Next Article in Journal
Anaerobic Digestion of Poultry Droppings in Semi-Continuous Mode and Effect of Their Co-Digestion with Physico-Chemical Sludge on Methane Yield
Previous Article in Journal
A Dynamic Emergency Plan Generation Method Considering Different Situations and Limited Resources
 
 
Font Type:
Arial Georgia Verdana
Font Size:
Aa Aa Aa
Line Spacing:
Column Width:
Background:
Article

Political Hierarchy of Opening-Up Policy and China’s Carbon Reduction: Empirical Research Based on Spatial Regression Discontinuity

1
School of Financial and Trade, Faculty of Economics, Liaoning University, Shenyang 110136, China
2
The Business School, Edinburgh Napier University, Edinburgh EH14 1DJ, UK
*
Author to whom correspondence should be addressed.
Sustainability 2023, 15(7), 5995; https://doi.org/10.3390/su15075995
Submission received: 27 February 2023 / Revised: 25 March 2023 / Accepted: 27 March 2023 / Published: 30 March 2023
(This article belongs to the Section Economic and Business Aspects of Sustainability)

Abstract

This paper constructs a counterfactual framework based on the opening-up policies of provinces in the eastern coastal region. It analyzes the role of the political hierarchy of the opening-up policy in China’s carbon reduction at the county level by using Spatial Regression Discontinuity, and the data used are from 1997 to 2017. The study found the following: (1) The improvement of the political hierarchy of the opening-up policy is negatively related to the carbon reduction, which has significantly boosted the carbon emission of counties in the eastern coastal areas of China. (2) The impact on border counties is more significant, and there is an obvious boundary effect. In terms of net carbon emissions, the political-hierarchy difference has a significant impact only in the area adjacent to the border. (3) There is strong heterogeneity among provinces, showing the boundary jump effect and boundary depression effect. (4) The political-hierarchy differences are significantly related to the regional carbon reduction by changing policy intensity, resulting in fiscal subsidies effects and gradient transfer effects. The location selection for the implementation of the opening-up policy significantly impacted the carbon reductions.

1. Introduction

Many have discussed how trade openness leads to environmental pollution, especially in developing countries. According to the pollution paradise theory, developed economies transfer high-carbon-emission industries to developing countries, which normally have lower environmental regulation intensity, leading to a polluting paradise [1,2,3,4,5,6,7,8]. However, some other researchers argue that the higher the degree of trade openness is in a country, the slower the growth of pollution intensity (emission intensity) per unit of output is, thus rejecting the pollution paradise hypothesis [9,10]. Moreover, the third opinion focuses on the uncertain effect of trade openness on the environment, but the influence covers four aspects: relocation of production, competition for natural resources between industries, pollution emission decreases with output growth, and the impact of income effects on consumer behavior [11,12,13]. Despite considerable controversies, there is little evidence on how trade opening-up policy affects carbon emissions, especially in developing countries [14].
As the second largest economy in the world, China has become the world’s largest emitter of CO2 [15], thus raising concerns about China’s sustainability development [16]. Since the 1980s, China’s economic reform and opening-up policy has led to the economic growth coupling with carbon emissions, and the relationship between them has become stronger over the last four decades [17]. Following the requirements of green economic development proposed by the 18th National Congress of the Communist Party of China in 2012 [18], the 20th National Congress in 2022 proposed the goal of deepening opening-up to the outside world and gradually reducing carbon emissions after reaching a peak [19]. Achieving green economic development under the macro national policy of adhering to deepened opening-up to the outside world and coordinated regional development is one of China’s overall development goals by 2035 [20]. To meet the country’s dual carbon goals [21] and simultaneously deepen its trade openness, it is important to explore the impact of the trade opening-up policy on carbon reduction.
The promotion of the political hierarchy of the local government can boost regional economic development [22]. According to the Kaya equation [23], it easily leads to the logical relationship between political hierarchy and carbon emissions, as this indicates that political hierarchy impacts the carbon emissions through economic growth. Thus, the relevant research mainly focuses on three areas: the impact of government governance on carbon emissions [24], the effects of economic development on carbon emissions, and the relationship between trade openness and carbon emissions.
Yang et al. (2018) studied the impact of government governance on regional carbon emissions in China and discovered that the level of legal regulation and regional corruption had a strong negative effect on carbon reduction [22]. There is a certainty result about the positive relationship between economic growth and carbon emissions depending on the EKC [25,26,27,28,29]. It has been found that the impact of trade liberalization on China’s carbon emissions gradually changed over time, from a negative effect to a positive effect [30,31,32,33,34,35]. From 1995 to 2004, the pollution intensity of China’s exports decreased significantly. China’s industrial output became cleaner over time. The higher the status of the export division of labor in the global value chain is, the greener the export products are. As a result of joining WTO and tariff reduction, the increases in FDI and production fragmentation have contributed to the decline in the pollution intensity of China’s foreign trade [36]. Trade-openness policies tend to be pollution intensive, and trade openness accelerates the growth of pollution-intensive industries in developing countries. Due to the environmental bias of China’s trade policy, carbon emission intensity is negatively correlated with comprehensive trade barriers, and the environmental bias of trade policy provides invisible subsidies for polluting industries [37]. Due to the imbalance of China’s regional development, the impact of China’s regional trade openness on carbon emissions is not the same. The trade openness in the eastern region has gradually entered the stage of curbing carbon emissions; however, the level of trade openness in the central region has a positive effect on carbon emissions [38]. Trade opening improves the carbon-emission performance—significantly reducing per capita carbon emissions—and green technological innovation and energy efficiency utilization [39]. Trade opening has a negative impact on green growth in Eastern China [40].
The majority of research has explored the relationship between trade scale and carbon emissions in China, noting the asymmetric distribution between trade-opening areas and relatively trade-closed areas [41,42]. No studies have examined the impact of the political hierarchy of the trade-opening-up policy on carbon reduction.
First, there are relatively few studies on the correlation between the regional foreign trade-opening policies and carbon reduction. As the literature shows above, current research mainly focuses on the impact of foreign trade opening in terms of trade scale on carbon emissions. There are relatively few studies on the coordinated carbon-reduction benefits of trade openness in terms of trade-opening policies. Second, the regional disequilibrium in trade openness in China has not been effectively addressed. Trade openness and regional carbon emissions mostly use samples from provincial or prefecture-level cities across the country. However, because of the regional disequilibrium of China’s trade openness and economic development level, this sample selection method cannot effectively deal with the heterogeneity in the model, resulting in self-selection bias and the inability to achieve unbiased estimation. Third, although the relationship between economic growth or environmental regulation and carbon-emission reduction has been discussed, a majority of the research studies on the impact of policy on carbon emissions focus on the environmental regulation [14], and there are very few studies examining the correlation between carbon-emission reduction and trade-openness policies from the spatial perspective.
This study explored how the upgrade of the opening-up pilot policy influences the carbon reduction in China. A total of 843 counties (districts) in 9 provinces (cities) in the eastern coastal area were studied, and a spatial regression discontinuity design (Spatial RD) is used in this paper to conduct a counterfactual analysis. Compared with previous studies, the main contribution of this paper is to expand the research into a spatial perspective, evaluate the trade-policy synergetic abatement effect and discover the relationship between them. The main contributions of the paper are shown as follows:
(1)
This paper explores the impact of the political-hierarchy changes of the foreign-trade-opening policy for opening up a pilot region in China on the carbon emissions. A counterfactual framework is used to analyze the effects from a spatial perspective.
(2)
Locality similarity samples are used to overcome the problem of model self-selection bias. The samples that focus on Eastern China can better overcome the self-selection bias and smooth the model endogeneity caused by regional imbalance.
(3)
The trade-policy synergy carbon-reduction effects are gauged from the perspective of spatial distribution. The paper focuses on the geographic factor of the policy decision, namely location selection, and analyzes the boundary effect of the political hierarchy of the regional trade-openness policy on the carbon reduction. In addition, the distance optimal algorithm and measurement are used to accurately measure the geographic distance. Two methods are used to calculate the distance from the counties inside and outside the breakpoint to the boundary of the breakpoint. One of the approaches is based on the VB language, and the other is the measurement on a map, using Mapinfo software Professional V17.0.
The rest of this paper is organized as follows: Section 2 covers the conceptual framework and hypotheses, and Section 3 presents method and data, which include the counterfactual framework, spatial regression, and smoothness test. Section 4 provides the empirical results and an analysis conducted by applying regression, a robust test, and a heterogeneity test. Section 5 presents a mechanism analysis, and Section 6 concludes the paper with recommendations.

2. Conceptual Framework

As discussed above, the trade liberalization plays an essential role in regard to the carbon emissions in China. In the light of Spatial Economics, the shocks, i.e., the level of trade openness, monetary shock, location, etc., lead to the spatial agglomeration [27]. According to the Kaya equation, the spatial agglomerations resulting in the economic growth boost the carbon emissions, apparently [24], so the level of trade openness (as a shock) must have a spatial relationship with the carbon emissions.
International trade is an important factor affecting regional carbon emissions, and there is a positive correlation between carbon emissions in China’s provinces and their adjacent provinces [43]. The economic agglomeration effect of urban agglomerations formed by geographically adjacent cities affects the intensity and spatial distribution of carbon emissions [44]. Different boundaries can induce a difference in carbon emissions [45]. The impacts of carbon emissions are mostly stock impacts and have significant spatial spillover effects. The spatial spillover effect of heavy industry and economic growth has a significant negative impact on carbon emissions, and the experience of surrounding provinces is conducive to the optimization of carbon emissions in this province [46]. The spatial correlation of carbon emissions presents a nonlinear spatial structure with complex network structure characteristics in China. Li et al. (2019) found that Bejing and Tianjing are in the center of the carbon emission spatial network and play a significant role of “intermediary” and “bridge”, and the carbon-emission spatial network positively relates to the synergetic abatement effect by the network density and the network hierarchy and negatively relates to the synergetic abatement effect by the network efficiency [47]. There is a significant positive spatial correlation between China’s provincial trade opening and industrial green TFP [48]. The regional distribution of spatial agglomeration indicates the Matthew effect, showing strong spatial heterogeneity and a non-equilibrium pattern [49].
The implementation effects of policies are interrelated, and the implementation of policies in one region may directly or indirectly affect the implementation of policies in other regions. Such co-benefits are the result of related policy options implemented simultaneously for different reasons [50]. Research on the co-benefits of emission-reduction measures shows that the implementation of greenhouse-gas-emission reduction measures can not only significantly reduce environmental damage from things such as air pollutants and water consumption, but they can also bring economic benefits [51]. Similarly, the synergistic benefits of the implementation of trade liberalization policies will inevitably affect the implementation of environmental regulation policies, resulting in synergistic carbon-emission-reduction benefits.
In light of the research that we discussed above, we propose Hypothesis 1:
H1. 
The political hierarchy of the opening-up policy produces a synergistic impact on carbon reduction, and there are boundary effects from the spatial perspective.
Since China’s trade openness has the characteristics of path dependence and low liquidity in geographical distribution [52], the geographic location of the region is a crucial factor through which the change of opening-up pilot policy affects carbon emissions. The location selection that the low geographic liquidity of the openness policy produces is the first path that the promotion of the openness policy’s political hierarchy takes to affects carbon reduction. The role of location selection on carbon reduction can be divided into manmade factors and natural factors, making it the result of the combination of these two factors. The high path dependence of the political hierarchy upgrade forms the manmade factors that were just mentioned. The geographic location (for the low liquidity) of the area is the natural factor that is another reason why the region is considered to be a political hierarchy upgrade area.
First, the natural factors depending on the geographical location are positively correlated with the carbon reduction. From 2004 to 2012, the spatial dependence of carbon emissions between provinces gradually increased, which was affected by the spatial location of the region and adjacent regions [45,53]. The regions in the lower altitude are easily selected as the national opening-up area [54], but with less soil carbon stock. The altitude of a region is an appropriate indicator to evaluate the geographical location. In fact, the elevation is positively correlated with the carbon reduction [55], increasing the carbon pool in soil [56]. Soils host the largest terrestrial carbon pool and contain twice the atmospheric carbon pool and 2–3 times the terrestrial vegetation carbon pool. The carbon stocks increase significantly with elevation as the soil and air temperature decrease with elevation [57], and Alpine meadow soils have the largest SOC stock, accounting for about 73% of the regional SOC stock [58].
Second, the manmade factors (for the path dependence) affect the location of economic agglomeration, resulting in a structure effect and scale effect [59], which should influence the carbon reduction of a region negatively [10]. The national government usually makes a spatial opening-up plan that decides the best place for the national-level trade opening-up area to be, and it is always concentrated on the eastern coastal area [53]. Moreover, the promotion of the trade opening up for the economic agglomeration [27] emphasizes the role of geographic location on carbon emission. After crossing the critical point, a small increase in trade freedom will lead to complete industrial agglomeration [60], while the coastal location that decreases the transportation cost of the international trade is one of the basic factors affecting this industrial spatial agglomeration. Trade-opening-up policies have promoted economic agglomeration in coastal areas. The urban agglomeration formed by geographically adjacent cities relying on transportation infrastructure has caused an economic agglomeration effect, which affects the carbon-emission intensity via the spatial distribution of the urban energy consumption [43]. Geographical distance can affect carbon emissions through economic spatial agglomeration, which is a good explanation of how openness policy hierarchy affects the spatial distribution of regional carbon emission intensity. There is evidence that shows that there is a pollution paradise effect in the choice of geographical location of French manufacturing enterprises [61].
In a word, it provides strong proof from the geographical distribution of opening-up policy, which is considered to be a crucial reason why the hierarchy difference of the openness policy among various counties influences the carbon reduction. Thus, we propose Hypothesis 2:
H2. 
Location selection plays a significant role in the impact of political hierarchy of the opening-up policy on carbon reduction.
The core–periphery model emphasizes that a momentary shock of temporary subsidies to production in a region will move the economy from one stable equilibrium to another. Even if this instantaneous shock disappears, the result (i.e., change of steady-state equilibrium) caused by the shock will not be reversed, thus indicating the path dependence of industrial agglomeration [59]. The promotion of the political hierarchy of the regional policy improves the policy implementation and stability and also boosts the central financial subsidy, thus making up the policy intensity [62]. Therefore, the upgrade of the opening up policy will effectively stimulate momentary shock, forming the above-mentioned irreversible industrial agglomeration.
The subsidy is one of the most important indicators that evaluates the policy intensity, while the policy intensity could have the same impact on the carbon reduction through the irreversible stable equilibrium. The level of legal regulation is significantly positively correlated with regional carbon reduction [22]. One of the most important characteristics of the policy objectives’ hierarchy is the vertical policy integration of sustainable goals, which transfer from higher-level to lower-level governments [63]. Regional units at the county level appeared to be responsible for devolved governance and effective implementation [64]. All in all, the improvement of the political hierarchy of the policy boosts the central financial subsidy by increasing the policy intensity, which positively affects regional carbon reduction [65,66], while it produces the structural effect formed by industrial agglomeration and the scale effect caused by the expansion of production scale, which both have an important impact on environmental quality [10]. The optimization of the industrial structure significantly inhibited the growth of carbon emissions [53].
On the other hand, the gradient effect of China’s regional economic development promotes the environmental dumping and transfer effects of adjacent cities, there is a strong negative environmental effect between regions that are big trading partners [67], and the industrial transfer between regions significantly affects the distribution of carbon emissions in the region. Regional carbon spillover is concentrated in the eastern coastal provinces in China, but it contributes to the increase of national carbon emissions in the central and western regions as well [16,68,69,70]. According to the discussion above, we propose the third hypothesis as follows:
H3. 
The increased political hierarchy promotes policy intensity, which is beneficial to the regional carbon reduction, resulting in subsidy effects and gradient transfer effects.
Based on the discussion above, a conceptual framework was developed to demonstrate the relationship between the political hierarchy of trade-opening-up policy and carbon reduction (see Figure 1).

3. Methods and Data

3.1. Counterfactual Framework

According to China’s unique administrative hierarchy system, local governments’ decision-making is highly dependent on their political hierarchy [23], and macro-regional policy planning can be divided into national and provincial levels according to the differences in the administrative hierarchy of the issuing body. Between 2009 and 2011, all coastal cities in the 9 eastern coastal provinces (see Appendix A) were upgraded to national-level economic pilot zones. Subsequently, the policy stability has been drastically improved, and the average growth rate of financial subsidies received by the 9 provinces (cities) has increased significantly, with 27.91%, compared to the average growth rate of 19.82% prior to 2009.
According to the promotion of local opening-up pilot policy (see Appendix A), the eastern coastal areas can be divided into pilot zones and non-pilot zones, respectively belonging to the state-level trade-openness areas and non-state-level trade-openness areas. The trade-openness pilot zones refer to the pilot opening policy frontier areas covered by the national-level regional strategy, and they are the popularization areas of the upgraded trade-openness policy; the non-pilot zones are inland areas outside the national strategic planning region. Compared with the coastal areas, they are not directly supported by the national strategic plan and can be regarded as the area where the opening-up policy has not been popularized.
Connecting the geographic boundaries of provinces and cities constitutes the geographic dividing line between pilot zones and non-pilot zones. There are no high mountains and rivers at the boundary breakpoints. Geographical breakpoints formed by geographic boundary lines are used to distinguish the treatment groups from the control groups—pilot zones and non-pilot zones, respectively. This constitutes a quasi-natural random experiment and provides an excellent experimental sample for the study to use spatial breakpoint analysis. There are 340 counties in the pilot zones and 503 counties in the non-pilot zones (the boundary distribution is shown in Figure 2).

3.2. Variable Selection and Data Description

Carbon emission ( l c a r b o n i t ) is the dependent variable, which is used to measure the degree of carbon reductions in the county. The order of the planned path to achieve the “dual carbon” goal is to achieve the peak of carbon emission intensity, the peak of per capita carbon emissions, and the peak of total carbon emissions. In this paper, the final path is as follows: total carbon emission is used to measure the degree of carbon emissions in China. The total-carbon-emissions data are drawn from the carbon emissions of 9 coastal provinces (cities) and counties from 1997 to 2017.
The policy variable ( s e a s i d e i t ) is the core explanatory variable. When a county is in the pilot zones, s e a s i d e i t = 1 is the treatment group; when a county is in the non-pilot zones, s e a s i d e i t = 0 is the control group.
Boundary distance ( x i ) is the distance from the county to the geographic boundary. The shortest distance algorithm constructed by VB language is used to calculate the geographical distance from the center point of each county to the border. This algorithm solves the problem of covariate standardization, directly produces the processing effect of 0 at the breakpoint, and provides a better data basis for the subsequent spatial breakpoint regression.
Geographic Information Polynomial ( f l o c a t i o n i ) is a polynomial composed of the longitude (LA) and latitude (LO) of the center point of the county. Drawing on the design method of spatial breakpoint regression polynomial in Jia et al. [23], this study adopts local linear equation, quadratic polynomial, and generalized analyses.
Manmade factor is assessed by the county with (or without) port. Depending on the geographic distance from a county’s center point to the boundary, the indicator is classified into coastal counties and border counties separately. The geographic distance from each county to the coastline mainly comes from the boundary distance ( x i ).
Natural factor is evaluated by the altitude (le). The altitude (le) data are based on the average altitude of each county, and the data are drawn from the average altitude of each county by Google Earth.
Policy intensity (lf) uses the intensity of financial subsidies from the central government to local pilot zones to measure the policy intensity of regional trade openness. This indicator is quantified using the special revenue of local finance, and the data are taken from the 1997–2017 “China Statistical Yearbook” (the data are drawn from National Bureau of Statistics. https://data.stats.gov.cn/easyquery.htm?cn=C01, accessed on 27 August 2022).

3.3. Methods

According to the Kaya equation, the political hierarchy of trade openness impacts the carbon emissions through economic growth. In light of the theories, it easily leads to the logical relationship between political hierarchy and carbon emissions. More importantly, according to the literature works mentioned above, there is a boundary effect of the political hierarchy of trade openness on the carbon emissions; therefore, the spatial RD was explored in this study. Moreover, the relevant research concentrated on the spatial correlation; little is about the boundary effect, for which spatial RD is an appropriate method [23].
To estimate the impacts of the opening-up pilot policy on the regional carbon reductions, we can run a simple DID regression on the full sample. However, the results exhibit a large pretreatment imbalance because they omit variables. This study employed a spatial RD design, which compares counties around the boundary of pilot zones. Non-pilot zones are counterfactuals for pilot zones. It shows that the pretreatment imbalance shrinks to insignificance near the border, making the non-pilot zones and pilot zones perfect control and treatment groups, respectively. According to the breakpoint regression, if the treatment variable, Di, is completely determined by whether a grouping variable, xi, exceeds a certain breakpoint, c (xi it is a continuous variable), then the local average treatment effect of the treatment variable can be written as follows:
LATE = E y 1 i y 0 i | x = c = lim x c E y 1 i | x = c lim x c E y 0 i | x = c
where lim x c and lim x c represent the right limit and left limit on both sides of the breakpoint, respectively. When x c ,   then   D i = 1 ; when x < c , then D i = 0 . Assume that, before the experiment, there is a linear relationship between the outcome variable y i and x i :
y i = α + β x i + I   i = 1 , , n
Since there is no systematic difference in the individual factors near x = c, the treatment effect of the treatment variable, D i is the only reason that E y 1 i | x jumps at the breakpoint; therefore, Equation (2) can be rewritten as follows:
y i = α + β x i c + δ D i + γ x i c D i + I i   i = 1 , , n ,
where δ is the local average treatment effect at x = c.
Based on the breakpoint regression design model (RDD), combined with the modeling development of Jia et al. (2021) [23], a spatial breakpoint regression model is developed as follows:
l c a r b o n i t = α + β x i c + δ s e a s i d e i + γ x i c s e a s i d e i + f l o c a t i o n i + ε i
Carbon emissions ( l o c a t i o n i t ) are dependent variables; breakpoints ( c ) are geographical boundaries, and regional trade opening-up policies ( s e a s i d e i t ) are policy variables; distances x i are the distance from the i counts; f l o c a t i o n i is the breakpoint regression polynomials, and ε i is the random disturbance term. Equation (4) adopts non-parametric local linear estimation and global polynomial estimation [14]. In the baseline estimation, samples are selected based on the quarter point of the distance from each city to the boundary breakpoint. To ensure the robustness of the estimation results, the median (159 km) and three-quarters points (306 km) of the distance from each city to the boundary breakpoint are used to select samples, and the local linear estimation method is adopted. The control variables are longitude (LA) and latitude (LO).

3.4. Smoothness Test

Regional development policies are formulated and promoted by the state, and this not only enhances the state’s macro-control power at the regional level, but also forms the administrative division of the national economic map.
For the eastern coastal provinces—Liaoning, Hebei, Tianjin, Shandong, Jiangsu, Shanghai, Zhejiang, Fujian, and Guangdong—China has launched a national-level regional economy that takes the development of the marine economy as the main economic growth pole and promotes the construction of new frontiers in opening trade to the world. There are 10 development strategies in total (see Appendix A). Before 2011, all local plans were upgraded to national strategies, with some special areas. For example, the Pearl River Delta region has always been the frontier area since the economic reform and opening up in 1979. The opening up and development of Shanghai Pudong began in 1990, and the Tianjin Binhai New Area became part of the National Development Strategy in October 2005. According to the principle of majority priority, the time of each region will be unified, and 2009 will be recorded as the upgrade time of the opening-up strategy of the eastern coastal areas.
Compared with the country as a whole, only selecting the eastern coastal areas as a sample can better stabilize the regional disequilibrium of China’s trade openness, control the self-selection bias, and better reduce the endogeneity problem of the model.
According to China’s unique political hierarchy system, local governments’ decision-making is highly dependent on their political hierarchy [14], and macro-regional policy planning can be divided into national and provincial levels in the light of the differences in the political hierarchy of the issuing body. When the regional political hierarchy is raised from the provincial level to the national level, the central financial support and policy preferences obtained by the region tend to increase, as is evidenced by the special central financial funds received by the local government. The trade opening policies of the 9 eastern coastal provinces (cities) have been upgraded to national strategies since 2009. Since then, the average growth rate of central special funds received by the 9 provinces (cities) has increased significantly. After 2009, the average growth rate of central special funds received by the eastern coastal areas was 27.91%, compared to the average growth rate of 19.82% prior to 2009. The variance of the compound growth rate of the central special financial funds of the 9 eastern coastal provinces (cities) from 1999 to 2017 was 0.97, while the variance of other regions was 0.15.
Since the 1980s, due to the dividends of the country’s reform and opening-up policy, China’s economy has been concentrated in the eastern coastal areas. The region has absorbed a large amount of foreign investment and has become the frontier of China’s opening up and the main production area, resulting in a high level of carbon emissions. The coastal areas are the frontiers of opening up and the main areas that enjoy the dividends of opening up. It breaks the original single administrative unit, sets up urban economic clusters as pilot zones, and promotes further opening up to the outside world. The pilot zones in the eastern area account for more than 70% of the total pilot zones in the country [49].
Compared with the whole country, the economic development gap between the coastal areas and non-coastal areas in the eastern region is relatively small. By comparing with the national average household consumption level, the average household consumption level of Liaoning Province, Tianjin, Hebei Province, Shanghai, Jiangsu Province, Zhejiang Province, Fujian Province, Shandong Province, Guangdong Province, the 9 eastern coastal provinces (cities), is higher than the national level and higher than the average consumption level of residents in the central and western regions. Overall, there are no significant differences in household consumption per capita, intensity of opening-up policy, and central government’s special financial funds across the 9 eastern provinces (cities).
Using the geographic data and economic data of pilot and non-pilot zones in 2008, we compared the situation prior to the change of policy political hierarchy in the two zones from the aspects of altitude, carbon emissions, gross domestic product, population, and central financial subsidies. According to the comparison of basic data, before the upgrade of policy political hierarchy, the basic conditions of the two types of zones were similar, and the difference was within a reasonable range (see Table 1).
Based on the average carbon emission in 2008, prior to the promotion of political hierarchy, a smoothing test was performed on both the treatment group and the control group. Taking the first, second, and third quantiles of the distance from the center point of each county to the boundary of the geographical breakpoint, 100 km, 200 km, and 300 km were selected as the bandwidths. The average value of carbon emissions per 10 km was tested for the smoothing hypothesis. In Figure 3, the first quadrant is a test within 200 km, the second quadrant is a test within 100 km, the third quadrant is a test within 300 km, and the fourth quadrant is a full-sample test. The result showed that before political hierarchy of the opening-up pilot policy was upgraded, there was no significant difference in the carbon emissions of counties within 100 km, 200 km, and 300 km of the border line, which satisfied the smoothing assumption.

4. Empirical Results and Analysis

4.1. Benchmark Analysis

Taking the first, second, and third quantiles of the distance from each county to the boundary of the geographic breakpoint as the bandwidth, three groups of samples were selected using the local linear method and the quadratic polynomial method to compare Formula (4) and carry out the benchmark regression analysis (the test results are shown in Table 2). Overall, the improvement of the political hierarchy of the opening-up pilot policy has a significant promoting effect on the total regional carbon emissions. For samples within a radius of 100 km from the boundary of geographic breakpoints, the regression results based on the local linear method are not significant, and the regression results based on the local quadratic polynomial method are slightly more significant. The test results for samples within a radius of 159 km and a radius of 306 km from the boundary of geographic breakpoints are significant.
A breakpoint distribution test was performed on the total carbon emissions from 1997 to 2017(as shown in Figure 4). Taking the quarter point, median, and third quarter points, select 100 km, 159 km, and 306 km as bandwidths, and calculate the average carbon emissions per 10 km. A linear fit was performed. In Figure 4, the first quadrant is inspection within a radius of 100 km, the second quadrant is inspection within a radius of 159 km, the third quadrant is inspection within a radius of 306 km, and the fourth quadrant is full-sample inspection. The results show that the carbon emissions of counties within the radii of 100 km, 159 km, and 306 km of the geographical breakpoint boundary line have significant breakpoints at the boundary line.
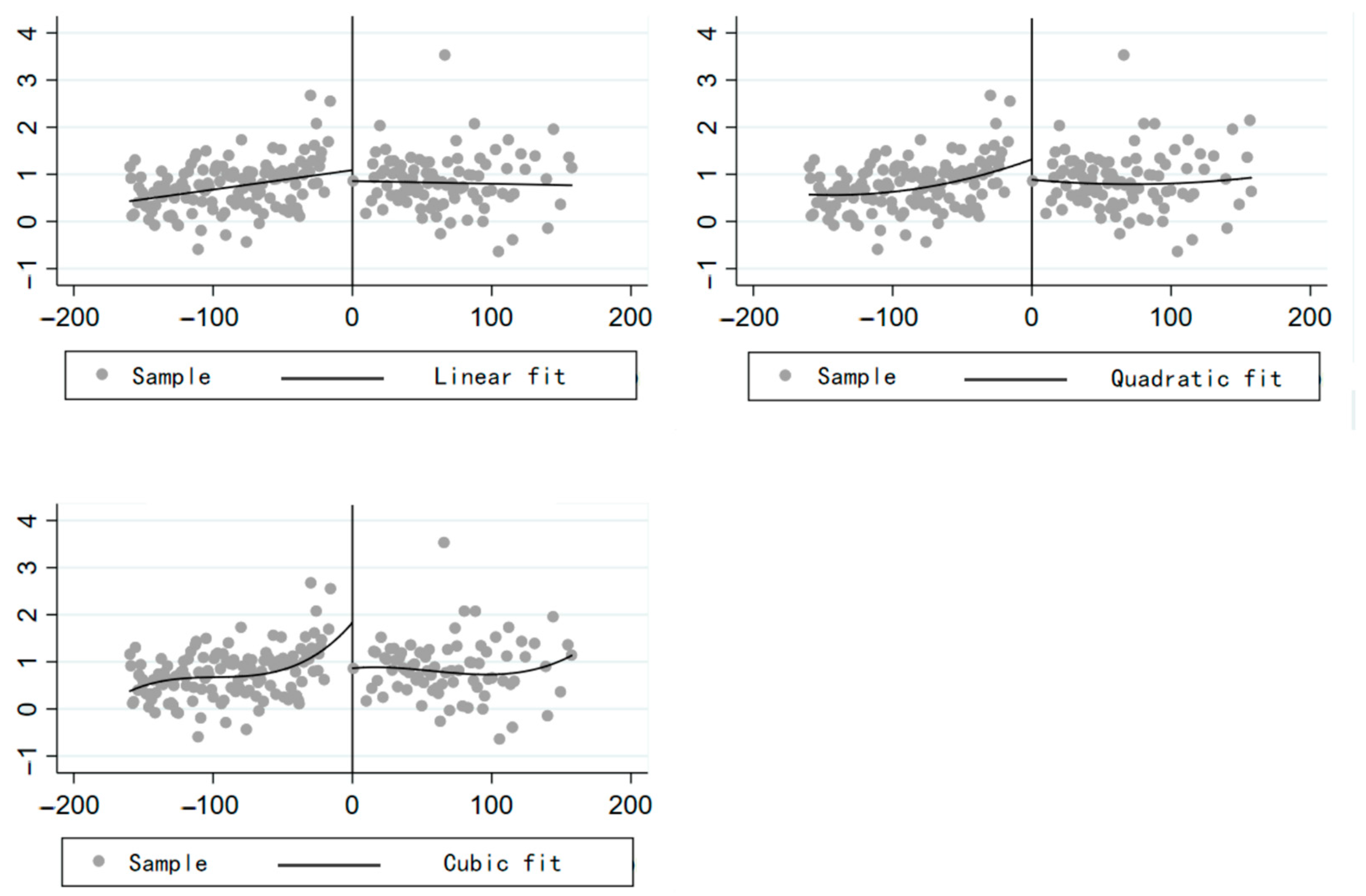
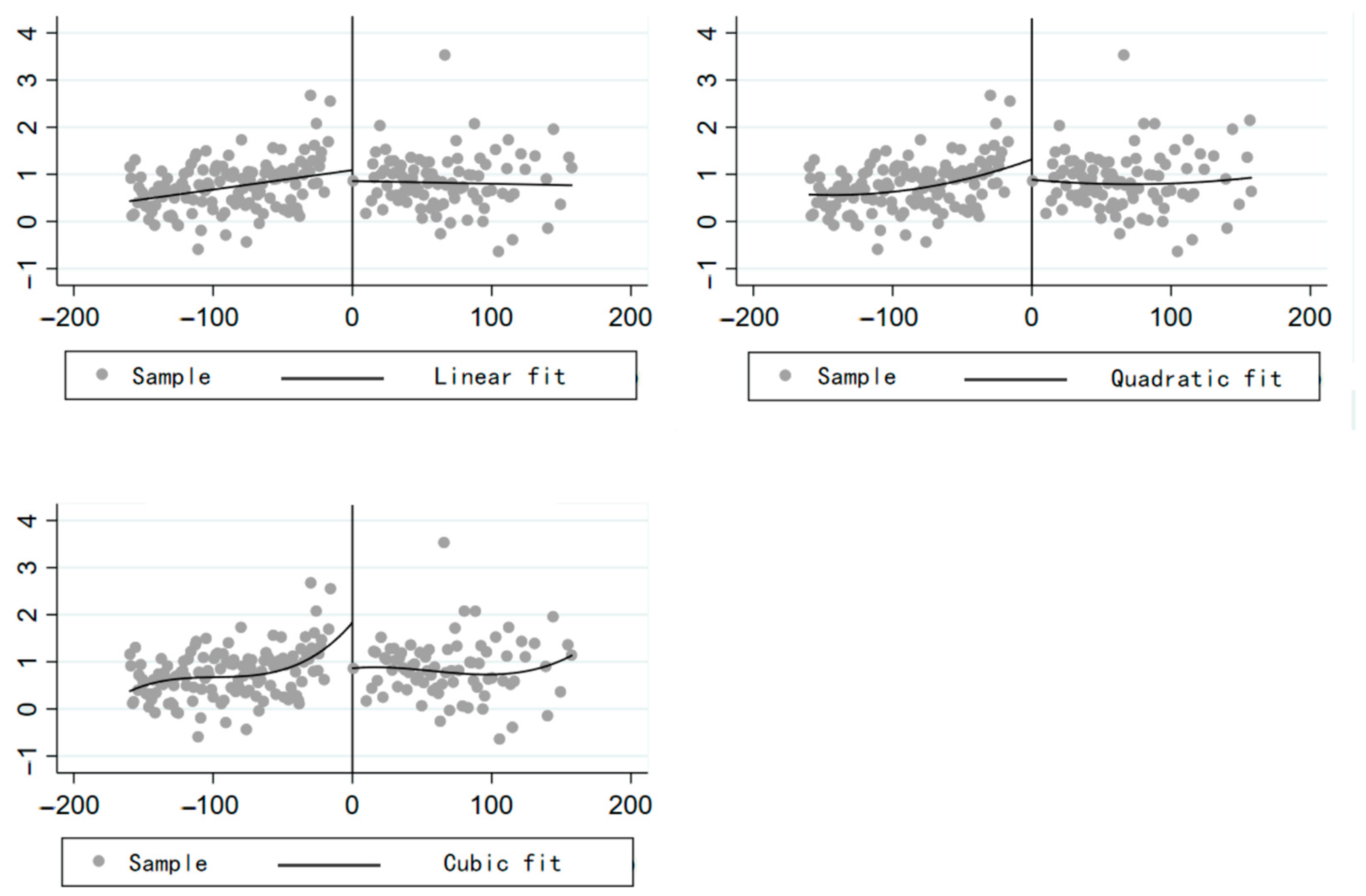
According to the above bandwidth selection criteria, the distribution of breakpoints was tested again by using linear, quadratic polynomial, and cubic polynomial methods. The breakpoints of the cubic polynomial are relatively clear, followed by the second-order polynomial breakpoints. The overall test results show that the effect of the linear breakpoints of 159 km and the full sample is weak. Due to the word limit, this paper takes only the breakpoint test results of samples within a radius of 159 km as an example. In Figure 5, the first quadrant is the distribution of linear simulation breakpoints, the second quadrant is the distribution of quadratic polynomial breakpoints, and the third quadrant is the distribution of cubic polynomial breakpoints.

4.2. Robustness Check

Since the distance from the coordinate center point of the border county (district) to the border is ignored, there is an estimation bias in the optimal distance of the center point of the county (district) calculated according to the optimal algorithm. The boundary line of geographic breakpoints is not a straight line, and the distances from the boundary districts and counties to the boundary lines are not the same. Therefore, this paper uses the software Mapinfo to measure the distance from the coordinate center point of each county (district) to the boundary line by means of precise mapping and recalibrates the distance between all counties and districts from the boundary line. The widening boundary and the index replacement are sequentially used to test the robustness with the corrected distance value.
First, adjust the border width and extend the border from a line to a plane to create a border surface. Take the value from the first quantile of the geographic distance from the boundary, extend the boundary to the east and west sides by 79 km, select the counties (districts) within 21 km of the boundary surface as samples, and perform the local linearization of Equation (4) again and the local quadratic polynomial test. The test results are shown in Table 3 (1) and (2). After changing the boundary line to the boundary surface, the policy effect is still robust, and there is still a significant positive effect.
Second, this article uses net carbon emissions to replace total regional carbon emissions. Net carbon emissions are the amount of carbon dioxide that a region ultimately emits into the atmosphere [69]. It is calculated by subtracting the amount of carbon capture and storage (CCS) from the region’s total carbon emissions. This study mainly considers the impact of regional trade liberalization policies on total carbon emissions. On the basis of considering the CCS, the relationship between the political hierarchy improvement of the regional trade liberalization policy and the net carbon emission was tested to ensure the robustness of the analysis results. Based on the calculations of Chen. et.al (2020) [71], the county’s net carbon emissions were calculated using the county’s CCS data from 2000 to 2017. We selected 30 km, 159 km, and 306 km as bandwidths, and the local linearity and local quadratic polynomial tests were carried out in Equation (4) (see Table 3 (3)–(7) for the results).
The improvement of the political hierarchy of the opening-up pilot policy has a significant impact on the net carbon emissions in the region, but there are directional differences in the impact coefficient according to the difference in bandwidth settings. For districts and counties close to the geographical boundary (within 30 km of the boundary), the improvement of the political hierarchy of the regional trade-opening pilot policy is significantly beneficial to the reduction of net carbon emissions in the region. For other regions with a distance of more than 30 km from the border, the improvement of the policy significantly increased the net carbon emissions of the region, as is consistent with the results of the impact on the total carbon emissions.

4.3. Placebo Test

Placebo tests were conducted with artificially tampered boundaries. Because the shortest distance from each county to the geographical breakpoint boundary is 15 km, the artificially tampered boundary movement distance was set to 30 km to ensure that the number of inspection objects changes, reflecting the significance of boundary movement. Move the boundary 30 km east and west, and test again the samples within 100 km and 159 km of the new boundary. After moving the boundary to the east by 30 km, 132 counties were changed from the original treatment group to the control group (the test results are shown in Table 4 (1) and (2)). The tests for moving the border westward by 30 km are shown in Table 4 (3) and (4). The test results show that the policy effect is not significant. Furthermore, the boundary line is completely moved into the pilot zones; that is, all objects become the treatment group, the geographical boundary is divided according to whether it is near the sea or not, and the test results are not significant (as shown in Table 4 (5)).
Based on the empirical analysis above, there is a spatial correlation between the political hierarchy of opening up policy and carbon emissions, which is also shown as a significant boundary effect. Although the improvement of political hierarchy of trade-opening-up policy boosts the economic development of the region, it significantly promotes the carbon emissions, which confirmed the applicability of the pollution paradise theory in China. The economic development of the eastern coastal region is positively correlated with carbon emissions, and this finding also aligns with the finding of Lu et al. (2019) [17].

4.4. Heterogeneity Test

The heterogeneity test was carried out at the level of carbon emissions of provinces (cities). The spatial breakpoint regression was performed on the 9 provinces (municipalities). Equation (4) was tested with samples from each province (city), and the test results are shown in Table 5 and Table 6. The improvement of the political hierarchy of the opening-up pilot policy has a significant policy effect on the total carbon emissions of each region, but it shows heterogeneity.
The results in Hebei Province, Zhejiang Province, and Guangdong Province showed significant positive effects (see Table 5). The sample in Hebei Province within a radius of 50 km from the geographical breakpoint boundary is more significantly affected by the improvement of political hierarchy of the opening-up pilot policy, with an influence coefficient of 0.84, and the result is robust. The policy effect of the whole sample in Shanghai city is relatively stable, with strong significance within 100 km. In addition, counties and districts closer to the coastline have weaker significance. The samples in Guangdong Province outside 100 km of the geographical breakpoint boundary are all significant, and the closer to the coastline, the stronger the significance, and the influence coefficient is 0.672. The samples in Zhejiang Province within 50 km of the geographical breakpoint boundary are significant, with an influence coefficient of 0.277.
The results for Liaoning Province, Shandong Province, Jiangsu Province, and Fujian Province showed a significant negative impact, and the improvement of political hierarchy of the opening-up pilot policy significantly reduced carbon emissions in the region (see Table 6). The samples in Fujian Province within a radius of 100 km from the boundary of the geographical breakpoint are significant, and the influence coefficient is −0.767; the result is robust. The samples in Shandong Province within a radius of 30 km from the boundary of the geographical breakpoint are significant, and the influence coefficient is −0.520; the result is not robust. Jiangsu Province has a significant sample within a radius of 30 km from the boundary of the geographic breakpoint, with an influence coefficient of −1.176, and the result is robust. The samples of Liaoning Province within 50 km of the boundary of the geographical breakpoint are significant, and the influence coefficient is −0.275; the result is robust.
Shandong Province, Jiangsu Province, and Liaoning Province have obvious boundary jump effects (The boundary jump effect and boundary depression effect come from Ma and Zhao’s (2022) article [72]. The paper analyzes the economic effects of administrative planning barriers. The boundary jump effect is considered to be the difference of economic development in the border areas’ adjacent provincial boundaries. The boundary depression effect means the closer to the provincial border, the lower the level of economic development. According to Kaya equation, the boundary jump effect of carbon emissions can be deduced from the boundary jump effect of economics, because the trend of carbon emissions aligns with the trend of economic development, and the principle of the boundary depression effect for both is the same.). Although the carbon-reduction effect of the political hierarchy of the trade opening-up policy is different among provinces, the boundary effect exists in a variety of forms, and the range of geographical influence is basically distributed between 30 and 50 km on both sides of the boundary. Zhejiang Province, Hebei Province, and Guangdong Province all have significant positive effects; Zhejiang Province has a significant boundary jump effect, but there is a border depression effect in Hebei and Guangdong. The closer Hebei is to the coastline, the less significant the impact is. There is a significant positive correlation between carbon emissions in Guangdong Province and the distance from the coastline. For Guangdong Province, the closer the county (district) is to the coastline, the more significant the impact of carbon emission is, in which the border depression effect exists. This is because Guangdong’s opening-up policy is concentrated in the coastal areas, and the core areas within the pilot zones have a strong influence.
The empirical results for Hebei Province, Zhejiang Province, and Guangdong Province are consistent with those for the whole sample in the eastern region, indicating a positive impact of trade openness on carbon emissions. However, the results for Liaoning Province, Shandong Province, Jiangsu Province, and Fujian Province are contrary to the findings of the eastern region as a whole. The reason for the different result could be the high integration of environmental protection regulation and economic policies. The level of environmental regulations embodied in the economic policies is gradually improved as the environmental and economic policies are integrated, while EPI also improves the national policy implementation of the local government [63]. The upgrade of the political hierarchy enhances the EPI in the trade openness policy and local implementation efficiency by increasing the level of policy intensity. To some extent, the carbon abatement effect that exists in the Shandong, Jiangsu, Liaoning, and Fujian Provinces is an example of the high level of EPI as well as the local implementation efficiency.
Due to different geographical locations, the impact of trade openness on the net carbon emissions is different. For areas in the pilot zones, the upgrade of trade openness has significantly boosted carbon emissions in the region. For border counties and districts, it has reduced the net carbon emissions in the region. The above discrepancies arise because the statistics of CCS consider only the CCS capacity of mountains and vegetation, ignoring the marine CCS capacity of coastal areas [70]. In summary, our findings support H1.

5. Mechanism Analysis

We proved that the upgrade of the trade openness has a positive impact on the regional carbon emissions, as it does not show a synergetic carbon abatement effect. Furthermore, we continue to analyze how the improvement of trade openness leads to the synergetic carbon-reduction effect. The path dependence and policy intensity are the main impact mechanisms of trade openness, which can affect the regional carbon reduction.

5.1. Location Selection

As the mechanism is proved above, the geographical path dependence of political hierarchy upgrade is investigated from natural factors and artificial factors. In this part, we use the county with (or without) port to measure the manmade factor and the altitude to assess the natural factor. Whether a county (district) has a port is an important indicator to measure the degree of industrial agglomeration or trade openness. Governments normally prioritize the places with a port and upgrade them to national-level trade-opening areas and provide fiscal subsidies and preferential policies to support their economic development. This indicates that manmade factors play a significant role in the government decision of location selection.
We use altitude to describe the geographic location of the area, which is considered to be a natural factor and also positively relates to carbon reduction [52,53,54]. We estimate Equation (4) by using spatial RD as follows.

5.1.1. Manmade Factor

Depending on a county (district) with or without a port, all counties (districts) are divided into coastal counties (districts) and border counties (districts), respectively. The closer to the coastline means the lower the transportation cost is, and vice versa. Compared with the coastal counties, trade and transportation costs are relatively higher in the border counties. Trade and transportation costs are an important determinant of location selection for industrial agglomeration.
In the sample test of coastal counties (districts), the counties (districts) near the sea within the pilot zone were set as the treatment group, and the counties (districts) outside the pilot zone were set as the control group. According to distance statistics, the maximum distance from the coastal counties (districts) to the geographical breakpoint boundary is 332 km, and the radius of the dense area of the coastal counties is 200 km. Taking the boundary as the center point, extending to the control group, the control group samples were selected with a radius of 200 km and 332 km, respectively. The local linear method and quadratic polynomial method were used to regress Equation (4), and the test results are shown in Table 7 (1) and (2) (only the test results within 200 km are reported here). The results show that the samples within both 200 km and 332 km are significant, and the political hierarchy of the regional trade-opening-up policy has significantly promoted the carbon emissions of coastal counties, with influence coefficients of 0.236 and 0.321, respectively. However, the effect for the border counties is insignificant.
According to distance statistics, the maximum distance between the border counties and the geographical breakpoint boundary is 52 km, and the radius of the densely concentrated area of the border counties is 37 km. Therefore, the test bandwidth is centered on the border, and 37 km and 52 km are selected as the radius. The border counties in the pilot zones are considered to be the treatment group, and the areas outside the pilot zones are regarded as the control group. The local linear method and the quadratic polynomial method are used to regress Equation (4), sequentially (the test results are shown in Table 7 (3)–(6)). The test results within the radii of 37 km and 52 km are not significant, and the improvement of the political hierarchy of the opening-up pilot policy has no significant impact on the regional carbon emissions. It supports Huang et al.’s (2020) finding that trade openness has the characteristics of path dependence and low liquidity on geographical distribution [41]. Both path dependence and low liquidity are manmade factors. The results indicate that carbon emissions’ effects are more significant in coastal counties than border counties, thus showing the pollution paradise effect [61].

5.1.2. Natural Factors

After selecting the samples of 30 km, 100 km, and 159 km away from the boundary, the local analysis method was used to test Formula (4) (the results are shown in Table 8). The test shows that the improvement of the political hierarchy of the opening-up pilot policy has a significant promoting effect on the regional carbon emissions, and the altitude has a significant carbon-reduction effect, which proves the results of Qiu et al. (2022) [54]; and the coefficient is −0.177.
The continuous reduction of trade costs in the eastern coastal areas is decided by the geographical location, thus making the symmetric development area between eastern and western areas in China an asymmetric development [35], as with the carbon emissions [69,70]. The industry agglomeration concentrates on the coastal region, where the pilot zones mainly are [17]. According to the analysis above, location selection is determined by both manmade factors and natural factors. The manmade factor leads to the high carbon emission when the political hierarchy upgrades and the inhabitation of the carbon reduction is proved significantly. The natural factors appear as a carbon-reduction effect. After combining the role of these two factors, we found that the direction of the final role is uncertain. However, the impact of location selection on the carbon reduction is significant. All in all, the results support H2.

5.2. Fiscal Subsidy Effect and Gradient Transfer Effect of Policy Intensity

5.2.1. Fiscal Subsidy Effect of Policy Intensity

Table 9 selects samples according to 30 km, 50 km, 79 km, 100 km, and 159 km away from the boundary; adds the interaction term of financial subsidy intensity; and tests Equation (4), using local analysis method and global analysis method. The results are shown in Table 9. There is a significantly positive correlation between policy intensity and carbon reduction. There is not a significant impact on carbon emissions in border areas (within 50 km), and samples outside 79 km have a significant impact.
The results show the impact of the monetary shock, as we mentioned in conceptual framework, and the positive effect on carbon reduction is supported by findings of Mahmood (2022) [66] and Shi et al. (2023) [60]. The findings also show that the fiscal subsidiaries resulting in the industrial form the structural effect and scale effect, which have an important impact on carbon reduction. This result is evidenced in Grossman et al. (1991) [10].

5.2.2. Gradient Transfer Effect

Screening is carried out according to the average value of carbon emissions in each province per annum, and the areas containing higher carbon emissions than the average value are recorded as high-carbon-emission areas, and the remaining areas are considered to be low-carbon-emission areas. Gradient shifts are identified by analyzing the impact of political hierarchy upgrade of the opening-up pilot policy on both high- and low-carbon-emission areas. Since the carbon emissions of various regions change slightly year by year, the high-carbon-emission regions and the low-carbon-emission regions are selected according to the principle of the least common divisor of each year. Among them, there are 265 high-carbon-emission areas and 578 low-emission areas. According to this classification, samples within a radius of 100 km and 159 km were selected to perform the regression on Formula (4) (the test results are shown in Table 10). The improvement of the political hierarchy of the opening-up pilot policy has no significant impact on the high-carbon-emission areas but has a significant positive effect on the low-carbon-emission areas.
The significant difference between high-emission areas and low-emission areas indicates that the political hierarchy upgrade significantly promotes the gradient transfer of industries. This can be explained by the fact that many heavily polluted industries in high-emission areas, which are normally the economically advanced areas, have been moved to low-emission areas that are often less developed regions; thus a higher level of carbon emission is produced, which forms the gradient transfer effect. The coastal planning strategy of one province is closely related to that of its neighboring provinces. The close economic connection constitutes the policy planning tendency of gradient transfer and provides the policy basis for the gradient transfer between regions. This phenomenon of environmental dumping in geographical proximity is consistent with the findings of Shen et al. (2014) [67], which pointed out that “economic distance promotes environmental dumping between neighboring regions”.
Above all, policy intensity is another impact factor which affects carbon reduction through the fiscal subsidy effect and gradient transfer effect. The reasons for promoting low-carbon emission areas are mainly due to the economic and industrial transfer in developed areas. With the support of favorable policies, economically underdeveloped regions have accepted industrial transfer from economically developed regions, especially the transfer of polluting industries [70]. Because of the gradient effect of regional economic development, this industrial transfer significantly increases carbon emissions in low-carbon emission areas; therefore, the H3 has been proved.

6. Conclusions and Recommendations

6.1. Conclusion

Overall, it is found that the improvement of the political hierarchy of the opening-up policy has significantly inhibited the carbon reduction; the net carbon emissions of the eastern coastal areas have increased significantly. There is strong heterogeneity among provinces, and there are significant boundary jump effects and boundary depression effects. The promotion of the political hierarchy of the opening-up policy has a significant carbon-reduction effect by increasing policy intensity, resulting in financial subsidy effects and gradient transfer effects. However, the location selection has a mix combination effect, which depends on the magnitude of manmade factors and natural factors, resulting in the structure effect and scale effect. The main contributions are as follows:
(1) The improvement of the political hierarchy of the opening-up policy significantly promotes the total regional carbon emissions and has a significant inhibitory effect on carbon reductions. There is a significant boundary effect that the inhibitory effect increases obviously across the border of national-level opening-up areas.
(2) There is significant heterogeneity in the impact of the opening-up pilot policy’s political-hierarchy upgrade on regional carbon reduction, with large differences among provinces (cities). Zhejiang Province, Hebei Province, and Guangdong Province had a significant positive effect on the carbon emissions. In Zhejiang Province, there is an obvious border jump effect, but there is a border depression effect in Hebei and Guangdong. The carbon-reduction effect is positively correlated with the distance from the coastline in Guangdong Province. The closer the counties are to the coastline, the more significant the influence is, since the state-level opening-up areas in Guangdong are concentrated in the coastal areas. On the contrary, the effect appears different in Hebei: the closer the counties are to the coastline, the weaker the effect is. For Liaoning Province, Fujian Province, Shandong Province, and Jiangsu Province, the political hierarchy upgrade of the opening-up policy is significantly beneficial to the carbon reduction, while there is an obvious border--jumping effect in Shandong, Jiangsu, and Liaoning.
Due to different geographical locations, the impact of the opening-up pilot policy on the net carbon emissions is different. For coastal areas, the political hierarchy of the opening-up pilot policy has significantly boosted carbon emissions in the region. For border counties (districts), it has reduced the net carbon emissions in the region.
(3) The upgrade of trade policy forming a new trade shock promotes industrial agglomeration, which results in effects on carbon emissions. There are two determinant factors: the geographical path dependence of manmade factors and the low mobility of natural factors. The location selection for the implementation of the opening-up pilot policy has a significant mixing effect on the carbon reduction, which depends on the combination role of manmade factors and natural factors. The high path dependence of the coastal opening policy based on geographical advantages leads to the increase of regional carbon emissions. Manmade factors and natural factors in a geographical location both determine the impact of geographical location factors on carbon emissions. In the sample test, human factors obviously exceeded natural factors and became an important reason for the political hierarchy upgrade of the trade opening-up policy to inhibit the carbon reduction.
(4) The upgrade of the trade opening policy has brought changes mainly in two aspects: first, a shock of new financial subsidies is formed, which promotes economic agglomeration, generates structural effects, and increases carbon emissions; and second, the shock of fiscal subsidies causes gradient transfer and has an impact on carbon emissions. The promotion of the political hierarchy of the opening-up pilot policy has a significant effect on carbon reduction by changing policy intensity, resulting in financial subsidy effects and gradient transfer effects. From the perspective of the subsidy effect, the fiscal subsidy brought by the political-hierarchy upgrade of the opening-up policy has produced effects on carbon reduction. The improvement of the political hierarchy of the opening-up pilot policy has no significant impact on the high-carbon-emission areas, but it has a significant promoting effect on the low-carbon-emission areas, showing a strong gradient transfer effect. The gradient transfer effect of the political hierarchy upgrade is mainly derived from the economic and industrial transfer in the pilot zone. With the support of favorable policies, the non-pilot zone accepts the industrial transferring from the pilot zone, especially the pollution-oriented industry transfer. Through the gradient effect of regional economic development, the transferring industry significantly increases the carbon emissions of non-pilot zones.
Overall, the paper has examined the effect of political-hierarchy promotion of the trade-opening pilot policy on the regional carbon reduction in Eastern Coastal China. However, the dataset covers only the period of 1997–2017, which limits the findings of the study. China’s opening-up policy has its own characteristics—it was market-oriented prior to 2008 and then became institutional-oriented after 2008. Future research could explore the impact of the institutional-oriented opening-up on carbon reduction. The action mechanism of the effect of policy intensity and location selection on carbon emissions was examined in the paper, but the action direction is still unclear, so future research can explore the action direction.

6.2. Policy Recommendations

Based on the existing research conclusions, this article provides the following recommendations:
First, coordinate regional development and implement differentiated carbon-emission-reduction measures. The carbon-emission ranking of the nine coastal provinces (cities) is as follows: Shandong, Jiangsu, Hebei, Guangdong, Liaoning, Zhejiang, the Guangxi Zhuang Autonomous Region, Shanghai, and Tianjin. After the regional trade-opening strategy has been upgraded to a national strategy, special funds for environmental protection in Zhejiang Province, Hebei Province, Shanghai, Tianjin, and Guangdong Province should be deployed in a targeted manner to improve the level of environmental regulation. Increase the use of clean technology and improve the environmental protection standards and industrial energy utilization efficiency in the planning area. It can effectively reduce carbon emissions in Zhejiang, Hebei, Shanghai, Tianjin, and Guangdong provinces. For Liaoning Province, Fujian Province, the Guangxi Zhuang Autonomous Region, Shandong Province, and Jiangsu Province, the current level of capital investment and environmental regulation can be maintained to ensure the continuous development of the synergistic benefits of the regional opening-up strategy.
Second, improve the carbon sink capacity of marine ecosystems. Control the amounts of industrial pollutants discharged into the sea, especially the pollution from industries and oil-extraction operations in the vicinity of coastal wetlands, to reduce the acidity and negative oxidation of seawater caused by human production activities. Protect the ecological environment of coastal wetlands and stabilize the area of seagrass beds. Make full use of the carbon pump mechanism of marine plants and micro-organisms to increase carbon storage capacity.
Third, increase the support of special environmental protection funds for national strategic open areas and simultaneously improve the environmental protection evaluation standards for enterprises by using special funds. The utilization efficiency of the central special financial subsidy can be improved through the implementation of special funds for additional assessments, such as whether the project has established an environmental protection evaluation mechanism and whether it has achieved effective emission reductions.
Fourth, coordinate regional development and implement the gradient reduction of county-level carbon-emission reduction. While raising the standards for foreign-investment introduction and industrial environmental protection in frontier opening-up areas, establish green standards for industrial transfer. Avoid high pollution and eliminate industries through the regional development gradient effect; that is, transfer from developed areas to underdeveloped areas. Realize carbon-emission reduction in areas with deep trade opening, maintain stable carbon emission in underdeveloped areas, and achieve coordinated development of regional carbon-emission reduction.
Finally, reduce administrative border barriers and achieve carbon reduction in trade-opening-up areas. Promoting the construction of a unified national market with regional economic integration is an important strategic means for China to promote the new economic growth pole. Weakening the administrative boundary can achieve regional equalization of carbon emissions by promoting the construction of a unified national market and the use the ecological carbon sequestration capacity of the border area to assist CCS in the trade planning area.

Author Contributions

Conceptualization, methodology, software, validation, N.Z.; formal analysis, Y.Z.; investigation, N.Z. and Y.Z.; resources, N.Z. and Y.Z.; data curation, N.Z. and Y.Z.; writing—original draft preparation, N.Z.; writing—review and editing, Y.Z.; visualization, N.Z. and Y.Z.; supervision, N.Z. and Y.Z.; project administration, Y.Z.; funding acquisition, N.Z. All authors have read and agreed to the published version of the manuscript.

Funding

This research was funded by the Educational Department Fund of Liaoning Province, Grant Number LJKZR20220012; and the Social Science Planning Fund of Shenyang City (No. SY202234Y and No. SYSK2022-01-032).

Institutional Review Board Statement

Not applicable.

Informed Consent Statement

Not applicable.

Data Availability Statement

Available from the first author upon request.

Acknowledgments

We would like to express our gratitude to the anonymous reviewers for their precious comments to improve our research. The article is supported by the School of Finance and Trade at University.

Conflicts of Interest

The authors declare no conflict of interest.

Appendix A

Table A1. List of regional strategies of 9 coastal provinces and cities.
Table A1. List of regional strategies of 9 coastal provinces and cities.
ScopeTimePlan Name
LiaoningDalian, Yingkou, Jinzhou, Panjin, Huludao, Dandong2009“Liaoning Coastal Economic Belt Development Plan”
Hebei(Qinhuangdao, Caofeidian, Huanghua) Caofeidian New District, Bohai New District, Beidaihe New District2011“Hebei Coastal Area Development Plan”
TianjinBinhai New Area2006“Opinions on Promoting the Development and Opening-up of Tianjin Binhai New Area”
Shanghai Pudong New Area1990“Outline of the Economic, Technological, Social, and Cultural Development of Pudong New Area”
ShandongThe six cities of Qingdao, Yantai, Weihai, Weifang, Dongying, and Rizhao, and the two coastal counties of Wudi and Zhanhua in Binzhou belong to the land area2011“Shandong Peninsula Blue Economic Zone Development Plan”
ZhejiangHangzhou Bay, Wenzhou, Taizhou, Ningbo, Zhoushan2011“Zhejiang Marine Economic Development Demonstration Zone Planning”
Jiangsu ProvinceLianyungang, Yancheng, Nantong2009“Jiangsu Coastal Area Development Plan”
FujianFuzhou, Xiamen, Quanzhou, Wenzhou, Shantou2009“Several Opinions on Supporting Fujian Province to Accelerate the Construction of the Economic Zone on the West Bank of the Taiwan Strait”
(Jieyang, Shanwei, Qingyuan, Chaozhou)2011“Development Plan for the Economic Zone on the West Coast of the Taiwan Strait”
GuangdongGuangzhou, Foshan, Zhaoqing, Shenzhen, Dongguan, Huizhou, Zhuhai, Zhongshan, Jiangmen2009“Outline of the Reform and Development Plan for the Pearl River Delta Region (2008–2020)”

References

  1. Dean, J.M.; Lovely, M.E.; Wang, H. Are Foreign Investors Attracted to Weak Environmental Regulations? Evaluating the Evidence from China. In World Bank Policy Research Working Paper 2004; World Bank: Washington, DC, USA, 2004; p. 3505. [Google Scholar]
  2. Cole, M.A.; Elliott, R.J.R. Determining the Trade environment Composition Effect: The Role of Capital, Labor and Environmental Regulations. J. Environ. Econ. Manag. 2003, 46, 363–383. [Google Scholar] [CrossRef]
  3. Atici, C. Carbon Emissions Trade Liberalization and the Japan-ASEAN Interaction: A Group Wise Examination. J. Jpn. Int. Econ. 2012, 26, 167–178. [Google Scholar] [CrossRef]
  4. Gryz, A.K. Economic Growth, International Trade and Air Pollution: A Decomposition Analysis. Ecol. Econ. 2009, 68, 1329–1339. [Google Scholar] [CrossRef]
  5. Birdsall, N.; Wheeler, D. Trade Policy and Industrial Pollution in Latin America: Where are the Pollution Havens? World Bank: Washington, DC, USA, 1993. [Google Scholar]
  6. Chicilnisky, G. North-South Trade and the Global Environment. Am. Econ. Rev. 1994, 84, 851–874. [Google Scholar] [CrossRef]
  7. Chakraborty, D.; Mukherjee, S. How Do Trade and Investment Flows Affect Environmental Sustainability? Evid. Panel Data. Environ. Dev. 2013, 6, 34–47. [Google Scholar] [CrossRef]
  8. Gunnar, E.; Harrison, A. Moving to greener pastures? Multinationals and the pollution haven hypothesis. J. Dev. Econ. 2003, 70, 1–23. [Google Scholar]
  9. Bhagwati, J.N. The Case for Free Trade. Sci. Am. 1993, 269, 42–49. [Google Scholar] [CrossRef]
  10. Grossman, G.M.; Krueger, A.B. Environmental Impacts of a North America Free Trade Agreement; NBER Working Paper No.3914; NBER: Cambridge, MA, USA, 1991. [Google Scholar]
  11. Larson, D.F.; Martin, W.J.; Sahin, S.; Tsigas, M.E. Agricultural Policies and Trade Paths in Turkey. World Econ. 2016, 39, 1194–1224. [Google Scholar] [CrossRef]
  12. Antweile, R.W.; Copeland, B.R.; Taylor, M.S. Is free trade good for the environment. Am. Econ. Rev. 2001, 91, 877–908. [Google Scholar] [CrossRef]
  13. Cole, M.A. Trade, the pollution haven hypothesis and the Environmental Kuznets Curve: Examining the linkages. Ecol. Econ. 2004, 48, 71–81. [Google Scholar] [CrossRef]
  14. Klotz, R.; Sharma, R.R. Trade barriers and CO2. J. Int. Econ. 2023, 141, 103726. [Google Scholar] [CrossRef]
  15. Choi, Y.; Zhang, N.; Zhou, P. Efficiency and abatement costs of energy-related CO2 emissions in China: A slacks-based efficiency measure. Appl. Energy 2012, 98, 198–208. [Google Scholar] [CrossRef]
  16. Lin, B.Q.; Du, K.R. Energy and CO2 Emissions Performance in China’s Regional Economies: Do Market-Oriented Reforms Matter. Energy Policy 2015, 78, 113–124. [Google Scholar] [CrossRef]
  17. Lu, Y.; Zhang, Y.; Cao, X.; Wang, C.; Wang, Y.; Zhang, M.; Ferrier, R.C.; Jenkins, A.; Yuan, J.; Bailey, M.J.; et al. Forty years of reform and opening up: China’s progress toward a sustainable path. Sci. Adv. 2019, 5, eaau9413. [Google Scholar] [CrossRef] [PubMed]
  18. Report of Hu Jintao to the 18th CPC National Congress, 2012, 11. Available online: http://www.china.org.cn/china/18th_cpc_congress/2012-11/16/content_27137540_8.htm (accessed on 27 August 2022).
  19. Xi, J.P. The Report to the 20th National Congress of the Communist Party of China, 2022, 10. Available online: http://www.chinadaily.com.cn/a/202210/25/WS6357e484a310fd2b29e7e7de.html (accessed on 13 August 2022).
  20. The State Council of the People’s Republic of China, the 14th Five-Year Plan (2021–2025) for National Economic and Social Development and the Long-Range Objectives through the Year 2035, 2021, 3. Available online: http://www.gov.cn/xinwen/2021-03/13/content_5592681.htm (accessed on 22 July 2022).
  21. Xi, J.P. Statement at the General Debate of the 75th Session of The United Nations General Assembly, 2020, 9. Available online: http://www.xinhuanet.com/english/2020-09/23/c_139388686.htm (accessed on 2 June 2022).
  22. Yang, Y.H.; Niu, G.H.; Tang, D.L.; Zhu, M.J. Spatial Econometric Analysis of the effect of government Governance on Regional Emission Reduction: Evidence from China. Policy J. Environ. Study 2018, 27, 2838–2842. [Google Scholar] [CrossRef]
  23. Jia, J.X.; Liang, X.; Ma, G.R. Political Hierarchy and Regional Economic Development: Evidence from A Spatial Discontinuity in China. J. Public Econ. 2021, 194, 104352. [Google Scholar] [CrossRef]
  24. Kaya, Y.; Yokobori, K. Environment, Energy, and Economy: Strategies for Sustainability; United Nations Univ. Press.: Tokyo, Japan, 1998. [Google Scholar]
  25. Chen, J.Y.; Liu, W.; Hu, Y. Foreign Trade, Environmental Protection and Sustainable Economic Growth in China. Asia-Pac. Econ. Rev. 2005, 1, 74–77. [Google Scholar] [CrossRef]
  26. Dogan, E.; Inglesi-Lotz, R. The Impact of Economic Structure to the Environmental Kuznets curve (EKC) Hypothesis: Evidence from European countries. Environ. Sci. Pollut. Res. 2020, 27, 12717–12724. [Google Scholar] [CrossRef]
  27. Mujtaba, A.; Jena, P.K.; Mukhopadhyay, D. Determinants of CO2 Emissions in Upper Middle-income Group Countries: An Empirical Investigation. Environ. Sci. Pollut. Res. 2020, 27, 37745–37759. [Google Scholar] [CrossRef]
  28. Ni, P.; Kusuma, W. Economics and Environmental Development: Testing the Environmental Kuznets Curve Hypothesis. Int. J. Energy Econ. Policy 2021, 11, 51–58. [Google Scholar]
  29. Pincheira, R.; Zúiga, F.; Valencia, F. An Environmental Measurement for a Dynamic and Endogenous Global Environmental Kuznets Curve in the Global Context. Environ. Sci. Pollut. Res. 2021, 28, 65573–65594. [Google Scholar] [CrossRef] [PubMed]
  30. Dietzenbacher, E.; Romero, I. Production Chains in an Interregional Framework: Identification by Means of Average Propagation Lengths. Int. Reg. Sci. Rev. 2007, 30, 362–383. [Google Scholar] [CrossRef]
  31. Dang, Y.T.; Wan, N. The Effect of Trade on Environment: An Empirical Analysis on China’s Manufacturing Sector. World Econ. Study 2007, 4, 52–57+88. [Google Scholar]
  32. Li, K.; Qi, S.Z. Trade Openness, Economic Growth and Carbon Dioxide Emission in China. Econ. Res. J. 2011, 11, 60–72. [Google Scholar]
  33. Peng, S.J.; Liu, A.P. The Environmental Effect of China’s Foreign Trade—Empirical Study Based on the output-Input Model. J. World Econ. 2010, 5, 140–160. [Google Scholar]
  34. Li, X.P. The Calculation of Embodied CO2 in International Trade: Based on Environment Output-Input Model of the Vertical Fragmentation. Financ. Trade Econ. 2010, 5, 66–70. [Google Scholar]
  35. Li, X.X.; Zhang, T. The Empirical Study of the Impact of Export Growth on Environment. J. Int. Trade 2004, 7, 9–12. [Google Scholar]
  36. Dean, J.M.; Lovely, M.E. Trade Growth, Production Fragmentation, and China′s Environment. NBER Work. Pap. 2022, 5, 13860. [Google Scholar]
  37. Fan, A.J.; Zheng, Z.Q.; Ma, Y.J. Trade Policy, Global Value Chain Location and China’s Carbon Dioxide Emissions. J. Shandong Univ. Philos. Soc. Sci. 2021, 6, 138–149. [Google Scholar]
  38. Wang, M.C.; Xu, K.N. Trade Openness, Economic Growth and CO2 Emission in China: A GVAR Analysis. China Popul. Resour. Environ. 2015, 25, 134–144. [Google Scholar]
  39. Li, K.; Qi, S.Z. Trade Openness, Self-selection and Regional Carbon Emission Performance Gap in China: Based on the “Counterfactual” Analysis of Propensity Score Matching Model. Financ. Trade Econ. 2018, 1, 50–65. [Google Scholar]
  40. Sun, J.; Liu, W.G.; Zhou, Y.D. Openness, Industry Structure and Green Economic Growth. J. Manag. World 2014, 06, 172–173. [Google Scholar]
  41. Wu, Q.L.; Wang, J.M.; Guo, P.B. Peak regional carbon emissions based on open STIRPAT Modeling in an Energy-Producing Region of Shanxi. Resour. Sci. 2018, 40, 1051–1062. [Google Scholar]
  42. Qi, S.Z.; Xu, J. Influence of trade openness on green TFP of Countries along ‘the Belt and Road’. China Popul. Resour. Environ. 2018, 28, 134–144. [Google Scholar]
  43. Tong, X.; Chen, K.; Li, G. A Verification of International Trade and Carbon Emissions Spatial Overflow Based on 30 Provinces Data and Spatial Econometrics Model. Econ. Manag. 2014, 36, 14–24. [Google Scholar]
  44. Ren, X.S.; Liu, Y.J.; Zhao, G.H. The impact and transmission mechanism of economic agglomeration on carbon intensity. China Popul. Resour. Environ. 2020, 30, 95–106. [Google Scholar]
  45. Cai, B.F.; Zhang, L.X. Urban CO2 Emissions in China: Spatial Boundary and Performance Comparison. Energy Policy 2014, 66, 557–567. [Google Scholar] [CrossRef]
  46. Chen, S.M.; Zhong, Y.A. Research on Relationship of Foreign Trade and Carbon Emissions in China: Based on Semi-Parametric Panel of Spatial Lag Model. Stat. Inf. 2014, 29, 43–50. [Google Scholar]
  47. Li, X.T.; Feng, D.; Li, J.; Zhang, Z.S. Research on the Spatial Network Characteristics and Synergetic Abatement Effect of the Carbon Emissions in Beijing–Tianjin–Hebei Urban Agglomeration. Sustainability 2019, 11, 1444. [Google Scholar] [CrossRef]
  48. Zhang, J.C.; Zhong, W.Z. Research of Chinese Provincial Carbon Efficiency and Total Factor Productivity Based on SFA. Soft Sci. 2015, 29, 105–109. [Google Scholar]
  49. Lan, H.; Wang, L.Y. Research on Regional Carbon Emission Performance and Environmental Regulation Threshold Effect under Green Development—Based on SE-SBM and Double Sill Panel Model. Soft Sci. 2019, 33, 73–77. [Google Scholar]
  50. Worrell, E.; Price, L. Policy Scenarios for Energy Efficiency Improvement in Industry. Energy Policy 2001, 29, 1223–1241. [Google Scholar] [CrossRef]
  51. Zhou, L.; Xia, Y.H.; Chen, W.Y. Review of low carbon development targets and relative co-benefits in China. China Popul. Resour. Environ. 2020, 30, 10–17. [Google Scholar]
  52. Huang, J.P.; Qi, S.Z.; Jiang, D.L. Enterprise Carbon Asset Management Model and Countermeasures Under the Background of National Unified Carbon Market Construction. Environ. Prot. 2019, 47, 13–17. [Google Scholar]
  53. Yang, Y.; He, F.; Ji, J.; Liu, X. Peaking Carbon Emissions in a Megacity through Economic Restructuring: A Case Study of Shenzhen, China. Energies 2022, 15, 6932. [Google Scholar] [CrossRef]
  54. Liu, Y.J. China’s Regional Development Strategy and Regional Policy. Reg. Econ. Rev. 2021, 1, 10–13. [Google Scholar]
  55. Qiu, S.H.; Lin, S.Y.; Wang, W.Q. Characteristics of soil organic carbon pool at different altitude gradients in eastern China and its influencing factors: A review. Res. Soil Water Conserv. 2022, 3, 142–150. [Google Scholar]
  56. Ahmad, D.J.; Sundarapandian, S. Patterns of plant diversity in seven temperate forest types of Western Himalaya, India. J. Asia-Pac. Biodivers. 2016, 9, 280–292. [Google Scholar]
  57. Scharlemann, J.P.W.; Tanner, E.V.J.; Hiederer, R.; Kapos, V. Global soil carbon: Understanding and managing the largest terrestrial pool. Carbon Manag. 2014, 5, 81–91. [Google Scholar] [CrossRef]
  58. Vieira, S.A.; Alves, L.F.; Duarte-Neto, P.J.; Martins, S.C.; Veiga, L.G.; Scaranello, M.A.; Martinelli, L.A. Stocks of carbon and nitrogen and partitioning between above-and belowground pools in the Brazilian coastal Atlantic Forest elevation range. Ecol. Evol. 2011, 1, 421–434. [Google Scholar] [CrossRef]
  59. Fujita, M.; Krugman, P.; Anthony, J.V. The Spatial Economy: Cities, Regions and International Trade; The MIT Press: Cambridge, MA, USA, 1999; pp. 13–55. [Google Scholar]
  60. Baldwin, R.E. Economics Geography and Public Policy; Princeton University Press: Princeton, NJ, USA, 2003; pp. 33–36. [Google Scholar]
  61. Kheder, S.B.; Zugravu, N. Environmental Regulation and French Firms Location Aboard: An Economic Geography Model in an International Comparative Study. Ecol. Econ. 2012, 77, 48–61. [Google Scholar] [CrossRef]
  62. Liu, K.W.; Pan, K.Y. The Quantification and Evolution Process of Regional Policy Strength in Yangtze River Delta: For an Example of Regional Opening up and Development Policy. Hum. Geogr. 2015, 30, 87–94. [Google Scholar] [CrossRef]
  63. Mulholland, E.; Berger, G. Multi-Level Governance and Vertical Policy Integration: Implementation of the 2030 Agenda for Sustainable Development at All Levels of Government; ESDN quarterly report 43; ESDN Office: Vienna, Austria, 2017. [Google Scholar]
  64. Rong, S. Multilevel Governance in Environmental Policy Integration: A Content Analysis of Regional and Urban Nested Hierarchies in China. Environ. Policy Gov. 2021, 31, 283–301. [Google Scholar] [CrossRef]
  65. Galinato, G.I.; Galinato, S.P. The Effects of Government Spending on Deforestation Due to Agricultural Land Expansion and CO2 Related Emissions. Ecol. Econ. 2016, 122, 23. [Google Scholar] [CrossRef]
  66. Mahmood, H.; Adow, A.H.; Abbas, M.; Iqbal, A.; Murshed, M.; Furqan, M. The Fiscal and Monetary Policies and Environment in GCC Countries: Analysis of Territory and Consumption-Based CO2 Emissions. Sustainability 2022, 14, 1225. [Google Scholar] [CrossRef]
  67. Shen, N.; Wang, Q.W.; Zhao, Z.Y. Trade Correlation, Spatial Agglomeration and Carbon Emission- the Analysis of Neo-geographic Economy. J. Manag. World 2014, 1, 176–177. [Google Scholar]
  68. Zhang, Z.K.; Guo, J.E.; Geoffrey, J.D. HewingsThe effects of direct trade within China on regional and national CO2 emissions. Energy Econ. 2014, 46, 161–175. [Google Scholar] [CrossRef]
  69. Shao, L.; Li, Y.; Feng, K.S.; Meng, J.; Shan, Y.L.; Guan, D.B. Regional disparities and evolution trend of city-level carbon emission intensity in China. Appl. Energy 2018, 215, 396–404. [Google Scholar] [CrossRef]
  70. Zhou, J.; Yin, Z.; Yue, P. The impact of access to credit on energy efficiency. Financ. Res. Lett. 2023, 51, 103472. [Google Scholar] [CrossRef]
  71. Chen, J.D.; Gao, M.; Cheng, S.L.; Hou, W.X.; Song, M.L.; Liu, X.; Liu, Y.; Shan, Y. County-level CO2 sequestration in China. Sci. Data 2020, 7, 391. [Google Scholar] [CrossRef]
  72. Ma, G.R.; Zhao, Y.H. Administrative Planning Barriers, Public Goods Provision in Border Areas, and Economic Development. Financ. Res. 2022, 8, 55–73. [Google Scholar]
Figure 1. Conceptual framework.
Figure 1. Conceptual framework.
Sustainability 15 05995 g001
Figure 2. Geographic breakpoint boundary. Note: The red line is the provincial boundary, and the blue line is the breakpoint boundary.
Figure 2. Geographic breakpoint boundary. Note: The red line is the provincial boundary, and the blue line is the breakpoint boundary.
Sustainability 15 05995 g002
Figure 3. Smoothness test. Note: The solid line is the 95% confidence interval; the dashed line is the linear fitting line of carbon emissions and distance; the solid point is the average carbon emission per 10 km from the county center point to the border; the negative value is the pilot zone, and the positive value is for the non-pilot zone, which is marked as NonLH and LH.
Figure 3. Smoothness test. Note: The solid line is the 95% confidence interval; the dashed line is the linear fitting line of carbon emissions and distance; the solid point is the average carbon emission per 10 km from the county center point to the border; the negative value is the pilot zone, and the positive value is for the non-pilot zone, which is marked as NonLH and LH.
Sustainability 15 05995 g003
Figure 4. Breakpoint distribution of carbon emissions from 1997 to 2017. Note: The solid line is the 95% confidence interval; the dashed line is the linear fitting line of carbon emissions and distance; the solid point is the average carbon emission per 10 km from the county center point to the border; the negative value is the pilot zone, and the positive value is for the non- pilot zone, which is marked as NonLH and LH.
Figure 4. Breakpoint distribution of carbon emissions from 1997 to 2017. Note: The solid line is the 95% confidence interval; the dashed line is the linear fitting line of carbon emissions and distance; the solid point is the average carbon emission per 10 km from the county center point to the border; the negative value is the pilot zone, and the positive value is for the non- pilot zone, which is marked as NonLH and LH.
Sustainability 15 05995 g004
Figure 5. Breakpoint distribution of local polynomial carbon emissions from 1997 to 2017 (samples within 160 km). Note: The solid line is the 95% confidence interval, the dotted line is the linear fitting line of carbon emission and distance, and the solid point is the average carbon emission per 10 km of the distance between the county center and the border. The value is the seaside area.
Figure 5. Breakpoint distribution of local polynomial carbon emissions from 1997 to 2017 (samples within 160 km). Note: The solid line is the 95% confidence interval, the dotted line is the linear fitting line of carbon emission and distance, and the solid point is the average carbon emission per 10 km of the distance between the county center and the border. The value is the seaside area.
Sustainability 15 05995 g005
Table 1. Data comparison.
Table 1. Data comparison.
Control GroupTreatment Group
MeanMeanDifference
Altitude69.678646.1196923.55891
(58.34056)(50.72952)(7.61104)
Carbon emission1.0915231.114619−0.0231
(0.762599)(0.868455)(−0.10586)
GDP1,667,9572,280,009−612,052
(2,818,925)(3,014,256)(−195,331)
Population65.0742175.80258−10.7284
(33.35839)(38.21995)(−4.86156)
Central financial subsidy20.26%1 6.5%3.76%
Number of samples78786592
Note: All the results were calculated by Stata16.0, and the standard errors are shown in brackets.
Table 2. Baseline regression.
Table 2. Baseline regression.
(1)(2)(3)(4)(5)(6)
<100 km<159 km<306 km<100 km<159k m<306 km
Seaside0.1370.213 **0.254 ***0.221 **0.280 ***0.307 ***
(−0.075)(−0.069)(−0.068)(−0.072)(−0.068)(−0.07)
f(locationi)LinearLinearLinearQuadraticQuadraticQuadratic
N11,90614,99219,00411,90614,99219,004
R20.0450.0670.0940.080.0980.132
Note: Standard errors in brackets, * p < 0.05, ** p < 0.01, and *** p < 0.001. All the results were calculated by Stata16.0.
Table 3. Robustness check.
Table 3. Robustness check.
(1)(2)(3)(4)(5)(6)(7)
79–100 km79–100 km<30 km<30 km<159 km<306 km<306 km
Seaside0.671 ***0.848 ***−0.743 ***−0.651 **0.231 **0.164 *0.256 ***
(−0.197)(−0.207)(−0.219)(−0.217)(−0.077)(−0.075)(−0.073)
f(locationi)LinearQuadratic LinearQuadratic Quadratic LinearQuadratic
N193231492827282712,81416,25316,253
R20.1490.1770.1480.2340.1530.1430.192
Note: Standard errors in brackets, * p < 0.05, ** p < 0.01, and *** p < 0.001. All the results were calculated by Stata16.0.
Table 4. Placebo test.
Table 4. Placebo test.
(1)(2)(3)(4)(5)
Move EastMove West
<100 km<159 km<100 km<159 km
Seaside0.1220.1170.1280.108 0.058
(−0.089)(−0.079)(−0.072)(−0.068)(0.034)
f(locationi)QuadraticLinearLinearLinearLinear
N10,47813,98212,34515,7933064
R20.0720.0530.0690.0780.031
Note: Standard errors in brackets, * p < 0.05, ** p < 0.01, and *** p < 0.001. All the results were calculated by Stata16.0.
Table 5. Provinces that are positively affected.
Table 5. Provinces that are positively affected.
ProvinceHebei ProvinceGuangdong ProvinceZhejiang Province
<50 km<50 km<100 km<100 km<50 km<50 km
Seaside0.924 ***0.840 *0.620 **0.672 ***0.277 ***0.108
(−0.218)(−0.296)(−0.213)(−0.181)(−0.071)(−0.271)
f(locationi)LinearQuadratic LinearQuadraticLinearQuadratic
N4414412142214210081008
R20.1830.2290.0830.2320.2810.356
The number of counties359135902562256218901890
Note: Standard errors in brackets, * p < 0.05, ** p < 0.01, and *** p < 0.001. All the results were calculated by Stata16.0.
Table 6. Negatively affected provinces and cities.
Table 6. Negatively affected provinces and cities.
Province Fujian ProvinceShandong ProvinceJiangsu ProvinceLiaoning
<50 km<50 km<30 km<30 km<30 km<30 km<50 km<50 km
Seaside−0.839 *−0.594−0.520 **−0.183−0.896 *−1.176 ***−0.275 **−0.386 **
(−0.375)(−0.722)(−0.135)(−0.211)(−0.342)(−0.297)(−0.095)(−0.081)
f(locationi) LinearQuadratic LinearQuadratic LinearQuadratic LinearQuadratic
N651651294294400400798798
R20.3470.4140.0640.1750.1840.2370.0350.126
The number of counties17851785294029402142214220792079
Note: Standard errors in brackets, * p < 0.05, ** p < 0.01, and *** p < 0.001. All the results were calculated by Stata16.0.
Table 7. Inspection of coastal counties and border counties.
Table 7. Inspection of coastal counties and border counties.
(1)(2)(3)(4)(5)(6)
<200 km<200 km<37 km<37 km<52 km<52 km
Seaside0.236 ***0.321 ***0.0350.0820.0140.053
(−0.018)(−0.019)(−0.133)(−0.107)(−0.099)(−0.095)
f l o c a t i o n i LinearQuadraticLinearQuadraticLinearQuadratic
N15,96115,9614873487365736573
R20.0690.0980.0580.1270.0550.108
Note: Standard errors in brackets, * p < 0.05, ** p < 0.01, and *** p < 0.001. All the results were calculated by Stata16.
Table 8. Tests for controlling altitude factors.
Table 8. Tests for controlling altitude factors.
(1)(2)(3)(4)(5)(6)
<30 km<30 km<100 km<100 km<159 km<159 km
Seaside0.087 ***0.111 ***0.115 ***0.165 ***0.136 ***0.182 ***
(−0.026)(−0.026)(−0.018)(−0.018)(−0.017)(−0.018)
le−0.177 ***−0.152 ***−0.132 ***−0.117 ***−0.132 ***−0.119 ***
(−0.008)(−0.008)(−0.005)(−0.005)(−0.005)(−0.005)
f(locationi)LinearQuadraticLinearQuadraticLinearQuadratic
N5085508512,77012,77014,91214,683
R20.1830.2140.1210.1360.1270.136
Note: Standard errors in brackets, * p < 0.05; ** p < 0.01 and *** p < 0.001. All the results were calculated by Stata16.
Table 9. Inspection of financial subsidies.
Table 9. Inspection of financial subsidies.
(1)(2)(3)(4)(5)(6)
<30 km<50 km<79 km<100 km<159 kmglobal
Seaside0.076−0.0370.188 ***0.251 ***0.132 ***0.237 ***
(−0.054)(−0.044)(−0.033)(−0.032)(−0.036)(−0.032)
lf−0.214 ***−0.153 ***−0.125 ***−0.150 ***−0.128 ***−0.130 ***
(−0.015)(−0.013)(−0.011)(−0.01)(−0.011)(−0.01)
fs−0.044 *−0.071 ***−0.033 *−0.008−0.045 **−0.02
(−0.022)(−0.018)(−0.013)(−0.013)(−0.014)(−0.013)
f(locationi)QuadraticQuadraticQuadraticQuadraticQuadraticQuadratic
N5886827712,97716,16511,21414,741
R20.3270.2750.210.2040.2240.204
Note: Standard errors in brackets, * p < 0.05, ** p < 0.01, and *** p < 0.001. All the results were calculated by Stata16.0.
Table 10. Inspection of high- and low-carbon-emission areas.
Table 10. Inspection of high- and low-carbon-emission areas.
(1)(2)(3)(4)(5)(6)(7)(8)
High-Emission AreasLow-Emission Areas
<100 km<159 km<100 km<159 km <100 km<159 km<100 km<159 km
Seaside−0.0010.038−0.030.0210.166 ***0.217 ***0.272 ***0.312 ***
(−0.021)(−0.02)(−0.021)(−0.02)(−0.022)(−0.021)(−0.023)(−0.022)
f(locationi)LinearLinearQuadraticQuadraticLinearLinearQuadraticQuadratic
N61767184617670386699785466997854
R20.1320.1450.1730.1850.0450.0440.1030.094
Note: Standard errors in brackets, * p < 0.05, ** p < 0.01, and *** p < 0.001. All the results were calculated by Stata16.
Disclaimer/Publisher’s Note: The statements, opinions and data contained in all publications are solely those of the individual author(s) and contributor(s) and not of MDPI and/or the editor(s). MDPI and/or the editor(s) disclaim responsibility for any injury to people or property resulting from any ideas, methods, instructions or products referred to in the content.

Share and Cite

MDPI and ACS Style

Zhang, N.; Zhuang, Y. Political Hierarchy of Opening-Up Policy and China’s Carbon Reduction: Empirical Research Based on Spatial Regression Discontinuity. Sustainability 2023, 15, 5995. https://doi.org/10.3390/su15075995

AMA Style

Zhang N, Zhuang Y. Political Hierarchy of Opening-Up Policy and China’s Carbon Reduction: Empirical Research Based on Spatial Regression Discontinuity. Sustainability. 2023; 15(7):5995. https://doi.org/10.3390/su15075995

Chicago/Turabian Style

Zhang, Nan, and Yan Zhuang. 2023. "Political Hierarchy of Opening-Up Policy and China’s Carbon Reduction: Empirical Research Based on Spatial Regression Discontinuity" Sustainability 15, no. 7: 5995. https://doi.org/10.3390/su15075995

APA Style

Zhang, N., & Zhuang, Y. (2023). Political Hierarchy of Opening-Up Policy and China’s Carbon Reduction: Empirical Research Based on Spatial Regression Discontinuity. Sustainability, 15(7), 5995. https://doi.org/10.3390/su15075995

Note that from the first issue of 2016, this journal uses article numbers instead of page numbers. See further details here.

Article Metrics

Back to TopTop