Abstract
This paper aims to compare the effect of different soil configurations on plant growth under long-term drought to provide a theoretical basis for soil reclamation and vegetation restoration in the contiguous area between Shanxi, Shaanxi, and Inner Mongolia, China. With the widely distributed montmorillonite-enriched sandstone in this area as the soil structure ameliorator and the sandy soil as the test soil, indoor simulation and soil column tests were conducted to study the water holding capabilities of different reconstructed soils configurations. The drought stress test of alfalfa on these soils explored the correlation between the growth of alfalfa and soil water in various configurations. The soil–water characteristic curve and soil texture were analyzed to determine plant survival. The results showed that the addition of montmorillonite-enriched sandstone with high water holding capacity and water diffusion rates could increase the water content of the sandy soil. The treatments with 20 and 30 cm montmorillonite-enriched sandstone at the depths of 20–40 cm and 20–50 cm demonstrated the longest survival time (60 days and 59 days), the highest germination (34% and 35%), and the highest water holding capacity (22.6% and 27.3%), indicating that soils with higher water holding capacity and lower diffusion rates could be used as a reservoir, in combination with other soil materials with high water content, and that the addition of the montmorillonite-enriched sandstone layer at 20–30 cm in the sandy soil is the optimal choice for topsoil reclamation in open-mining areas.
1. Introduction
The contiguous area between Shanxi, Shaanxi, and Inner Mongolia in China accounts for 62.7% of the total coal reserves in China [1]. However, large-scale coal mining in this area has produced a substantial number of refuse dumps, which have severely damaged the landscape and generated many environmental problems in this region [2,3,4], covering this area with an accumulation of stripping materials from mining [5]. The rough texture, loose structure, thin soil layer, and poor water retention capacity of the topsoil, coupled with short interval of intensive precipitation and the shortage of water resources, makes the vegetation restoration of these dumps a huge challenge [6,7].
Soil, plants, and the atmosphere work together to determine the ultimate plant survival under drought conditions. When water in the soil is restricted, plants reduce water consumption in transpiration by closing their stomata to relieve the stress caused by water scarcity; thus, plant regulation is achieved by synthesizing abscisic acid in the roots and transmitting other pressure signals to the above-ground parts of the plant [8]. Drought stress leads to the synthesis of osmotically active compounds that reduce the water potential of leaves and increase their ability to extract water from dry soil. The response of plants to desiccation is determined by the root length and density in dry soil rather than the overall water content of the soil [8].
The drought stress of a plant is regulated by the soil texture [9]. Fine soils have higher resistance to water movement (i.e., low diffusion rates), while coarse soils have lower resistance to water flow (i.e., high diffusion rates). When the soil turns dry, the hydraulic conductivity of coarse soils decreases rapidly, and the fine soils have higher hydraulic conductivity than the sandy soils [10]. When moist, the coarse soils rapidly supply water to the plants roots in the soil, which need not trigger the response to the drought stress. On the contrary, the plants may die when the water is scarce [10,11].
In the moist soil, the distribution of roots and their water conductivity determine the rate of water extraction [12,13]. In the dry soil, soil water conductivity decreases faster than root hydraulic conductivity. Therefore, soil properties affect the uptake of water by plants [10,13]. Reasonable soil structure is conducive to vegetation restoration and can ensure the survival of plants, even in the long-term drying process. Therefore, it is of great significance to study the drought-resistant capacity of vegetation in different newly constructed soils for efficient vegetation restoration in the open-mining areas.
In the contiguous area between Shanxi, Shaanxi, and Inner Mongolia, where there are limited water resources and high evaporation, plant growth is heavily affected by soil water. This area is covered mainly by widely-distributed sandy soil, with loose soil structure, low water nutrient preserving capacity, poor water use efficiency [14], and a 1.67 × 10 4 km2 of the rock stratum called montmorillonite-enriched sandstone, which is rigidly hard when dry and mud-soft when absorbing water, exhibiting a low diagenetic degree and high susceptibility to weathering [15]. Because of its high content, (30%) of montmorillonite clay minerals, montmorillonite-enriched sandstone displays high water retention capacity and is frequently mixed with sandy and loess soil to improve the water holding capacity of sandy soils [16]. Researchers have found that the addition of montmorillonite-enriched sandstone can produce better particle composition [17], improve the pore structure [18], and efficiently increase the water uptake and water-holding capacity of the sandy or loess soil [19,20]. However, most of the above are studies on the composite soils with homogeneous textures, neglecting the fact that heterogeneous structures are universally applied in the backfilled refuse dump after exfoliated mining, and it is more meaningful that water retention and movement in the vertically-layered soil structure are significantly different from those in homogeneous soils. Therefore, study on the reconstruction of the topsoil with appropriate structure to improve water retention and drought resistance is critical for land reclamation and ecological restoration in mining area [21].
With the sandy soil and the widely distributed montmorillonite-enriched sandstone in the contiguous area between Shanxi, Shaanxi, and Inner Mongolia as substrate materials, ten different soil reconstruction models were set for laboratory tests of water efficiency. Alfalfa, with its deep roots, drought resistance, salt and alkali resistance, and its ability to help improve the soil and ecological environment in mining area, is therefore selected as the object to study the relationship between leaf water potential, soil water potential, and soil diffusion rates during plant growth. The effect of different soil reconstruction models on the survival rate of alfalfa during the long-term drying process was analyzed to simulate a scientific basis for the vegetation restoration and soil reclamation options in the open-pit mines of the contiguous area between Shanxi, Shaanxi, and Inner Mongolia.
2. Materials and Methods
2.1. Experimental Materials
Sandy soil used in the experiment was collected from Dalu Town (111°22’6.4”E, 40°2’45.7” N), Jungar, Inner Mongolia, and montmorillonite-enriched sandstone was collected in a field from Nuanshui Town (110°34’34.3” E, 39°44’23.6” N). The particle composition of both samples was measured by a laser particle analyzer after being air-dried, ground, and passed through a 2 mm sieve. Alfalfa was the grass species for testing. The particle composition of different soils was determined using a laser particle size meter (NANOPHOXTM, Symaptec, Germany). A cutting ring with the height of 5 mm, a diameter of 50.46 mm, and a volume of 100 cm3 was used for determining the soil–water characteristic curve. Based on the bulk densities of montmorillonite-enriched sandstone and sandy soil (montmorillonite-enriched sandstone: 1.40 g/cm3; sandy soil: 1.65 g/cm3) and the volume of the cutting ring, a certain amount of montmorillonite-enriched sandstone and sandy soil was calculated, weighed, mixed thoroughly, and filled into the cutting ring. Each treatment was replicated three times. A high-speed centrifuge (CR21G, HITACHI of Japan) was used to measure the samples at a room temperature of 20 °C. The soil–water characteristic curve was then fitted using RETC software [15] to obtain the parameters of the curve. The equation [22] is as follows, and the soil diffusion rates (Equation (1)) discussed in this paper were calculated using saturated hydraulic conductivity and the parameters in Equation (1).
(Notes: θs was the saturated water content (cm3 cm−3); θr was the residual water content (cm3 cm−3); h was pressure head (cm); α, n and m (m = 1 − 1/n) were empirical parameters that affect the shape of the retention curve; and D was the diffusion rate. The obtained parameters are shown in Table 1.)
Table 1.
Particle composition, soil–water characteristic curve parameters, and saturation water conductivity of sandy soil and montmorillonite-enriched sandstone.
2.2. Experiment Design
The experiment was conducted in 2019. Ten soil configurations were prepared, and the specific parameters of each configuration are shown in Figure 1. Treatments A, B, and C were the three types of homogeneous soils: sandy soil, montmorillonite-enriched sandstone, and sandy-montmorillonite-enriched sandstone mixture (3:1 mixing ratio), respectively; treatments D–F were layered soil models with 10 cm montmorillonite-enriched sandstone layers at the depth of 20–30, 50–60, and 90–100 cm, respectively, while the rest of the layers were sandy soils; treatment G had two layers (at the height of 20–30 and 50–60 cm) of montmorillonite-enriched sandstone; treatment H had three layers of montmorillonite-enriched sandstone at 20–30, 50–60, and 90–100 cm. For the treatments I and J, 20 and 30 cm thick montmorillonite-enriched sandstone was set at the depths of 20–40 cm and 20–50 cm, respectively. Each treatment was replicated five times. Homogeneous treatments A–C were used to test the effect of soil texture, layered treatments D–J to assess the effect of the location, quantity, and thickness of the montmorillonite-enriched sandstone layer on plant growth, and a 20 cm layer of sandy soil on the upper surface of the layered soil to increase the water infiltration rate and reduce the cumulative evaporation of soil water.
Figure 1.
Diagram of Different Treatments.
The height of the soil column in the pot experiment was 110 cm, the inner diameter was 34 cm, and the pot thickness was 1 cm. A fixed amount of fertilizer was thoroughly mixed with sandy soil and montmorillonite-enriched sandstone and filled into the soil column to prepare the nutrient basis for plant growth. The soil samples were gradually filled at every 5 cm layer with sand blasting between layers and hammered to the target bulk density (1.40 g/cm3 for the montmorillonite-enriched sandstone; 1.65 g/cm3 for the sandy soil). For easy separation of the roots from the soil after testing, the soil column was cut longitudinally along both sides, and then taped tightly. To avoid waterlogging, a 5 cm layer of gravel was placed at the bottom of each soil column, and a small hole was drilled at the bottom. The filled soil column was left to consolidate naturally for 60 days, then flooded until saturation. The top layer of the column was covered with plastic film to prevent water evaporation and left at room temperature until drainage stopped. The top layer of each soil column was covered with sand to reduce evaporation from the topsoil. Each treatment was replicated five times, with random adjustments to the position of the soil column each week to ensure a consistent light and wind environment.
In the experiment, plump alfalfa seeds were selected and sowed in 30 small holes dug in each soil column. The seedlings were evened out to 20 plants per soil column 2 weeks after sprouting, and sufficient water (watered to saturation every 5 days) and fertilizer were provided for the first 14 weeks for alfalfa growth, then watering was stopped, and leaf water potential was measured daily at midday. If all the plants in a treatment died, the remaining replicate treatments were cleared to collect plant biomass: the soil column was stripped, the roots removed, the above- and below-ground biomass washed, dried in an oven at 60 °C,and weighed.
TDR-315L moisture sensors were horizontally installed on each layer to monitor soil water content. All sensors were linked with a CR1000 data acquisition system through the multifunctional connection panel to automatically record and output data at 5, 10, 15, 20, and 60 days after watering was stopped. Volumetric water content measured by the TDR is converted to soil water potential by means of the soil–water characteristic curve model. In addition, the weight change of the soil column was monitored using a load cell to calculate evapotranspiration.
2.3. Data Analysis and Processing
Parameter differences between treatments were analyzed by one-way and two-way analysis of variance (ANOVA). Statistical analysis was carried out using SPSS software, and the difference in significance between treatments was compared using Tukey’s t-test (p < 0.05).
3. Results and Discussion
3.1. Growth Characteristics of Alfalfa
Figure 2 shows the dry matter quantity of the four cuts of alfalfa with sufficient water. As can be seen from the graph, the alfalfa showed a general increasing trend in dry matter quantity after 45 days of growth, with plants in treatments C, G, and I growing the fastest in the first 15 weeks, and those in treatments A, E, and F growing the slowest.
Figure 2.
Above-ground biomass of alfalfa in treatments A, B, C, D, E, F, G, H, I, and J.
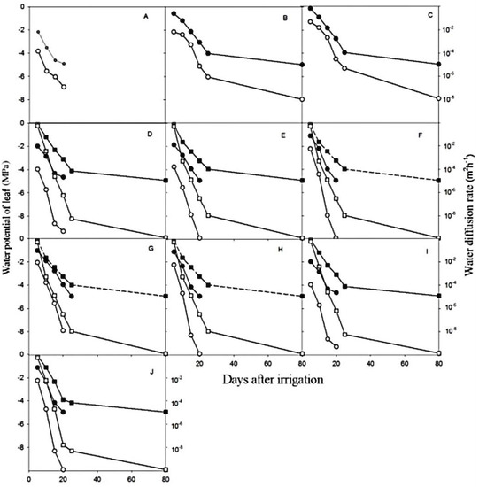
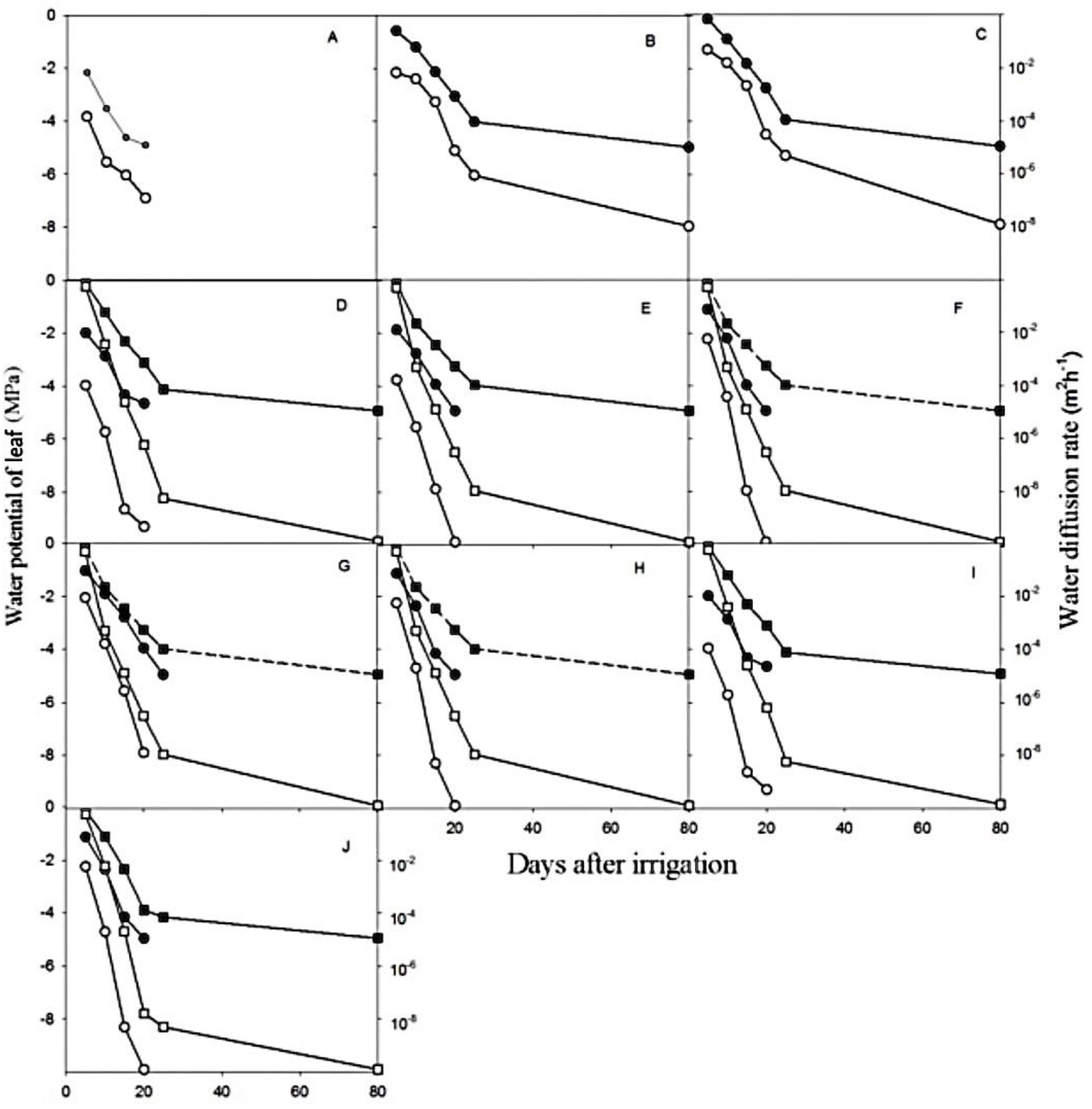
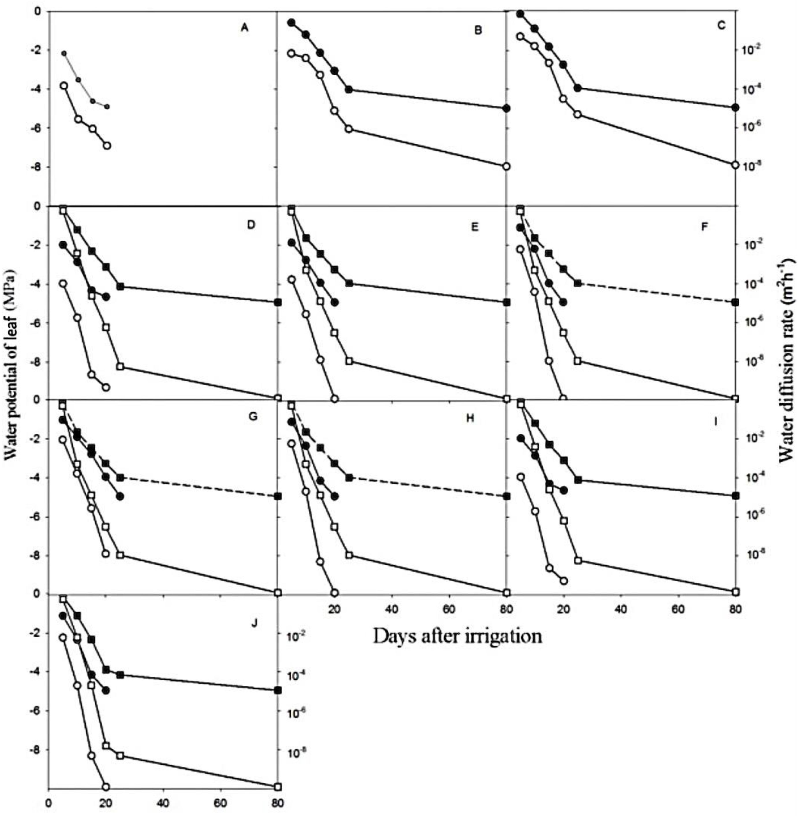
Changes in alfalfa leaf water potential after cessation of irrigation in the different reconstructed soils are shown in Figure 3. ANOVA evaluation of biomass and total water use during the first 15 weeks of the experiment also showed significant differences between the different soil reconstruction models when water availability was adequate. Leaf water potential was monitored at midday on days 5, 10, 20, and 30 after watering had ceased, after which measurements were discontinued, as leaf water potential monitoring exceeded the detection limit of the equipment (−5 MPa). Leaf water potential in treatments A–J remained at around −1 MPa for 5 days. After 15 days, leaf water potential gradually decreased in all treatments, indicating that the remaining soil water gradually reduced or depleted and was not providing sufficient water for normal plant growth. As the water continued to decrease, the stomatal conductance of the leaves could not be accurately measured due to the limited monitoring capacity of the equipment.
Figure 3.
Changes in water potential of alfalfa leaves after cessation of irrigation in treatments A, B, C, D, E, F, G, H, I, and J.
Table 2 shows that the different reconstruction models of the montmorillonite-enriched sandstone and sandy soils did affect the survival time of alfalfa, to varying degrees. Sandy soil treatment (A) delivered the worst performance, and its above-ground portion of alfalfa died 28 days after watering was stopped. The above-ground parts of plants in treatments B, C, E, and F died within 45 days, probably due to the higher evaporation caused by capillary effects in treatments B and C, and the excessive thickness of the top layer of sandy soil, which stored less water in treatments E and F. Alfalfa plants in treatments D, H, I, and J survived for more than 50 days, proving that these newly constructed soils had a higher water holding capacity (shown in Table 2). At the end of the experiment (day 60), the soil column remained dry for another 2 months (a total of 4 months of ‘dry season’) and was then re-irrigated. Alfalfa in treatments B, D, H, I, and J (Table 2) revived, with the most plants germinating in treatment I (34%). It can be seen that despite the death of the plants, the roots of the alfalfa were still alive and could still germinate after re-watering. Data in Table 2 reveal that treatments I and J made the highest contribution to plant growth in the drought stress test when the three dimensions of survival days, re-sprouting, and rehydration capacity were considered altogether.
Table 2.
Survival time of alfalfa in different soil configurations, and water holding capacity of the soils.
Treatments C, G, I, and J held the most water (22.53, 26.67, 22.60, and 27.30 kg) due to their high content of montmorillonite-enriched sandstone and also because the layered treatment acted as a water barrier, while in contrast, soil treatments A, D, and E exhibited lower water holding capacity (12.36, 14.52, and 12.96 kg, respectively). As can be seen from Table 1, the soil particle composition of the sandy soil and montmorillonite-enriched sandstone has a sand content of 96.80% and 28.95%, respectively, while the proportion of clay is only 0.67% and 11.24%, respectively. The high water content of the montmorillonite-enriched sandstone can be attributed to the high clay content, and Table 2 also shows that the saturated hydraulic conductivity of montmorillonite-enriched sandstone is much lower than that of sandy soil.
3.2. Soil Water Content
The amount of water extracted by alfalfa plants from the different soil configurations was calculated from the soil water content by weighing and by the use of TDR probes at different soil layers (see in Table 3).
Table 3.
Water content for plant growth in different soil configurations.
The comparison of homogeneous treatments (A, B, and C) shows that alfalfa extracted the highest amount of water from treatment B (mixture sample), followed by montmorillonite-enriched sandstone and sandy soil, indicating that the sandy-montmorillonite-enriched sandstone mixture preserves higher water supply capacity. The comparison of layered treatments D, E, and F shows that the deeper the layer of montmorillonite-enriched sandstone, the lower its water supply capacity, the lower the amount of root biomass, and the lower its water uptake; the comparison of treatments D, G, and H shows that the greater the number of layers of montmorillonite-enriched sandstone, the higher their water supply capacity, and the closer the layer of montmorillonite-enriched sandstone is to the surface, the higher its water supply capacity; and the comparison of treatments D, I, and J shows that the thicker the layer of montmorillonite-enriched sandstone, the higher its water supply capacity.
3.3. Leaf Water Potential
Leaf water potential decreased from −1 MPa to below −4 MPa, indicating that alfalfa experienced drought stress on day 3 to day 10 after soil drying (treatments A, E, and F), on day 10 to day 17 (treatments B, C, D, G, and H), and on day 17 to day 24 (treatments D, I, and J). The water potential of alfalfa leaves in the different soil reconstruction models A, E, and F showed a more rapid decrease, indicating that treatment I was the more suitable soil reconstruction module. It was also discovered during the research that the chlorophyll and fluorescence ratios Fv/Fm did not drop sharply during midday when the leaf water potential dropped below approximately −4 MPa (Figure 4). This shows that due to drought stress, the leaf water potential of alfalfa decreased significantly, while the plant was able to maintain normal photochemical processes in the presence of reduced leaf water potential. Since leaf water potential is closely related to the water supply capacity of the soil, this paper first determined leaf water potential decline from the figure above, then estimated the minimum and maximum critical diffusion rates to replot the minimum and maximum diffusion rates of each soil type.
Figure 4.
Change in leaf water potential with time in treatments (A–J).
3.4. Discussion
In open-pit mines in arid and semi-arid areas where there is serious water scarcity, the survival of vegetation on refuse dumps is significantly determined by the amount of water stored in the topsoil. The survival time of alfalfa was influenced by the different construction models of montmorillonite-enriched sandstone and sandy soil. The above-ground portion of alfalfa in the sandy soil treatment (A) died 28 days after the cessation of watering, which was the worst performance among all models. Moreover, the above-ground alfalfa in treatments B and C died at about day 45, mainly thanks to the increased water holding capacity of sandy soil after the addition of montmorillonite-enriched sandstone [23]. This is also the reason for the prolonged growth of above-ground alfalfa in treatments E and F [24]. Alfalfa in treatments D, H, I, and J survived for more than 50 days because the newly constructed soils had high water holding capacity (Table 2). At the end of the experiment (day 60), the soil columns were kept dry for another 2 months (a total of 4 months ‘dry season’) and then re-irrigated. Alfalfa in treatments B, D, H, I, and J (Table 2) returned to the growing state, which is consistent with the research findings by Chen et al. [25], with treatment I displaying the highest plant germination rate (34%). The study showed that, despite the death of the above-ground parts of the plants, the roots of alfalfa were still alive and could germinate after re-watering.
The soil diffusion rates in the sandy soil ranged from 2.2 × 10−7 to 2.4 × 10−7 m2/h and 2.3 × 10−6 to 2.8 × 10−6 m2/h, while those in the montmorillonite-enriched sandstone ranged from 1.2 × 10−10 to 2.4 × 10−10 m2/h and 2.0 × 10−12 to 3.0 × 10−12 m2/h. The sandy soil induced a drought stress response in plants through low soil water conductivity to retain the water in the soil, while montmorillonite-enriched sandstone applied water stress below the critical range, only when water was diffused. After 4 months of drying, alfalfa survived for 60 days in treatment I, which contained a 20 cm thick layer of montmorillonite-enriched sandstone in the topsoil. In the dry soils, the hydraulic conductivity of the soil is much lower than that of the root due to the limited number of water-conducting pores. Therefore, soil properties, rather than plant root characteristics, are the main determinant of soil water extraction rates [13,14]. No significant differences in water fluxes within each soil layer were detected in the study, suggesting that root lateral resistance is lower than soil resistance, and that the root has less influence on water uptake in dry soils. As each soil layer absorbed water, regardless of the order of cover, water use in each reconstructed soil could be described quantitatively. Alfalfa can adapt to drought stress, probably mainly due to the accumulation of compounds related to osmotic activity [25]. Thus, during the peak water use period at midday, plants growing on sandy soil may not be able to extract water as quickly due to the limited hydraulic conductivity of the soil, while other soil layers supply water below the critical diffusion range, and the soil does not have access to water, resulting in temporary water deficit to plants. From the afternoon to the next morning, when evapotranspiration decreases, there is enough water available in the sandy soil to rehydrate plants and allow them to store water [26]. In fact, plants exposed to severe water deficit, or even death stress, will employ drought-tolerant strategies, such as abscisic acid accumulation, leaf abscission, root zone exploration, and osmoregulation. Conversely, if soils such as sandy soil dry out too quickly, plants may not have enough time to switch on their regulating mechanisms [27], resulting in plant death in a shorter period of time.
Although fine-textured topsoil may increase evaporative water loss from the soil, the effect is not as significant, as fine-textured soil allows plants to adapt to drought stress by supplying sufficient water. However, overall plant survival may be reduced as a result of evaporative water losses and reduced water availability. Soil water holding capacity also plays an important role in plant survival with plants in reconstructed soil, with those with the highest water content surviving longer. The best reconstructed soil is a mixture of soils with low diffusion rates and water holding capacity (e.g., sandy soil) and soils with high diffusion rates and water holding capacity (e.g., montmorillonite-enriched sandstone). In treatment I, the plants picked up the water deficit signal, but the soil water was dissipated because the sandy soil layer was too thin. In soils with high diffusion rates (e.g., treatments B and C), the plants survived for more than 17 days without a stress signal and thus did not bother to respond to the impending drought stress. Once drought stress becomes severe, soils with low diffusion rates trigger a stress response that induces plants to adapt to external changes and survive accordingly. This study showed that after 4 months of growth without water, some seemingly dead alfalfa still sprouted after re-watering. This means that alfalfa can effectively prevent water losses by regulating its growth characteristics based on soil configurations and is able to sprout quickly when soil water conditions improve. It is recommended that the best reconstructed soils are those with high water holding capacity and low diffusion rates, which than can be used as a water storage reservoir, in combination with other soil materials with high water content. Soil texture and soil–water characteristic curves can be used as indicators to identify such soil characteristics. The study concluded that the addition of the montmorillonite-enriched sandstone layer treatment at the sandy soil depth of 20–40 provides an excellent soil construction module for topsoil reclamation in mining areas.
4. Conclusions
The combination of sandy soil with low diffusion rates and montmorillonite-enriched sandstone with high water holding capacity and diffusion rates could increase the soil water content, prolong the survival time of alfalfa, and increase its biomass. The configuration with the addition of 20 and 30 cm of montmorillonite-enriched sandstone at the depth of 20 cm in the sandy soil column was the most optimal configuration for plant growth, with the highest water holding capacity, the highest germination rate, and the longest survival time of alfalfa. Soil–water characteristic curves and soil texture analysis provided good predictors of plant survival. Therefore, the addition of montmorillonite-enriched sandstone layer treatment at 20–30 cm in sandy soil is recommended as an excellent soil reconstruction model for topsoil reclamation in mining areas.
Author Contributions
Validation, J.L.; investigation, J.L.; resources, X.Z.; data curation, X.Y.; writing—review and editing, Y.Z. and J.L.; supervision, J.L. All authors have read and agreed to the published version of the manuscript.
Funding
This work was funded by the Open Research Fund of the State Key Laboratory of Soil Erosion and Dryland Farming on the Loess Plateau (A314021402-2019) and the Natural Science Foundation of Shaanxi Province (2019NY-191).
Institutional Review Board Statement
Not applicable.
Informed Consent Statement
Not applicable.
Data Availability Statement
Not applicable.
Conflicts of Interest
The authors declare no conflict of interest.
References
- Che, X.; Shang, J.; Chen, C. Study on Environmental Impact Assessment of Regional Energy Strategy in Contiguous Area of Jin-Sha-Meng. Resour. Dev. Market 2002, 5, 24–27. [Google Scholar]
- Wang, F.; Wang, J.; Wang, Y. Using multi-fractal and joint multi-fractal methods to characterize spatial variability of reconstructed soil properties in an opencast coal-mine dump in the Loess area of China. Catena 2019, 182, 104111. [Google Scholar] [CrossRef]
- Cao, Y.; Wang, B.; Guo, H.; Xiao, H.; Wei, T. The effect of super absorbent polymers on soil and water conservation on the terraces of the loess plateau. Ecol. Eng. 2017, 102, 270–279. [Google Scholar] [CrossRef]
- Huang, L.; Zhang, P.; Hu, Y.; Zhao, Y. Vegetation succession and soil infiltration characteristics under different aged refuse dumps at the Heidaigou opencast coal mine. Glob. Ecol. Conserv. 2015, 4, 255–263. [Google Scholar] [CrossRef]
- Bai, Z.; Fu, M.; Zhao, Z. On Soil Environmental Problems in Mining Area. Ecol. Environ. 2006, 5, 1122–1125. [Google Scholar]
- Hou, Q.; Wang, Y.; Yang, G. Influence of Coal Mining on the Vegetation of shenfu-Dongsheng Coal Field. Res. Soil Water Conserv. 1994, 4, 127–137. [Google Scholar]
- Zhang, Y.; Zhen, Q.; Zhang, X.; Ma, B. Soil Water Characteristic and Temporal Stability under Different Vegetation Patterns in Opencast Coal Mine Dump. Res. Soil Water Conserv. 2020, 34, 212–218. (In Chinese) [Google Scholar]
- Davies, W.J.; Zhang, J.H. Root Signals and the Regulation of Growth and Development of Plants in Drying Soil. Annu. Rev. Plant Physiol. Plant Mol. Biol. 1991, 42, 55–76. [Google Scholar] [CrossRef]
- Groenevelt, P.H.; Grant, C.D.; Semetsa, S. A new procedure to determine soil water availability. Soil Res. 2001, 39, 577–598. [Google Scholar] [CrossRef]
- McCoy, E.L.; Boersma, L.; Ungs, M.L.; Akratanakul, S. Toward understanding soil water uptake by plant roots. Soil Sci. 1984, 137, 69–77. [Google Scholar] [CrossRef]
- Jensen, C.R.; Mogensen, V.O.; Poulsen, H.H.; Henson, I.E.; Aagot, S.; Hansen, E.; Ali, M.; Wollenweber, B. Soil water matric potential rather than water content determines drought responses in field-grown lupin (Lupinus angustifolius). Funct. Plant Biol. 1998, 25, 353–363. [Google Scholar] [CrossRef]
- Green, T.R.; Ahuja, L.R.; Benjamin, J.G. Advances and challenges in predicting agricultural management effects on soil hydraulic properties. Geoderma 2003, 116, 3–27. [Google Scholar] [CrossRef]
- Sarkar, S.; Kar, S. Estimation of water uptake pattern of groundnut (Arachis hypogaea L.). Agric. Water Manag. 1992, 21, 137–143. [Google Scholar] [CrossRef]
- Zhang, L.; Qi, R.; Zhang, Y.; Zhang, X. Effects of Amendment of Aeolian Sandy Soil and Loess with Soft Sandstone on Soil Water Retention Curve and Evaporation. Acta Pedol. Sin. 2015, 52, 77–86. [Google Scholar]
- Wang, J.; Zhen, Q.; Xin, J.; Wang, Y.; Zhang, X. Phosphorus removal from aqueous solution using Al-modified Pisha sandstone. J. Clean. Prod. 2021, 308, 127255. [Google Scholar] [CrossRef]
- Liang, Z.; Wu, Z.; Yao, W.; Noori, M.; Yang, C.; Xiao, P.; Leng, Y.; Deng, L. Pisha sandstone: Causes, processes and erosion options for its control and prospects. Int. Soil Water Conserv. Res. 2019, 7, 1–8. [Google Scholar] [CrossRef]
- Han, J.; Liu, Y.; Luo, L. Research on the core technology of remixing soil by soft rock and sand in the Maowusu sand land region. China Land Sci. 2012, 26, 87–94. (In Chinese) [Google Scholar]
- Zhen, Q.; Zheng, J.; He, H.; Han, F.; Zhang, X. Effects of Pisha sandstone content on solute transport in a sandy soil. Chemosphere. 2016, 144, 2214–2220. [Google Scholar] [CrossRef]
- Sun, Z.; Han, J. Effect of soft rock amendment on soil hydraulic parameters and crop performance in Mu Us Sandy Land, China. Field Crops Res. 2018, 222, 85–93. [Google Scholar] [CrossRef]
- De Rooij, G.H. Modeling fingered flow of water in soils owing to wetting front instability: A review. J. Hydrol. 2000, 231, 277–294. [Google Scholar] [CrossRef]
- Guan, Y.; Zhou, W.; Bai, Z.; Cao, Y.; Huang, Y.; Huang, H. Soil nutrient variations among different land use types after reclamation in the Pingshuo opencast coal mine on the Loess Plateau, China. Catena 2019, 188, 104427. [Google Scholar] [CrossRef]
- Van Genuchten, M.T. A Closed-form Equation for Predicting the Hydraulic Conductivity of Unsaturated Soils. Soil Sci. Soc. Am. J. 1980, 44, 892–898. [Google Scholar] [CrossRef]
- Ren, L.; Huang, M. Experiment and Numeral Simulation of Soil Evaporation from Layered Sandy Soil Columns. Acta Pedol. Sin. 2014, 51, 1282–1289. [Google Scholar]
- Chen, D.; Wang, D.; Guo, L.; Chen, X. Influence of Moisture Stress and Soil Texture to Root Growth of Leucaena leucocephala Seedlings. Soil Water Conserv. China 2012, 6, 34–37. [Google Scholar]
- Kigel, J.; Dotan, A. Effect of Different Durations of Water Withholding on Regrowth Potential and Non-Structural Carbohydrate Content in Rhodes Grass (Chloris gayana Kunth). Funct. Plant Biol. 1982, 9, 113–120. [Google Scholar] [CrossRef]
- Goss, M.J. Water Dynamics in Plant Production; Centre for Agriculture and Bioscience International: Wallingford, UK, 2003. [Google Scholar]
- Jones, R.C. X-ray Diffraction Line Profile Analysis Vs. Phosphorus Sorption by 11 Puerto Rican Soils. Soil Sci. Soc. Am. J. 1981, 45, 818–825. [Google Scholar] [CrossRef]
Disclaimer/Publisher’s Note: The statements, opinions and data contained in all publications are solely those of the individual author(s) and contributor(s) and not of MDPI and/or the editor(s). MDPI and/or the editor(s) disclaim responsibility for any injury to people or property resulting from any ideas, methods, instructions or products referred to in the content. |
© 2023 by the authors. Licensee MDPI, Basel, Switzerland. This article is an open access article distributed under the terms and conditions of the Creative Commons Attribution (CC BY) license (https://creativecommons.org/licenses/by/4.0/).



