Study on the Coupling Relationship between Thermal Comfort and Urban Center Spatial Morphology in Summer
Abstract
1. Introduction
2. Materials and Methods
2.1. Description of Study Area
2.2. Data Source and Index Calculation
2.2.1. Data Source and Processing
2.2.2. Index Calculation
2.3. Thermal Comfort Simulation Based on ENVI-met
2.3.1. Model Settings
2.3.2. Model Verification
2.3.3. Thermal Comfort Level
3. Results
3.1. Thermal Comfort Results
3.2. Correlation Analysis of Thermal Comfort and Morphological Space Index
3.2.1. Analysis of the Correlation between Indices
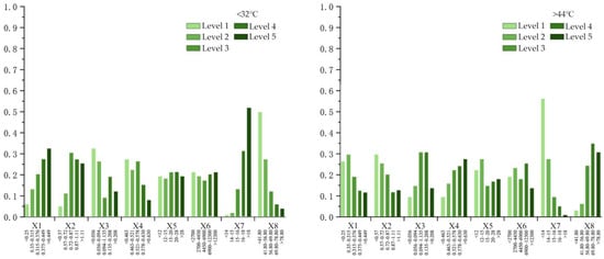
3.2.2. Effect Analysis of the Strong Correlation Index on Thermal Comfort
3.3. Morphological Spatial Features Related to Thermal Comfort
3.4. Time Difference Characteristics of Thermal Comfort
3.5. Spatial Difference Characteristics of Thermal Comfort
4. Discussion
5. Conclusions
Author Contributions
Funding
Institutional Review Board Statement
Informed Consent Statement
Data Availability Statement
Acknowledgments
Conflicts of Interest
References
- Changnon, S.A.; Kunkel, K.E.; Reinke, B.C. Impacts and responses to the 1995 heat wave: A call to action. Bull. Am. Meteorol. Soc. 1996, 77, 1497–1506. [Google Scholar] [CrossRef]
- Akbari, H.; Konopacki, S. Energy effects of heat-island reduction strategies in Toronto, Canada. Energy 2003, 29, 191–210. [Google Scholar] [CrossRef]
- Deng, J.Y.; Zheng, X.; Hien, W.N. Influence of street canyon shape on outdoor temperature and thermal comfort in summer. J. Zhejiang Univ. 2018, 52, 873–885. [Google Scholar]
- Qiao, X.C. China’s population development, changes and current situation, reference to data of the seventh population census. Popul. Dev. 2021, 27, 74–88. [Google Scholar]
- Xue, B.X.; Li, T.Y.; Wang, L.H.; Song, J.R.; Zheng, Z. Research on the optimization strategies of urban green space pattern in response to heat island effects. Urban. Archit. 2018, 33, 87–92. [Google Scholar]
- Huang, X.F.; Qu, C. Research on indoor thermal comfort and age of air in Qilou street shop under mechanical ventilation scheme: A case study of Nanning traditional block in southern China. Sustainability 2021, 13, 4037. [Google Scholar] [CrossRef]
- Ma, X.; Fukuda, H.; Zhou, D.; Wang, M.Y. Study on outdoor thermal comfort of the commercial pedestrian block in hot-summer and cold-winter region of southern China-a case study of the Taizhou old block. Tour. Manag. 2019, 75, 186–205. [Google Scholar] [CrossRef]
- Xu, X.D.; Yin, C.H.; Wang, W.; Xu, N.; Hong, T.Z.; Li, Q. Revealing urban morphology and outdoor comfort through genetic algorithm-driven urban block design in dry and hot regions of China. Sustainability 2019, 11, 3683. [Google Scholar] [CrossRef]
- Srivanit, M.; Jareemit, D. Modeling the influences of layouts of residential townhouses and tree-planting patterns on outdoor thermal comfort in Bangkok suburb. J. Build. Eng. 2020, 30, 101262. [Google Scholar] [CrossRef]
- Hassan, A.A.S.; Ahmed, M.R.M. Urban morphology as an adaptation strategy to improve outdoor thermal comfort in urban residential community of new assiut city, Egypt. Sustain. Cities Soc. 2022, 78, 103648. [Google Scholar]
- Li, K.M.; Zhang, Y.F.; Zhao, L.H. Outdoor thermal comfort and activities in the urban residential community in a humid subtropical area of China. Energy Build. 2016, 133, 498–511. [Google Scholar] [CrossRef]
- Soheila, K.; Rima, F.; Alireza, Z.S. Analyzing outdoor thermal comfort conditions in a university campus in hot-arid climate: A case study in Birjand, Iran. Urban Clim. 2022, 43, 101128. [Google Scholar]
- Nasim, E.; Abel, S.; Francesco, D.L.; Kimmo, S.L. Evaluating outdoor thermal comfort using a mixed-method to improve the environmental quality of a university campus. Energies 2022, 15, 1577. [Google Scholar]
- Taleghani, M. The impact of increasing urban surface albedo on outdoor summer thermal comfort within a university campus. Urban Clim. 2018, 24, 175–184. [Google Scholar] [CrossRef]
- Saud, G.; Osama, M.A.; Foteini, B.; Esmail, A. Assessment of thermal comfort indices in an open air-conditioned stadium in hot and arid environment. J. Build. Eng. 2021, 40, 102378. [Google Scholar]
- Manavvi, S.; Rajasekar, E. Evaluating outdoor thermal comfort in urban open spaces in a humid subtropical climate: Chandigarh, India. Build. Environ. 2022, 209, 108659. [Google Scholar]
- Zölch, T.; Rahman, M.A.; Pfleiderer, E.; Wagner, G.; Pauleit, S. Designing public squares with green infrastructure to optimize human thermal comfort. Build. Environ. 2019, 149, 640–654. [Google Scholar] [CrossRef]
- Feng, X.; Myint, S.W. Exploring the effect of neighboring land cover pattern on land surface temperature of central building objects. Build. Environ. 2016, 95, 346–354. [Google Scholar] [CrossRef]
- Davtalab, J.; Deyhimi, S.P.; Dessi, V.; Hafezi, M.R.; Adib, M. The impact of green space structure on physiological equivalent temperature index in open space. Urban Clim. 2020, 31, 100574. [Google Scholar] [CrossRef]
- Zhou, W.Q.; Wang, J.; Cadenasso, M.L. Effects of the spatial configuration of trees on urban heat mitigation: A comparative study. Remote Sens. Environ. 2017, 195, 1–12. [Google Scholar] [CrossRef]
- Reem, A.E.; Ashraf, E.; Naglaa, M.; Osama, A.E.; Sara, E. The impact of urban geometry on outdoor thermal comfort in a hot-humid climate. Build. Environ. 2022, 225, 109632. [Google Scholar]
- Li, K.; Xia, T.T.; Li, W.Y. Evaluation of subjective feelings of outdoor thermal comfort in residential areas: A case study of Wuhan. Buildings 2021, 11, 389. [Google Scholar] [CrossRef]
- Lobaccaro, G.; Acero, J.A. Comparative analysis of green actions to improve outdoor thermal comfort inside typical urban street canyons. Urban Clim. 2015, 14, 251–267. [Google Scholar] [CrossRef]
- Brinda, D.; Ahmed, C.F. Quantitative outdoor thermal comfort assessment of street: A case in a warm and humid climate of India. Urban Clim. 2020, 34, 100718. [Google Scholar]
- Acero, J.A.; Koh Elliot, J.Y.; Ruefenacht, L.A.; Norford, L.K. Modelling the influence of high-rise urban geometry on outdoor thermal comfort in Singapore. Urban Clim. 2021, 36, 100775. [Google Scholar] [CrossRef]
- Muniz-Gäal, L.P.; Pezzuto, C.C.; Carvalho, M.F.H.; Mota, L.T.M. Urban geometry and the microclimate of street canyons in tropical climate. Build. Environ. 2020, 169, 106547. [Google Scholar] [CrossRef]
- Djekic, J.; Djukic, A.; Vukmirovic, M.; Djekic, P.; Brankovic, M.D. Thermal comfort of pedestrian spaces and the influence of pavement materials on warming up during summer. Energy Build. 2018, 159, 474–485. [Google Scholar] [CrossRef]
- Yang, W.; Lin, Y.L.; Li, C.Q. Effects of landscape design on urban microclimate and thermal comfort in tropical climate. Adv. Meteorol. 2018, 2018, 2809649. [Google Scholar] [CrossRef]
- Sabrina, E.; Stephan, P. Trade-offs between urban green space and densification: Balancing outdoor thermal comfort, mobility, and housing demand. Urban Plan. 2021, 6, 5–19. [Google Scholar]
- Unger, J. Intra-urban relationship between surface geometry and urban heat island: Review and new approach. Clim. Res. 2004, 27, 253–264. [Google Scholar] [CrossRef]
- Osama, S.R.; Hassaan, M.A.; Mohammad, F. Correlating the sky view factor with the pedestrian thermal environment in a hot arid university campus plaza. Sustainability 2021, 13, 468. [Google Scholar]
- Su, Y.; Zhao, Q.F.; Li, Z.M. A preliminary study on the physical environment influenced by the building form of typical blocks in Dalian. Archit. Cult. 2019, 6, 137–138. [Google Scholar]
- Fiala, D.; Havenith, G.; Bröde, P.; Kampmann, B.; Jendritzky, G. UTCI-fiala multi-node model of human heat transfer and temperature regulation. Int. J. Biometeorol. 2012, 56, 429–441. [Google Scholar] [CrossRef]
- Blazejczyk, K.; Epstein, Y.; Jendritzky, G. Comparison of UTCI to selected thermal indices. Int. J. Biometeorol. 2012, 56, 515–535. [Google Scholar] [CrossRef]
- Tang, J.; Shen, S.H.; Hua, R.Q.; Li, M. Assessment on summer comfort level of southern cities inChina by UTCI. J. Meteorol. Sci. 2015, 35, 769–774. [Google Scholar]
- Nie, T.; Lai, D.Y.; Liu, K.X.; Lian, Z.W.; Yuan, Y.P.; Sun, L.L. Discussion on inapplicability of Universal Thermal Climate Index (UTCI) for outdoor thermal comfort in cold region. Urban Clim. 2022, 46, 2022. [Google Scholar] [CrossRef]
- Wu, J.K.; Jin, T.; Wu, Y.C.; Ding, Y.J.; Mu, Y.Q.; Zeng, D. The variation of UTCI with the background of climate change and its implications for tourism in a complicated climate region in western China. Sustainability 2022, 14, 15047. [Google Scholar] [CrossRef]
- Wu, Z.; Kong, F.; Wang, Y.; Sun, R.; Chen, L. The impact of greenspace on thermal comfort in a residential quarter of Beijing, China. Int. J. Environ. Res. Public Health 2016, 13, 1217. [Google Scholar] [CrossRef]
- Sylwester, W.; Agnieszka, K.; Mateusz, D. Winter UTCI variability in Poland in the 21st century. Misc. Geogr. Reg. Stud. Dev. 2020, 24, 128–137. [Google Scholar]
- Sookuk, P.; Stanton, E.T.; Myunghee, J. Application of Universal Thermal Climate Index (UTCI) for microclimatic analysis in urban thermal environments. Landsc. Urban Plan. 2014, 125, 146–155. [Google Scholar]
- Wang, T.; Zhou, D.; Shen, X.; Fan, G.; Zhang, H. Koppen’s climate classification map for China. J. Meteorol. Sci. 2020, 40, 752–760. [Google Scholar]
- Xiong, Y.; Zhang, F. Effect of urban human settlements and influencing factors based on multi-source data: A case study of Changsha city. J. Geogr. Sci. 2021, 31, 819–838. [Google Scholar] [CrossRef]
- Liu, Y.P.; Yang, B.; Chen, C. Temporal spatial analysis of urban heat island in Changsha based on remote sensing data. Remote Sens. Inf. 2011, 6, 73–78. [Google Scholar]
- Larkham, P.J.; Conzen, M.P. Shapers of Urban Form; Explorations in morphological agency; Routledge: New York, NY, USA, 2014. [Google Scholar]
- Yan, H.; Dong, L. Studies on the cooling effect of urban green spaces on the ambient urban environment and impacting factors. Chin. Soc. Landsc. Archit. 2017, 306–313. [Google Scholar]
- Xiang, Y.F.; Zheng, B.H. Research on urban plaza renovation based on thermal comfort simulation evaluation: The case of Changsha Wuyi square. J. Railw. Sci. Eng. 2022, 19, 291–300. [Google Scholar]










| Type | Index | Unit | Connotation | Computing Method | |
|---|---|---|---|---|---|
| Ground plan | Building density (X1) | % | The ratio of the total basement area of a building to the site area. It can reflect the open space ratio and the building density within a certain site area. | Building base area/Total land area | |
| Plot ratio (X2) | / | The ratio of the total constructed area to the site area. It is an important index for measuring the intensity of construction land use, which is directly related to thermal comfort. | Total building area/Total land area | ||
| Green space ratio (X3) | % | The ratio of the total green space to the total land area. It can reflect the amount of green space within a certain land area. | Area of trees and ground cover plants/Total land area | ||
| Impervious area ratio (X4) | % | The total impervious surface area as a percentage of the total area. It measures the amount of paved surfaces that do not allow rainwater to infiltrate within a certain site. It is one of the most significant characteristics of urban areas. | Area of asphalt pavement and concrete/Total land area | ||
Take sampling point 2 as an example:![]() | Building density ![]() | Green space ratio ![]() | Impervious area ratio![]() | ||
| Building fabric | Average building height (X5) | m | The ratio of the total building height to the number of buildings. | Total building height/Number of buildings | |
| Average building volume (X6) | m3 | The ratio of the total building volume to the number of buildings. | Total building volume/Number of buildings | ||
| Shading time (X7) | h | The shading time is the time when the ground is covered by shadow on the actual measurement day (August 12) from sunrise to sunset. It is an important factor reflecting solar radiation, surface heat transfer, and many other factors affecting thermal comfort. | Calculated with SketchUp’s Shadow Analysis plug-in | ||
| Sky view factor (X8) | % | Sky view represents the sky openness from the ground. It also represents the proportion of solar radiation received on the ground. It is one key factor affecting the urban surface heat balance and microscale air circulation. Therefore, it plays an important role in urban microclimate research. | Calculate with SketchUp’s Sky View Analysis plug-in![]() | ||
| Type | Paving Material | ENVI-met Model Material |
|---|---|---|
| Road | Asphalt pavement | 0000 ST (Asphalt road) |
| Water | Water | 0100 WW (Deep water) |
| Paving | Concrete | 0100PG (Concrete pavement gray) |
| Water-permeable brick | 0100PP (Pavement, Concrete, used/dirty) | |
| Natural bare land | 0100LO (Loamy soil) | |
| Green space (Crown coverage area) | Ground cover plants | 0100XX (Grass 25 cm aver. dense) |
| Trees | 0000GG (Grass 50 cm aver. dense) | |
| <3.14 m3 | 0000H2 (Hedge dense, 2 m) | |
| 3.14–12.56 m3 | 0100H4 (Hedge dense, 4 m) | |
| 12.56–78.5 m3 | 0000T1 (Tree 10 m very dense, leafless base) | |
| 78.5–176.63 m3 | 0000SK (Tree 15 m very dense, distinct crown layer) | |
| >176.63 m3 | 0000SC (Tree 20 m very dense, free stem crown layer) |
| Thermal Sensation | Universal Thermal Climate Index | Thermal Sensation | Universal Thermal Climate Index |
|---|---|---|---|
| Freezing | −27–13 | Warm | 26–32 |
| Cold | −13–0 | Hot | 32–36.269 |
| Cool | 0–9 | Scorching | 36.269–44 |
| Comfortable | 9–26 | Extreme heat | >44 |
Disclaimer/Publisher’s Note: The statements, opinions and data contained in all publications are solely those of the individual author(s) and contributor(s) and not of MDPI and/or the editor(s). MDPI and/or the editor(s) disclaim responsibility for any injury to people or property resulting from any ideas, methods, instructions or products referred to in the content. |
© 2023 by the authors. Licensee MDPI, Basel, Switzerland. This article is an open access article distributed under the terms and conditions of the Creative Commons Attribution (CC BY) license (https://creativecommons.org/licenses/by/4.0/).
Share and Cite
Yi, P.; Liu, L.; Huang, Y.; Zhang, M.; Liu, H.; Bedra, K.B. Study on the Coupling Relationship between Thermal Comfort and Urban Center Spatial Morphology in Summer. Sustainability 2023, 15, 5084. https://doi.org/10.3390/su15065084
Yi P, Liu L, Huang Y, Zhang M, Liu H, Bedra KB. Study on the Coupling Relationship between Thermal Comfort and Urban Center Spatial Morphology in Summer. Sustainability. 2023; 15(6):5084. https://doi.org/10.3390/su15065084
Chicago/Turabian StyleYi, Pei, Luyun Liu, Yu Huang, Minhuan Zhang, Huaiwan Liu, and Komi Bernard Bedra. 2023. "Study on the Coupling Relationship between Thermal Comfort and Urban Center Spatial Morphology in Summer" Sustainability 15, no. 6: 5084. https://doi.org/10.3390/su15065084
APA StyleYi, P., Liu, L., Huang, Y., Zhang, M., Liu, H., & Bedra, K. B. (2023). Study on the Coupling Relationship between Thermal Comfort and Urban Center Spatial Morphology in Summer. Sustainability, 15(6), 5084. https://doi.org/10.3390/su15065084







