Anaerobic Digestion of Poultry Droppings in Semi-Continuous Mode and Effect of Their Co-Digestion with Physico-Chemical Sludge on Methane Yield
Abstract
1. Introduction
2. Materials and Methods
2.1. Substrate and Inoculum Preparation
2.2. Physico-Chemical Analyses
2.3. Van Soest Fractionation
- -
- Neutral detergent solution (NDS): disodium phosphate (4.5 g∙L−1), sodium tetraborate (6.81 g∙L−1), α-amylase (0.25 g∙L−1), sodium EDTA (18.6 g∙L−1), sodium lauryl sulfate (30 g∙L−1) and sodium sulfite (5 g∙L−1).
- -
- Acidic detergent solution (ADS): 20 g∙L−1 trimethylketylammonium bromide and 98 g∙L−1 H2SO4.
- -
- Sulfuric acid solution (ASS): 1317 g∙L−1 of sulfuric acid.
2.4. Lipid Determination (Soxhlet Method)
2.5. First Experiment of AD in Semi-Continuous Mode (Experiment 1, E1)
2.5.1. Description and Operating Principle of the CSAD Reactor
2.5.2. Experimental Conditions: Methane Production by Poultry Droppings in the First Experiment (E1)
2.6. Second Experiment of AD in Semi-Continuous Mode (Experiment 2, E2)
2.6.1. Description and Operating Principle of 2 L Reactors
2.6.2. Experimental Conditions: Evaluation of the Co-Digestion of Poultry Droppings with Physico-Chemical Sludge on Semi-Continuous Methane Production in the Second Experiment (E2)
2.7. Analytical Methods for Digester Monitoring
2.7.1. pH
2.7.2. Determination of Total Nitrogen and Phosphorus
2.7.3. Determination of the FOS/TAC Ratio (Free Organic Acids/Complete Alkalimetric Titration)
2.8. Analysis of Biogas Composition Using a GEOTECH 5000/QED
2.9. Evaluation of the Biochemical Components Reduction Rate of the Input and the Final Product
3. Results
3.1. Experiment 1: Mesophilic AD of Poultry Droppings in a 12-Liter Semi-Continuous Stirred Anaerobic Digester (CSAD)
3.1.1. Characteristics of the Substrate
3.1.2. Biogas and Methane Production during E1
3.1.3. Handling Monitoring and Stability Factors
3.1.4. Determination of the Input and Final Product’s Biochemical Fractions and the Respective Reduction Rates
3.2. Experiment 2: Study of the Impact of the Co-Digestion of Poultry Droppings with Physico-Chemical Sludge on Methane Yield
3.2.1. Characteristics of Substrates and Inoculum
3.2.2. Semi-Continuous Mode Experiment (2 L Bottles)
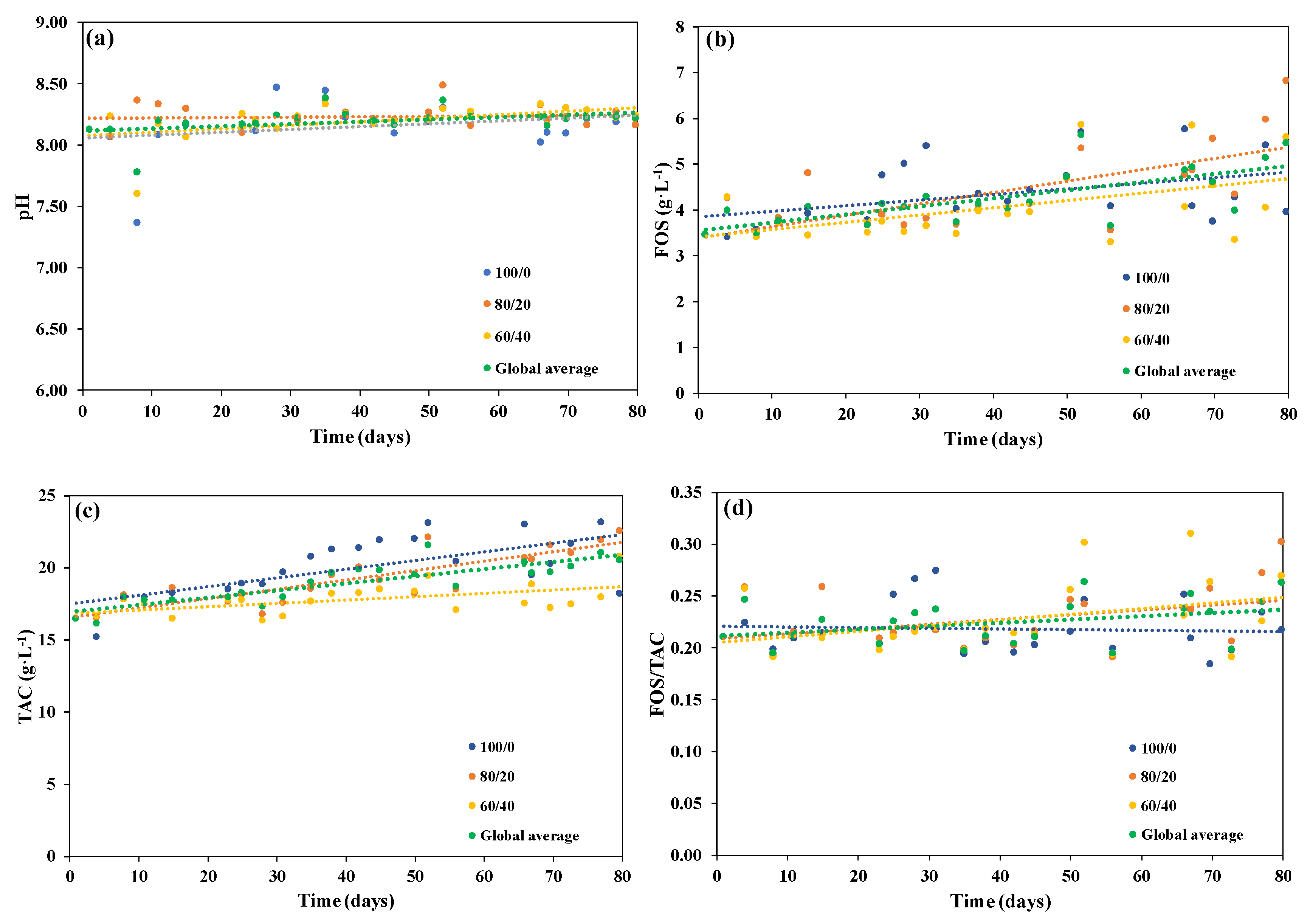
3.2.3. Handling Monitoring and Stability Factors
4. Discussion
4.1. Experiment 1: Mesophilic AD of Poultry Droppings in a 12 L Semi-Continuous Stirred Anaerobic Digester (CSAD)
4.2. Experiment 2: Study of the Impact of the Co-Digestion of Poultry Droppings with Physico-Chemical Sludge on Methane Yield
5. Conclusions
Author Contributions
Funding
Data Availability Statement
Acknowledgments
Conflicts of Interest
References
- ITAVI. Estimation des Rejets D’azote, Phosphore, Potassium, Calcium, Cuivre, Zinc Par Les Elevages Avicoles Mise à Jour Des Références CORPEN_Volailles de 2006. 2013, p. 55. Available online: https://agriculture.gouv.fr/sites/default/files/documents/pdf/sandrinel_Brochure_CORPEN_Volailles_revisee_21_JUIN_2013_DEFINITIVE_cle01d483.pdf (accessed on 28 March 2020).
- ADEME. Fientes de Volailles. Les Sols Vivants BIO-ADEME Matière Org. Fiche Numéro 19 2012, 19, 4. [Google Scholar]
- Gomgnimbou, A.P.K.; Bandaogo, A.A.; Kalifa, C.; Sanon, A.; Ouattara, S.; Nacro, H.B. Effets à Court Terme de l’application Des Fientes de Volaille Sur Le Rendement Du Maïs (Zea mays L.) et Les Caractéristiques Chimiques d’un Sol Ferralitique Dans La Zone Sud-Soudanienne Du Burkina Faso. Int. J. Biol. Chem. Sci. 2019, 13, 2041. [Google Scholar] [CrossRef]
- Orlando, M.Q.; Borja, V.M. Pretreatment of Animal Manure Biomass to Improve Biogas Production: A Review. Energies 2020, 13, 3573. [Google Scholar] [CrossRef]
- Khan, M.U.; Ahmad, M.; Sultan, M.; Sohoo, I.; Ghimire, P.C.; Zahid, A.; Sarwar, A.; Farooq, M.; Sajjad, U.; Abdeshahian, P.; et al. Biogas Production Potential from Livestock Manure in Pakistan. Sustainability 2021, 13, 6751. [Google Scholar] [CrossRef]
- Richards, D.; Yabar, H. Potential of Renewable Energy in Jamaica’s Power Sector: Feasibility Analysis of Biogas Production for Electricity Generation. Sustainability 2022, 14, 6457. [Google Scholar] [CrossRef]
- Ribeiro, E.M.; Mambeli Barros, R.; Tiago Filho, G.L.; dos Santos, I.F.S.; Sampaio, L.C.; dos Santos, T.V.; da Silva, F.D.; Silva, A.P.M.; de Freitas, J.V.R. Feasibility of Biogas and Energy Generation from Poultry Manure in Brazil. Waste Manag. Res. 2018, 36, 221–235. [Google Scholar] [CrossRef]
- Mansour, M.N.; Lendormi, T.; Drévillon, L.; Naji, A.; Louka, N.; Maroun, R.G.; Hobaika, Z.; Lanoisellé, J.L. Influence of substrate/inoculum ratio, inoculum source and ammonia inhibition on anaerobic digestion of poultry waste. Environ. Technol. 2022, 1–14. [Google Scholar] [CrossRef]
- Saratale, G.D.; Saratale, R.G.; Rajesh Banu, J.; Chang, J.-S. Biohydrogen Production from Renewable Biomass Resources. In Biomass, Biofuels, Biochemicals: Biohydrogen, 2nd ed.; Elsevier: Amsterdam, The Netherlands, 2019; pp. 247–277. [Google Scholar] [CrossRef]
- Mao, C.; Feng, Y.; Wang, X.; Ren, G. Review on research achievements of biogas from anaerobic digestion. Renew. Sustain. Energy Rev. 2015, 45, 540–555. [Google Scholar] [CrossRef]
- Gómez, D.; Ramos-Suárez, J.L.; Fernández, B.; Muñoz, E.; Tey, L.; Romero-Güiza, M.; Hansen, F. Development of a Modified Plug-Flow Anaerobic Digester for Biogas Production from Animal Manures. Energies 2019, 12, 2628. [Google Scholar] [CrossRef]
- Usack, J.G.; Spirito, C.M.; Angenent, L.T. Continuously-Stirred Anaerobic Digester to Convert Organic Wastes into Biogas: System Setup and Basic Operation. J. Vis. Exp. 2012, 65, e3978. [Google Scholar]
- Sánchez Nocete, E.; Pérez Rodríguez, J. A Simple Methodology for Estimating the Potential Biomethane Production in a Region: Application in a Case Study. Sustainability 2022, 14, 15978. [Google Scholar] [CrossRef]
- Dhungana, B.; Lohani, S.P.; Marsolek, M. Anaerobic Co-Digestion of Food Waste with Livestock Manure at Ambient Temperature: A Biogas Based Circular Economy and Sustainable Development Goals. Sustainability 2022, 14, 3307. [Google Scholar] [CrossRef]
- Abouelenien, F.; Namba, Y.; Nishio, N.; Nakashimada, Y. Dry Co-Digestion of Poultry Manure with Agriculture Wastes. Appl. Biochem. Biotechnol. 2015, 178, 932–946. [Google Scholar] [CrossRef] [PubMed]
- Bres, P.A.; Beily, M.E.; Young, B.J.; Gasulla, J.; Butti, M.; Crespo, D.; Candal, R.; Komilis, D.P. Performance of Semi-Continuous Anaerobic Co-Digestion of Poultry Manure with Fruit and Vegetable Waste and Analysis of Digestate Quality: A Bench Scale Study. J. Waste Manag. 2018, 82, 276–284. [Google Scholar] [CrossRef] [PubMed]
- Divya, D.; Gopinath, L.R.; Merlin Christy, P. A Review on Current Aspects and Diverse Prospects for Enhancing Biogas Production in Sustainable Means. Renew. Sustain. Energy Rev. 2015, 42, 690–699. [Google Scholar] [CrossRef]
- Borowski, S.; Domański, J.; Weatherley, L. Anaerobic Co-Digestion of Swine and Poultry Manure with Municipal Sewage Sludge. J. Waste Manag. 2014, 34, 513–521. Available online: http://www.sciencedirect.com/science/article/pii/S0956053X13005084 (accessed on 3 April 2020). [CrossRef] [PubMed]
- Li, Y.; Chen, Y.; Wu, J. Enhancement of Methane Production in Anaerobic Digestion Process: A Review. Appl. Energy 2019, 240, 120–137. Available online: http://www.sciencedirect.com/science/article/pii/S0306261919302715 (accessed on 20 March 2020). [CrossRef]
- Cresson, R. Méthanisation de La Biomasse. Tech. L’ingénieur 2017, 33. [Google Scholar] [CrossRef]
- Mirmohamadsadeghi, S.; Karimi, K.; Tabatabaei, M.; Aghbashlo, M. Biogas Production from Food Wastes: A Review on Recent Developments and Future Perspectives. Bioresour. Technol. Rep. 2019, 7, 100202. [Google Scholar] [CrossRef]
- Abouelenien, F.; Fujiwara, W.; Namba, Y.; Kosseva, M.; Nishio, N.; Nakashimada, Y. Improved Methane Fermentation of Chicken Manure via Ammonia Removal by Biogas Recycle. Bioresour. Technol. 2010, 101, 6368–6373. [Google Scholar] [CrossRef]
- El Achkar, J.H.; Lendormi, T.; Hobaika, Z.; Salameh, D.; Louka, N.; Maroun, R.G.; Lanoisellé, J.-L. Anaerobic Digestion of Grape Pomace: Biochemical Characterization of the Fractions and Methane Production in Batch and Continuous Digesters. J. Waste Manag. 2016, 50, 275–282. [Google Scholar] [CrossRef] [PubMed]
- Astals, S.; Koch, K.; Weinrich, S.; Hafner, S.D.; Tait, S.; Peces, M. Impact of Storage Conditions on the Methanogenic Activity of Anaerobic Digestion Inocula. Water 2020, 12, 1321. [Google Scholar] [CrossRef]
- ISO Standard No. NF ISO 11465; Soil quality—Determination of Dry Matter and Water Content on a Mass Basis—Gravimetric Method. International Organization for Standardization: Geneva, Switzerland, 1993. Available online: https://www.iso.org/standard/20886.html (accessed on 15 March 2023).
- No. NT U 44-160; Organic Soil Conditioners and Organic Material for Soil Improvement. Determination of Total Organic Matter. Afnor Standard. Calcination Method; AFNOR: Paris, France, 1985.
- Van Soest, P.J.; Robertson, J.B.; Lewis, B.A. Methods for Dietary Fiber, Neutral Detergent Fiber, and Nonstarch Polysaccharides in Relation to Animal Nutrition. J. Dairy Sci. 1991, 74, 3583–3597. [Google Scholar] [CrossRef]
- AOAC Standards. Crude Fat in Feeds, Cereal Grains, and Forages (Official Method 2003.05); AOAC: Rockville, MD, USA, 2003. [Google Scholar]
- Guillaume, S.; Lendormi, T. Anaerobic Co-Digestion of Dairy Cattle Slurry and Agro-Industrial Fats: Effect of Fat Ratio on the Digester Efficiency. Can. J. Chem. Eng. 2015, 93, 304–308. [Google Scholar] [CrossRef]
- Labatut, R.A.; Pronto, J.L. Chapter 4: Sustainable Waste-to-Energy Technologies: Anaerobic Digestion. In Sustainable Food Waste-to-Energy Systems; Elsevier Inc.: Amsterdam, The Netherlands, 2018. [Google Scholar] [CrossRef]
- El Achkar, J.H.; Lendormi, T.; Salameh, D.; Louka, N.; Maroun, R.G.; Lanoisellé, J.-L.; Hobaika, Z. Anaerobic Digestion of Grape Pomace: Effect of the Hydraulic Retention Time on Process Performance and Fibers Degradability. J. Waste Manag. 2018, 71, 137–146. [Google Scholar] [CrossRef]
- Rajeshwari, K.V.; Balakrishnan, M.; Kansal, A.; Lata, K.; Kishore, V.V.N. State-of-theart of anaerobic digestion technology for industrial wastewater treatment. Renew. Sustain. Energy Rev. 2000, 4, 135–156. [Google Scholar] [CrossRef]
- Murto, M.; Björnsson, L.; Mattiasson, B. Impact of food industrial waste on anaerobic co-digestion of sewage sludge and pig manure. J. Environ. Manag. 2004, 70, 101–107. [Google Scholar] [CrossRef]
- Aboudi, K.; Álvarez-Gallego, C.J.; Romero-García, L.I. Semi-continuous anaerobic codigestion of sugar beet byproduct and pig manure: Effect of the organic loading rate (OLR) on process performance. Bioresour. Technol. 2015, 194, 283–290. [Google Scholar] [CrossRef]
- Moletta, R. La méthanisation, 3rd ed.; Tec&Doc, Lavoisier: Paris, France, 2015; 513p. [Google Scholar]
- ISO Standard No. EN ISO 11905-1; Water Quality—Determination of Nitrogen—Part 1: Method Using Oxidative Digestion with Peroxodisulfate. International Organization for Standardization: Geneva, Switzerland, 1997. Available online: https://www.iso.org/standard/2155.html (accessed on 15 March 2023).
- DIN 38405-9; German Standard Methods for Examination of Water, Waste Water and Sludge—Anions (Group D)—Part 9: Spectrometric Determination of Nitrate (D 9). Deutsches Institut fur Normung E.V.: Berlin, Germany, 2011.
- ISO Standard No. EN ISO 6878; Water Quality—Determination of Phosphorus—Ammonium Molybdate Spectrometric Method. International Organization for Standardization: Geneva, Switzerland, 2004. Available online: https://www.iso.org/standard/36917.html (accessed on 15 March 2023).
- Mézes, L.; Tamas, J.; Borbely, J. Novel Approach of the Basis of FOS/TAC Method. Conference of International Symposia” Risk Factors for Environment and Food Safety” &” Natural Resources and Sustainable Development” & ”50 Years of Agriculture Research in Oradea; University of Debrecen: Debrecen, Hungary, 2011; pp. 803–807. [Google Scholar]
- Yadvika, S.; Sreekrishnan, T.R.; Kohli, S.; Rana, V. Enhancement of biogas production from solid substrates using different techniques—A review. Bioresour. Technol. 2004, 95, 1–10. [Google Scholar] [CrossRef]
- Liu, X.; André, L.; Mercier-Huat, M.; Grosmaître, J.-M.; Pauss, A.; Ribeiro, T. Accurate Estimation of Bicarbonate and Acetic Acid Concentrations with Wider Ranges in Anaerobic Media Using Classical FOS/TAC Titration Method. Appl. Sci. 2021, 11, 11843. [Google Scholar] [CrossRef]
- Vanegas, M.; Romani, F.; Jiménez, M. Pilot-Scale Anaerobic Digestion of Pig Manure with Thermal Pretreatment: Stability Monitoring to Improve the Potential for Obtaining Methane. Processes 2022, 10, 1602. [Google Scholar] [CrossRef]
- Levasseur, P. Gestion et Traitement Des Digestats Issus de Methanisation. 11 Fiches «Procédés»: Épandage, Transport, Séchage, Séparation de Phases, Compostage, Filtration, Traitement Biologique, Evaporation, Stripping; Projet Meterri; Chambre d’agriculture Bretagne: Bretagne, France, 2017. [Google Scholar]
- Rahman, M.A.; Møller, H.B.; Saha, C.K.; Alam, M.M.; Wahid, R.; Feng, L. Anaerobic Co-Digestion of Poultry Droppings and Briquetted Wheat Straw at Mesophilic and Thermophilic Conditions: Influence of Alkali Pretreatment. Renew. Energy 2018, 128, 241–249. [Google Scholar] [CrossRef]
- Wedwitschka, H.; Ibanez, D.G.; Schäfer, F.; Jenson, E.; Nelles, M. Material Characterization and Substrate Suitability Assessment of Chicken Manure for Dry Batch Anaerobic Digestion Processes. J. Bioeng. 2020, 7, 106. [Google Scholar] [CrossRef]
- Bi, S.; Qiao, W.; Xiong, L.; Mahdy, A.; Wandera, S.M.; Yin, D.; Dong, R. Improved High Solid Anaerobic Digestion of Chicken Manure by Moderate in Situ Ammonia Stripping and Its Relation to Metabolic Pathway. Renew. Energy 2020, 146, 2380–2389. [Google Scholar] [CrossRef]
- Salminen, E.; Rintala, J. Anaerobic Digestion of Organic Solid Poultry Slaughterhouse Waste—A Review. Bioresour. Technol. 2002, 83, 13–26. Available online: http://www.sciencedirect.com/science/article/pii/S0960852401001997 (accessed on 25 April 2020). [CrossRef] [PubMed]
- Ruffino, B.; Fiore, S.; Roati, C.; Campo, G.; Novarino, D.; Zanetti, M. Scale effect of anaerobic digestion tests in fed-batch and semi-continuous mode for the technical and economic feasibility of a full-scale digester. Bioresour. Technol. 2015, 182, 302–313. [Google Scholar] [CrossRef] [PubMed]
- Sawyerr, N.; Trois, C.; Workneh, T.; Okudoh, V. An overview of Biogas Production: Fundamentals, Applications and Future Research. Int. J. Energy Econ. Policy 2019, 9, 105–116. [Google Scholar] [CrossRef]
- Mahdy, A.; Bi, S.; Song, Y.; Qiao, W.; Dong, R. Overcome Inhibition of Anaerobic Digestion of Chicken Manure under Ammonia-Stressed Condition by Lowering the Organic Loading Rate. Bioresour. Technol. Rep. 2020, 9, 100359. [Google Scholar] [CrossRef]
- Babaee, A.; Shayegan, J.; Roshani, A. Anaerobic Slurry Co-Digestion of Poultry Manure and Straw: Effect of Organic Loading and Temperature. J. Environ. Health Sci. Eng. 2013, 11, 1. [Google Scholar] [CrossRef]
- Zhang, C.; Wang, F.; Pei, M.; Qiu, L.; Yao, Y.; Qiang, H. Performance of Anaerobic Digestion of Chicken Manure under Gradually Elevated Organic Loading Rates. Int. J. Environ. Res. Public Health 2019, 16, 2239. [Google Scholar]
- Yaldiz, O.; Sozer, S.; Caglayan, N.; Ertekin, C.; Kaya, D. Methane Production from Plant Wastes and Chicken Manure at Different Working Conditions of a One-Stage Anaerobic Digester. Energy Sources A Recovery Util. Environ. Eff. 2011, 33, 1802–1813. [Google Scholar] [CrossRef]
- Liu, X.Y.; Wang, J.J.; Nie, J.M.; Wu, N.; Yang, F.; Yang, R.J. Biogas Production of Chicken Manure by Two-Stage Fermentation Process. E3S Web. Conf. 2018, 38, 01048. [Google Scholar] [CrossRef]
- Dalkilic, K.; Ugurlu, A. Biogas Production from Chicken Manure at Different Organic Loading Rates in a Mesophilic-Thermopilic Two Stage Anaerobic System. J. Biosci. Bioeng. 2015, 120, 315–322. [Google Scholar] [CrossRef] [PubMed]
- Roubík, H.; Mazancová, J.; Le Dinh, P.; Dinh Van, D.; Banout, J. Biogas Quality across Small-Scale Biogas Plants: A Case of Central Vietnam. Energies 2018, 11, 1794. [Google Scholar] [CrossRef]
- Cirad. Transformation Des Déchets Pour Leur Valorisation Agricole, (Diapo 6). Available online: https://agritrop.cirad.fr/569909/2/document_569909.pdf (accessed on 1 July 2022).
- Ahring, B.K.; Sandberg, M.; Angelidaki, I. Volatile fatty acids as indicators of process imbalance in anaerobic digestors. Appl. Microbiol. Biotechnol. 1995, 43, 559–565. [Google Scholar] [CrossRef]
- Vavilin, V.A.; Rytov, S.V.; Lokshina, L.Y. A balance between hydrolysis and methanogenesis during the anaerobic digestion of organic matter. Microbiology 1997, 66, 712–717. [Google Scholar]
- Zhang, Y.; Banks, C.J. Impact of Different Particle Size Distributions on Anaerobic Digestion of the Organic Fraction of Municipal Solid Waste. J. Waste Manag. 2013, 33, 297–307. [Google Scholar] [CrossRef]
- Kafle, G.K.; Kim, S.H. Anaerobic Treatment of Apple Waste with Swine Manure for Biogas Production: Batch and Continuous Operation. Appl. Energy 2013, 103, 61–72. Available online: http://www.sciencedirect.com/science/article/pii/S0306261912007222 (accessed on 20 February 2022). [CrossRef]
- Wang, L.; Shen, F.; Yuan, H.; Zou, D.; Liu, Y.; Zhu, B.; Li, X. Anaerobic Co-Digestion of Kitchen Waste and Fruit/Vegetable Waste: Lab-Scale and Pilot-Scale Studies. J. Waste Manag. 2014, 34, 2627–2633. [Google Scholar] [CrossRef]
- Zhang, L.; Zhang, J.; Loh, K.-C. Activated Carbon Enhanced Anaerobic Digestion of Food Waste—Laboratory-Scale and Pilot-Scale Operation. J. Waste Manag. 2018, 75, 270–279. [Google Scholar] [CrossRef]
- Paranhos, A.G.d.O.; Adarme, O.F.H.; Barreto, G.F.; Silva, S.d.Q.; de Aquino, S.F. Methane Production by Co-Digestion of Poultry Manure and Lignocellulosic Biomass: Kinetic and Energy Assessment. Bioresour. Technol. 2020, 300, 122588. [Google Scholar] [CrossRef] [PubMed]
- Afilal, M.E.; Elasri, O.; Merzak, Z. Caractérisations Des Déchets Organiques et Évaluation Du Potentiel Biogaz (Organic Waste Characterization and Evaluation of Its Potential Biogas). J. Mater. Environ. Sci. 2014, 5, 2014. [Google Scholar]
- Tambone, F.; Genevini, P.; D’Imporzano, G.; Adani, F. Assessing Amendment Properties of Digestate by Studying the Organic Matter Composition and the Degree of Biological Stability during the Anaerobic Digestion of the Organic Fraction of MSW. Bioresour. Technol. 2009, 100, 3140–3142. Available online: http://www.sciencedirect.com/science/article/pii/S0960852409001242 (accessed on 17 August 2022). [CrossRef]
- Mirmohamadsadeghi, S.; Keikhosro, K.; Reza, A.; Laleh, P.Y.; Irini, A.; Abdul-Sattar, N.; Rajeev, B.; Kavya, D.; Virendra Kumar, V.; Mortaza, A.; et al. Pretreatment of lignocelluloses for enhanced biogas production: A review on influencing mechanisms and the importance of microbial diversity. Renew. Sustain. Energy Rev. 2021, 135, 110173. [Google Scholar] [CrossRef]
- Dinuccio, E.; Balsari, P.; Gioelli, F.; Menardo, S. Evaluation of the biogas productivity potential of some Italian agro-industrial biomasses. Bioresour. Technol. 2010, 101, 3780–3783. [Google Scholar] [CrossRef] [PubMed]
- Mottet, A.; François, E.; Latrille, E.; Steyer, J.P.; Déléris, S.; Vedrenne, F.; Carrère, H. Estimating anaerobic biodegradability indicators for waste activated sludge. Chem. Eng. J. 2010, 160, 488–496. [Google Scholar] [CrossRef]
- Carlsson, M.; Lagerkvist, A.; Morgan-Sagastume, F. The Effects of Substrate Pre-Treatment on Anaerobic Digestion Systems: A Review. J. Waste Manag. 2012, 32, 1634–1650. Available online: http://www.sciencedirect.com/science/article/pii/S0956053X12001808 (accessed on 5 February 2023). [CrossRef] [PubMed]
- Kulasinski, K.; Keten, S.; Churakov, S.V.; Derome, D.; Carmeliet, J. A comparative molecular dynamics study of crystalline, paracrystalline and amorphous states of cellulose. Cellulose 2014, 21, 1103–1116. [Google Scholar] [CrossRef]
- Moiceanu, G.; Paraschiv, G.; Voicu, G.; Dinca, M.; Negoita, O.; Chitoiu, M.; Tudor, P. Energy Consumption at Size Reduction of Lignocellulose Biomass for Bioenergy. Sustainability 2019, 11, 2477. [Google Scholar] [CrossRef]
- Oyedeji, O.; Gitman, P.; Qu, J.; Webb, E. Understanding the Impact of Lignocellulosic Biomass Variability on the Size Reduction Process: A Review. ACS Sustain. Chem. Eng. 2020, 8, 2327–2343. [Google Scholar] [CrossRef]
- Rao, V.; Baral, S. Experimental design of mixture for the anaerobic co- digestion of sewage sludge. J. Chem. Eng. 2011, 172, 977–986. [Google Scholar] [CrossRef]
- Esposito, G.; Frunzo, L.; Panico, A.; Pirozzi, F. Enhanced bio-methane production from co-digestion of different organic wastes. Environ. Technol. 2012, 33, 2733–2740. [Google Scholar] [CrossRef]
- Wang, X.; Yang, Y.; Feng, Y.; Ren, G.; Han, X. Optimizing feeding composition and carbon–nitrogen ratios for improved methane yield during anaerobic co- digestion of dairy, chicken manure and wheat straw. Bioresour. Technol. 2012, 120, 78–83. [Google Scholar] [CrossRef]
- Lohani, S.P.; Shakya, S.; Gurung, P.; Dhungana, B.; Paudel, D.; Mainali, B. Anaerobic Co-Digestion of Food Waste, Poultry Litter and Sewage Sludge: Seasonal Performance under Ambient Condition and Model Evaluation. Energy Sources A Recovery Util. Environ. Eff. 2021, 1–16. [Google Scholar] [CrossRef]
- Riaño, B.; Molinuevo, B.; García-González, M.C. Potential for Methane Production from Anaerobic Co-Digestion of Swine Manure with Winery Wastewater. Bioresour. Technol. 2011, 102, 4131–4136. [Google Scholar] [CrossRef] [PubMed]
- Béline, F.; Girault, R.; Nauleau, F.; Bridoux, G. La Co-Digestion Anaérobie Des Boues d’épuration et de Déchets Organiques d’origine Périurbaine. Sci. Eaux Territ. 2013, 12, 54–57. [Google Scholar] [CrossRef]
- Pereira, E.L.; Campos, C.M.M.; Motteran, F. Physicochemical Study of PH, Alkalinity and Total Acidity in a System Composed of Anaerobic Baffled Reactor (ABR) in Series with Upflow Anaerobic Sludge Blanket Reactor (UASB) in the Treatment of Pig Farming Wastewater. Acta Sci. Technol. 2013, 35, 477–483. [Google Scholar] [CrossRef]






| Bottles | Ratios (%OLHD/%PCS) | HRT (Days) | Feed Rate (g∙Days−1) | OLR (gVS∙L−1∙d−1) | Mass of OLHDs Injected per Day (gVS) | Mass of PCS Injected per Day (gVS) | Total vs. Injected per Day (gVS) |
|---|---|---|---|---|---|---|---|
| 1 and 2 | 100/0 | 30 | 66.67 | 2.17 | 4.34 | 0.00 | 4.34 |
| 3 and 4 | 80/20 | 30 | 66.67 | 2.04 | 3.26 | 0.82 | 4.08 |
| 5 and 6 | 60/40 | 30 | 66.67 | 1.92 | 2.31 | 1.54 | 3.85 |
| Reactor volume (L) | 12 |
| Period of operation (days) | 145 |
| HRT (days) | 30 |
| OLR (kg VS·m−3·days−1) | 2.30 |
| Biogas production (Nm3 biogas·Nm−3 reactor·days−1) | 0.791 |
| Methane production (Nm3 CH4·Nm−3 reactor·days−1) | 0.623 |
| Methane content (%) | 79 |
| Methane production (Nm3 CH4·g−1VS) | 0.270 |
| Efficiency compared to batch mode (%) | 82 |
| Value of Digestate | Favorable Range | |
|---|---|---|
| pH | 7.8 ± 0.048 | 7–8.2 |
| TAC (g eq. CaCO3·L−1) | 19.84 ± 0.37 | >4 |
| FOS (g eq. CH3COOH·L−1) | 4.13 ± 0.39 | <2 |
| FOS/TAC | 0.209 ± 0.021 | <0.4 |
| N tot g·kg−1 | 4.33 ± 0.10 | 3.3–8.2 |
| P tot g·kg−1 | 1.50 ± 0.04 | 0.52–1.61 |
| Characteristics | Diluted OLHDs | Raw OLHDs | PCS | Mixture 80 Droppings/20 Sludge | Mixture 60 Droppings/40 Sludge | Inoculum (Le Gros Chêne) |
|---|---|---|---|---|---|---|
| TS (g·kg−1) | 91.70 ± 0.3 | 275.1 ± 0.9 | 56.41 ± 0.66 | 82.95 | 75.19 | 58.43 ± 0.22 |
| VS (g·kg−1) | 65.04 ± 0.21 | 195.1 ± 0.2 | 49.31 ± 0.06 | 61.14 | 57.68 | 37.03 ± 0.26 |
| Substrate | 100/0 | 80/20 | 60/40 |
|---|---|---|---|
| Reactor volume (L) | 2 | 2 | 2 |
| Period of operation (days) | 80 | 80 | 80 |
| HRT (days) | 30 | 30 | 30 |
| OLR (gVS·L−1·days−1) | 2.17 | 2.04 | 1.92 |
| Methane flow rate (Nm3·m−3 reactor·days−1) | 0.423 | 0.579 | 0.652 |
| Methane production (Nm3 CH4·kg−1 VS) | 0.248 | 0.388 | 0.380 |
| CH4 (%) (biogas analyzer) | 61 | 64 | 67 |
| CO2 (%) (biogas analyzer) | 39 | 36 | 33 |
| H2S (ppm) (biogas analyzer) | 293 | 29 | 20 |
| pH | FOS (g eq. CH3COOH·L−1) | TAC (g eq. CaCO3·L−1) | FOS/TAC | |
|---|---|---|---|---|
| 100/0 | 8.15 ± 0.21 | 4.35 ± 0.72 | 19.93 ± 2.16 | 0.218 ± 0.025 |
| 80/20 | 8.23 ± 0.100 | 4.40 ± 0.88 | 19.18 ± 1.87 | 0.227 ± 0.028 |
| 60/40 | 8.19 ± 0.15 | 4.06 ± 0.79 | 17.76 ± 1.05 | 0.227 ± 0.034 |
Disclaimer/Publisher’s Note: The statements, opinions and data contained in all publications are solely those of the individual author(s) and contributor(s) and not of MDPI and/or the editor(s). MDPI and/or the editor(s) disclaim responsibility for any injury to people or property resulting from any ideas, methods, instructions or products referred to in the content. |
© 2023 by the authors. Licensee MDPI, Basel, Switzerland. This article is an open access article distributed under the terms and conditions of the Creative Commons Attribution (CC BY) license (https://creativecommons.org/licenses/by/4.0/).
Share and Cite
Mansour, M.-N.; Lendormi, T.; Louka, N.; Maroun, R.G.; Hobaika, Z.; Lanoisellé, J.-L. Anaerobic Digestion of Poultry Droppings in Semi-Continuous Mode and Effect of Their Co-Digestion with Physico-Chemical Sludge on Methane Yield. Sustainability 2023, 15, 5997. https://doi.org/10.3390/su15075997
Mansour M-N, Lendormi T, Louka N, Maroun RG, Hobaika Z, Lanoisellé J-L. Anaerobic Digestion of Poultry Droppings in Semi-Continuous Mode and Effect of Their Co-Digestion with Physico-Chemical Sludge on Methane Yield. Sustainability. 2023; 15(7):5997. https://doi.org/10.3390/su15075997
Chicago/Turabian StyleMansour, Marie-Noël, Thomas Lendormi, Nicolas Louka, Richard G. Maroun, Zeina Hobaika, and Jean-Louis Lanoisellé. 2023. "Anaerobic Digestion of Poultry Droppings in Semi-Continuous Mode and Effect of Their Co-Digestion with Physico-Chemical Sludge on Methane Yield" Sustainability 15, no. 7: 5997. https://doi.org/10.3390/su15075997
APA StyleMansour, M.-N., Lendormi, T., Louka, N., Maroun, R. G., Hobaika, Z., & Lanoisellé, J.-L. (2023). Anaerobic Digestion of Poultry Droppings in Semi-Continuous Mode and Effect of Their Co-Digestion with Physico-Chemical Sludge on Methane Yield. Sustainability, 15(7), 5997. https://doi.org/10.3390/su15075997

