyu, C.; Zhang, H. Does Seeing “Mind Acts upon Mind” Affect Green Psychological Climate and Green Product Development Performance? The Role of Matching between Green Transformational Leadership and Individual Green Values. Sustainability 2018, 10, 3206. [Google Scholar] [CrossRef]
- Batson, C.D.; Shaw, L.L. Encouraging Words Concerning the Evidence for Altruism. Psychol. Inq. 1991, 2, 159–168. [Google Scholar] [CrossRef]
- Ma, E.; Qu, H.; Wei, X.; Hsiao, A. Conceptualization and Operationalization of an Altruistic and Egoistic Continuum of Organizational Citizenship Behavior Motivations. J. Hosp. Tour. Res. 2018, 42, 740–771. [Google Scholar] [CrossRef]
- Mete, E.S. The Relationship among Altruism, Affective Commitment, Job Satisfaction, and Turnover Intention: A Research on Boundary Spanning Positions in Hotel Enterprises. J. Tour. Gastron. Stud. 2019, 7, 310–327. [Google Scholar] [CrossRef]
- Lee, Y.; Kim, S.; Kim, M.; Choi, J. Antecedents and Interrelationships of Three Types of Pro-Environmental Behavior. J. Bus. Res. 2014, 67, 2097–2105. [Google Scholar] [CrossRef]
- Stern, P.C. New Environmental Theories: Toward a Coherent Theory of Environmentally Significant Behavior. J. Soc. Issues 2000, 56, 407–424. [Google Scholar] [CrossRef]
- Shao, J.; Mahmood, A.; Han, H. Unleashing the Potential Role of CSR and Altruistic Values to Foster Pro-Environmental Behavior by Hotel Employees. Int. J. Environ. Res. Public Health 2021, 18, 13327. [Google Scholar] [CrossRef]
- Mustelier-Puig, L.C.; Anjum, A.; Ming, X. Service Encounter Communication, Altruistic Value, and Customer Satisfaction: A Study of Overseas Tourists Buying Transportation Services in Shanghai. J. China Tour. Res. 2019, 15, 149–171. [Google Scholar] [CrossRef]
- Fehr, E.; Fischbacher, U. The Nature of Human Altruism. Nature 2003, 425, 785–791. [Google Scholar] [CrossRef]
- Nawaz, N.; Gomes, A.M. The Relationship between Organizational Citizenship Behavior and Team Performance: The Mediating Effect of Team Conflict. SSRN 2020, 5, 15–22. [Google Scholar] [CrossRef]
- Gukiina, J.; Lamunu, E. The near Abasement of Uganda Hotels’ Staff Altruistic Behaviour by COVID-19 Pandemic: A Relief Model. Athens J. Tour. 2021, 8, 269–290. [Google Scholar] [CrossRef]
- Azila-Gbettor, E.M. Servant Leadership and Customer OCB: Moderation Effect of Altruistic Values amongst Family Hotels Employees. J. Fam. Bus. Manag. 2022. ahead-of-print. [Google Scholar] [CrossRef]
- Chawla, L. Significant Life Experiences Revisited: A Review of Research on Sources of Environmental Sensitivity. J. Environ. Educ. 1998, 29, 11–21. [Google Scholar] [CrossRef]
- Cheng, T.-M.; Wu, H.C. How Do Environmental Knowledge, Environmental Sensitivity, and Place Attachment Affect Environmentally Responsible Behavior? An Integrated Approach for Sustainable Island Tourism. J. Sustain. Tour. 2015, 23, 557–576. [Google Scholar] [CrossRef]
- Singh, S.; Sharma, P.; Garg, N.; Bala, R. Groping Environmental Sensitivity as an Antecedent of Environmental Behavioural Intentions through Perceived Environmental Responsibility. J. Enterp. Commun. People Places Glob. Econ. 2022, 16, 299–319. [Google Scholar] [CrossRef]
- Li, J.; Lee, T.J.; Chen, N.; Park, K.-S. Pro-Environmental Behaviour of the Residents in Sensitive Tourism Destinations. J. Vacat. Mark. 2022, 29, 291–308. [Google Scholar] [CrossRef]
- Pipinos, G.; Fokiali, P. An Assessment of the Attitudes of the Inhabitants of Northern Karpathos, Greece: Towards a Framework for Ecotourism Development in Environmentally Sensitive Areas: An Ecotourism Framework in Environmentally Sensitive Areas. Environ. Dev. Sustain. 2009, 11, 655–675. [Google Scholar] [CrossRef]
- Yayla, Ö.; Keskin, E.; Keles, H. The Relationship between Environmental Sensitivity, Ecological Attitude, and the Ecological Product Purchasing Behaviour of Tourists. Eur. J. Tour. Hosp. Recreat. 2022, 12, 31–45. [Google Scholar] [CrossRef]
- Han, H.; Yu, J.; Kim, W. Investigating Airline Customers’ Decision-Making Process for Emerging Environmentally-Responsible Electric Airplanes: Influence of Gender and Age. Tour. Manag. Perspect. 2019, 31, 85–94. [Google Scholar] [CrossRef]
- Iqbal, Q.; Hassan, S.H.; Akhtar, S.; Khan, S. Employee’s Green Behavior for Environmental Sustainability: A Case of Banking Sector in Pakistan. World J. Sci. Technol. Sustain. Dev. 2018, 15, 118–130. [Google Scholar] [CrossRef]
- MacKenzie, S.B.; Podsakoff, P.M.; Fetter, R. The Impact of Organizational Citizenship Behavior on Evaluations of Salesperson Performance. J. Mark. 1993, 57, 70–80. [Google Scholar] [CrossRef]
- Brislin, R.W. Comparative Research Methodology: Cross-Cultural Studies. Int. J. Psychol. 1976, 11, 215–229. [Google Scholar] [CrossRef]
- GhulamRabbany, M.; Afrin, S.; Rahman, A.; Islam, F.; Hoque, F. Environmental Effects of Tourism. Am. J. Environ. Energy Power Res. 2013, 1, 117–130. [Google Scholar]
- Erdem, B. Otel İşletmelerinde İnsan Kaynakları Planlamasının Yeri ve Önemi. Balıkesir Üniv. Sos. Bilim. Enst. Derg. 2004, 7, 35–55. [Google Scholar]
- AKTOB. Mediterranean Touristic Hoteliers & Investors Association, Antalya/Manavgat Bed Capacity. 2022. Available online: https://aktob.org.tr/news (accessed on 13 January 2023).
- Yamane, T. Problems to Accompany “Statistics, an Introductory Analysis”; Harper & Row: New York, NY, USA, 1967. [Google Scholar]
- Nunnally, J.C. Psychometric Theory, 2nd ed.; McGraw: New York, NY, USA, 1978. [Google Scholar]
- Cooper, B.; Eva, N.; Fazlelahi, F.Z.; Newman, A.; Lee, A.; Obschonka, M. Addressing Common Method Variance and Endogeneity in Vocational Behavior Research: A Review of the Literature and Suggestions for Future Research. J. Vocat. Behav. 2020, 121, 103472. [Google Scholar] [CrossRef]
- Ministry of Culture and Tourism. Tourism Statistics. 2022. Available online: https://yigm.ktb.gov.tr/TR-9851/turizm-istatistikleri.html (accessed on 15 December 2022).
- Hair, J.F. Multivariate Data Analysis; KSU Libraries Publication: Kennesaw, GA, USA, 2009. [Google Scholar]
- Kline, R.B. Principles and Practice of Structural Equation Modeling; Guilford Publications: New York, NY, USA, 2015. [Google Scholar]
- Hayes, A.F. PROCESS: A Versatile Computational Tool for Observed Variable Mediation, Moderation, and Conditional Process Modeling. 2012. Available online: http://www.afhayes.com/public/process2012.pdf (accessed on 10 October 2022).
- Kline, R.B. Principles and Practice of Structural Equation Modeling, 3rd ed.; Guilford: New York, NY, USA, 2011. [Google Scholar]
- Hair Jr, J.F.; Matthews, L.M.; Matthews, R.L.; Sarstedt, M. PLS-SEM or CB-SEM: Updated Guidelines on Which Method to Use. Int. J. Multivar. Data Anal. 2017, 1, 107–123. [Google Scholar] [CrossRef]
- Fornell, C.; Larcker, D.F. Evaluating Structural Equation Models with Unobservable Variables and Measurement Error. J. Mark. Res. 1981, 18, 39–50. [Google Scholar] [CrossRef]
- Lee, H. The Role of Environmental Uncertainty, Green HRM and Green SCM in Influencing Organizations Energy Efficacy and Environmental Performance. Int. J. Energy Econ. Policy 2020, 10, 332–339. [Google Scholar] [CrossRef]
- Deshwal, P. Green HRM: An Organizational Strategy of Greening People. Int. J. Appl. Res. 2015, 1, 176–181. [Google Scholar]
- Jia, J.; Liu, H.; Chin, T.; Hu, D. The Continuous Mediating Effects of GHRM on Employees’ Green Passion via Transformational Leadership and Green Creativity. Sustainability 2018, 10, 3237. [Google Scholar] [CrossRef]
- Likhitkar, P.; Verma, P. Impact of Green HRM Practices on Organization Sustainability and Employee Retention. Int. J. Innov. Res. Multidiscip. Field 2017, 3, 152–157. [Google Scholar]
- Prasad, R.S. Green HRM-Partner in Sustainable Competitive Growth. J. Manag. Sci. Technol. 2013, 1, 15–18. [Google Scholar]
- Nisar, Q.A.; Haider, S.; Ali, F.; Jamshed, S.; Ryu, K.; Gill, S.S. Green Human Resource Management Practices and Environmental Performance in Malaysian Green Hotels: The Role of Green Intellectual Capital and pro-Environmental Behavior. J. Clean. Prod. 2021, 311, 127504. [Google Scholar] [CrossRef]
- Tahir, R.; Athar, M.R.; Afzal, A. The Impact of Greenwashing Practices on Green Employee Behaviour: Mediating Role of Employee Value Orientation and Green Psychological Climate. Cogent Bus. Manag. 2020, 7, 1781996. [Google Scholar] [CrossRef]
- Saeed, B.B.; Afsar, B.; Hafeez, S.; Khan, I.; Tahir, M.; Afridi, M.A. Promoting Employee’s Proenvironmental Behavior through Green Human Resource Management Practices. Corp. Soc. Responsib. Environ. Manag. 2019, 26, 424–438. [Google Scholar] [CrossRef]
- Bala, R.; Singh, S.; Sharma, K.K. Relationship between Environmental Knowledge, Environmental Sensitivity, Environmental Attitude and Environmental Behavioural Intention—A Segmented Mediation Approach. Manag. Environ. Qual. Int. J. 2023, 34, 119–136. [Google Scholar] [CrossRef]
- Tiwari, P. Analysing Green Self-Efficacy and Green Altruism of Millennials Customers toward Green Purchases through the Lens of the Theory of Planned Behaviour. Public Organ. Rev. 2022, 1–17. [Google Scholar] [CrossRef]
- Roscoe, S.; Subramanian, N.; Jabbour, C.J.; Chong, T. Green Human Resource Management and the Enablers of Green Organisational Culture: Enhancing a Firm’s Environmental Performance for Sustainable Development. Bus. Strat. Environ. 2019, 28, 737–749. [Google Scholar] [CrossRef]
- Shah, S.M.A.; Jiang, Y.; Wu, H.; Ahmed, Z.; Ullah, I.; Adebayo, T.S. Linking Green Human Resource Practices and Environmental Economics Performance: The Role of Green Economic Organizational Culture and Green Psychological Climate. Int. J. Environ. Res. Public Health 2021, 18, 10953. [Google Scholar] [CrossRef] [PubMed]
- Stankevičiūtė, Ž.; Savanevičienė, A. Designing Sustainable HRM: The Core Characteristics of Emerging Field. Sustainability 2018, 10, 4798. [Google Scholar] [CrossRef]
- Daily, B.F.; Bishop, J.W.; Massoud, J.A. The Role of Training and Empowerment in Environmental Performance: A Study of the Mexican Maquiladora Industry. Int. J. Oper. Prod. Manag. 2012, 32, 631–647. [Google Scholar] [CrossRef]
- Jabbour, C.J.C. Environmental Training in Organisations: From a Literature Review to a Framework for Future Research. Resour. Conserv. Recycl. 2013, 74, 144–155. [Google Scholar] [CrossRef]
- Urbano, D.; Yordanova, D. Determinants of the Adoption of HRM Practices in Tourism SMEs in Spain: An Exploratory Study. Serv. Bus. 2008, 2, 167–185. [Google Scholar] [CrossRef]
- Gupta, H. Assessing Organizations Performance on the Basis of GHRM Practices Using BWM and Fuzzy TOPSIS. J. Environ. Manag. 2018, 226, 201–216. [Google Scholar] [CrossRef]
- Zhang, Y.; Luo, Y.; Zhang, X.; Zhao, J. How Green Human Resource Management Can Promote Green Employee Behavior in China: A Technology Acceptance Model Perspective. Sustainability 2019, 11, 5408. [Google Scholar] [CrossRef]
- Eriksen, S.; Aldunce, P.; Bahinipati, C.S.; Martins, R.D.; Molefe, J.I.; Nhemachena, C.; O’brien, K.; Olorunfemi, F.; Park, J.; Sygna, L. When Not Every Response to Climate Change Is a Good One: Identifying Principles for Sustainable Adaptation. Clim. Dev. 2011, 3, 7–20. [Google Scholar] [CrossRef]
- Moscardo, G.; Murphy, L. There Is No Such Thing as Sustainable Tourism: Re-Conceptualizing Tourism as a Tool for Sustainability. Sustainability 2014, 6, 2538–2561. [Google Scholar] [CrossRef]
- Adubor, N.V.; Adeniji, A.A.; Salau, O.P.; Olajugba, O.J.; Onibudo, G.O. Exploring Green Human Resource Adoption and Corporate Sustainability in Nigerian Manufacturing Industry. Sustainability 2022, 14, 12635. [Google Scholar] [CrossRef]
- Zhu, S.; Wu, Y.; Shen, Q. How Environmental Knowledge and Green Values Affect the Relationship between Green Human Resource Management and Employees’ Green Behavior: From the Perspective of Emission Reduction. Processes 2022, 10, 38. [Google Scholar] [CrossRef]
- Carollo, L.; Guerci, M. Employee Control, Ethics and Politics—GHRM in Context. In Contemporary Developments in Green Human Resource Management Research; Routledge: Abingdon, UK, 2018; pp. 97–115. [Google Scholar]
- Shen, J.; Chanda, A.; D’netto, B.; Monga, M. Managing Diversity through Human Resource Management: An International Perspective and Conceptual Framework. Int. J. Hum. Resour. Manag. 2009, 20, 235–251. [Google Scholar] [CrossRef]
- Hutomo, A.; Marditama, T.; Limakrisna, N.; Sentosa, I.; Yew, J.L.K. Green Human Resource Management, Customer Environmental Collaboration and the Enablers of Green Employee Empowerment: Enhanching an Environmental Performance. Dinasti Int. J. Econ. Financ. Account. 2020, 1, 358–372. [Google Scholar]



| n | % | ||
|---|---|---|---|
| Gender | Male | 252 | 62.1 |
| Female | 154 | 37.9 | |
| Age | 18–25 | 126 | 31.0 |
| 26–34 | 146 | 26.0 | |
| 35–45 | 106 | 26.1 | |
| 46–54 | 22 | 5.4 | |
| 55 and above | 6 | 1.5 | |
| Marital Status | Single | 146 | 36.0 |
| Married | 260 | 64.0 | |
| Education Level | Primary School | 46 | 11.3 |
| Secondary School | 140 | 34.5 | |
| Associate’s/Bachelor’s Degree | 190 | 46.8 | |
| Graduate School | 30 | 7.4 | |
| Occupational Experience | 1–5 years | 218 | 53.7 |
| 6–10 years | 90 | 22.2 | |
| 11–15 years | 58 | 14.3 | |
| 16–20 years | 28 | 6.9 | |
| 21 and above | 12 | 3.0 |
| Factors/Items | Standard Loading | t-Value | R2 | CR | AVE | CA |
|---|---|---|---|---|---|---|
| Green Human Research Management | ||||||
| Green recruitment and selection (GRS) | 0.912 | 0.770 | 0.929 | |||
| GRS1 | 0.837 | 0.70 | ||||
| GRS2 | 0.818 | 20.18 * | 0.66 | |||
| GRS3 | 0.938 | 25.35 * | 0.88 | |||
| GRS4 | 0.913 | 24.26 * | 0.83 | |||
| Green training (GT) | 0.890 | 0.619 | 0.889 | |||
| GT1 | 0.801 | 0.64 | ||||
| GT2 | 0.858 | 19.08 * | 0.73 | |||
| GT3 | 0.780 | 16.97 * | 0.60 | |||
| GT4 | 0.724 | 15.44 * | 0.52 | |||
| GT5 | 0.765 | 16.56 * | 0.58 | |||
| Green performance management (GPM) | 0.918 | 0.791 | 0.919 | |||
| GPM1 | 0.924 | 0.85 | ||||
| GPM2 | 0.915 | 29.45 * | 0.83 | |||
| GPM3 | 0.826 | 23.92 * | 0.68 | |||
| Green pay and reward (GPR) | 0.875 | 0.701 | 0.879 | |||
| GPR1 | 0.869 | 0.75 | ||||
| GPR2 | 0.822 | 19.97 * | 0.68 | |||
| GPR3 | 0.820 | 19.92 * | 0.67 | |||
| Green Psychological Climate (GPC) | 0.819 | 0.603 | 0.793 | |||
| GPC1 | 0.784 | 0.61 | ||||
| GPC2 | 0.852 | 16.58 * | 0.72 | |||
| GPC3 | 0.686 | 13.67 * | 0.47 | |||
| Environmentally Green Behavior (EGB) | 0.754 | 0.573 | 0.859 | |||
| EGB1 | 0.819 | 0.67 | ||||
| EGB2 | 0.755 | 17.11 * | 0.57 | |||
| EGB3 | 0.643 | 13.92 * | 0.41 | |||
| EGB4 | 0.799 | 18.36 * | 0.63 | |||
| Environmental Sensitivity (ES) | 0.943 | 0.848 | 0.943 | |||
| ES1 | 0.906 | 0.82 | ||||
| ES2 | 0.922 | 30.37 * | 0.85 | |||
| ES3 | 0.935 | 31.82 * | 0.87 | |||
| Altruism (ALT) | 0.911 | 0.774 | 0.909 | |||
| ALT1 | 0.899 | 0.81 | ||||
| ALT2 | 0.920 | 28.65 * | 0.84 | |||
| ALT3 | 0.818 | 22.40 * | 0.67 |
| Factor | 1 | 2 | 3 | 4 | 5 | 6 | 7 | 8 |
|---|---|---|---|---|---|---|---|---|
| 1. GRS | 0.877 a | |||||||
| 2. GT | 0.533 | 0.786 a | ||||||
| 3. GPM | 0.040 | 0.060 | 0.889 a | |||||
| 4. GPR | 0.091 | 0.014 | 0.384 | 0.837 a | ||||
| 5. GPC | 0.130 | 0.080 | 0.145 | 0.507 | 0.776 a | |||
| 6. EGB | 0.082 | 0.062 | 0.450 | 0.674 | 0.464 | 0.756 a | ||
| 7. ES | 0.107 | 0.105 | 0.315 | 0.454 | 0.453 | 0.505 | 0.920 a | |
| 8. ALT | 0.070 | 0.061 | 0.427 | 0.625 | 0.483 | 0.702 | 0.649 | 0.879 a |
| Employee Green Behavior | |||||||
|---|---|---|---|---|---|---|---|
| Confidence Interval | |||||||
| H3 | Min. | Max. | |||||
| Green psychological climate (X) | 0.18 ** | 0.113 | 0.289 | ||||
| Altruism (W) | 0.40 ** | 0.151 | 0.663 | ||||
| X.W (Interaction) | 0.06 ** | 0.002 | 0.117 | ||||
| R2 | 0.65 | ||||||
| Altruism | S.E. | t | LLCI | ULCI | |||
| Low: | 0.11 ** | 0.03 | 3.03 | 0.039 | 0.184 | ||
| Middle: | 0.15 * | 0.04 | 3.59 | 0.068 | 0.234 | ||
| High: | 0.21 * | 0.06 | 3.42 | 0.090 | 0.333 | ||
| Employee green behavior | |||||||
| Confidence Interval | |||||||
| H4 | Min. | Max. | |||||
| Green psychological climate (X) | 0.50 * | 0.219 | 0.320 | ||||
| Environmental sensitivity (W) | 0.21 ** | 0.092 | 0.334 | ||||
| X.W (Interaction) | 0.10 ** | 0.006 | 0.150 | ||||
| R2 | 0.33 | ||||||
| Environmental sensitivity | S.E. | t | LLCI | ULCI | |||
| Low: | 0.30 * | 0.05 | 5.99 | 0.205 | 0.405 | ||
| Middle: | 0.36 * | 0.05 | 6.80 | 0.259 | 0.469 | ||
| High: | 0.44 * | 0.07 | 5.93 | 0.296 | 0.590 | ||
| Hypothesis | Results |
|---|---|
Green recruitment and selection Green Psychological Climate | Rejected |
Green training Green Psychological Climate | Supported |
Green performance management Green Psychological Climate | Supported |
Green pay and reward Green Psychological Climate | Supported |
Green Psychological Climate Environmentally Green Behavior | Supported |
Green Psychological Climate × Environmental Sensitivity Environmentally Green Behavior | Supported |
Green Psychological Climate × Altruism Environmentally Green Behavior | Supported |
Disclaimer/Publisher’s Note: The statements, opinions and data contained in all publications are solely those of the individual author(s) and contributor(s) and not of MDPI and/or the editor(s). MDPI and/or the editor(s) disclaim responsibility for any injury to people or property resulting from any ideas, methods, instructions or products referred to in the content. |
© 2023 by the authors. Licensee MDPI, Basel, Switzerland. This article is an open access article distributed under the terms and conditions of the Creative Commons Attribution (CC BY) license (https://creativecommons.org/licenses/by/4.0/).
Share and Cite
Uslu, F.; Keles, A.; Aytekin, A.; Yayla, O.; Keles, H.; Ergun, G.S.; Tarinc, A. Effect of Green Human Resource Management on Green Psychological Climate and Environmental Green Behavior of Hotel Employees: The Moderator Roles of Environmental Sensitivity and Altruism. Sustainability 2023, 15, 6017. https://doi.org/10.3390/su15076017
Uslu F, Keles A, Aytekin A, Yayla O, Keles H, Ergun GS, Tarinc A. Effect of Green Human Resource Management on Green Psychological Climate and Environmental Green Behavior of Hotel Employees: The Moderator Roles of Environmental Sensitivity and Altruism. Sustainability. 2023; 15(7):6017. https://doi.org/10.3390/su15076017
Chicago/Turabian StyleUslu, Fatih, Ali Keles, Arif Aytekin, Ozgur Yayla, Huseyin Keles, Gozde Seval Ergun, and Abdullah Tarinc. 2023. "Effect of Green Human Resource Management on Green Psychological Climate and Environmental Green Behavior of Hotel Employees: The Moderator Roles of Environmental Sensitivity and Altruism" Sustainability 15, no. 7: 6017. https://doi.org/10.3390/su15076017
APA StyleUslu, F., Keles, A., Aytekin, A., Yayla, O., Keles, H., Ergun, G. S., & Tarinc, A. (2023). Effect of Green Human Resource Management on Green Psychological Climate and Environmental Green Behavior of Hotel Employees: The Moderator Roles of Environmental Sensitivity and Altruism. Sustainability, 15(7), 6017. https://doi.org/10.3390/su15076017








