Variation of Physico-Chemical Properties among Different Soil Orders under Different Land Use Systems of the Majha Region in North-Western India
Abstract
1. Introduction
2. Materials and Methods
2.1. Geographical Area and Location
2.2. Site Selection and Sample Collection
2.3. Analysis of Soil Samples
2.4. Statistical Analysis
3. Results and Discussion
3.1. Variation of Soil pH under Soil Orders under Different Land Use Systems
3.2. Variation of Soil Electrical Conductivity (EC) under Soil Orders under Different Land Use Systems
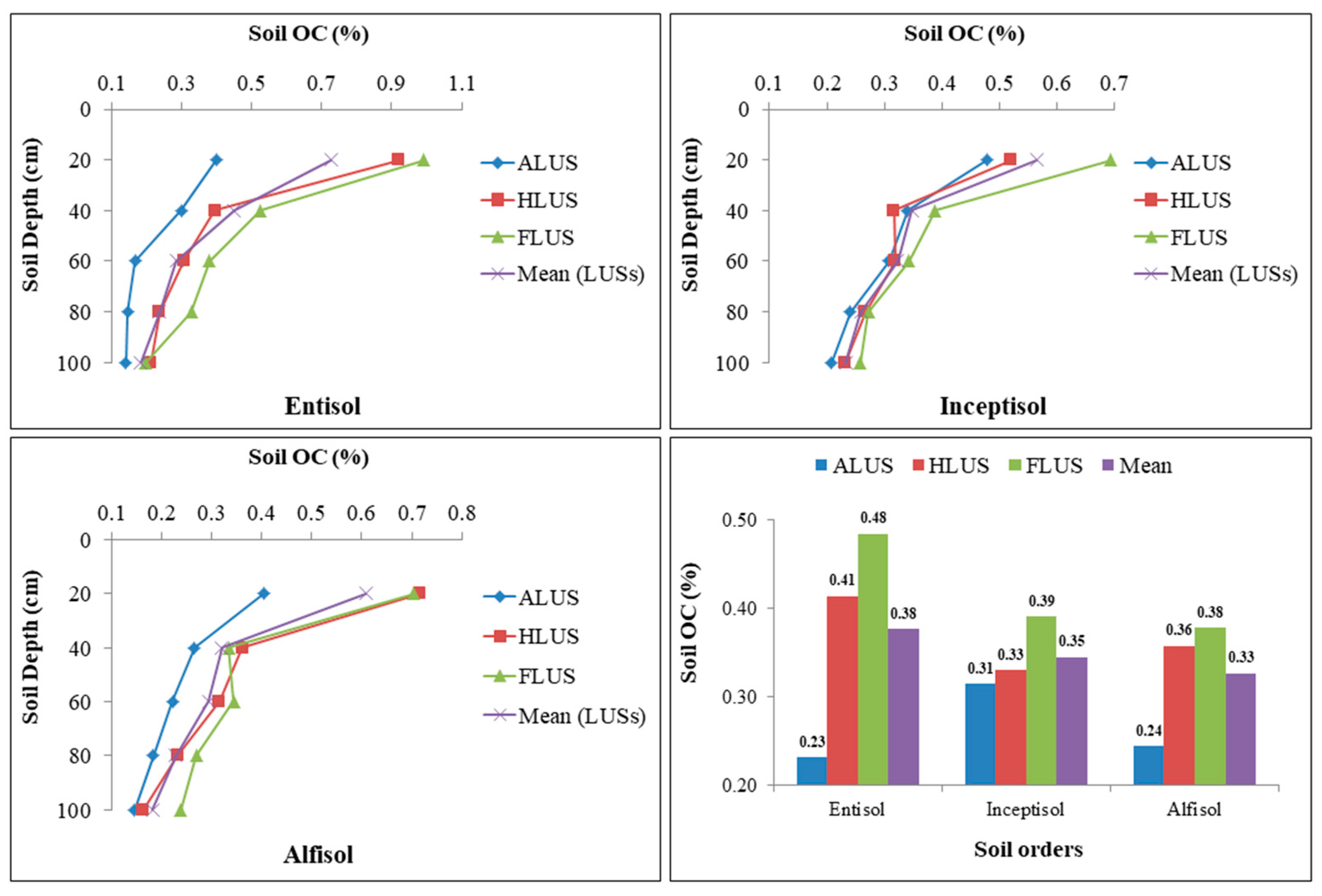
3.3. Variation of Soil Organic Carbon (SOC) under Soil Orders under Different Land Use Systems
3.4. Variation of Soil Calcium Carbonate (CaCO3) under Soil Orders under Different Land Use Systems
3.5. Variation of Available Phosphorus (P) under Soil Orders under Different Land Use Systems
3.6. Variation of Available Potassium (K) under Soil Orders under Different Land Use Systems
3.7. The Correlation Studies between Various Physico-Chemical Parameters
3.8. Principal Component Analysis for the Determination of Most Variable Factor among Several Soil Parameters under Different Soil Orders and Land Use Systems of Majha Region
4. Conclusions
Author Contributions
Funding
Institutional Review Board Statement
Informed Consent Statement
Data Availability Statement
Conflicts of Interest
References
- Seto, K.C.; Woodcock, C.E.; Song, C.; Huang, X.; Lu, J.; Kaufmann, R.K. Monitoring Land-Use Change in the Pearl River Delta using Landsat TM. Int. J. Remote Sens. 2002, 23, 1985–2004. [Google Scholar] [CrossRef]
- Saikh, H.; Varadachari, C.; Ghosh, K. Changes in Carbon, N and P Levels due to Deforestation and Cultivation: A Case Study in Simplipal National Park of India. Plant Soil 1998, 198, 137–145. [Google Scholar] [CrossRef]
- He, Z.L.; Alva, A.K.; Calvert, D.V.; Li, Y.C.; Banks, D.J. Effects of N Fertilization of Grape Fruit Trees on Soil Acidification and Nutrient Availability in a Riviera Fine Sand. Plant Soil 1999, 206, 11–19. [Google Scholar] [CrossRef]
- Turner, B.L.; Skole, D.; Sanderson, S.; Fischer, G.; Fresco, L.; Leemans, R. Land-Use and Land-Cover Change: Science/Research Plan; Arizona State University: Tempe, AZ, USA, 1995. [Google Scholar]
- Heluf, G.; Wakene, N. Impact of Land Use and Management Practice on Chemical Properties of Some Soils of Bako Area, Western Ethiopia. Ethiop. J. Nat. Resour. 2006, 2, 177–197. [Google Scholar]
- Ally-Said, M.; Canisius, K.K.; Douglas, N.A.; Paul, O.A.; Frank, B.G.; Gabriel, O.D.; Philip, O.O.; Ayub, V.O.O. Effects of Land Use Change on Land Degradation Reflected by Soil Properties along Mara River, Kenya and Tanzania. J. Soil Sci. 2015, 5, 20–38. [Google Scholar]
- Mandal, A.; Toor, A.S.; Dhaliwal, S.S. Effect of Land-Uses on Physico-Chemical Properties and Nutrient Status of Surface (0–15 cm) and Sub-Surface (15–30 cm) Layers in Soils of South-Western Punjab, India. Int. J. Curr. Microbiol. Appl. Sci. 2018, 7, 2659–2671. [Google Scholar] [CrossRef]
- Franchini, J.C.; Crispino, C.C.; Souza, R.A.; Torres, E.; Hungria, M. Microbiological parameters as indicators of soil quality under various soil management and crop rotation systems in southern Brazil. Soil Tillage Res. 2007, 92, 18–29. [Google Scholar] [CrossRef]
- Lal, R.; Kimble, J.M. Conservation Tillage for Carbon Sequestration. Nutr. Cycl. Agroecosystems 1997, 49, 243–253. [Google Scholar] [CrossRef]
- Yang, Z.H.; Singh, B.R.; Sitaula, B.K. Soil Organic Carbon Fractions under Different Land Uses in Mardi Watershed of Nepal. Commun. Soil Sci. Plant Anal. 2004, 5, 615–629. [Google Scholar] [CrossRef]
- DeGryze, S.; Six, J.; Paustian, K.; Morris, S.J.; Paul, E.A.; Merckx, R. Soil Organic Carbon Pool Changes Following Land Use Conversions. Glob. Change Biol. 2004, 10, 1120–1132. [Google Scholar] [CrossRef]
- Chen, Y.; Xu, X.; Ruan, H. Soil Labile Carbon in Secondary Quercusvariabilis Forest and Pinustaeda Plantation in Hilly Area of South Jiangsu, China. Chin. J. Ecol. 2007, 26, 2028–2034. [Google Scholar]
- Kaur, R.; Bhat, Z.A. Effect of Different Agricultural Land-Use System on Physico-Chemical Properties of Soil in the Sub-Mountainous District of Punjab. J. Pharm Phytochem. 2017, 6, 226–233. [Google Scholar]
- Datta, A.; Basak, N.; Chaudhari, S.K.; Sharma, D.K. Soil Properties and Organic Carbon Distribution under Different Land Uses in Reclaimed Sodic Soils of North-West India. Geoderma Reg. 2015, 4, 134–146. [Google Scholar] [CrossRef]
- Sharma, B.D.; Choudhary, O.P.; Chanay, J.K.; Singh, P.K. Forms and Uptake of Manganese in Relation to Soil Taxonomic Orders in Alluvial Soils of Punjab, India. Commun. Soil Sci. Plant Anal. 2016, 47, 313–327. [Google Scholar] [CrossRef]
- Dhaliwal, S.S.; Sharma, V.; Kaur, J.; Shukla, A.K.; Hossain, A.; Abdel-Hafez, S.H.; Gaber, A.; Sayed, S.; Singh, V.K. The Pedospheric Variation of DTPA-Extractable Zn, Fe, Mn, Cu and other Physicochemical Characteristics in Major Soil Orders in Existing Land Use Systems of Punjab, India. Sustainability 2021, 14, 29. [Google Scholar] [CrossRef]
- Soil Survey Staff. Keys to Soil Taxonomy, 12th ed.; USDA-Natural Resource Conservation Service, Government Printing Office: Washington, DC, USA, 2014.
- Soil Survey Staff. Soil Taxonomy: A Basic System of Soil Classification for Making and Interpreting Soil Surveys, 2nd ed.; U.S. Department of Agriculture Handbook No. 436. Natural Resource Conservation Service, Government Printing Office: Washington, DC, USA, 1999.
- Soil Survey Staff. Soil Taxonomy: A Basic System of Soil Classification for Making and Interpreting Soil Surveys; U.S. Department of Agriculture Handbook No. 436. Natural Resource Conservation Service, Government Printing Office: Washington, DC, USA, 1975.
- Sharma, B.D.; Mukhopadhyay, S.S.; Sidhu, P.S. Micro Topographic Controls on Soil Formation in the Punjab Region, India. Geoderma 1998, 81, 357–368. [Google Scholar] [CrossRef]
- Jackson, M.L. Soil Chemical Analysis; Prentice Hall, Inc.: Hoboken, NJ, USA, 1967. [Google Scholar]
- Walkley, A.; Black, C.A. An Examination of the Digestion Method for Determining Soil Organic Matter and a Proposed Modification of the Chromic Acid Titration Method. Soil Sci. 1934, 37, 27–38. [Google Scholar] [CrossRef]
- Puri, A.N. A New Method of Estimating Total Carbonates in Soils; Pusa Bull 206, 7; Government of India, Central Publication Branch: Delhi, India, 1930.
- Olsen, S.R.; Cole, C.V.; Watanable, F.S.; Dean, L.A. Estimation of Available Phosphorus by Extraction with Sodium Bicarbonate; No. 939.; U.S. Department of Agriculture: Washington, DC, USA, 1954.
- Pansu, M.; Gautheyrou, J. Handbook of Soil Analysis: Mineralogical, Organic and Inorganic Methods; Springer Science & Business Media: Berlin/Heidelberg, Germany, 2006; ISBN 3540312102. [Google Scholar]
- Dhaliwal, S.S.; Sharma, B.D.; Bijay, S. Micronutrient Status of Different Land Use Systems in Relation to Soil Quality and Sustainability under Different Watersheds in Submontaneous Tract of Punjab. Ann. Arid Zone 2009, 48, 103–112. [Google Scholar]
- Macedo, R.S.; Teixeira, W.G.; Correia, M.M.; Martins, G.C.; Vidal-Torrado, P. Pedogenetic Processes in Anthrosols with Pretic Horizon (Amazonian Dark Earth) in Central Amazon, Brazil. PLoS ONE 2017, 12, e0178038. [Google Scholar] [CrossRef]
- Sharma, B.D.; Brar, J.S.; Chanay, J.K.; Sharma, P.; Singh, P.K. Distribution of Forms of Copper and their Association with Soil Properties and Uptake in Major Soil Orders in Semi-Arid Soils of Punjab, India. Commun. Soil Sci. Plant Anal. 2015, 46, 511–527. [Google Scholar] [CrossRef]
- Mandal, D.; Dhyani, B.; Kumar, A.; Singh, C.; Bihari, B.; Muruganandam, M.; Madhu, M. Impact of Different Land Use Systems on Soil Quality in Northwest Himalayan Region. Indian J. Soil Conserv. 2013, 41, 200–205. [Google Scholar]
- Neha, G.; Bhople, B.S.; Sharma, S. Seasonal Variation of Rhizospheric Soil Properties under Different Land Use Systems at Lower Shivalik Foothills of Punjab, India. Agrofor. Syst. 2020, 94, 1959–1976. [Google Scholar] [CrossRef]
- Kadry, L.T.; Arar, A. Regional Applied Research on Sandy Soil; FAO Bull 25: Rome, Italy, 1975; pp. 147–150. [Google Scholar]
- Sharma, B.D.; Arora, H.; Kumar, R.; Nayyar, V.K. Relationship between Soil Characteristics and Total and DTPA-Extractable Micronutrients in Inceptisols of Punjab. Commun. Soil Sci. Plant Anal. 2004, 35, 799–818. [Google Scholar] [CrossRef]
- Gupta, N.; Trivadi, S.K.; Bansal, K.N.; Kaul, R.K. Vertical Distribution of Micronutrient Cations in Some Soil Series of Northern Madhya Pradesh. J. Indian Soc. Soil Sci. 2003, 51, 517–522. [Google Scholar]
- Sharma, B.D.; Chahal, D.S.; Singh, P.K.; Raj-Kumar. Forms of Iron and Their Association with Soil Properties in Four Soil Taxonomic Orders of Arid and Semi-arid Soils of Punjab, India. Commun. Soil Sci. Plant Anal. 2008, 39, 2550–2567. [Google Scholar] [CrossRef]
- Sidhu, P.S.; Sharma, P.K.; Bajwa, M.S. Characteristics, Distribution and Genesis of Salt-Affected Soils in Punjab. J. Indian Soc. Remote Sens. 1991, 19, 269–276. [Google Scholar] [CrossRef]
- Kumar, A.; Brar, N.S.; Pal, S.; Singh, P. Available Soil Macro and Micro-Nutrients under Rice-Wheat Cropping System in District Tarn Taran of Punjab, India. Ecol. Environ. Conserv. 2017, 23, 201–206. [Google Scholar]
- Chandel, S.; Hadda, M.S.; Mahal, A.K. Soil Quality Assessment through Minimum Data Set under Different Land Uses of Submontane Punjab. Commun. Soil Sci. Plant Anal. 2018, 49, 658–674. [Google Scholar] [CrossRef]
- Costa, J.A.; Kern, D.C.; Costa, M.L.; Rodrigues, T.E.; Kampf, N.; Lehmann, J.; Frazâo, F.J. As Terras Pretas de Índio da Amazônia: Sua Caracterização E Uso Deste Conhecimento Na Criação De Novas Áreas; Teixeira, W.G., Kern, D.C., Madari, B.E., Lima, H.N., Woods, W., Eds.; Embrapa Amazônia Ocidental: Manaus, Brazil, 2009; pp. 162–171. [Google Scholar]
- Bertsch, P.M.; Thomas, G.W. Potassium Status of Temperate Region Soils Potassium in Agriculture; Munson, R.D., Ed.; American Society of Agronomy: Madison, WI, USA, 1985; pp. 131–162. [Google Scholar]
- Cancela, R.C.; De Abreu, C.A.; Paz-González, A. DTPA and Mehlich-3 Micronutrient Extractability in Natural Soils. Commun. Soil Sci. Plant Anal. 2002, 33, 2879–2893. [Google Scholar] [CrossRef]
- Pang, Z.; Tayyab, M.; Kong, C.; Liu, Q.; Liu, Y.; Hu, C.; Huang, J.; Weng, P.; Islam, W.; Lin, W.; et al. Continuous Sugarcane Planting Negatively Impacts Soil Microbial Community Structure, Soil Fertility and Sugarcane Agronomic Parameters. Microorganisms 2021, 9, 2008. [Google Scholar] [CrossRef]
- Albuquerque, A.R. Caracterização Antracolo’Gica, Físico-Química, Isoto’Pica E Molecular da Terra Preta Do Sítioarqueolo’gico Porto, Santar’Em, PA. Ph.D. Dissertation, Universidade De São Paulo, Piracicaba, Brazil, 2017. [Google Scholar]
- Kaiser, H.F. The Application of Electronic Computers to Factor Analysis. Educ. Psychol. Meas. 1960, 29, 141–151. [Google Scholar] [CrossRef]
- Zhang, Z.; Huang, X.; Zhou, Y. Factors Influencing the Evolution of Human-Driven Rocky Desertification in Karst Areas. Land Degrad. Dev. 2021, 32, 817–829. [Google Scholar] [CrossRef]
- Zhang, Z.; Wu, X.; Zhang, J.; Huang, X. Distribution and Migration Characteristics of Microplastics in Farmland Soils, Surface Water and Sediments in Caohai Lake, Southwestern Plateau Of China. J. Clean. Prod. 2022, 366, 132912. [Google Scholar] [CrossRef]









| pH | EC | OC | CaCO3 | P | K | |
|---|---|---|---|---|---|---|
| pH | 1.00 | |||||
| EC | 0.15 | 1.00 | ||||
| OC | −0.31 * | 0.38 * | 1.00 | |||
| CaCO3 | 0.52 ** | 0.01 | −0.35 * | 1.00 | ||
| P | −0.03 | 0.47 ** | 0.66 ** | −0.38 ** | 1.00 | |
| K | −0.46 ** | 0.26 | 0.46 ** | −0.35 * | 0.47 ** | 1.00 |
| Soil Parameters | PC 1 | PC 2 | ||
|---|---|---|---|---|
| Factor loading 1 | Contribution 1 | Factor Loading 2 | Contribution 2 | |
| pH | 0.55 | 30.44 | −0.21 | 4.41 |
| EC | 0.32 | 10.31 | 0.59 | 35.78 |
| OC | −0.17 | 2.94 | 0.68 | 46.92 |
| CaCO3 | 0.50 | 25.42 | 0.26 | 7.14 |
| P | 0.47 | 22.37 | −0.05 | 0.29 |
| K | −0.29 | 8.48 | 0.23 | 5.43 |
| F1 | F2 | |||
| Eigenvalue | 2.83 | 1.35 | ||
| Variance (%) | 47.19 | 22.63 | ||
| Cumulative variance (%) | 47.19 | 69.83 | ||
Disclaimer/Publisher’s Note: The statements, opinions and data contained in all publications are solely those of the individual author(s) and contributor(s) and not of MDPI and/or the editor(s). MDPI and/or the editor(s) disclaim responsibility for any injury to people or property resulting from any ideas, methods, instructions or products referred to in the content. |
© 2023 by the authors. Licensee MDPI, Basel, Switzerland. This article is an open access article distributed under the terms and conditions of the Creative Commons Attribution (CC BY) license (https://creativecommons.org/licenses/by/4.0/).
Share and Cite
Gowthamchand; Dhaliwal, S.S.; Sharma, V.; Verma, G.; Singh, J.; Kaur, M. Variation of Physico-Chemical Properties among Different Soil Orders under Different Land Use Systems of the Majha Region in North-Western India. Sustainability 2023, 15, 4779. https://doi.org/10.3390/su15064779
Gowthamchand, Dhaliwal SS, Sharma V, Verma G, Singh J, Kaur M. Variation of Physico-Chemical Properties among Different Soil Orders under Different Land Use Systems of the Majha Region in North-Western India. Sustainability. 2023; 15(6):4779. https://doi.org/10.3390/su15064779
Chicago/Turabian StyleGowthamchand, Salwinder Singh Dhaliwal, Vivek Sharma, Gayatri Verma, Jagdish Singh, and Manpreet Kaur. 2023. "Variation of Physico-Chemical Properties among Different Soil Orders under Different Land Use Systems of the Majha Region in North-Western India" Sustainability 15, no. 6: 4779. https://doi.org/10.3390/su15064779
APA StyleGowthamchand, Dhaliwal, S. S., Sharma, V., Verma, G., Singh, J., & Kaur, M. (2023). Variation of Physico-Chemical Properties among Different Soil Orders under Different Land Use Systems of the Majha Region in North-Western India. Sustainability, 15(6), 4779. https://doi.org/10.3390/su15064779

