Reconstruction of Surface Seawater pH in the North Pacific
Abstract
1. Introduction
2. Materials and Methods
2.1. Data Source
2.2. Methods
3. Results
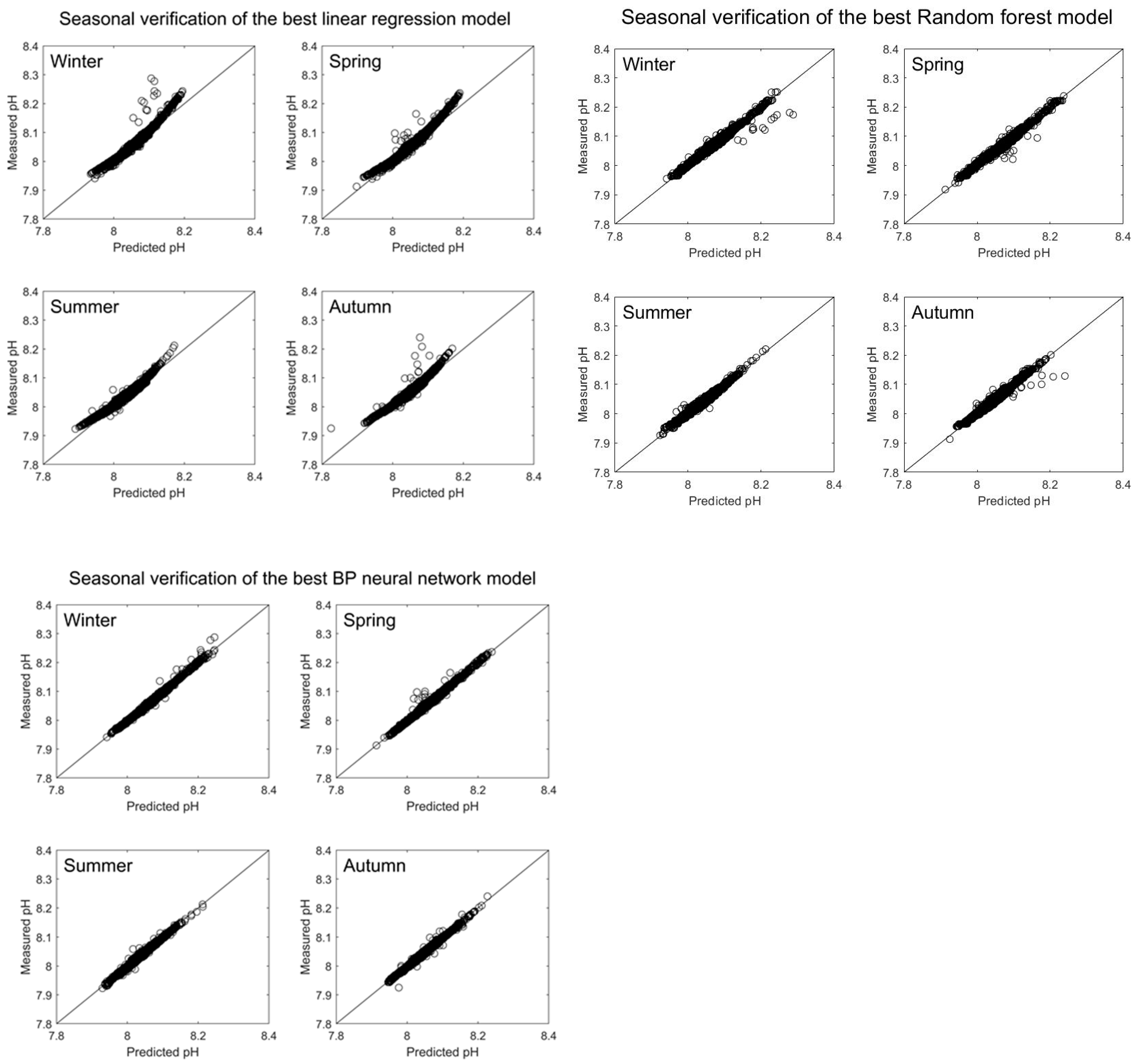
3.1. Establishment and Validation of the Linear Regression Model
3.2. Establishment and Validation of the Random Forest Model
3.3. Establishment and Validation of the BP Neural Network Model
3.4. Comparison of Linear Regression, Random Forest, and BP Neural Network Models
4. Discussion
4.1. Effect Mechanism of Seawater pH
4.2. Model Evaluation
4.2.1. Comparisons with Previous Research
4.2.2. Comparison with Copernican Data
4.2.3. Difference between the Measured and Predicted pH Values
4.3. Application of the Model
4.3.1. Annual Variability
4.3.2. Seasonal Variations
5. Summary and Conclusions
Author Contributions
Funding
Institutional Review Board Statement
Informed Consent Statement
Data Availability Statement
Acknowledgments
Conflicts of Interest
References
- Yu, W.Y.; Zhang, C.Y.; Feng, Z.G.; Guo, L. Global ocean acidification research trend and latest progress analysis. Mar. Sci. J. 2016, 2016, 296–307. [Google Scholar]
- Orr, J.; Fabry, V.; Aumont, O.; Bopp, L.; Doney, C.; Feely, A.; Gnanadesikan, A.; Gruber, N.; Ishida, A.; Joos, F.; et al. Anthropogenic ocean acidification over the twenty-first century and its impact on calcifying organisms. Nature 2005, 437, 681–686. [Google Scholar] [CrossRef] [PubMed]
- Richard, F.; Scott, D.; Sarah, C. Ocean Acidification: Present Conditions and Future Changes in a High-CO2 World. Oceanography 2009, 22, 36–47. [Google Scholar]
- He, S.C.; Zhang, Y.H.; Chen, L.Q.; Li, W. Marine acidification research progress. Mar. Sci. 2014, 38, 85–93. [Google Scholar]
- Watanabe, Y.W.; Li, F.; Yamasaki, R.; Yunoki, S.; Lmai, K.; Hosoda, S.; Nakano, Y. Spatiotemporal changes of ocean carbon species in the western North Pacific using parameterization technique. J. Oceanogr. 2020, 76, 155–167. [Google Scholar] [CrossRef]
- Caldeira, K.; Wickett. Oceanography: Anthropogenic carbon ocean pH. Nature 2003, 425, 365. [Google Scholar] [CrossRef]
- Haugan, P.M.; Drange, H. Effects of CO2 on the ocean environment. Energy Convers. Manag. 1996, 37, 1019–1022. [Google Scholar] [CrossRef]
- Bates, N.R.; Astor, Y.M.; Church, M.; Currie, K.; Dore, E. A time-series view of changing surface ocean chemistry due to ocean uptake of anthropogenic CO2 and ocean acidification. Oceanography. 2014, 27, 126–141. [Google Scholar] [CrossRef]
- Doney, S.C.; Fabry, V.J.; Feely, R.A. Ocean acidification: The other CO2 problem. Annu. Rev. Mar. Sci. 2009, 1, 169–192. [Google Scholar] [CrossRef] [PubMed]
- Feely, R.A.; Fabry, V.J.; Guinotte, J.M. Ocean acidification of the North Pacific Ocean. PICES Press 2008, 16, 22–26. [Google Scholar]
- Midorikawa, T.; Inoue, H.Y.; Ishii, M.; Sasano, D.; Kosugi, N.; Hashida, G.; Nakaoka, S.; Suzuki, T. Decreasing pH trend estimated from 35-year time series of carbonate parameters in the Pacific sector of the Southern Ocean in summer. Deep Sea Res. Part I Oceanogr. Res. Pap. 2012, 61, 131–139. [Google Scholar] [CrossRef]
- Polonsky, A. Had been observing the acidification of the black sea upper layer in XX Century. Turk. J. Fish. Aquat. Sci. 2012, 12, 391–396. [Google Scholar] [CrossRef] [PubMed]
- Wootton, J.T.; Pfister, C.A.; Forester, J.D. Dynamic patterns and ecological impacts of declining ocean pH in a high-resolution multi-year dataset. Proc. Natl. Acad. Sci. USA 2008, 105, 18848–18853. [Google Scholar] [CrossRef]
- Byrne, R.H.; Mecking, S.; Feely, R.A.; Liu, X.W. Direct observations of basin-wide acidification of the North Pacific Ocean. Geophys. Res. Lett. 2010, 37, L02601. [Google Scholar] [CrossRef]
- Cai, W.J.; Hu, X.P.; Huang, W.J.; Murrell, C.; Lehrter, C.; Lohrenz, E.; Chou, W.C.; Zhai, W.D.; Hollibaugh, T.; Wang, Y.C.; et al. Acidification of subsurface coastal waters enhanced by eutrophication. Nat. Geosci. 2011, 4, 766–770. [Google Scholar] [CrossRef]
- Dickson, A.G. The measurement of sea water pH. Mar. Chem. 1993, 44, 131–142. [Google Scholar] [CrossRef]
- Feely, R.A.; Sabine, C.L.; Lee, K.; Berelson, W.; Kleypas, J.; Fabry, J.; Millero, J. Impact of anthropogenic CO2 on the CaCO3 system in the oceans. Science 2004, 305, 362–366. [Google Scholar] [CrossRef]
- Li, F.R. Distribution characteristics and influencing factors of seawater pH in the adjacent sea area of the Yellow River estuary in August 1985. Mar. Lake Marsh Notif. 1998, 4, 35–40. [Google Scholar]
- Nakano, Y.; Watanabe, Y.W. Reconstruction of pH in the surface seawater over the North Pacific basin for all seasons using temperature and chlorophyll-a. J. Oceanogr. 2005, 61, 673–680. [Google Scholar] [CrossRef]
- Alin, S.R.; Feely, R.A.; Dickson, A.G.; Hernández-Ayón, J.; Juranek, W.; Ohman, D.; Goericke, R. Robust empirical relationships for estimating the carbonate system in the southern California Current System and application to CalCOFI hydrographic cruise data (2005–2011). J. Geophys. Res. 2012, 117, C05033-1–C05033-16. [Google Scholar] [CrossRef]
- Shi, Q.; Yang, P.J.; Huo, S.X.; Bu, Z.G. Process of Seawater Acidification in Bohai Sea in Recent 36 Years. In Proceedings of the Academic Annual Meeting of the Chinese Society of Environmental Sciences, Chengdu, China, 22–23 October 2013; pp. 114–121. [Google Scholar]
- Bofeng, L.; Yutaka. Spatiotemporal distribution of seawater pH in the North Pacific subpolar region by using the parameterization technique. J. Geophys. Res. Oceans. JGR 2016, 121, 3435–3449. [Google Scholar]
- Guo, Y.; Yang, X.Q. Temporal and spatial characteristics of interannual and interdecadal variations in the global ocean-atmosphere system. Sci. Meteorol. Sin. 2002, 2, 127–138. [Google Scholar]
- Friedrich, T.; Oschlies, A. Neural network-based estimates of north atlantic surface pCO2 from satellite data: A methodological study. J. Geophys. Res. 2009, 114, JC004646. [Google Scholar] [CrossRef]
- Laruelle, G.G.; Landschützer, P.; Gruber, N.; Tison, J.; Delille, B.; Regnier, P. Global high-resolution monthly pCO2 climatology for the coastal ocean derived from neural network interpolation. Biogeosciences 2017, 14, 4545–4561. [Google Scholar] [CrossRef]
- Bostock, H.C.; Mikaloff Fletcher, S.E.; Williams, M.J.M. Estimating carbonate parameters from hydrographic data for the intermediate and deep waters of the Southern Hemisphere oceans. Biogeosciences 2013, 10, 6199–6213. [Google Scholar] [CrossRef]
- Sasse, T.P.; McNeil, B.I.; Abramowitz, G. A novel method for diagnosing seasonal to inter-annual surface ocean carbon dynamics from bottle data using neural networks. Biogeosciences 2013, 10, 4319–4340. [Google Scholar] [CrossRef]
- Velo, A.; Pérez, F.F.; Tanhua, T.; Gilcoto, M.; Ríos, A.F.; Key, R.M. Total alkalinity estimation using MLR and neural network techniques. J. Mar. Syst. 2013, 111, 11–18. [Google Scholar] [CrossRef]
- Chen, Q.H.; Peng, H.J. Research progress on ecological hazards of ocean acidification. Sci. Technol. Rep. 2009, 27, 108–111. [Google Scholar]
- Guo, J.T. Evolution of Surface pH and pCO2 in the Tropical Western Pacific and Its Influencing Factors in 150,000 Years; Graduate School of Chinese Academy of Sciences (Institute of Oceanography): Bejing, China, 2015. [Google Scholar]
- Chen, L.T.; Wu, R.G. The combined effects of SST anomalies in the Pacific on the summer rainband types in eastern China. Atmos. Sci. 1998, 5, 43–51. [Google Scholar]
- Charles, D.; Gilles, G.; Charly, R. Quality Information Document for Global Ocean Reanalysis Multi-Model Ensemble Products GREP; Copernicus: Brussels, Belgium, 2019. [Google Scholar]
- Julien, L.; Coralie, P.; Alexandre, M. Quality Information Document for Global Biogeochemical Analysis and Forecast Product; CMEMS: Ramonville-Saint-Agne, France, 2019. [Google Scholar]
- Sridevi, B.; Sarma, V.V.S.S. Role of river discharge and warming on ocean acidification and pCO2 levels in the Bay of Bengal. Tellus B Chem. Phys. Meteorol. 2021, 73, 1–20. [Google Scholar] [CrossRef]
- Monaco, C.L.; Metzl, N.; Fin, J.; Mignon, C.; Cuet, P.; Douville, E.; Gehlen, M.; Chau, T.; Tribollet, A. Distribution and long-term change of the sea surface carbonate system in the Mozambique Channel (1963–2019). Deep Sea Res. Part II Top. Stud. Oceanogr. 2021, 1, 104936. [Google Scholar] [CrossRef]
- Zhang, J.Y.; Pan, G.Y. Multiple linear regression and BP neural network prediction model comparison and application research. J. Kunming Univ. Technol. Nat. Sci. Ed. 2013, 6, 61–67. [Google Scholar]
- Zhang, Y.C.; Qian, X.; Qian, Y.; Liu, J.P.; Kong, F.X. Quantitative remote sensing study of chlorophyll a in Taihu Lake based on machine learning method. Environ. Sci. 2009, 30, 1321–1328. [Google Scholar]
- Duarte, C.M.; Hendriks, I.E.; Moore, T.S.; Olsen, S.; Steckbauer, A.; Ramajo, L.; Carstensen, J.; Trotter, A.; McCulloch, M. Is ocean acidification an open-ocean syndrome? Understanding anthropogenic impacts on seawater pH. Estuaries Coasts 2013, 36, 221–236. [Google Scholar] [CrossRef]
- Omar, A.M.; Thomas, H.; Olsen, A.; Becker, M.; Skjelvan, I.; Reverdin, G. Trends of Ocean Acidification and pCO2 in the Northern North Sea, 2003–2015. J. Geophys. Res. Biogeosci. 2019, 124, 3088–3103. [Google Scholar] [CrossRef]
- Sutton, A.J.; Feely, R.A.; Maenner-Jones, S.; Musielwicz, S.; Osborne, J.; Dietrich, C.; Monacci, N.; Cross, J.; Bott, R.; Kozyr, A. Autonomous seawater pCO2 and pH time series from 40 surface buoys and the emergence of anthropogenic trends. Earth Syst. Sci. Data 2019, 11, 421–439. [Google Scholar] [CrossRef]
- Zhang, L.J.; Wang, J.J.; Zhang, Y.; Xue, L. Distribution and influencing factors of pCO2 in surface seawater of the North Yellow Sea in winter. J. Ocean Univ. China Nat. Sci. Ed. 2008, 6, 955–960. [Google Scholar]
- González-Dávila, M.; Santana-Casiano, J.M.; Rueda, M.J.; Llinás, O.; González-Dávila, E. Seasonal and interannual variability of sea-surface carbon dioxide species at the European Station for Time Series in the Ocean at the Canary Islands (ESTOC) between 1996 and 2000. Glob. Biogeochem. Cycles 2003, 17, GB001993. [Google Scholar] [CrossRef]
- Raven, J.; Caldeira, K.; Elderfield, H.; Hoegh-Guldberg, O.; Liss, P.; Riebesell, U.; Shepherd, J.; Turley, C.; Watson, A. Ocean Acidification Due to Increasing Atmospheric Carbon Dioxide; The Royal Society: London, UK, 2005; pp. 5–13. [Google Scholar]
- Liu, X.H.; Sun, D.Q.; Huang, B.; Wang, J.X. Research on the trend and influencing factors of surface seawater acidification in the coastal waters of the East China Sea. Ocean. Lakes 2017, 48, 398–405. [Google Scholar]
- Zeebe, R.E. History of seawater carbonate chemistry, atmospheric CO2, and ocean acidification. Annu. Rev. Earth Planet. Sci. 2012, 40, 141–165. [Google Scholar] [CrossRef]
- Xiao, Z.L. Study on Ocean Acidification in the Chukchi Sea and the Nordic Sea; Third Marine Research Institute, National Oceanic Administration: Washington, DC, USA, 2015.
- Mattsdotter Björk, M.; Fransson, A.; Torstensson, A.; Chierici, M. Ocean acidification state in western Antarctic surface waters: Controls and interannual variability. Biogeosciences 2014, 11, 57–73. [Google Scholar] [CrossRef]
- Sun, J.; Liu, D.Y.; Chai, X.Y.; Zhang, C. Estimate of chlorophyll a concentration and primary productivity in central Bohai and its adjacent waters in spring and autumn 1998–1999. Ecology 2003, 3, 517–526. [Google Scholar]
- Shi, X.Y.; Wang, X.L.; Lu, R.; Sun, X. Distribution characteristics and influencing factors of dissolved oxygen and pH in spring in red tide high-incidence area of East China Sea. Ocean Lake 2005, 5, 404–412. [Google Scholar]
- Wang, J.; Zhu, S.R.; Liu, J.M.; Wang, X.; Wang, J.R.; Xu, J.Y.; Yao, P.L.; Yang, Y.J. Frequency, Intensity and Influences of Tropical Cyclones in the Northwest Pacific and China, 1977–2018. Sustainability 2023, 15, 3933. [Google Scholar] [CrossRef]
- Ji, X.L. Numerical Simulation Study on Carbon Cycle of Marine Ecosystems in the Northwest Pacific; National Marine Environment Prediction Research Center: Beijing, China, 2013.
- Jiang, L.Q.; Carter, B.R.; Feely, R.A.; Lauvset, K.; Olsen, A. Surface ocean pH and buffer capacity: Past, present and future. Sci. Rep. 2019, 9, 18624. [Google Scholar] [CrossRef]
- Takahashi, T.; Sutherland, S.C.; Chipman, D.W.; Goddard, J.G.; Cheng, H.; Newberger, T.; Sweeney, C.; Munro, D.R. Climatological distributions of pH, pCO2, total CO2, alkalinity, and CaCO3 saturation in the global surface ocean, and temporal changes at selected locations. Mar. Chem. 2014, 164, 95–125. [Google Scholar] [CrossRef]
- Qu, B.X.; Song, J.J.; Li, X.G. Research progress on time series of ocean acidification. Mar. Notif. 2020, 39, 281–290. [Google Scholar]
- Chen, X.F.; Wei, G.J.; Deng, W.F.; Zou, J.Q. Coral reef seawater pH change and its significance for ocean acidification. Trop. Geogr. 2016, 36, 41–47. [Google Scholar]
- Dore, E.; Lukas, S.; Sadler, W.; Church, J.; Karl, M. Physical and biogeochemical modulation of ocean acidification in the central North Pacific. Proc. Natl. Acad. Sci. USA 2009, 106, 30. [Google Scholar] [CrossRef]
- Pelejero, C.; Calvo, E.; Mcculloch, M.; Marshall, F.; Gagan, K.; Lough, M.; Opdyke, N. Preindustrial to modern interdecadal variability in coral reef pH. Science 2005, 309, 2204–2207. [Google Scholar] [CrossRef]


















| R | BIAS | RMSE | |
|---|---|---|---|
| SST | \ | \ | 0.76 |
| SSS | \ | \ | 0.22 |
| Chla | 0.811 | 0.26 | 0.59 |
| pH | 0.952 | 0.02 | 0.04 |
| Modelling Data (n = 36,000) | Verification Data (n = 20,000) | ||||
|---|---|---|---|---|---|
| R2 | Linear Equation | RMSE | Standard | VAR | |
| SST + pCO2 | 0.9503 | 8.4212 + 0.0001SST − 0.001pCO2 | 0.0098 | 0.0097 | 0.000095 |
| SSS + pCO2 | 0.9522 | 8.3659 + 0.0017SSS − 0.001pCO2 | 0.0088 | 0.0087 | 0.000075 |
| Chl-a + pCO2 | 0.9526 | 8.4169 + 0.0071Chla − 0.00099pCO2 | 0.0103 | 0.0103 | 0.000106 |
| SST + SSS + pCO2 | 0.9522 | 8.3632 − 0.0000238SST + 0.0018SSS − 0.0009997pCO2 | 0.0089 | 0.0086 | 0.008600 |
| SSS + Chl-a + pCO2 | 0.9590 | 8.3096 + 0.0031SSS + 0.0126Chla − 0.000988pCO2 | 0.0084 | 0.0084 | 0.000071 |
| SST + SSS + Chl-a + pCO2 | 0.9594 | 8.3197 + 0.000128SST + 0.0028SSS + 0.0136Chla − 0.000992pCO2 | 0.0087 | 0.0086 | 0.000074 |
| R2 | RMSE | r | |
|---|---|---|---|
| SST + pCO2 | 0.9571 | 0.0077 | 0.9808 |
| SSS + pCO2 | 0.9501 | 0.0082 | 0.9777 |
| Chl-a + pCO2 | 0.9512 | 0.0082 | 0.9780 |
| SST + Chl-a + pCO2 | 0.9554 | 0.0078 | 0.9800 |
| SSS + Chl-a + pCO2 | 0.9516 | 0.0081 | 0.9786 |
| SST + SSS + Chl-a + pCO2 | 0.9564 | 0.0077 | 0.9806 |
| R2 | RMSE | r | |
|---|---|---|---|
| SST + pCO2 | 0.9633 | 0.0081 | 0.9815 |
| SSS + pCO2 | 0.9551 | 0.0140 | 0.9773 |
| Chl-a + pCO2 | 0.9538 | 0.0090 | 0.9766 |
| SST + SSS + pCO2 | 0.9682 | 0.0077 | 0.9839 |
| SSS + Chl-a + pCO2 | 0.9691 | 0.0077 | 0.9844 |
| SST + SSS + Chl-a + pCO2 | 0.9702 | 0.0074 | 0.9850 |
| RMSE | STD | VAR | ||||||||
|---|---|---|---|---|---|---|---|---|---|---|
| Season | n | Linear | RF | BP | Linear | RF | BP | Linear | RF | BP |
| Winter | 5000 | 0.0097 | 0.0058 | 0.0047 | 0.0093 | 0.0058 | 0.0034 | 0.0000862 | 0.0000341 | 0.0000116 |
| Spring | 5000 | 0.0082 | 0.0051 | 0.0049 | 0.0077 | 0.0050 | 0.0037 | 0.0000596 | 0.0000248 | 0.0000138 |
| Summer | 5000 | 0.0067 | 0.0046 | 0.0042 | 0.0063 | 0.0046 | 0.0033 | 0.0000393 | 0.0000214 | 0.0000109 |
| Autumn | 5000 | 0.0074 | 0.0053 | 0.0042 | 0.0073 | 0.0052 | 0.0032 | 0.0000529 | 0.0000275 | 0.0000104 |
Disclaimer/Publisher’s Note: The statements, opinions and data contained in all publications are solely those of the individual author(s) and contributor(s) and not of MDPI and/or the editor(s). MDPI and/or the editor(s) disclaim responsibility for any injury to people or property resulting from any ideas, methods, instructions or products referred to in the content. |
© 2023 by the authors. Licensee MDPI, Basel, Switzerland. This article is an open access article distributed under the terms and conditions of the Creative Commons Attribution (CC BY) license (https://creativecommons.org/licenses/by/4.0/).
Share and Cite
Wang, J.; Yao, P.; Liu, J.; Wang, X.; Mao, J.; Xu, J.; Wang, J. Reconstruction of Surface Seawater pH in the North Pacific. Sustainability 2023, 15, 5796. https://doi.org/10.3390/su15075796
Wang J, Yao P, Liu J, Wang X, Mao J, Xu J, Wang J. Reconstruction of Surface Seawater pH in the North Pacific. Sustainability. 2023; 15(7):5796. https://doi.org/10.3390/su15075796
Chicago/Turabian StyleWang, Jie, Peiling Yao, Jiaming Liu, Xun Wang, Jingjing Mao, Jiayuan Xu, and Jiarui Wang. 2023. "Reconstruction of Surface Seawater pH in the North Pacific" Sustainability 15, no. 7: 5796. https://doi.org/10.3390/su15075796
APA StyleWang, J., Yao, P., Liu, J., Wang, X., Mao, J., Xu, J., & Wang, J. (2023). Reconstruction of Surface Seawater pH in the North Pacific. Sustainability, 15(7), 5796. https://doi.org/10.3390/su15075796
