Next Article in Journal
Selecting Nomination Committee Members—Stakeholders’ Perspective
Next Article in Special Issue
The Use of Zinc Oxide in Asphalts: Review
Previous Article in Journal
Implementation of Urban Solution for New Faculty Facilities within Spatial Historical and Cultural Units—A Case Study of Belgrade, Serbia
 
 
Font Type:
Arial Georgia Verdana
Font Size:
Aa Aa Aa
Line Spacing:
Column Width:
Background:
Article

Mechanical Characteristics and Durability of HMA Made of Recycled Aggregates

1
Institute for Sustainability Industries and Liveable Cities, Victoria University, Melbourne, VIC 3011, Australia
2
College of Sport, Health & Engineering, Victoria University, Melbourne, VIC 3011, Australia
*
Author to whom correspondence should be addressed.
Sustainability 2023, 15(6), 5594; https://doi.org/10.3390/su15065594
Submission received: 22 February 2023 / Revised: 16 March 2023 / Accepted: 18 March 2023 / Published: 22 March 2023
(This article belongs to the Special Issue Advances in Sustainable Paving Materials and Pavement Construction)

Abstract

The application of recycled aggregates in the asphalt industry has been investigated in recent decades. However, low percentages of these materials have practically been used in asphalt mixtures because of the limitations set by the relevant specifications due to their performance uncertainties. This research investigates the feasibility of increasing the percentage of recycled aggregates to 100% in hot mix asphalt (HMA). Recycled concrete aggregate (RCA), recycled glass (RG), and reclaimed asphalt pavement (RAP) were used to develop HMAs suitable for roads with light to medium traffic. First, potential mix designs were proposed using an innovative approach considering the industry’s needs. Next, the volumetric properties, tensile strength, moisture sensitivity and resilient modulus response of the mixtures under different temperature conditions were determined and compared. In general, the proposed recycled material HMA exhibited superior mechanical and resilient modulus performances, i.e., 45 to 145% increase in stiffness, and up to 99% higher in Marshall stability. Furthermore, higher tensile strength ratios of the recycled material mixtures indicated a greater resistance to water damage, and hence greater durability. The findings of this research provide evidence-based insights into the increased proportion of recycled materials in the construction of asphalt pavements, thereby promoting sustainable pavement construction materials.

1. Introduction

During the construction of pavement, the following six broad phases occur: raw material production, mixing, transportation, laying of materials, compaction and the curing phase. Out of the mentioned phases, the highest amount of greenhouse gas emission is produced during the mixing phase, followed by the raw material production phase [1]. The raw material production phase includes sourcing aggregates, primarily natural aggregates, and bitumen required for the production of asphalt. Hot mix asphalt (HMA) typically consists of 90 to 95% mineral aggregates by weight and 75 to 85% by volume [2]. The gradation and physical composition of the mineral aggregate determine the mixture’s hardness, durability, and stripping potential [3]. The surface course aggregates play a critical role in the short- and long-term performance of the asphalt mixture as they occupy a substantial proportion of the HMA. Similarly, bitumen’s role in an asphalt mixture is vital in bonding aggregates of different sizes [4].
The properties of the used aggregates dictate the quality and performance of pavement structural layers [5]. The aggregates used in the asphalt mixture for the wearing course (or surface course), and intermediate course (or binder course) in flexible pavements, preferably exhibit high internal friction, low water absorption (and hence, more effective bitumen content), low Los Angeles (LA) abrasion loss, and higher strength to achieve a cost-effective and high-quality mixture. The extraction and processing of natural aggregate are expensive and associated with environmental impacts, although they generally meet the performance requirements of pavements. As alternatives, various recycled materials have been successfully used before in pavement applications. For example, recycled products such as recycled concrete aggregates (RCA), reclaimed asphalt pavement (RAP), and sand-size recycled glass (RG) have exhibited properties comparable or even superior to those of natural aggregates [6,7].
According to Mohr-Coulomb’s theory, the higher internal friction of aggregates can result in higher shear strength, and subsequently stiffer asphalt mixtures [2]. The physical characteristics and mechanical behaviour of aggregates have critical controls on the performances of the HMA layer. Aggregates having higher flaky particles generally exhibit more potential for densification, resulting in less available voids and hence, slightly reduced binder content requirements in the mixture. However, large proportions of flaky particles are not desired in the pavements, especially in the surface course, because they are more prone to crushing under subsequent loading [8]. The water absorption potential of aggregates is another factor that influences the effective bitumen content, eventually influencing the optimum bitumen content of the asphalt. Therefore, recycled aggregates with similar or enhanced properties in terms of their internal friction, flakiness index, abrasion loss, water absorption, and particle density compared to a natural aggregate may be suitable alternatives to natural aggregates for producing asphalt.
According to the UNEP (United Nations Environment Programme) global environmental alert services, 2014, annual global aggregate extraction such as sand, gravel and other aggregate materials from the Earth totals between 47,000 and 59,000 megatons [9]. During 2008–2009, 19 megatons of construction and demolition waste (CDW) were generated in Australia, where 55% was recovered while the rest was disposed of in landfills [10]. At around the same time, i.e., in 2008, Australia imported 200 megatons of construction materials [11]. The national waste report 2018, prepared by collecting data from Environment Protection Agencies (EPA) across Australia, stated that, in 2017, Australia generated 20.4 megatons of CDW, where only 66.9% was recycled and the remaining material was disposed of at landfills. Additionally, approximately 1.1 megatons of glass waste was generated from 2016 to 2017, where 57% was recycled [12]. In contrast, 1.29 megatons of glass waste were produced in the 2017–2018 financial year, where the recycling rate of glass decreased to 46%. Additionally, glass packaging, which is the largest market for glass consumption, is reported by the industry to be slowly continuing to lose market share to plastic packaging [13].
The voluminous generation of various wastes, depletion of natural resources leading to a shortage of construction materials, and the ever-increasing transportation cost of natural aggregates are all challenges that the use of a higher percentage of recycled materials in pavements can contribute to alleviating without compromising the required structural performance of the pavement system. For this aim, the aggregate’s properties need to be experimentally tested, after which they could be incorporated in the mix design of asphalt mixtures for further laboratory experimentations.
Su et al. [14] experimented using 40 and 70% of RAP combined with natural aggregates in an asphalt mixture and observed a slight reduction in the Optimum Binder Content (OBC) of 0.1%. The OBC of the conventional asphalt (control samples) was 5.4%. Sanchez-Cotte et al. [15] investigated different percentages of RCA combined with natural aggregates and demonstrated that using 45% RCA led to 0.8–1% higher OBC than the conventional asphalt mixture. In their study, asphalt mixtures made of RCA were observed to have lower bulk densities compared to conventional mixtures. Su and Chen [16] investigated the potential of RG to replace natural aggregates and observed that an increase in the RG percentage of an asphalt mixture decreased the OBC due to the lower moisture absorption potential of crushed glass. Yaghoubi et al. [16] used rejuvenating agents forming up to 10% of the mixture for preparing HMA made of RAP and carried out Marshall stability and dynamic creep tests to compare the properties of mixtures with conventional asphalt. Their findings demonstrated that while one of the mixtures made of RAP exhibited greater stability, resilient modulus, or lower permanent deformation compared to the conventional asphalt made of virgin aggregates, they met the requirements of Iran’s Highway Asphalt Paving Code. After conducting a systematic literature review, Bastidas-Martínez et al. [17] concluded that RCA was a suitable alternative aggregate for virgin materials as it exhibited desirable compatibility with asphalt binder and was less prone to deformation under static, monotonic and dynamic loadings. Bastidas-Martínez et al. [17] also reported on the limitations of RCA being lower in hardness and fracture resistance compared to virgin aggregates. More findings based on the previous research on the performance and properties of asphalt mixtures that incorporated RG, RAP, and RCA are outlined in Table 1.
Previous research projects have either used a limited proportion of recycled aggregates or have not discussed the field applications and associated translation of the experimental results into pavement design practices. This research aims to investigate the performances of HMA made of 100% recycled aggregates by studying the mechanical characteristics associated with the use of recycled aggregates in high percentages.

2. Materials and Methods

This study proposes dense-graded asphalt (DGA) mixtures prepared using different proportions of RCA, RAP, and RG. The different aggregate mixtures were then used to prepare HMA specimens for a series of laboratory tests to determine their properties and performances. A similar series of tests were conducted on HMA specimens prepared using conventional natural aggregates (conventional HMA) for benchmarking purposes. Overall, eight asphalt mixtures were prepared, two of which were conventional HMA, and six mixtures included different proportions of recycled materials, incorporated in two sizes, 10 and 20 mm DGA. The experimental program on HMA as detailed in the sections determined the volumetric characteristics such as bulk density, maximum theoretical density, air voids, and voids in mineral aggregate, and material characteristics such as durability and resilient modulus. The relevant Australian and AASTHO Standards and guidelines were followed during this research. The 10 mm DGA mixtures were prepared as a type “N” HMA, and size 20 mm specimens were prepared as a type “SI” HMA, following VicRoads specifications [23]. According to the VicRoads-RC500.22 [23], the type N DGA is a 10 mm wearing course suitable for light-to-medium-traffic pavements and the type SI DGA is a multi-purpose 20 mm structural mix for an intermediate course in heavy-duty pavements or an asphalt base course in medium-duty pavements.

2.1. Raw Material Characterisation

Graded sand and dust (filler), along with single-sized natural aggregates of 7, 10, 14 and 20 mm, were used to prepare 10 and 20 mm conventional HMA. For the case of recycled material mixtures, graded recycled material aggregates, i.e., RCA, RAP, and sand-sized RG, were used to prepare three 10 mm mixtures and three 20 mm mixtures. Figure 1 shows the recycled aggregates and the 7 mm uniformly graded natural aggregate, as used in this research. The experiments performed to characterise the aggregates are Particle Size Distribution (PSD), particle density, water absorption, and the flakiness index test.
Figure 2 shows the PSD curves of all different types of aggregates and Table 2 outlines the nominal size (Dmax) of the aggregates used in this research. According to Figure 2, RCA contains particles finer than 0.075 mm, which is due to the presence of unhydrated cement. This portion of RCA was considered as the filler in the mix design of the recycled material HMA of this research.
Following the oven drying of the aggregates, the particle size distribution test was carried out according to Australian standards AS_1141.11 [24] and AS_1141.12 [25] for dry and wet sieve analyses, respectively. One-sized natural aggregates (7, 10, 14 and 20 mm), and recycled materials (i.e., RAP, RG, and RCA), were experimentally evaluated for their PSD using a dry sieve analysis technique. The remaining aggregates were analysed using a wet sieve analysis technique due to the increased fine portion, which is more difficult to separate through dry sieve shaking.
Water absorption and apparent particle density were determined following AS_1141.5 [26] and AS_1141.6.1 [27] for fine and coarse particles, respectively, and Figure 3 shows the results. As can be seen in Figure 3, water absorption of RCA is strikingly higher compared to the remaining aggregates, indicating an increased potential for bitumen absorption. In contrast, RG and RAP generally show comparable or lower water absorption compared to that of natural aggregates. Figure 3 also shows that the particle densities of recycled material aggregates are generally equivalent to or slightly lower than that of natural aggregates. Therefore, a combination of RCA (material with higher absorption potential) with RAP and RG (materials with lower absorption potentials) was expected to result in a mixture that consumes a bitumen content not significantly higher than natural aggregates. The high water absorption potential of RCA could be reduced through new purification techniques during the recycling and crushing process; however, this increases the cost of the produced asphalt mixture and makes it uneconomical. The higher particle density for natural aggregates represented an increased mass required to achieve a desired volume compared to the recycled material aggregates.
RCA and RAP both contained fine and coarse particles. Therefore, the particle density and water absorption of their coarse and fine portions were tested separately using respective Australian standards, namely AS_1141.5 [26] and AS_1141.6.1 [27]. The PSD test results of the RAP and RCA were next used to determine the particle density and water absorption of each material as a whole (combined fine and coarse portions).
Figure 4 demonstrates the flakiness index test results for aggregates with 80% particles by weight larger than 4.75 mm, according to AS_1141.15 [28]. The results indicated that RCA had the highest percentage of flaky particles among recycled aggregates. However, RCA particles that passed through the 10 mm sieve showed lower flakiness.
The bitumen used in this study as a binder was Grade C320 bitumen, which is typically suitable for medium- to heavy-duty applications. As provided by the supplier (Boral) the viscosity at 60 °C and 135 °C of C320 bitumen was 320 and 0.5 Pa·s, respectively. The penetration at 25 °C and flashpoint of C320 were a minimum of 40 dmm and a minimum of 250 °C, respectively. The specific gravity of the C320 bitumen is 1.03 kg/m3, and the softening point is 52 °C.

2.2. Proposed Asphalt Mixtures

The RCA, RAP, and RG were the three types of recycled wastes selected in this research to form the proposed blends. The selection of the percentage of each recycled aggregate in the asphalt mixture was more systematic than arbitrary. In this regard, the upper and lower bands of the HMA gradation provided by “VicRoads—Registration of Bituminous” code of conduct were used as a guide [29]. The proportion of RG was kept at 10% by weight, while the RCA and RAP contents changed between 55 to 75%, and 35 to 15%, respectively. Table 3 presents the composition of aggregates in each asphalt mixture considered in this research. In Table 3, as an example, in 10 RCA75, “10” and “75” refer to the maximum aggregate size of the mixture, and the percentage of RCA in the mixture, respectively.
In order to prepare identical samples, dust, sand, and RG were quartered by making a pile of each material, flattening the pile into a circular shape and then quartering them into four equal parts. The quartering process using a sample splitter was applied for graded aggregates such as RCA and RAP. Prior to the quartering process, three bags of a graded aggregate, each weighing approximately 20 kg, were dried and mixed for quartering, in order to reduce errors in the aggregate’s gradation.
Figure 5 demonstrates the aggregate gradation of NA, RCA 75, RCA 65, and RCA 55 for both size 10 mm and 20 mm asphalt mixture, together with the upper and lower gradation limits from VicRoads specifications [29].
In Figure 5, the gradations of NA in both 10 and 20 mm mixtures were above the mid-range of upper and lower limits, indicating that the gradations were finer than the average gradation. The recycled material mixtures’ gradations for 10 mm were coarser than the average recommended. However, the 20 mm recycled material mixtures had a gradation finer than the recommended average. In general, the gradations of all aggregate mixtures were within the tolerance limit for upper and lower limits.

2.3. Experimental Program for Asphalt Mixtures

Marshall mix design was carried out following Asphalt Institute—Asphalt Mix Design Method and VicRoads—Design of Asphalt Mixes (Marshall Method) [30,31]. In this research, a minimum but not limited to four trial bitumen contents were selected for each mixture in bitumen content intervals of 0.5%. For instance, for 10 RCA75 and 10 RCA65, samples were prepared for 7 trial bitumen contents in an attempt to achieve the peak in Marshall stability value within the required air voids. For each bitumen content, three replicate specimens were prepared. Overall, 148 test specimens were prepared to determine the OBC of the eight mixtures presented in Table 3.
The experimental trials started with 10 mm test specimens. For the 10NA mixture, proportions of 4.5, 5, 5.5 and 6% binder content were selected, and for 10RCA 75 and 10RCA 65, the trial bitumen contents were selected from 4.5 to 7.5% at 0.5% intervals to understand the test specimens’ behaviour in achieving peak stability. The trial bitumen contents for 10RCA 55 and 20RCA 55 were selected from 5.5 to 7% at intervals of 0.5%. Similarly, the trial bitumen contents ranged from 5 to 7% for 20RCA 75 and 20RCA 65 with intervals of 0.5%. For 20NA mixtures, the trial bitumen contents were selected from 4.5 to 6.5% with intervals of 0.5%. The selection of the trial bitumen contents was based on the authors’ experience working with similar recycled material mixtures.
The maximum theoretical density test was carried out following the AS_2891.7.1 [32] standard. In this test, the loose uncompacted air-dried asphalt mixture was used and spread on a large bench. After the loose asphalt mixture was cooled, it was placed in a container with known mass. The mass of the container with the sample was then recorded. The next stage involved adding water to the container and applying a vacuum to remove the air entrapped in the test portions. A 25 to 30 mmHg vacuum was applied for 15 min in the container with water and a test sample while the container was agitated using a mechanical agitator throughout the 15 min. Then, the container was immersed in water, and the mass of immersed container with the sample was recorded to determine the maximum theoretical density.
AS_2891.5 [33] was followed to carry out the Marshall method compaction of the asphalt mixtures. The bitumen was placed in an oven set to 150 °C temperature, and aggregates, metal scoop, spatula, mixing container and Marshall moulds were kept in another oven at 180 °C for a minimum of 2 h. The temperature of the aggregate and bitumen was regularly monitored using an infrared thermometer. The aggregates were then mixed in a heated mixing bowl using a laboratory mixer until all the aggregates were thoroughly coated by bitumen. This stage required roughly 60 s for each specimen batch and approximately 120 s for double-specimen batches, as suggested by ASTM_D6926-20 [34]. The mixture was then cured for around 15 min in an oven set to 150 °C before the compaction to ensure it had reached the recommended compaction temperature range, i.e., 150 ± 3 °C, when using C320 bitumen for the dense graded asphalt mixture [33]. The mixture was compacted with 50 blows on each side using an automatic Marshall compactor. The compacted test specimens were left at room temperature for a minimum of 2 h to slightly cool down before extraction using the specimen extruder. The extruded samples were next kept at room temperature for a day to completely cool down. AS_2891.9.2 [35] was followed for each test specimen to determine their bulk density at the laboratory. First, the air-dried mass of the sample was recorded. Next, the test specimen was immersed in the water with the recorded temperature for at least 5 min to record its mass in the water. Finally, the mass of the surface dried test specimen was measured, and the bulk density was determined.
The Marshall stability and flow analyses were carried out following AS_2891.5 [33]. The dimensions of the specimens were measured and recorded to apply the correction factor to the test results. The conditioning of the test specimens was carried out by placing the specimens in the oven at 60 °C for 2 h before testing. Immediately after the 2 h conditioning, the stability and flow tests were started using the Marshall stability testing machine set to a loading rate of 50.8 mm/minute.
For the Indirect Tensile Modulus (IDT) testing, three specimens for each of eight asphalt mixtures, i.e., 24 test specimens in total, were prepared by applying 50 blows on each side of the mixtures at their corresponding OBCs placed in the Marshal mould to obtain sample having 100 mm diameter and 65 mm height. The IDT test was conducted by following AS_2891.13.1 [36]. The testing conditions used are presented in Table 4.
During the IDT testing, an environmental chamber was used to maintain a target temperature. Prior to the testing, specimens were placed inside an oven set to the target temperature for 2 h for conditioning. To investigate the effect of temperature on the resilient modulus of asphalt, the IDT tests were conducted at 21, 25 and 29 °C. Figure 6 demonstrates the testing equipment (AsphaltQUBE) with an environmental chamber and the IDT test set-up. Two LVDTs positioned at opposite sides were used to record the lateral displacement of the specimen under cyclic loading.
The evaluation of the moisture sensitivity of the mixtures was carried out following the AGPT_T232-07 [37] guideline. Moisture sensitivity (or damage due to moisture) is typically investigated using the Indirect Tensile Strength (ITS) test to determine the Tensile Strength Ratio (TSR) [38]. In this research, following the AGPT_T232-07 [37] procedure, the asphalt mixtures were prepared at their OBC and compacted using the Marshall compaction method to achieve an air void of 8 ± 1%. The number of blows to achieving an air void of 8 ± 1% was obtained through trial compactions. For this, a minimum of three test samples for each asphalt mix were compacted under 50, 45, and 40 blows on each side. Next, plots of the number of blows versus air voids (%) were drawn to determine the number of blows required to achieve the target air void of 8 ± 1%. The ITS and TSR of the specimens were calculated using Equations (1) and (2), respectively:
ITS = (2 × P)/(π × H × D) × 106
TSR = ITS on conditioned test specimens ITS on unconditioned test specimens
where, P = maximum applied force indicated by the testing machine, kN, H = specimen height, mm, D = specimen diameter, mm.
The conditioning of the dry and wet subsets involved the process detailed in AGPT_T232-07 [37]. Dry specimens were maintained at 25 ± 1 °C for 2 h ± 5 min prior to testing. For moisture-conditioned subset specimens, partial saturation was reached by vacuuming the specimens at 600 ± 25 mmHg for 10 min in a vacuum desiccator containing water at 50 ± 5 °C. It was ensured that the specimens reached partial saturation by maintaining the degree of saturation between 55 to 80%. The specimens were next kept in a water bath at 60 °C for 24 ± 1 h and at 25 °C for 2 h ± 5 min prior to ITS testing.

2.4. Determination of the Design Modulus

Methodological steps provided in Austroads-Part2 [39] were followed to convert the experimentally obtained resilient modulus results into the pavement design modulus. The adopted weighted mean annual pavement temperature (WAMPT) was 24 °C as following the Austroads-Part2 [39] recommendation. The field air void of the mixture was assumed to be 7%, and the traffic speed on the pavement was taken as 60 km/h. The design modulus was obtained using Equations (3) (corrected based on in-service air voids), (4) (corrected based on field temperature) and (5) (corrected based on selected traffic speed).
Modulus at inservice airvoids Modulus at test air voids = 21 Air void at inservice 21 Air void at lab testing
Field modulus at WMAPT Laboratory modulus at test temp   ( T ) = e ( 0.08 WMAPT T )
Modulus at speed V Modulus at a tested loading rate = 0.19 V 0.365
where, V = Traffic speed (km/h), WMAPT = in-service temperature (°C), and T = Specimen temperature during IDT testing (°C).

3. Result and Discussion

3.1. Determination of the Optimum Bitumen Content (OBC)

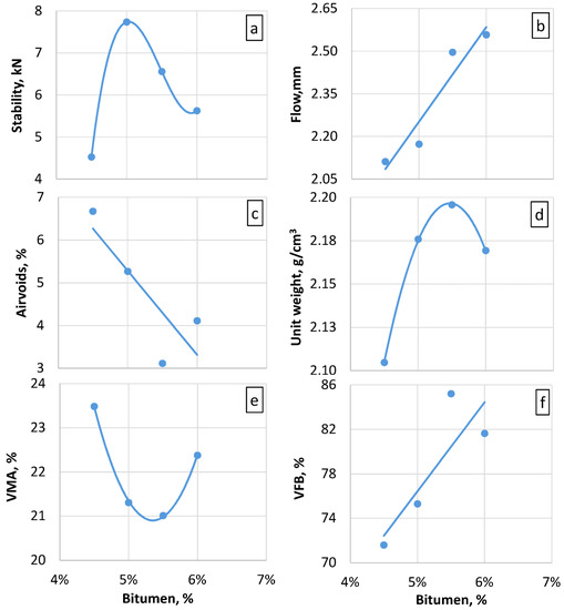
The OBC of the mixtures was determined using the Marshall mix design method. According to VicRoads-RC500.01 [29], the asphalt mix designed for light to medium traffic roads, i.e., type N for the wearing course and type SI for the structural course, must have 4.9 to 5.3% air voids. Thus, the bitumen content corresponding to an air void of 5.0% was selected as the OBC of the mixture and other properties such as the voids in mineral aggregate (VMA), stability, flow, and voids filled with the binder (VFB) were checked against the recommended limits stipulated in VicRoads-RC500.01 [29] and Asphalt-Institute [30]. For this, the above-mentioned properties were plotted against the bitumen content. Example Marshall charts developed for the 10NA mixture are shown in Figure 7.
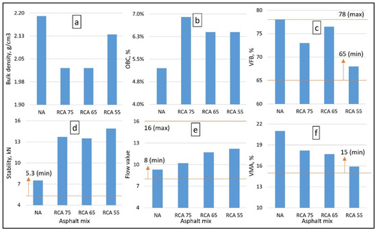
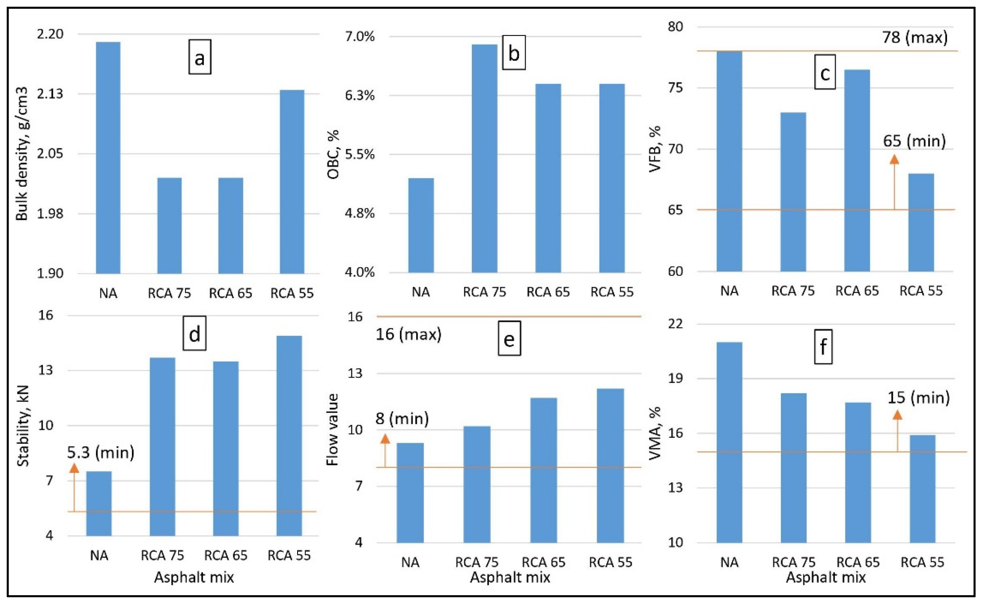
Using the Marshall method plots, the VMA, VFB, stability, flow value, and unit weight of the samples at the OBC of each mixture were calculated as demonstrated in Figure 8 and Figure 9 for the 10 and 20 mm mixtures, respectively. As can be seen in Figure 8 and Figure 9, 10NA, 10RCA 75, 10RCA 65, and 10RCA 55 had 5.2, 6.9, 6.4, and 6.4% OBC respectively. Similarly, 20NA, 20RCA 75, 20RCA 65, and 20RCA 55 had 5.8, 6.6, 6.4, and 6.1% OBC respectively. The OBC results revealed that NA asphalt mixtures have less OBC compared to recycled material mixtures.
The voids in mineral aggregate (VMA) refer to the void space between the aggregate particles in a compacted specimen. Bruce A. Chadbourn [40] reported that an increase in finer particles decreased the VMA in an asphalt mixture. In this research, the mixtures shifted towards a finer gradation with a simultaneous reduction in RCA and addition of RAP, resulting in the reduction of VMA. Following the observed trends in Part f of Figure 8 and Figure 9, it could be predicted that the simultaneous reduction in RCA and addition of RAP beyond 55% and 35% would eventually reach a point where the VMA requirements would not be met.
The water absorption test result indicated that the absorbing capacity of coarse RCA (>4.75 mm) is lower than fine RCA (<4.75 mm). Additionally, the bitumen required to coat coarse particles is less than fine particles due to the lower specific surface area of the coarser blends of aggregates. Visual inspection of the aggregates showed that the 10 mm RCA has more roundly shaped particles than the 20 mm RCA. Furthermore, the flakiness index test result shows that the flakiness index of the 10 mm and 20 mm RCA are 15% and 30%, respectively. Flaky particles in an asphalt mix could result in a more compacted mix, possibly due to breakage under compaction, reducing the bitumen consumption. These particles, however, have lower stiffness, which can compromise the mechanical strength of the mixture. The above-mentioned factors result in lower OBCs for the 20 mm recycled material mixtures than those for 10 mm mixtures, while the stability test result remains quite similar.
The stability of an asphalt mix is directly proportional to the friction between particles and cohesion between bitumen and particles. Inter-particle friction depends on the surface roughness, inter-granular contact pressure, bitumen content and grade, aggregate gradation, and angularity, whereas cohesion depends on the aggregate gradation and density [39]. Figure 8 and Figure 9 also show that the recycled mixtures’ Marshall stability is greater than that of NA mixtures. The higher stability value indicates the mixture has a higher resistance to distortion, displacement, rutting, and shearing stresses. Figure 8 and Figure 9 show no significant difference in stability test results between the 10 mm and 20 mm recycled material mixes; this could be attributed to the higher flakiness index of 20 mm mixtures compared to the 10 mm mixtures.
The flow value of a test specimen is an indication of the maximum vertical displacement reached during the loading up to the peak load. The flow value is recommended to be between 8 and 16 [30]. All asphalt mixtures had flow values within the limit specified. In the 10 mm mixtures, the flow value was the lowest for NA, followed by RCA 75, RCA 65, and RCA 55. In the 20 mm mixtures, again, the flow value was the lowest for NA, followed by RCA 75, RCA 55, and RCA 65. ASTM_D6927-15 [41] states that when the flow value is above the upper limit, the mixture is considered too plastic or unstable, and when the flow value is below the lower limit, it is considered too brittle. Hence, based on the obtained flow values, recycled material mixtures are expected to be less brittle, but more plastic than the control mixtures, yet all are within the acceptable range.
VFB represents the percentage of the voids filled with an effective binder in an asphalt mixture. It has an acceptable limit range between 65 to 78% for both 10 and 20 mm asphalt mixtures, respectively [30]. According to AGPT04B-14 [4], at a lower VFB, around 60%, the mixture becomes “dry”, lacks cohesion, and exhibits lower durability and fatigue resistance, while at a higher VFB, around 85% or more, the mixture can become unstable and susceptible to rutting. Figure 8 and Figure 9 show that for both sizes of asphalt mixtures, the NA asphalt mixtures had a higher VFB than the recycled material asphalt mixtures. Similarly, 20RCA 65 had the lowest VFB, followed by 20RCA55, 10RCA 55, 20RCA 75, 20NA, 10RCA 75, 10RCA 65, and 10NA with a VFB of 78%. Therefore, based on the VFB test result, the recycled material mixtures are predicted to be less susceptible to rutting.
The bulk density of NA mixtures was higher than recycled material mixtures. This could be attributed to the lower particle density of the recycled materials compared to the natural aggregates used in this research (Figure 3). With decreased RCA content and increased RAP content in the asphalt mixture, the bulk density of the asphalt mixture at their respective OBC is observed to be increasing.

3.2. Indirect Tensile Modulus (IDT) Test

The IDT test was performed at temperatures 21, 25, and 29 °C. Figure 10 illustrates the resilient moduli of all mixtures at these temperatures. While the resilient modulus generally decreases with the increase in the temperature, the trends demonstrated in Figure 10 for all mixtures except 20RCA 55, 10RCA 65, and 10NA generally reveal a more significant decrease in resilient modulus from 25 to 29 °C than from 21 to 25 °C.
The IDT test result showing the resilient modulus of all asphalt mixtures at 25 °C (as required by AS_2891.13.1 [36]) with obtained ranges are presented in Table 5. The results presented in Table 5 reveal that the recycled aggregate mixtures are generally stiffer than the conventional HMA mixtures. The stiffness of the 10 mm HMA increased with the simultaneous reduction of RCA and increase in RAP in the mixture. This could be because of the shift in gradation, which gets finer with the reduction of RCA in the mixture. However, the resilient modulus of 20 mm HMA first increased and then decreased with the reduction in RCA. The 20RCA 65 specimen had a coarser gradation, higher OBC, and lower particle density compared to 20RCA 55. These factors could have increased the effective bitumen content in the mixture, resulting in a stiffer mixture [41]. The lower IDT of 20RCA 75 could be attributed to the higher absorption potential due to the higher percentage of RCA in the mixture, thereby lowering the effective bitumen content due to the presence of more voids and highly absorptive RCA in a higher proportion.
Al-Mosawe et al. [42] compared the resilient modulus of thirteen mixtures of different gradation using similar aggregates and concluded that, generally, the denser mixtures tend to have lower air voids and exhibit a higher stiffness. Generally, with the rise in the density of mixtures and reduction in the number of voids, a higher stiffness is expected to be achieved. However, due to the use of three different recycled aggregates in this research, variation of the RCA content in the mixture changes not only the density but also the proportion of angular aggregates in the mixture, as well as the absorption potential and OBC of the mixture. Hence, the mixture density alone could not be relied on to anticipate the increase or decrease in stiffness.

3.3. Translation of the IDT Results into Design Inputs

The approach described in Section 2.4 following Austroads-Part2 [39] was used to convert the IDT test result into the design modulus of all the mixtures, as presented in Table 6. These design moduli can be applied to designs of pavement structures and also to perform numerical analysis to determine the stress-strain response of flexible pavements that are surfaced with HMA. The design modulus for 60 km/h speed according to VicRoads-RC500.22 [23] is 2200 MPa, and 3600 MPa, for size 10 mm Type N, and size 20 mm Type SI HMA, respectively. While the above-mentioned design moduli are conservative, the design moduli obtained for the recycled material mixtures of this study are all greater than those suggested for the pavement design.

3.4. Moisture Sensitivity

Table 7 demonstrates the TSR of all asphalt mixtures compacted using the Marshall compactor. The results presented in Table 7 show that all mixtures, except for the two NA mixtures and 10RCA 65, generally met the required limit specified by VicRoads requirements [29]. Although a TSR value of 80% or greater is considered acceptable, some agencies have chosen to accept TSR values of 70% or greater based on their experience [30]. It should be noted that the main goal of this experiment was comparing the performance of control mixtures (NA specimens) with that of recycled material mixtures prepared and tested in the same environment using the same procedures. Thus, although NA mixtures should ideally meet the requirements, the obtained values can still be used for comparison purposes. The results also show that recycled material mixtures generally have greater resistance to moisture damage than natural aggregate mixtures. This could partially be due to the presence of unhydrated cement in the RCA that contributes to the binding of the mixture over time when submerged in water.
It can also be observed from the results of Table 7 that, in RCA75 and RCA65 mixtures, the 20 mm samples exhibit greater TSR. In conventional asphalt mixtures made of virgin aggregates, TSR is generally known to be higher for mixtures with smaller maximum particle sizes [43]. This is supported by the TSR results of the NA mixtures of the current study. The mixtures of this study on the other hand, are made of three different materials with different shapes, surface textures and maximum particle sizes: RCA (maximum size = 20 mm), RAP (maximum size = 10 mm) and RG (maximum size = 4.74 mm). In the 10 mm mixtures, coarse particles of RCA (>10 mm) which have a relatively rough surface texture (in contrast to the RAP particles and RCA particles < 10 mm) are excluded. This could be the reason for the higher TSR of 20 mm RCA 75 and RCA65 mixtures, as a rougher particle surface can result in a stronger bond when bitumen is added to the mix. However, by increasing the RAP content (and hence reducing the RCA content) in RCA55 the proportion of the rough >10 mm RCA particles is reduced and thus the exclusion of this small proportion in the 10 mm mixtures does not result in a significant difference between the TSR values. Furthermore, the TSR values in recycled material mixtures do not follow a specific trend in terms of an increased or decreased RCA content. This could be due to the inhomogeneity of RCA particles as also reported by Bastidas-Martínez et al. [17]. It is expected that by improved recycling technologies and methods in future, more quality-consistent recycled materials are produced, to match the proportion of current virgin aggregates.
Figure 11 demonstrates that all asphalt mixes except for 10NA and 10RCA75 satisfy the minimum wet tensile strength criteria specified in VicRoads technical note [23]. With the decrease in RCA content in an asphalt mix, the minimum wet tensile strength of an asphalt mix was observed to be increasing. However, the minimum wet tensile strength of 20RCA 65 is slightly higher than 20RCA 55.
Comparing the recycled and natural aggregate asphalt mixtures in terms of the tensile strength ratio, 10RCA 75 and 10RCA 55 performed better than 10NA. In the case of 20 mm asphalt mixtures, all three recycled material aggregate asphalt mixtures exhibited higher TSR than the 20NA mixture. In terms of minimum wet tensile strength, all recycled material asphalt mixtures showed greater wet tensile strength than natural aggregate specimens. The wet tensile strength is of particular importance in areas with a wet climate, such as Melbourne, Australia.

4. Conclusions

In this research, the suitability of the recycled aggregates, namely recycled concrete aggregates (RCA), reclaimed asphalt pavement (RAP) and recycled glass (RG), were investigated for their influence on the material properties of HMA. The experimental laboratory findings are summarised as follows:
  • While the water absorption of RCA was increased when compared to natural aggregates, RAP and RG had decreased water absorption potential compared to the natural aggregates. Thus, mixtures of RCA, RAP and RG in appropriate proportions were expected to result in an optimum bitumen content (OBC) that was not significantly higher than that of conventional asphalt;
  • The particle densities of recycled materials were lower than natural aggregates, potentially resulting in lower bulk density of compacted asphalt specimens made of recycled aggregates;
  • The flakiness test result showed that the natural aggregates are of higher quality than the recycled aggregates. Nevertheless, the flakiness index of all recycled aggregates met the requirements of the VicRoads specifications.
Next, three mixtures with different proportions of recycled aggregates were proposed in two different sizes: 10 and 20 mm (a total of six mixtures made of recycled materials). Benchmark mixtures made of natural aggregates were also prepared for both 10 and 20 mm aggregate sizes. Findings based on the experimental investigations on the asphalt mixtures are summarised below:
  • Natural aggregate mixtures had lower OBC compared to recycled material mixtures. Among the 20 mm recycled material mixture, 20RCA 55 had the least OBC followed by 20RCA 65 and 20RCA 75. For the 10 mm recycled material mixture, both 10RCA 55 and 10 RCA65 had the same OBC, which was lower than 10 RCA 75. The 10 mm and 20 mm recycled material mixtures require 1.2 to 1.7%, and 0.3 to 0.8% more bitumen, respectively, compared to conventional asphalt;
  • The Marshall stability of the recycled material mixtures was 80 to 99% higher than the conventional asphalt mixtures for the 10 mm mix, and up to 35% for the 20 mm asphalt mix;
  • The flow values of recycled material mixtures were 9 to 31% higher than the conventional asphalt mixtures for 10 mm, and 15 to 34% higher for 20 mm asphalt mixtures;
  • Asphalt mixtures made of recycled aggregates demonstrated increased resistance to moisture damage compared to conventional asphalt mixtures, possibly due to unhydrated cement in the RCA that contributed to the binding of the mixture over time when submerged in water. This is of particular importance in wet climates where the wearing course is prone to environmental damage as a result of precipitation;
  • The indirect tensile resilient modulus of asphalt mixtures made of recycled aggregates was 72 to 145% higher than the conventional mixture for 10 mm, and 45 to 75% greater for the 20 mm asphalt mixtures;
  • Considering the wet tensile strength criteria, the Tensile Strength Ratio (TSR) criteria, and subsequent resistance to water damage, greater Marshall stability and higher resilient modulus, 10RCA55, containing 55% RCA, 35% RAP and 10% RG was found to be the superior mixture in the 10 mm asphalt mixtures of this research. Under the aforementioned criteria, for the 20 mm mixtures, the 20RCA 55 and 20RCA 65 were the recommended mixtures;
  • The properties of the 10RCA 55 and all 20 mm recycled-material asphalt mixtures were within the requirements specified in the VicRoads code of practice “Registration of bituminous mix”, and can hence be considered in the design and construction of flexible pavements. As a brief guideline for the production of HMA made of RCA, RAP and RG, first, the recommended type of asphalt based on the applications of the road should be selected using the abovementioned code of practice. Next, the aggregate gradation of the mixture should be checked to comply with the ranges stated in the code of practice for the selected mixture type. This is, in particular, important for the selection of recycled aggregate sources, as the majority of RCAs available in the market contain greater fine-particle (<4.75 mm) contents than natural crushed rock. This may result in the gradation of the mixture sitting outside the recommended gradation ranges and potentially cause a significantly greater OBC, which results in a costly HMA. Finally, the volumetric properties of the produced asphalt mixture should be checked against the volumetric properties and performance properties as stated in the VicRoads code of practice “Registration of bituminous mix”.
This research followed an industry-focused approach to investigate the possibility of maximising the proportion of recycled aggregates in the production of HMA. This evidence-based promotion of recycled materials in HMA is the most effective step, to date, towards encouraging the use of sustainable construction materials and approaches.
Future research suggestions: The 10RCA 55 and all 20 mm recycled material asphalt mixtures satisfied VicRoads requirements and hence were recommended for use in the pavement layers. However, additional experimental investigations, such as fatigue tests, dynamic modulus tests and wheel tracking tests, are recommended to be undertaken in a future study to further validate the performance of the recycled material mixtures of this study. Replacing natural aggregates entirely with recycled materials in the production of asphalt mixtures certainly provides environmental benefits by reducing carbon emissions. Hence, quantifying this reduced emission and a detailed analysis is another recommended future area of research.

Author Contributions

K.S.: Methodology, Formal analysis, Investigation, Writing—Original Draft, Visualization; E.Y.: Conceptualization, Methodology, Formal analysis, Investigation, Writing—Review & Edition, Funding acquisition, Supervisor; P.L.P.W.: Formal analysis, Writing—Review & Edition, Formal analysis, Funding acquisition, Supervision; R.V.S.: Conceptualization, Project administration, Writing—Review & Editing, Funding acquisition, Supervision; S.F.: Conceptualization, Writing—Review & Editing, Funding acquisition, Resources. All authors have read and agreed to the published version of the manuscript.

Funding

This research was supported by the Victoria State Government, Australia.

Data Availability Statement

All data, models, and code generated or used during the study appear in the published article.

Acknowledgments

Our industry partner, Boral, is thanked for providing the technical advice and materials used in this study. The recycled concrete aggregate was provided by Delta Group.

Conflicts of Interest

The authors declare no conflict of interest.

References

  1. Ma, F.; Sha, A.; Lin, R.; Huang, Y.; Wang, C. Greenhouse Gas Emissions from Asphalt Pavement Construction: A Case Study in China. Int. J. Environ. Res. Public Health 2016, 13, 351. [Google Scholar] [CrossRef] [PubMed]
  2. Fwa, T.F. (Ed.) The Handbook of Highway Engineering—Highway Material; CRC Press: Boca Raton, FL, USA, 2006. (In English) [Google Scholar]
  3. Yaghoubi, E.; Mansourkhaki, A. Effect of “n” Exponent in Fuller Equation of Gradation on Hot Mix Asphalt Resistance to Permanent Deformation. Int. J. Pavement Res. Technol. 2010, 3, 336–342. [Google Scholar]
  4. Rebbechi, J.; Petho, L. Guide to Pavement Technology Part 4B: Asphalt; AGPT04B-14; Austroads Ltd.: Sydney, NSW, Australia, 2014; p. 139. [Google Scholar]
  5. Aragao, F. Effects of Aggregates on Properties and Performance of Mastic and Superpave Hot Mix Asphalt Mixture. 2007. Available online: https://digitalcommons.unl.edu/cgi/viewcontent.cgi?article=1010&context=civilengdiss (accessed on 4 January 2023).
  6. Arulrajah, A.; Disfani, M.M.; Horpibulsuk, S.; Suksiripattanapong, C.; Prongmanee, N. Physical properties and shear strength responses of recycled construction and demolition materials in unbound pavement base/subbase applications. Constr. Build. Mater. 2014, 58, 245–257. [Google Scholar] [CrossRef]
  7. Yaghoubi, E.; Sudarsanan, N.; Arulrajah, A. Stress-strain response analysis of demolition wastes as aggregate base course of pavements. Transp. Geotech. 2021, 30, 100599. [Google Scholar] [CrossRef]
  8. Austroads-5.3.2. 5.3.2 Flakiness Index. Available online: https://austroads.com.au/publications/pavement/agpt04k/design-method/aggregate-size-and-shape/flakiness-index (accessed on 5 January 2023).
  9. United Nations Environment Programme. Sand, Rarer than One Thinks: UNEP Global Environmental Alert Service (GEAS); United Nations Environment Programme: Nairobi, Kenya, 2014. [Google Scholar]
  10. Hyder-Consulting. Construction and Demolition Waste Status Report. 2011. Available online: https://www.awe.gov.au/sites/default/files/documents/construction-waste.pdf (accessed on 5 January 2023).
  11. Wiedmann, T.O.; Schandl, H.; Lenzen, M.; Moran, D.; Suh, S.; West, J.; Kanemoto, K. The material footprint of nations. Proc. Natl. Acad. Sci. USA 2015, 112, 6271–6276. [Google Scholar] [CrossRef] [PubMed]
  12. Pickin, J.; Randell, P.; Trinh, J.; Grant, B. National Waste Report 2018. 2018. Available online: https://www.awe.gov.au/sites/default/files/documents/national-waste-report-2018.pdf (accessed on 7 January 2023).
  13. Allan, P. Assessment of Australian Recycling Infrastructure-Glass Packaging Update. 2019. Available online: https://www.agriculture.gov.au/sites/default/files/documents/assessment-australian-recycling-infrastructure-glass-packaging.pdf (accessed on 6 January 2023).
  14. Su, K.; Hachiya, Y.; Maekawa, R. Study on recycled asphalt concrete for use in surface course in airport pavement. Resour. Conserv. Recycl. 2009, 54, 37–44. [Google Scholar] [CrossRef]
  15. Sanchez-Cotte, E.H.; Fuentes, L.; Martinez-Arguelles, G.; Rondón Quintana, H.A.; Walubita, L.F.; Cantero-Durango, J.M. Influence of recycled concrete aggregates from different sources in hot mix asphalt design. Constr. Build. Mater. 2020, 259, 120427. [Google Scholar] [CrossRef]
  16. Yaghoubi, E.; Ahadi, M.R.; Alijanpour Sheshpoli, M.; Jahanian Pahlevanloo, H. Evaluating the performance of hot mix asphalt with reclaimed asphalt pavement and heavy vacuum slops as rejuvenator. Int. J. Transp. Eng. 2013, 1, 115–124. [Google Scholar]
  17. Bastidas-Martínez, J.G.; Reyes-Lizcano, F.A.; Rondón-Quintana, H.A. Use of recycled concrete aggregates in asphalt mixtures for pavements: A review. J. Traffic Transp. Eng. 2022, 9, 725–741. [Google Scholar] [CrossRef]
  18. Su, N.; Chen, J. Engineering properties of asphalt concrete made with recycled glass. Resour. Conserv. Recycl. 2002, 35, 259–274. [Google Scholar] [CrossRef]
  19. Alhassan, H.; Yunusa, G.; Sanusi, D. Potential of glass cullet as aggregate in hot mix asphalt. Niger. J. Technol. 2018, 37, 338–345. [Google Scholar] [CrossRef]
  20. Lachance-Tremblay, É.; Vaillancourt, M.; Perraton, D. Evaluation of the impact of recycled glass on asphalt mixture performances. Road Mater. Pavement Des. 2016, 17, 600–618. [Google Scholar] [CrossRef]
  21. Cho, Y.-H.; Yun, T.; Kim, I.T.; Choi, N.R. The application of recycled concrete aggregate (RCA) for hot mix asphalt (HMA) base layer aggregate. KSCE J. Civ. Eng. 2011, 15, 473–478. [Google Scholar] [CrossRef]
  22. Bhusal, S.; Li, X.; Wen, H. Evaluation of effects of recycled concrete aggregate on volumetrics of hot-mix asphalt. Transp. Res. Rec. 2011, 2205, 36–39. [Google Scholar] [CrossRef]
  23. VicRoads-RC500.22. Selection and Design of Pavements and Surfacings (RC 500.22). 2018. Available online: https://www.vicroads.vic.gov.au/-/media/files/technical-documents-new/codes-of-practice-rc500/code-of-practice-rc-50022-selection-and-design-of-pavement-and-surfacings-december-2018.ashx (accessed on 20 December 2022).
  24. AS_1141.11; Method 11: Particle size Distribution by Sieving. Standards Australia International: Sydney, NSW, Australia, 1996.
  25. AS_1141.12; Method 12: Materials Finer than 75 Micrometer in Aggregates (by Washing). Standards Australia International: Sydney, NSW, Australia, 2015.
  26. AS_1141.5; Method 5: Particle Density and Water Absorption of Fine Aggregates. Standards Australia International: Sydney, NSW, Australia, 2000.
  27. AS_1141.6.1; Method 6.1: Particle Density and Water Absorption of Coarse Aggregates—Weighing-in-Water Method. Standards Australia International: Sydney, NSW, Australia, 2000.
  28. AS_1141.15; Method 15: Flakiness Index. Standards Australia International: Sydney, NSW, Australia, 1999.
  29. VicRoads-RC500.01. Registration of Bituminous Mix Designs, Code of Practice. 2021; p. 10. Available online: https://www.transport.tas.gov.au/__data/assets/pdf_file/0004/298120/Code_of_Practice_RC_50001_Registration_of_Bituminous_Mix_Designs_July_2001.pdf (accessed on 7 December 2022).
  30. Asphalt-Institute. MS-2 Asphalt Mix Design Methods; Asphalt-Institute: Lexington, KY, USA, 2014; p. 188. Available online: https://www.researchgate.net/profile/Yasir_Jebur/post/what_are_the_limits_of_thicknesses_of_asphalt_wearing_or_surface_binder_layer_base_materials_asphalt_base_and_the_full_depth_asphalt_layer/attachment/5c13e9eccfe4a76455091d0d/AS:703793855483904@1544808939808/download/Asphalt-Institute-MS2-7th-Edition-Asphalt-Institute-Mix-Design.pdf (accessed on 14 December 2022).
  31. Vicroads-RC201.01. Design of Asphalt Mixes (Marshall Method). 2016; p. 4. Available online: https://www.vicroads.vic.gov.au/-/media/files/technical-documents-new/test-methods/test-method-rc-20101--design-of-asphalt-mixes-marshall-method.ashx (accessed on 11 November 2022).
  32. AS_2891.7.1; Method 7.1: Determination of Maximum Density of Asphalt—Water Displacement Method. Standards Australia International: Sydney, NSW, Australia, 2004; p. 5.
  33. AS_2891.5; Method 5: Determination of stability and flow—Marshall procedure. Standards Australia International: Sydney, NSW, Australia, 2004.
  34. ASTM_D6926-20; Standard Practice for Preparation of Asphalt Mixture Specimens Using Marshall Apparatus. ASTM International: West Conshohocken, PA, USA, 2020; p. 8.
  35. AS_2891.9.2; Method 9.2: Determination of Bulk Density of Compacted Asphalt—Presaturation Method. Standards Australia International: Sydney, NSW, Australia, 2005.
  36. AS_2891.13.1; Method 13.1: Determination of the Resilient Modulus of Asphalt—Indirect Tensile Method. Standards Australia International: Sydney, NSW, Australia, 1995.
  37. AGPT_T232-07; Stripping potential of asphalt—Tensile strength Ratio. ARRB and the Australian Asphalt Pavement Association: Sydney, NSW, Australia, 2007; p. 10.
  38. Do, T.C.; Tran, V.P.; Lee, H.J.; Kim, W.J. Mechanical characteristics of tensile strength ratio method compared to other parameters used for moisture susceptibility evaluation of asphalt mixtures. J. Traffic Transp. Eng. Engl. Ed. 2019, 6, 621–630. [Google Scholar] [CrossRef]
  39. Jameson, G. Guide to Pavement Technology Part 2: Pavement structural Design; Austroads-Part2; Austroads: Sydney, NSW, Australia, 2017; Available online: https://austroads.com.au/publications/pavement/agpt02/media/AGPT02-17_Guide_to_Pavement_Technology_Part_2_Pavement_Structural_Design.pdf (accessed on 20 December 2022).
  40. Bruce, A.; Chadbourn, E.L.S., Jr.; Benita, L. Crow, Samantha Spindler. The Effect of Voids in Mineral Aggregate (VMA) on Hot-Mix Asphalt Pavements. 1999, p. 125. Available online: https://www.odot.org/materials/asph_tchnl_info/HMA_VMA_RPT.pdf (accessed on 18 December 2022).
  41. John, I.; Bangi, M.R.; Lawrence, M. Effect of filler and binder contents on air voids in hot-mix asphalt for road pavement construction. Ph.D. Thesis, Kyambogo University, Kampala, Uganda, 2021. [Google Scholar]
  42. Al-Mosawe, H.; Thom, N.; Airey, G.; Ai-Bayati, A. Effect of aggregate gradation on the stiffness of asphalt mixtures. Int. J. Pavement Eng. Asph. Technol. PEAT 2015, 16, 39–49. [Google Scholar] [CrossRef]
  43. Xiao, R.; Ding, Y.; Polaczyk, P.; Ma, Y.; Jiang, X.; Huang, B. Moisture damage mechanism and material selection of HMA with amine antistripping agent. Mater. Des. 2022, 220, 110797. [Google Scholar] [CrossRef]
Figure 1. Natural, RAP, RG and RCA aggregates used in this research.
Figure 1. Natural, RAP, RG and RCA aggregates used in this research.
Sustainability 15 05594 g001
Figure 2. Particle size distribution curves of the aggregates.
Figure 2. Particle size distribution curves of the aggregates.
Sustainability 15 05594 g002
Figure 3. Apparent particle density and water absorption test results of all aggregates.
Figure 3. Apparent particle density and water absorption test results of all aggregates.
Sustainability 15 05594 g003
Figure 4. Flakiness index of the different aggregates used in this study.
Figure 4. Flakiness index of the different aggregates used in this study.
Sustainability 15 05594 g004
Figure 5. Aggregate gradation of (a) 10 mm (b) 20 mm mixtures.
Figure 5. Aggregate gradation of (a) 10 mm (b) 20 mm mixtures.
Sustainability 15 05594 g005
Figure 6. The modular testing machine and the IDT test set-up.
Figure 6. The modular testing machine and the IDT test set-up.
Sustainability 15 05594 g006
Figure 7. Example Marshall charts for the evaluation of the OBC of 10NA. (a) Marshall stability; (b) flow; (c) air voids; (d) unit weight; (e) VMA; and (f) VFB, versus bitumen content.
Figure 7. Example Marshall charts for the evaluation of the OBC of 10NA. (a) Marshall stability; (b) flow; (c) air voids; (d) unit weight; (e) VMA; and (f) VFB, versus bitumen content.
Sustainability 15 05594 g007
Figure 8. Comparison of (a) bulk density, (b) OBC, (c) VFB, (d) Stability, (e) Flow value, and (f) VMA of the 10 mm mixtures.
Figure 8. Comparison of (a) bulk density, (b) OBC, (c) VFB, (d) Stability, (e) Flow value, and (f) VMA of the 10 mm mixtures.
Sustainability 15 05594 g008
Figure 9. Comparison of (a) bulk density, (b) OBC, (c) VFB, (d) Stability, (e) Flow value, and (f) VMA of the 20 mm mixtures.
Figure 9. Comparison of (a) bulk density, (b) OBC, (c) VFB, (d) Stability, (e) Flow value, and (f) VMA of the 20 mm mixtures.
Sustainability 15 05594 g009
Figure 10. The IDT test results of the mixtures at their respective OBC for both 10 and 20 mm mixtures.
Figure 10. The IDT test results of the mixtures at their respective OBC for both 10 and 20 mm mixtures.
Sustainability 15 05594 g010
Figure 11. Dry (unconditioned) and wet (conditioned) tensile strength of (a) 10 mm, and (b) 20 mm asphalt mixes.
Figure 11. Dry (unconditioned) and wet (conditioned) tensile strength of (a) 10 mm, and (b) 20 mm asphalt mixes.
Sustainability 15 05594 g011
Table 1. Examples of outcomes of previous research incorporating recycled materials in the asphalt mixture.
Table 1. Examples of outcomes of previous research incorporating recycled materials in the asphalt mixture.
Recycled Material TypeReferencePercentage of Recycled Content (by Weight)Types of TestsSome Key Findings
RGSu and Chen [18]0, 5, 10, and 15%Marshall stability, moisture sensitivity, skid resistance, light reflection, & permeability
  • The experimental pavement test section with 10% RG showed acceptable performance;
  • The Marshall stability values of 5 to 15% of RG were within the limits specified. Additionally, the increase in lime in the mixture showed improved Marshall stability values.
RGAlhassan, et al. [19]5, 6, 7, 8, 9, and 10% RGMarshall Stability, flow, bulk density, & air voids
  • Asphalt produced with 8% RG were suitable to be used as wearing course material.
  • The fine RG cullet from waste glass bottles showed similar behaviour to natural aggregate.
  • The result of the Marshal Stability, flow, bulk density, and air voids test showed the HMA that incorporated 5 to 10% RG contents were desirable.
RGLachance-Tremblay, et al. [20]5, 10, 15, 20, and 25%Laboratorie des Chaussees (LC) mix design method, thermal stress restrained specimen test, complex modulus test, & stripping resistance test.
  • The use of crushed RG increased mixture workability and decreased the rutting resistance;
  • The addition of RG eventually increased the effective binder content by reducing the volume of binder absorbed;
  • The stripping resistance of the mixture consisting of 10% RG was lower than that of the conventional mixture.
RAPSu, et al. [14]0, 40, and 70%Marshall Mix Design, wheel tracking, & three-point bending test
  • 40% RAP showed similar properties compared to the control HMA mixture without RAP, except for moisture susceptibility;
  • RAP (40% and 70%) showed similar evenness and bearing capacity as the HMA control mixture without RAP after three years of service life;
  • The 40% RAP mixture showed similar fatigue properties to that of the controlled HMA mixture without RAP, whereas the 70% RAP mixture showed poor fatigue properties;
  • The use of 40% RAP reduced the cost by almost 38% compared to the HMA mixture without RAP per ton.
RCACho, et al. [21]
(1)
100% RCA;
(2)
100% coarse RCA mixed with fine natural aggregate;
(3)
100% fine RCA mixed with coarse natural aggregate.
Marshall mix design, Indirect tensile Test (IDT), wheel tracking test, and tensile strength ratio (TSR) test.
  • Mixtures made of natural coarse aggregate with fine recycled concrete aggregate had the highest resistance to rutting.
  • Coarse RCA with fine natural aggregate and natural coarse aggregate with fine RCA showed comparable performance in indirect tensile strength ratio, deformation strength, and rut depth.
  • RCA with fine, recycled coarse aggregate showed the lowest resistance to tensile stress and shear flow. Thus, the proposed mix was not recommended for use as a base layer aggregate.
RCABhusal, et al. [22]20, 40, 60, 80, and 100%HMA Superpave Mix Design (OBC, VMA, bulk and maximum theoretical density)
  • The cement paste in RCA increased the bitumen absorption rate and decreased the particle density.
  • The OBC of the asphalt mixture increased from 6.8 to 9.2% with the increase in RCA from 20 to 100%.
Table 2. Maximum particle sizes of the aggregates.
Table 2. Maximum particle sizes of the aggregates.
AggregateDmax (mm)AggregateDmax (mm)
NA * (7 mm)7RAP9.5
NA (10 mm)10RCA (10 mm)9.5
NA (14 mm)14RCA (All sizes)20
NA (20 mm)20Dust4.75
Sand4.75RG4.75
* NA: Natural Aggregate.
Table 3. Composition of aggregates in each HMA mixture prepared in this research.
Table 3. Composition of aggregates in each HMA mixture prepared in this research.
Mixture IDMixture Aggregate Size (mm)Aggregate Composition (by Mass)
10NA1010 mm NA, 20%; 7 mm NA, 20%; sand, 25%; and 35% of dust
20NA2020 mm NA, 17%; 14 mm NA, 10%; 10 mm NA, 15%; 7 mm, 10%; sand, 25%; and 23% of dust
10RCA 751075% of RCA, 15% of RAP, and 10% of RG
10RCA 651065% of RCA, 25% of RAP, and 10% of RG
10RCA 551055% of RCA, 35% of RAP, and 10% of RG
20RCA 752075% of RCA, 15% of RAP, and 10% of RG
20RCA 652065% of RCA, 25% of RAP, and 10% of RG
20RCA 552055% of RCA, 35% of RAP, and 10% of RG
Table 4. The IDT test conditions adapted form AS_2891.13.1 [36].
Table 4. The IDT test conditions adapted form AS_2891.13.1 [36].
Test temperature (°C)25 ± 0.5
Contact load (N)50
10% to 90% Rise time (ms)40 ± 5
Number of conditioning pulses5
Pulse repetition period (ms)3000 ± 5
Table 5. IDT test results of the mixtures at 25 °C (MPa).
Table 5. IDT test results of the mixtures at 25 °C (MPa).
MixtureIDT Test Result of 10 mm SizeIDT Test Result of 20 mm Size
NA2979 ± 374907 ± 202
RCA 755142 ± 3677159 ± 846
RCA 655284 ± 1618686 ± 58
RCA 557303 ± 2827667 ± 455
Table 6. Corrected design modulus based on Melbourne’s climate and 60 km/h traffic speed.
Table 6. Corrected design modulus based on Melbourne’s climate and 60 km/h traffic speed.
MixtureIDT (MPa) at 25 °CDesign Modulus (MPa)
10NA29792401
10RCA 7551424143
10RCA 6552844258
10RCA 5573035884
20NA49073954
20RCA 7571595768
20RCA 6586866999
20RCA 5576676178
Table 7. Tensile Strength Ratio of all asphalt mixtures.
Table 7. Tensile Strength Ratio of all asphalt mixtures.
MixtureTensile Strength Ratio of 10 mm Size Tensile Strength Ratio of 20 mm Size
NA78.3%67.8%
RCA 7582.4%92.8%
RCA 6575.0%88.9%
RCA 5584.4%82.0%
Disclaimer/Publisher’s Note: The statements, opinions and data contained in all publications are solely those of the individual author(s) and contributor(s) and not of MDPI and/or the editor(s). MDPI and/or the editor(s) disclaim responsibility for any injury to people or property resulting from any ideas, methods, instructions or products referred to in the content.

Share and Cite

MDPI and ACS Style

Sapkota, K.; Yaghoubi, E.; Wasantha, P.L.P.; Van Staden, R.; Fragomeni, S. Mechanical Characteristics and Durability of HMA Made of Recycled Aggregates. Sustainability 2023, 15, 5594. https://doi.org/10.3390/su15065594

AMA Style

Sapkota K, Yaghoubi E, Wasantha PLP, Van Staden R, Fragomeni S. Mechanical Characteristics and Durability of HMA Made of Recycled Aggregates. Sustainability. 2023; 15(6):5594. https://doi.org/10.3390/su15065594

Chicago/Turabian Style

Sapkota, Kiran, Ehsan Yaghoubi, P. L. P. Wasantha, Rudi Van Staden, and Sam Fragomeni. 2023. "Mechanical Characteristics and Durability of HMA Made of Recycled Aggregates" Sustainability 15, no. 6: 5594. https://doi.org/10.3390/su15065594

APA Style

Sapkota, K., Yaghoubi, E., Wasantha, P. L. P., Van Staden, R., & Fragomeni, S. (2023). Mechanical Characteristics and Durability of HMA Made of Recycled Aggregates. Sustainability, 15(6), 5594. https://doi.org/10.3390/su15065594

Note that from the first issue of 2016, this journal uses article numbers instead of page numbers. See further details here.

Article Metrics

Back to TopTop