Abstract
In this study, renewable products with potentially interesting properties and applications were synthesized by functionalizing linseed oil via epoxidation and epoxy ring-opening with carboxylic acids and anhydrides. LDHs (Layered Double Hydroxides), a well-known class of materials used for a wide range of reactions, are the catalysts used in this study, with the overall advantages of facile separation and reusability. In our study, different types of carboxylic acids and anhydrides were employed as reactants with the advantage of leading to sustainable products that can replace petrochemical compounds. Following the optimization of the reaction conditions, including the basicity of the catalyst, at 170 °C a quasi-total conversion of the epoxy groups was achieved for all the ring-opening reagents.
1. Introduction
Vegetable oils are a plentiful renewable raw material and are being investigated as a replacement for petroleum-based compounds used in industry in order to solve the pollution problem while also respecting the principles of green chemistry [1,2]. Triglycerides, which are glycerol esters with saturated or unsaturated fatty acids, are the main component of these raw materials. Vegetable oils’ fatty acid composition impacts their properties and, as a result, their use as raw materials [3]. The presence of double bonds in the alkyl chain of unsaturated fatty acids allows for the creation of a wide range of molecules via functionalization reactions [4].
A significant amount of the compounds generated through functionalization reactions of vegetable oil such as metathesis, hydroformylation, or epoxidation can be employed as intermediates in the materials industry [5]. The epoxidation reaction is particularly interesting because it can be carried out on an industrial scale [6] and leads to epoxidized vegetable oil (EVO) that can be further functionalized to obtain a wide range of products using epoxy ring-opening reactions [7,8,9]. The double bonds also negatively influence the physical properties of the vegetable oil, so converting the unsaturation to epoxy groups modifies the oxidative and thermal stability of the vegetable oil, making it suitable for being used in demanding conditions, such as high-temperature lubricant applications [10].
Through epoxy ring-opening reactions, EVO can be converted to monomers such as acrylic resin precursors [9] and polyols that can then be further used to obtain polyurethanes [11] or vegetable oil-based waterborne polyurethane dispersions [12]. The polymers obtained from vegetable oil can be further used for obtaining natural composites such as bio-based materials reinforced with natural fiber mats (flax, hemp) and plant oil-based acrylic monomers as matrices [13] or a porous collagen-polyurethane composite with potential biomedical applications [14]. When the ring-opening reaction is performed with monocarboxylic acid anhydrides, the obtained products can be used as biolubricants [6]. However, using dicarboxylic acid anhydrides leads to curing, with the obtaining of resins that can be used in green composites [15], having mechanical properties comparable to those of resins obtained from traditional petrochemical sources [16].
As far as we know, most of the epoxy ring-opening reactions are performed using homogenous catalysts (boron trifluoride diethyl etherate [6], tertiary amines [17], or quaternary ammonium salts [18]). The use of these homogeneous catalysts leads to some environmental issues, corrosion, difficult separation from the chemical compound’s mixture, etc. As an alternative to afterwards having to deal with these drawbacks, the use of heterogeneous catalysts presents several advantages: separation from the reaction mixture by simple filtration, stability at high temperatures, reuse, etc. In the last decades, several heterogeneous catalysts were considered for epoxy ring-opening reactions, such as graphene oxide/ZnO [19], solid acid catalysts (Nafion, Amberlyte, zeolite H-Y, montmorillonite) [20], and layered double hydroxides (LDH) [21]. These special catalytic materials have a ditopic character (displayed as both acid and base active sites) that were well characterized and used in the last decades [22]. They have the general formula [M2+1-xM3+x(OH)2]x+[An−x/n]·mH2O, where M2+ and M3+ are divalent and trivalent cations in the brucite-type layers. A is an interlayer anion with an n charge which balances the exceeding charge that occurred by the isomorphic substitution of M2+ by M3+, x is the fraction of the trivalent cation, and m is the crystallization of water [23]. This formula does not only refer to the presence of a single bivalent and another trivalent cation but allows the inclusion of a large number of cations, thus generating LDH of the ternary or quaternary type. On the same note, the type of incorporated anion is not limited to hydroxyl or carbonate groups that have small dimensions, but even phthalocyanines or other bulky anions can be considered. In fact, all the cations that fit in the octahedral positions and that have a radius close to that of Mg2+ (0.72 Å) [23] can generate such layered compounds. Traditionally, these materials can be synthesized by: (i) co-precipitation (at high and low supersaturation), (ii) urea hydrolysis, (iii) hydrothermal synthesis, (iv) rehydration using structural memory effect, (v) mechano-chemical, (vi) ion-exchange, (vii) exfoliation in aqueous solution, etc. [23]. Most of the common methods imply the use of inorganic alkalis as hydrolysis agents (i.e., NaOH, KOH, Na2CO3, K2CO3, NH4OH, etc.), which presents some disadvantages, namely the generation of large volumes of wastewater during washing step, the use of a large number of specific vessels, high energy consumption as well as contamination with alkaline cations, etc. Therefore, their replacement with organic bases seems to be a viable option for the synthesis of these materials despite their slightly high price. These materials were used as catalytic materials in various reactions highlighted in an extensive review [24], such as double bond isomerization [25], epoxidation [26], Michael addition [27], Knoevenagel condensation [28], reduction of nitro compounds [29] or aldol condensation [30]. To the best of our knowledge, the LDH-type materials have not been considered in the ring-opening of epoxidized vegetable oil. Therefore, the aim of this research was to synthesize materials and precursors from epoxidized linseed oil in the presence of an LDH catalyst and various ring-opening reagents (carboxylic acids and anhydrides). Additionally, highlighting the benefits presented by the use of heterogeneous catalysts for functionalizing vegetable oil was considered.
2. Materials and Methods
2.1. Materials
For the epoxidation reaction, linseed oil (LO) obtained by cold-pressing process was acquired from PTG Deutschland, Flurstedt, Germany, glacial acetic acid, sulfuric acid (95–97% vol.), and technical grade toluene were purchased from Sigma Aldrich (Saint Louis, MO, USA). Hydrogen peroxide (30% vol.) was purchased from Atochim SRL (Bucharest, Romania). For the ring-opening reactions, the necessary reagents (carboxylic acids and anhydrides) were purchased from Sigma Aldrich and used as such, except for phthalic anhydride, which was purified by dehydration.
2.2. Catalyst Preparation and Characterization
The Mg/Al hydrotalcite with a molar ratio of 3 was synthesized by a traditional co-precipitation method at pH 10, under low supersaturation conditions. An aqueous solution of the corresponding nitrates at a feed rate of 60 cm3·min−1 at room temperature was mixed at 600 rpm with another base solution of Na2CO3/NaOH (at a molar ratio of 1/3 and a solution concentration of 1 M in Na2CO3). The obtained gel was aged for 18 h at 75 °C, cooled to room temperature, filtered, and washed with bi-distilled water until a neutral pH was reached. It was then dried for 24 h at 90 °C, with the obtaining of the MgAl LDH. In order to increase the base character of hydrotalcite, a trivalent cation was considered, e.g., La, that presents an electronegativity in a Pauling scale of 1.1, a lower value than that of Al (1.61). Therefore, a similar method was applied to synthesize a La-modified MgAl hydrotalcite at a Al3+/La3+ of 1 molar ratio, MgAlLa LDH [31]. The characterization of both materials was performed according to previous work [32], DRIFT, powder XRD, and determination of the base sites using adsorption of organic acids with different pKa values and N2 adsorption-desorption isotherms.
Powder X-ray diffraction patterns were recorded with a Shimadzu XRD 7000 diffractometer that uses CuKα radiation (λ = 1.5418 Å, 40 kV, 40 mA) with a scanning speed of 0.10° min−1 in the 5–75° 2theta range. DRIFTS spectra, obtained from accumulation of 400 scans in the domain 400–4000 cm−1 with a scanning speed of 128 scans/min, triangle apodization, and a resolution of 4 cm−1, were recorded with JASCO FT/IR-4700 spectrometer. The textural analysis of the samples was performed through N2 physisorption at −196 °C using a Micromeritics ASAP 2020 analyzer where the samples were degassed under vacuum at 120 °C for 12 h. The base character of the catalysts was determined using a method based on the irreversible adsorption of acrylic acid (pKa = 4.2).
2.3. Characterization of the Products
2.3.1. Nuclear Magnetic Resonance (NMR) Spectrometry
1H NMR was used for studying the structures of linseed oil (LO), epoxidized linseed oil (ELO), and the obtained compounds. The samples were dissolved in 0.5 mL CDCl3, and the spectra were recorded using a Bruker Advance III 600 MHz spectrometer, with a resonance frequency of 600.12 MHz for the 1H nucleus, equipped with an indirect detection for nuclei probe head (BBI) and field gradients on Z axis. The chemical shifts are measured in ppm, the signals were calibrated using the CDCl3 signal (7.26 ppm) and tetramethyl silane (TMS) as internal standard.
2.3.2. Fourier-Transform Infrared Spectroscopy (FTIR)
FTIR spectroscopy was performed with a Bruker VERTEX 70 instrument, equipped with a Harrick MVP2 diamond attenuated total reflectance (ATR) device. The FTIR spectra were recorded using 32 scans in 600–4000 cm−1 wave number region.
2.4. Linseed Oil Epoxidation
The epoxidation of the vegetable oil was carried out using a well-established method [33], which uses a Prilezhaev-type reaction, with the in situ generation of the peracid [34]. LO (10 mL), acetic acid, and 50% (vol.) sulfuric acid are mixed in toluene solvent (15 mL). The corresponding volume of H2O2 is then added dropwise, under stirring at room temperature. After all the H2O2 is added, the temperature is raised to 60 °C, and the reaction mixture is kept under constant stirring for 24 h. The molar ratio of double bonds to acetic acid to H2O2 is 1:2:10, with the average unsaturation of the LO being 6 double bonds per triglyceride molecule, determined using a 1H NMR method [35] (Figure 1). After the completion of the reaction, the organic and aqueous phases were separated. In order to remove traces of acetic acid and hydrogen peroxide, the organic phase was washed with distilled water and saturated sodium bicarbonate solution until a neutral pH was reached. The organic solvent was then evaporated under vacuum, obtaining a semisolid white product (95% quantitative yield). The epoxidation was considered quasi-total, based on comparing the 1H NMR spectra of the LO and ELO [36].
Figure 1.
The 1H NMR signals used for the determination of LO unsaturation.
2.5. Epoxy Ring-Opening Reaction
In a typical experiment, 1 mmol (0.978 g) ELO, the ring-opening reagent, and the MgAl LDH catalyst (10% wt) were mixed in 15 mL solvent (toluene or xylene). The quantities of the ring-opening reagent were changed in accordance with the employment of various molar ratios between the epoxy groups and the ring-opening reagent. The reaction mixture was heated to temperatures from 100 to 140 °C and kept under magnetic stirring for 24 h. After the end of the reaction, the mixture was filtered for the removal of the solid catalyst, followed by the washing of the organic liquid phase with distilled water to eliminate the unreacted ring-opening reagent. Further, the solvent is evaporated under a vacuum, obtaining a liquid viscous product.
3. Results
3.1. Catalyst Characterization
The hydrotalcite sample (MgAl) showed diffraction lines corresponding to the typical structure of layered materials without the detection of other contaminating phases (Figure 2, black line). The sample modified with lanthanum displayed diffraction lines of very low intensity corresponding to the phases of La2O2CO3 (JCPDS card 23-0320) and La2(CO3)2(OH)2 (JCPDS card 70-1774). The very strong electronegative character of La (1.1 in the Pauling scale) favors the formation of carbonate-type species as soon as the hydrotalcite synthesis process starts. At the same time, the large ionic radius of La3+ (1.032 Å) prevents intercalation of the large lanthanides species in hydrotalcite galleries. The insertion of La into the octahedral positions of LDH was not performed considering the fact that the network a-parameter does not undergo any significant changes (3.060 Å for MgAl and 3.062 Å for MgAlLa). Instead, the decrease of the network c-parameter from 23.357 Å (MgAl) to 22.226 Å (MgAlLa) was not due to the presence of lanthanum, but rather to the smaller amount of aluminum that was involved in the construction of the layered structure. Mostly, the quantity of lanthanum was placed on the surface of the layered material in the carbonate oxide/hydroxide forms, but at the same time the presence of contaminants was not excluded even in the galleries, a fact supported by the I006/I003 ratios that increase from 0.43 Å to 1.23 Å. At the same time, the presence of La led to a decrease in the crystallinity from 84 Å to 38 Å.
Figure 2.
The XRD pattern of the solids (* La2(CO3)2(OH)2; # La2O2CO3).
The DRIFT spectra (Figure S1) displayed for both samples a large band between 3700 and 3400 cm−1 that corresponds to the OH group vibration, ν(O–H), a band at 3000 cm−1 to hydrogen bonding between water and carbonate in the interlayer space, a band between 1640–1660 cm−1 to H2O bending vibration of interlayer water. The bands at 1400 and 1200–700 cm−1 are assigned to CO32− group vibration bands in the hydrotalcite. The cations-O bonds are attributed below 600 cm−1. The presence of the band at 3647 cm−1 is due to a separate phase of Mg(OH)2 which is not visible in XRD. Its presence is related to the fact that a quantity of Mg that was not inserted in the layered structure (composition corresponding to the La non-inserted in the octahedral structure of LDH) is in the form of brucite as a contaminant alongside the carbonate oxide/hydroxide forms determined by XRD.
As expected, the presence of La leads to a decrease in the specific surface area from 122 to 71 m2∙g−1, with the adsorption-desorption isotherms for both samples classified as type IV according to the IUPAC classification (Figure S2). However, the low electronegative character of La determined an increase in basicity from 6.73 to 8.62 mmol acrylic acid∙g−1.
3.2. Epoxide Opening with Unsaturated Carboxylic Acids
3.2.1. Methacrylic Acid
Acrylated and methacrylated vegetable oils obtained by the ring-opening of epoxidized vegetable oils are being used as photopolymerizable monomers, forming highly crosslinked polymer networks [9]. Furthermore, when the epoxy groups are partially opened with methacrylic acid, the remaining groups can be functionalized with another reagent, such as hydrophilic dimethacrylated poly(ethylene glycol), leading to materials such as oil-based hydrophilic monomers [37]. The goal of the present study was to test the activity of the catalysts with ditopic characters (MgAl LDH/MgAlLa LDH) for the epoxy ring-opening reaction and the total and/or partially opening of the epoxy rings with methacrylic acid (MA). Using a slight excess of MA (1:1.2 epoxy groups to MA molar ratio) led to fully opening the epoxy rings, which was confirmed by 1H NMR. The 1H NMR spectra for ELO show the following signals: 0.90 (t, terminal -CH3 from all fatty acids except linolenic acid), 1.03–0.95 (m, terminal -CH3 from linolenic acid), 1.28–1.20 (m, -CH2- from all alkyl chains), 1.57–1.44 (m, -CH2-CH2-COO), 1.76–1.67 (m, -CH2- between epoxy rings), 2.26 (t, -CH2-COO acyl group), 2.91 (m, CH marginal protons from the epoxy ring), 3.10 (m, CH internal protons of the epoxy ring), 4.10–4.23 (m, -CH2-O-CO-, glycerol protons in α positions), 5.20 (m, -CH-O-CO-, glycerol proton from β position), while the methacrylated product spectral data are 0.90 (t, terminal -CH3 from all fatty acids except linolenic acid), 1.03–0.95 (m, terminal -CH3 from linolenic acid), 1.28–1.20 (m, -CH2- from all alkyl chains), 1.57–1.44 (m, -CH2-CH2-COO), 1.95 (s, CH3–C=CH2, methacrylate), 2.26 (t, -CH2-COO acyl group), 4.10–4.23 (m, -CH2-O-CO-, glycerol protons in α positions), 5.20 (m, -CH-O-CO-, glycerol proton from β position), and 6.13, 5.58 (s, CH2=C-CH3 from methacrylic group). Comparing the 1H NMR spectra of ELO and the product shows the consumption of the epoxy groups, as evidenced by the disappearance of the corresponding signals (3.1–2.9 ppm) in the product spectra (Figure 3). Additionally, signals specific to methacrylate groups appear in the spectra of the product at chemical shifts of 5.6 and 6.2 ppm (CH2 protons) and 1.95 ppm (CH3 protons), which further shows that the methacrylation was successful. FTIR analysis also showed the total consumption of the epoxy rings, as evidenced by the disappearance of the epoxy group vibration (830 cm−1) and the appearance of the vibration of the double of MA (1630 cm−1) in the product spectrum (for details, see Figure S3).
Figure 3.
Partial ring-opening of the epoxy rings using MA.
For partial opening the epoxy rings, different molar ratios between epoxy and MA were used (Figure 3). For a ratio of 1:0.9 (epoxy groups:MA), the conversion of the epoxy groups was around 75%, while for a 1:0.6 ratio, the conversion was 50%. This trend continues at various molar ratios, as seen in Figure 4. As a general method, the conversions were calculated by comparing the peak areas of the epoxy signals in ELO and in the ring-opening products. In order to have comparable and quantifiable results, the method used is based on the integration of the signals of the glycerol protons in α positions (4.14–4.27 ppm) and β position (5.26 ppm) and using them as internal standards, due to the fact that the glycerol backbone remains unchanged during the reaction. This means that peak areas in both spectra can now be compared (for details, see Figure S4), and the conversion can be calculated using the epoxy signals with the following formula:
where C is the conversion (%) of ELO, A is the peak area of the epoxy signal in the product and B is the peak area of the epoxy signal in ELO. The result can be confirmed by the peak area of the signals specific to the product (-CH3 protons in the methacrylate at 1.96 ppm and =CH2 proton of the methacrylate at 5.59 and 6.11 ppm). This general method was applied for calculating conversions for all the epoxy ring-opening reactions in the present study.
Figure 4.
The influence of the molar ratio of the reactants on the conversion of the epoxy groups.
3.2.2. Undecylenic Acid
A renewable monomer that can be obtained from castor oil, undecylenic acid (UA) has numerous uses in pharmaceutical and cosmetic applications [38]. It can also be used to obtain bio-based polyurethanes, polyamides, resins [39], organogels [40], or encapsulations [41], so its potential led to it being chosen as a ring-opening reactant. The first reaction was performed in the same conditions as the ring-opening with MA, with a slight excess of UA, with a conversion of 30% for the epoxy groups. This was determined by comparing the 1H NMR spectra of ELO and the product and by quantifying the decrease in signal strength for the epoxy groups (2.9–3.1 ppm) in the product. Specific signals for UA can be observed, particularly for the protons adjacent to the terminal double bond, at a chemical shift of 4.9 and 5.8 ppm.
By employing a different LDH catalyst (MgAlLa LDH) with stronger basicity, as shown in the catalyst characterization results in this section, a 50% conversion of the epoxy groups was achieved. Using this catalyst (MgAlLa LDH) and increasing the temperature to 140 °C gave the best results, with the obtaining of the total conversion of the epoxy groups, as shown in the 1H NMR spectral data of the product (see Figure S5). Note that using the MgAl LDH at 140 °C only gave an 85% conversion, which further confirms the positive influence of the basicity of the catalyst on the conversion.
3.2.3. Crotonic Acid; Cinnamic Acid
A β-methyl substituted acrylic monomer, crotonid acid can be obtained from petrochemical resources via the oxidation of the crotonaldehyde or from bioresources, via acetaldehyde resulting from the fermentation of bioethanol. It has various uses in the polymer industry, such as being used in the composition of copolymers used for adhesives, paints, and coating applications [42]. Opening the epoxy groups with crotonic acid at 100 °C temperature led to conversions of 40% when using MgAl LDH and 60% when using MgAlLa LDH, further confirming the theory that the basicity of the catalyst positively influences the conversion. The obtained products have the following 1H NMR signals characteristic to crotonic moieties: 5.85 (m, CH3-CH=CH-), 7.15 (m, CH3-CH=CH-) (for details, see Figure S6).
Cinnamic acid and its esters are well-known β-phenyl substituted acrylic monomers that can be obtained from both petrochemical resources and renewable feedstock [42]. These types of compounds can give reversible [2 + 2] cycloaddition reactions initiated by UV light, leading to shape-memory polymers [43]. The ring-opening reactions with cinnamic acid gave conversions of 20% (MgAl LDH catalyst) and 70% (MgAlLa LDH catalyst) at 100 °C, and the 1H NMR specific signals for cinnamic acid were observed at 6.45 (d, -CH=CH-Ph), 7.40 (m, -CH=CH-Ph), 7.40–7.50 aromatic signals (for details, see Figure S7).
As in the case of undecylenic acid, total conversion of the epoxy groups can be achieved by using the MgAlLa LDH catalyst at 140 °C reaction temperature for both crotonic and cinnamic acid.
3.3. Epoxide Opening with Monocarboxylic Acids Anhydrides
Monocarboxylic acids and anhydrides have been previously used as ring-opening reagents for obtaining lubricant materials [6]. The reactants chosen for this study were acetic and butyric anhydride, with the aim of observing a possible influence of the length of the carbon chain on the reactivity towards epoxy ring-opening. Using the reaction conditions first employed for acids (100 °C, MgAl LDH catalyst), the conversion of the epoxy groups was total for both anhydrides. The IR spectra of the reaction product with butyric anhydride show the total conversion of epoxy groups (for details, see Figure S8), which is confirmed by the 1H NMR spectrum of the product, detailed below, which shows no signals characteristic of the epoxy ring: 0.90 (t, terminal -CH3 from all fatty acids except linolenic acid, terminal -CH3 from the butyric chain), 1.03–0.95 (m, terminal -CH3 from linolenic acid), 1.28–1.20 (m, -CH2- from all alkyl chains), 1.57–1.44 (m, -CH2-CH2-COO), 2.26 (t, -CH2-COO acyl group in the triglyceride backbone and butyric chain), 4.1–4.23 (m, -CH2-O-CO-, glycerol protons in α positions), 5.20 (m, -CH-O-CO-, glycerol proton from β position). For the reaction product with acetic anhydride, the results are similar.
4. Discussion
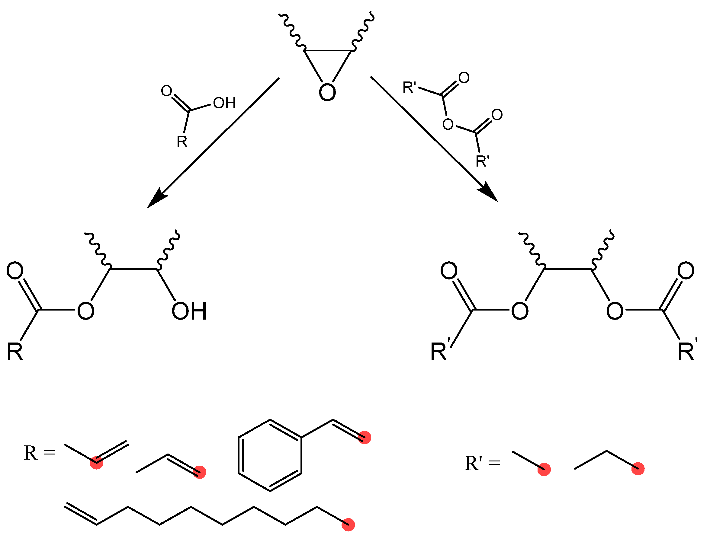
Various ring-opening reagents have been used to functionalize epoxidized vegetable oil. However, unsaturated carboxylic acids are of particular interest due to the possibility of further reacting/functionalizing the double bonds. Other promising ring-opening reagents are carboxylic anhydrides, due to their high reactivity and the potential uses for the obtained products, such as lubricants in the case of vegetable oils functionalized with monocarboxylic anhydrides [6]. Unsaturated carboxylic acids and carboxylic anhydrides with interesting properties were chosen for this study (Figure 5). The ring-opening reactions using acids are further outlined (reaction conditions and conversions) in Table 1.
Figure 5.
The epoxy ring-opening reaction scheme.
Table 1.
Operating conditions and the conversions achieved for all the ring-opening reactions involving carboxylic acids.
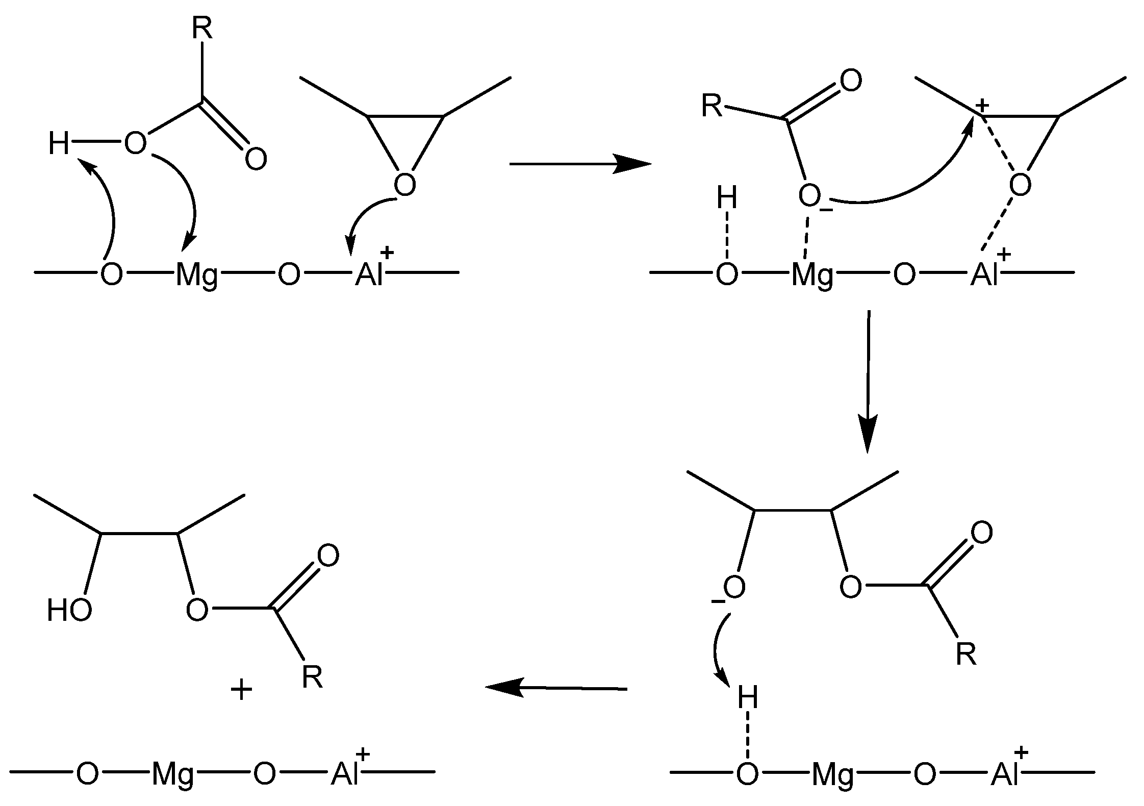
The experimental results demonstrated that the increase in basicity from 6.73 mmol AA·g−1 to 8.62 mmol AA·g−1 for the catalyst modified with lanthanum played an important role in conversion. This significant increase was due to the fact that the electronegativity presented by La (1.1 on Pauling’s scale) is much lower compared to that presented by Mg (1.31) and Al (1.61), respectively. Even if La does not isomorphously substitute Al in the octahedral sites of the layered structure, its presence in the network in the contaminant form (lanthanum hydroxycarbonate; JCPDS card 70-1774) leads to this significantly increased basicity. This base character corroborated the large ionic radius of La (1.14 Å) [44] (which can lead to larger pore size in the catalyst, facilitating the access of the reactants to the active sites), leading to a higher level of catalytic activities. In accordance with previous studies in the literature [21,45,46], a concerted reaction mechanism was proposed (Figure 6). This considers the influence of both base and acid sites, which can explain the differences in conversions between different catalysts and ring-opening reagents and further confirms that catalysts with an acid-base character such as LDH are suitable for this type of reaction.
Figure 6.
The proposed mechanism of the ring-opening reaction.
5. Conclusions
In the context of increasing interest in using renewable raw materials instead of petrochemical resources, obtaining intermediates and products from vegetable oils is an ongoing effort, which is also the objective of this study. Linseed oil, having a high degree of unsaturation, which leads to increased reactivity, was epoxidized and then functionalized through epoxy ring-opening with carboxylic acids and anhydrides, with the obtaining of products having potential interesting applications. This study shows that using heterogenous catalysis is a suitable method for obtaining materials and precursors from an abundant renewable resource such as vegetable oil. The influence of the basicity of the catalyst was established by comparing the activity of two materials of the same type, MgAl LDH, and MgAlLa LDH. Thus, renewable materials can be obtained using a potentially reusable heterogeneous catalyst in relatively mild conditions, in accordance with the principles of green chemistry.
Supplementary Materials
The following supporting information can be downloaded at https://www.mdpi.com/article/10.3390/su15054197/s1, Figure S1: The DRIFT spectra of the samples; Figure S2: The BET isotherms of the investigated samples; Figure S3: The superimposed FTIR spectra of ELO) and the reaction product of ELO with MA; Figure S4: The stacked 1H NMR spectra of ELO and partially methacrylated epoxidized linseed oil; Figure S5. The 1H NMR spectrum of ELO functionalized with undecylenic acid; Figure S6. The 1H NMR spectrum of ELO functionalized with crotonic acid; Figure S7. The 1H NMR spectrum of ELO functionalized with cinnamic acid; Figure S8. The superimposed FTIR spectra of ELO and the reaction product of ELO with butyric anhydride.
Author Contributions
Conceptualization, F.T., A.I.S. and R.S.; methodology, F.T., R.S. and O.D.P.; software, A.I.S. and I.B.; validation, F.T., R.S. and O.D.P.; formal analysis, A.I.S.; investigation, F.T. and A.I.S.; resources, I.B.; data curation, A.I.S.; writing—original draft preparation, A.I.S. and O.D.P.; writing—review and editing, F.T., R.S., A.I.S., O.D.P. and I.B.; visualization, F.T. and A.I.S. All authors have read and agreed to the published version of the manuscript.
Funding
This work has been funded by the European Social Fund from the Sectoral Operational Programme Human Capital 2014-2020, through the Financial Agreement with the title “Training of Ph.D. students and postdoctoral researchers in order to acquire applied research skills—SMART”, Contract no. 13530/16.06.2022—SMIS code: 153734.
Institutional Review Board Statement
Not applicable.
Informed Consent Statement
Not applicable.
Data Availability Statement
Not applicable.
Conflicts of Interest
The authors declare no conflict of interest.
References
- Wang, R.; Schuman, T. Towards green, a review of recent developments in bio-renewable epoxy resins from vegetable oils. In Green Materials from Plant Oils; Liu, Z., Kraus, G., Eds.; The Royal Society of Chemistry, RSC Publishing: London, UK, 2015; Volume 9, pp. 202–241. [Google Scholar]
- Xia, Y.; Larock, R.C. Vegetable Oil-Based Polymeric Materials: Synthesis, Properties and Applications. Green Chem. 2010, 12, 1893–1909. [Google Scholar] [CrossRef]
- Zhang, C.; Garrison, T.F.; Madbouly, S.A.; Kessler, M.R. Recent Advances in Vegetable Oil-Based Polymers and Their Composites. Prog. Polym. Sci. 2017, 71, 91–143. [Google Scholar] [CrossRef]
- Ca, V.; Lligadas, G.; Ronda, J.C.; Galia, M. Renewable Polymeric Materials from Vegetable Oils: A Perspective. Mater. Today 2013, 16, 337–343. [Google Scholar] [CrossRef]
- Behr, A.; Westfechtel, A.; Pérez Gomes, J. Catalytic Processes for the Technical Use of Natural Fats and Oils. Chem. Eng. Technol. 2008, 31, 700–714. [Google Scholar] [CrossRef]
- Sharma, B.K.; Liu, Z.; Adhvaryu, A.; Erhan, S.Z. One-Pot Synthesis of Chemically Modified Vegetable Oils. J. Agric. Food Chem. 2008, 56, 3049–3056. [Google Scholar] [CrossRef]
- Karmakar, G.; Ghosh, P.; Sharma, B.K. Chemically Modifying Vegetable Oils to Prepare Green Lubricants. Lubricants 2017, 5, 44. [Google Scholar] [CrossRef]
- Omonov, T.S.; Curtis, J.M. Plant oil-based epoxy intermediates for polymers. In Bio-Based Plant Oil Polymers and Composites; Madbouly, S., Zhang, C., Kessler, M.R., Eds.; William Andrew Publishing, Elsevier Inc.: Amsterdam, The Netherlands, 2016; Volume 7, pp. 99–125. [Google Scholar]
- Kolot, V.; Grinberg, S. Vernonia Oil-Based Acrylate and Methacrylate Polymers and Interpenetrating Polymer Networks with Epoxy Resins. J. Appl. Polym. Sci. 2004, 91, 3835–3843. [Google Scholar] [CrossRef]
- Adhvaryu, A.; Erhan, S.Z. Epoxidized Soybean Oil as a Potential Source of High-Temperature Lubricants. Ind. Crops Prod. 2002, 15, 247–254. [Google Scholar] [CrossRef]
- Gaikwad, M.S.; Gite, V.V.; Mahulikar, P.P.; Hundiwale, D.G.; Yemul, O.S. Eco-Friendly Polyurethane Coatings from Cottonseed and Karanja Oil. Prog. Org. Coat. 2015, 86, 164–172. [Google Scholar] [CrossRef]
- Lu, Y.; Larock, R.C. Soybean-Oil-Based Waterborne Polyurethane Dispersions: Effects of Polyol Functionality and Hard Segment Content on Properties. Biomacromolecules 2008, 9, 3332–3340. [Google Scholar] [CrossRef]
- Åkesson, D.; Skrifvars, M.; Walkenström, P. Preparation of Thermoset Composites from Natural Fibres and Acrylate Modified Soybean Oil Resins. J. Appl. Polym. Sci. 2009, 114, 2502–2508. [Google Scholar] [CrossRef]
- Oprea, S. Synthesis and Properties of the Porous Collagen/Polyurethane Composite. J. Compos. Mater. 2010, 44, 2179–2189. [Google Scholar] [CrossRef]
- Samper, M.D.; Fombuena, V.; Boronat, T.; García-Sanoguera, D.; Balart, R. Thermal and Mechanical Characterization of Epoxy Resins (ELO and ESO) Cured with Anhydrides. J. Am. Oil Chem. Soc. 2012, 89, 1521–1528. [Google Scholar] [CrossRef]
- Samper, M.D.; Ferri, J.M.; Carbonell-Verdu, A.; Balart, R.; Fenollar, O. Properties of Biobased Epoxy Resins from Epoxidized Linseed Oil (ELO) Crosslinked with a Mixture of Cyclic Anhydride and Maleinized Linseed Oil. Express Polym. Lett. 2019, 13, 407–418. [Google Scholar] [CrossRef]
- Boutevin, B.; Parisi, J.P.; Robin, J.J.; Roume, C. Synthesis and Properties of Multiacrylic Resins from Epoxy Resins. J. Appl. Polym. Sci. 1993, 50, 2065–2073. [Google Scholar] [CrossRef]
- Fogassy, G.; Pinel, C.; Gelbard, G. Solvent-Free Ring Opening Reaction of Epoxides Using Quaternary Ammonium Salts as Catalyst. Catal. Commun. 2009, 10, 557–560. [Google Scholar] [CrossRef]
- Wanderley, K.A.; Leite, A.M.; Cardoso, G.; Medeiros, A.M.; Matos, C.L.; Dutra, R.C.; Suarez, P.A.Z. Graphene Oxide and a GO/ZnO Nanocomposite as Catalysts for Epoxy Ring-Opening of Epoxidized Soybean Fatty Acids Methyl Esters. Braz. J. Chem. Eng. 2019, 36, 1165–1173. [Google Scholar] [CrossRef]
- Schuster, H.; Rios, L.A.; Weckes, P.P.; Hoelderich, W.F. Heterogeneous Catalysts for the Production of New Lubricants with Unique Properties. Appl. Catal. A Gen. 2008, 348, 266–270. [Google Scholar] [CrossRef]
- Fogassy, G.; Ke, P.; Figueras, F.; Cassagnau, P.; Rouzeau, S.; Courault, V.; Gelbard, G.; Pinel, C. Catalyzed Ring Opening of Epoxides: Application to Bioplasticizers Synthesis. Appl. Catal. A Gen. 2011, 393, 1–8. [Google Scholar] [CrossRef]
- Debecker, D.P.; Gaigneaux, E.M.; Busca, G. Exploring, Tuning, and Exploiting the Basicity of Hydrotalcites for Applications in Heterogeneous Catalysis. Chem. A Eur. J. 2009, 15, 3920–3935. [Google Scholar] [CrossRef]
- Cavani, F.; Trifirò, F.; Vaccari, A. Hydrotalcite-Type Anionic Clays: Preparation, Properties and Applications. Catal. Today 1991, 11, 173–301. [Google Scholar] [CrossRef]
- Sels, B.F.; De Vos, D.E.; Jacobs, P.A. Hydrotalcite-like Anionic Clays in Catalytic Organic Reactions. Catal. Rev. Sci. Eng. 2001, 43, 443–488. [Google Scholar] [CrossRef]
- Handa, H.; Baba, T.; Yamada, H.; Takahashi, T.; Ono, Y. Double-Bond Isomerization of Olefinic Amines over Potassium Amide Loaded on Alumina. Catal. Lett. 1997, 44, 119–121. [Google Scholar] [CrossRef]
- Ionescu, R.; Pavel, O.D.; Bîrjega, R.; Zǎvoianu, R.; Angelescu, E. Epoxidation of Cyclohexene with H2O2 and Acetonitrile Catalyzed by Mg-Al Hydrotalcite and Cobalt Modified Hydrotalcites. Catal. Lett. 2010, 134, 309–317. [Google Scholar] [CrossRef]
- Choudary, B.M.; Lakshmi Kantam, M.; Venkat Reddy, C.R.; Koteswara Rao, K.; Figueras, F. The First Example of Michael Addition Catalysed by Modified Mg–Al Hydrotalcite. J. Mol. Catal. A Chem. 1999, 146, 279–284. [Google Scholar] [CrossRef]
- Angelescu, E.; Pavel, O.D.; Bîrjega, R.; Zăvoianu, R.; Costentin, G.; Che, M. Solid Base Catalysts Obtained from Hydrotalcite Precursors, for Knoevenagel Synthesis of Cinamic Acid and Coumarin Derivatives. Appl. Catal. A Gen. 2006, 308, 13–18. [Google Scholar] [CrossRef]
- Kumbhar, P.S.; Sanchez-Valente, J.; Millet, J.M.M.; Figueras, F. Mg-Fe Hydrotalcite as a Catalyst for the Reduction of Aromatic Nitro Compounds with Hydrazine Hydrate. J. Catal. 2000, 191, 467–473. [Google Scholar] [CrossRef]
- Roelofs, J.C.A.A.; van Dillen, A.J.; de Jong, K.P. Condensation of Citral and Ketones Using Activated Hydrotalcite Catalysts. Catal. Lett. 2001, 74, 91–94. [Google Scholar] [CrossRef]
- Corma, A.; Fornés, V.; Martín-Aranda, R.M.; Rey, F. Determination of Base Properties of Hydrotalcites: Condensation of Benzaldehyde with Ethyl Acetoacetate. J. Catal. 1992, 134, 58–65. [Google Scholar] [CrossRef]
- Teodorescu, F.; Deaconu, M.; Bartha, E.; Zăvoianu, R.; Pavel, O.D. Addition of Alcohols to Acrylic Compounds Catalyzed by Mg-Al LDH. Catal. Lett. 2014, 144, 117–122. [Google Scholar] [CrossRef]
- Bǎlǎnucǎ, B.; Stan, R.; Hanganu, A.; Iovu, H. Novel Linseed Oil-Based Monomers: Synthesis and Characterization. UPB Sci. Bull. Ser. B Chem. Mater. Sci. 2014, 76, 129–140. [Google Scholar]
- Rangarajan, B.; Havey, A.; Grulke, E.A.; Culnan, P.D. Kinetic Parameters of a Two-Phase Model for in Situ Epoxidation of Soybean Oil. J. Am. Oil Chem. Soc. 1995, 72, 1161–1169. [Google Scholar] [CrossRef]
- Chira, N.A.; Todasca, M.C.; Nicolescu, A.; Rosu, A.; Nicolae, M.; Rosca, S.I. Evaluation of the Computational Methods for Determining Vegetable Oils Composition Using 1H-NMR Spectroscopy. Rev. Chim. 2011, 62, 42–46. [Google Scholar]
- Slabu, A.; Banu, N.D.; Balanuca, B.; Teodorescu, F.; Stan, R. Plant-Based Resins Obtained from Epoxidized Linseed Oil Using a MgAl Hydrotalcite Catalyst. UPB Sci. Bull. Ser. B Chem. Mater. Sci. 2022, 84, 45–54. [Google Scholar]
- Balanuca, B.; Stan, R.; Hanganu, A.; Lungu, A.; Iovu, H. Design of New Camelina Oil-Based Hydrophilic Monomers for Novel Polymeric Materials. J. Am. Oil Chem. Soc. 2015, 92, 881–891. [Google Scholar] [CrossRef]
- Van der Steen, M.; Stevens, C.V. Undecylenic Acid: A Valuable and Physiologically Active Renewable Building Block from Castor Oil. ChemSusChem 2009, 2, 692–713. [Google Scholar] [CrossRef] [PubMed]
- Bigot, S.; Daghrir, M.; Mhanna, A.; Boni, G.; Pourchet, S.; Lecamp, L.; Plasseraud, L. Undecylenic Acid: A Tunable Bio-Based Synthon for Materials Applications. Eur. Polym. J. 2016, 74, 26–37. [Google Scholar] [CrossRef]
- Doll, K.M.; Walter, E.L.; Murray, R.E.; Hwang, H.S. Organogel Polymers from 10-Undecenoic Acid and Poly(Vinyl Acetate). J. Polym. Environ. 2018, 26, 3670–3676. [Google Scholar] [CrossRef]
- Huerta-Ángeles, G.; Brandejsová, M.; Kopecká, K.; Ondreáš, F.; Medek, T.; Židek, O.; Kulhánek, J.; Vagnerová, H.; Velebný, V. Synthesis and Physicochemical Characterization of Undecylenic Acid Grafted to Hyaluronan for Encapsulation of Antioxidants and Chemical Crosslinking. Polymers 2020, 12, 35. [Google Scholar] [CrossRef]
- Fouilloux, H.; Thomas, C.M. Production and Polymerization of Biobased Acrylates and Analogs. Macromol. Rapid Commun. 2021, 42, 2000530. [Google Scholar] [CrossRef]
- Lendlein, A.; Jiang, H.; Junger, O.; Langer, R. Light-Induced Shape-Memory Polymers. Nature 2005, 434, 879–881. [Google Scholar] [CrossRef] [PubMed]
- Angelescu, E.; Pavel, O.D.; Che, M.; Bîrjega, R.; Constentin, G. Cyanoethylation of Ethanol on Mg-Al Hydrotalcites Promoted by Y3+ and La3+. Catal. Commun. 2004, 5, 647–651. [Google Scholar] [CrossRef]
- Yamaguchi, K.; Ebitani, K.; Yoshida, T.; Yoshida, H.; Kaneda, K. Mg-Al Mixed Oxides as Highly Active Acid-Base Catalysts for Cycloaddition of Carbon Dioxide to Epoxides. J. Am. Chem. Soc. 1999, 121, 4526–4527. [Google Scholar] [CrossRef]
- Karami, Z.; Jouyandeh, M.; Ali, J.A.; Ganjali, M.R.; Aghazadeh, M.; Paran, S.M.R.; Naderi, G.; Puglia, D.; Saeb, M.R. Epoxy/Layered Double Hydroxide (LDH) Nanocomposites: Synthesis, Characterization, and Excellent Cure Feature of Nitrate Anion Intercalated Zn-Al LDH. Prog. Org. Coat. 2019, 136, 105218. [Google Scholar] [CrossRef]
Disclaimer/Publisher’s Note: The statements, opinions and data contained in all publications are solely those of the individual author(s) and contributor(s) and not of MDPI and/or the editor(s). MDPI and/or the editor(s) disclaim responsibility for any injury to people or property resulting from any ideas, methods, instructions or products referred to in the content. |
© 2023 by the authors. Licensee MDPI, Basel, Switzerland. This article is an open access article distributed under the terms and conditions of the Creative Commons Attribution (CC BY) license (https://creativecommons.org/licenses/by/4.0/).









