Next Article in Journal
Biochar Addition and the Runoff Quality of Newly Constructed Green Roofs: A Field Study
Previous Article in Journal
Socio-Economic Analysis of the Construction and Building Materials’ Usage—Ecological Awareness in the Case of Serbia
 
 
Font Type:
Arial Georgia Verdana
Font Size:
Aa Aa Aa
Line Spacing:
Column Width:
Background:
Article

Population Structure and Local Carbon Emission Reduction: Evidence from Guangdong, China

1
School of Government, Central University of Finance and Economics, Beijing 100081, China
2
China Futures Association, Beijing 100032, China
3
Zhoyu Design Group Co., Ltd., Changsha 410133, China
*
Author to whom correspondence should be addressed.
Sustainability 2023, 15(5), 4079; https://doi.org/10.3390/su15054079
Submission received: 15 October 2022 / Revised: 22 December 2022 / Accepted: 17 January 2023 / Published: 23 February 2023
(This article belongs to the Section Social Ecology and Sustainability)

Abstract

Based on the data obtained on carbon emissions in Guangdong Province, China, from 1997 to 2019, this study focused on the relationship between energy consumption and population development in Guangdong Province. This study quantitatively analyzed the impact of different population structures and technological progress on carbon emissions in Guangdong Province by establishing an extended model of Stochastic Impacts by Regression on Population, Affluence, and Technology (STIRPAT). The results showed that the population size factor was not as good as the population structure factor for carbon emissions. In addition, different demographic factors affected carbon emissions differently with both positive and negative effects. Finally, relevant policy suggestions were proposed from the perspectives of encouraging the childbearing of appropriate-age residents, optimizing the population structure, reducing the separation of people and households, guiding residents to return to the traditional family model, guiding residents to live a low-carbon life, optimizing industrial institutions, and adjusting the energy consumption structure.

1. Introduction

As the world’s second-largest economy and the world’s largest developing country, China is facing a significant challenge in controlling carbon emissions while maintaining steady economic growth [1]. The report of the 19th National Congress of the Community Party of China pointed out that it is necessary to establish and improve the economic system of green and low-carbon circular development, build a clean and low-carbon energy system [2], advocate a green bottom single lifestyle, and determine the path for China to achieve green and low-carbon economic development [3], which is the core topic of China’s future green and low-carbon development research. China proposed that it “will strive to reach its peak carbon by 2030 and strive to achieve carbon neutrality by 2060”; this is known as the double carbon goal [4]. China must propose corresponding action routes according to its national conditions and development stages to achieve the double carbon goal. As one of the basic variables of social and economic activities, the population is an important factor influencing climate change, and it overlaps with other social, economic, and environmental factors and affects regional carbon emissions [5].
With the improvement of residents’ income and living standards, ecology, a clean environment, and healthy food have become necessities in people’s daily lives. The development mode of earning GDP at the cost of exhausting resources and sacrificing the environment can no longer meet China’s future development needs [6]. As a major economic province in China, Guangdong Province has been at the forefront of China’s reform and opening up since 1978. As Guangdong Province is one of the leading provinces of China’s economic development, its carbon emissions over the years also rank among the top in the country. Since the reform and opening up of China, Guangdong Province has been a province with a large population inflow in China [7]. According to the seventh national census, the inflow population exceeded 20 million, accounting for more than 20% of the total population of Guangdong Province, ranking first in the country. As a result, changes in Guangdong’s population, carbon emissions, and the relationship between them have become significant [8]. Existing studies on carbon emissions mainly focused on analyzing traditional factors such as population size, per capita GDP, per capita income, and energy efficiency. However, systematic research on population structure factors is lacking. This study presents an analysis from the population perspective, includes five influential factors, and conducts model analysis and empirical research on the factors of population structure from different levels. Taking various statistical data of the population in Guangdong Province from 2000 to 2020 as an example, the impact of the change of population structure on the carbon emission of Guangdong Province in recent years is studied under the background of the national population growth rate slowing down. This study investigates the relationship between population factors and local carbon emissions, so as to provide a reference for the next step of China’s population policy making to achieve the “double carbon goal”.

2. Literature Review

2.1. Relationship between Urbanization and Carbon Emissions

In recent years, global carbon emissions have been rising. China has accelerated urbanization development [9], which is closely related to its carbon emissions [10]. Past studies have analyzed the relationship between population urbanization and carbon emissions through the elasticity coefficient, coupling coordination, decoupling, and other models, and three main viewpoints have emerged:
(1)
Urbanization promotes carbon emissions [11]. On the surface, population urbanization means the concentration of the population in cities. It means people’s lifestyles, production, and land use modes have changed [12]. When a city is too large, a mismatch occurs between the urban environmental carrying capacity and population scale, leading to a crowding effect and aggravating carbon dioxide emissions' impacts [13]. Studies in developing countries [14], in the EU, and worldwide have shown that urbanization promotes carbon emissions and reduces energy consumption intensity in urbanization [15]. However, different levels of urbanization lead to different levels of carbon emissions. For example, the degree of environmental degradation changes with national per capita income changes. In high-income countries, urbanization has the most obvious driving effect on carbon emissions, while in middle-income countries, it is the weakest [16].
(2)
Urbanization curbs carbon emissions. Although a large amount of carbon emissions will be generated in the process of urbanization construction, when urbanization develops to a certain stage, the agglomeration and scale effects will reduce energy consumption to a certain extent, thereby reducing carbon emissions. The improvement in urban land use efficiency negatively correlates with carbon emissions and can effectively suppress carbon dioxide emissions [17]. With the deepening of urbanization and the continuous development of technology, the improvement of land utilization rate [18] and the utilization rate of renewable energy [19] also has a significant inhibitory effect on carbon emissions.
(3)
Their relationship is dynamic [20]. First, urbanization impacts energy use and carbon emissions in countries with different income levels. In low-income countries, the improvement in urbanization level will bring an emission reduction effect and reduce energy consumption and carbon emissions. In contrast, in middle-income and high-income countries, the opposite is true. Second, when a region is in the low urbanization stage, urbanization promotes carbon emissions, but this relationship is reversed when a region is in the high urbanization stage [21]. Finally, the time of urbanization affects carbon emissions. In the short term, if current urbanization increases, carbon emissions will be relatively increased, and if early urbanization increases, carbon emissions will be relatively reduced [22]. In addition, the lifestyle changes associated with population urbanization will also lead to changes in the total time of production and consumption activities, thus changing the total carbon dioxide emissions [23].

2.2. Population Consumption and Carbon Emissions

Consumption is one of the three major driving forces that promote national economic and social development. In recent years, carbon consumption by Chinese residents has grown steadily. Migration is a form of population growth that increases the size of the population in the place of migration and brings about more resource and energy consumption [7]. The impact of consumption factors on regional carbon emissions includes consumption structure, level, and mode [24]. Most studies on the relationship between the economy and carbon emissions are based on the environmental Kuznets curve (EKC) hypothesis, which states that the relationship between economic growth and carbon emissions is an inverted “U”. The Kuznets curve shows that with the increase in per capita income, environmental quality starts to deteriorate and then improves with increases in revenue to a certain level. However, others have proposed different opinions, believing that there is no EKC curve and that there is an inverse “n” type or other linear relationship [25]. Later, scholars used the EKC curve, the Environmental Impact, Population, Affluence, and Technology (IPAT) model [26], and the Kaya model [27] and its extended model to conduct empirical studies and determined that economy, technology, consumption [28], and population [29] all impact the environment.
The carbon emissions generated by population consumption can be divided into direct and indirect emissions. Direct emissions refer to the carbon emissions generated by energy consumption for daily cooking and lighting [30]. In contrast, indirect emissions are carbon emissions generated by people consuming other goods during production and processing. Researchers have widely used input–output analysis [31], the life cycle method [32], and the consumer behavior method [33] to measure the consumption carbon emissions of residents in various regions. Some studies show that indirect carbon emissions are higher than direct carbon emissions. Among the direct emissions of population consumption, there is a positive correlation between energy consumption and carbon emissions caused by population growth in different countries and regions worldwide [34]. Different production and consumption activities may impact the environment differently [35]. For example, population and consumption growth will greatly increase power consumption, leading to increased carbon emissions [36]. Per capita consumption expenditure positively impacts carbon emissions [37]. In addition, carbon emissions are significantly affected by family size. The indirect carbon emissions from household consumption have increased rapidly over time. The main driving factors affecting the change in indirect carbon emissions were the consumption level and emission intensity. Family size is another factor that indirectly affects carbon emissions. Since large families can share electrical appliances and other equipment, the per capita carbon emissions are lower [38]. Indeed, a reduction in family size increases overall residential consumption, increasing carbon emissions [39].
Moreover, population aging and changes in consumption patterns will also reduce indirect carbon emissions. Daily consumption changes directly affect carbon emissions [40]. Technological progress can promote optimizing and upgrading industrial structures, thereby indirectly reducing carbon emissions [41].

2.3. Research Overview

From the overall research status, relevant research on the influencing factors of carbon emissions is mainly carried out from economic development level, population size, technology level, and energy consumption perspective. Among them, foreign scholars have mainly studied the carbon emission effect of population factors from the aspects of population scale, population urbanization level, and per capita consumption level. However, in reviewing the carbon emission effect of population factors, there may be some limitations if we consider only the impact of population factors on carbon emissions and ignore the impact of other factors. Therefore, the results may be closer to the actual situation if we study the impact of population factors on carbon emissions by controlling for other variables. Furthermore, China has a vast territory, and the social economy, historical conditions, population development, and regional economic development levels among provinces and cities need to be more balanced. There are also clear regional differences in carbon emissions. However, most existing literature focuses on the national or regional level, and there needs to be more research on carbon emissions at the level of a single province. For this reason, based on China’s latest carbon peak and carbon neutrality goals and the data of the seventh census, this study considered Guangdong Province, which has had the largest population migration in recent years, as the research object, uses the statistical data of Guangdong Province over the years, and combines the data of all dimensions of population migration to study the impact degree and mechanism of population factors on carbon emissions in Guangdong Province to compensate for the lack of existing research on the impact of population factors on carbon emissions in single provinces. This study proposes a policy path of coordination between population factors and carbon emissions goals in the process of achieving the carbon peak goal in Guangdong Province.

3. Methodology and Data

3.1. Research Framework

Through the correlation analysis between population size and carbon emissions, using the expansion of the STIRPAT model, this study adopts a multiple regression method to quantitatively analyze the impact of factors such as the total population, number of people employed in industries, age structure of the population, level of urbanization, level of education, family structure, registered residence, level of consumption, and technological progress on carbon emissions in Guangdong Province and perform an in-depth analysis of the mechanism of the impact of various factors on carbon emissions to provide a reference for the policy path of the population on the road to the carbon peak (Figure 1).

3.2. Model Design

The STIRPAT model is a factor decomposition model based on the law of logical operation. By substituting the data of each index into the identity for transformation operation, the variables in the equation can be decomposed into several factors, and the relative influence of each factor on the change of research objectives can be reflected numerically. Hence, the causes of different phenomena can be revealed. Therefore, it is widely used in the field of carbon emissions. Furthermore, the STIRPAT model introduces an index that overcomes the assumption that the environmental conditions are affected in equal proportion by various factors. Therefore, it is more flexible and changeable, which is convenient for adding and modifying indicators. It also avoids the problem of the dependent variables changing in the same proportion as the indicators in the IPAT model, and it is suitable for all kinds of complex social situations.
The expansion of the STIRPAT model is a common method for quantitatively analyzing the impact of population factors on carbon emissions by using the multiple regression method. EHRISH first proposed the IPAT equation to quantitatively reflect human activities' impact on environmental pressure. Its general form is as follows [42]:
I = PAT
where I refers to environmental impact, P refers to population size, A refers to wealth situation, and T represents scientific and technological level. The equation mainly analyzes the problem by changing one factor while keeping the other factors fixed and then determines some decisive factors. However, because the equation is an identity, it requires that the units on both sides of the equation are consistent and that factors such as population size, wealth, and scientific and technological level should maintain the same proportional change with the environment. In addition, its impact is an equally proportional impact, which cannot reasonably reflect the impact of various factors on the environment. To overcome the limitations of the IPAT equation, Dietz et al. [43] expressed the IPAT equation in a random form. They established the STIRPAT model to estimate the impact of carbon emissions through a statistical regression of influencing factors such as population, wealth, and technical conditions. The formula is as follows:
I = aP b A c T d e
The model is modified based on the environmental pressure control model, in which I is the environmental pressure; P is the population factor; A is the wealth factor; T is the technical factor; a is the coefficient term added by the model; b, c, and d are the index terms of P, A, and T, which represent the elastic coefficient of the change in environmental pressure I; and e is the random error term of the model. This model is widely used to study the factors influencing carbon emissions. In the empirical analysis, we usually take logarithms on both sides of Model 2 to obtain
lnI = ln a + b ln P + c ln A + d ln T + ln e
After taking the logarithms on both sides of the equation, the regression coefficient of the equation reflects the elastic relationship between the dependent and independent variables. The percentage change in the dependent variable is caused by a 1% chance of being an independent variable when other independent variables remain unchanged [33].

3.2.1. Variable Selection and Description

To further study the impact of population factors on carbon emissions in Guangdong Province, this study extends the STIRPAT model, divides the indicators related to population factors into five groups, and introduces the STIRPAT model [44]. First, the number of employed people in the primary, secondary, and tertiary industries was introduced as a population variable to measure the impact of the number of employed people in different industrial structures on carbon emissions and the relationship with the strength of the impact. Second, after establishing the model of population employment in different industries, considering that the aging population may become a problem faced by China and even Guangdong Province in the future, we considered the age structure as a population variable to quantitatively analyze the impact of population age structure on carbon emissions [45]. Third, considering the expansion of the urban size and population size in Guangdong Province over the past 20 years, the urban population, rural population, and education level were taken as population variables to quantitatively analyze the impact of urbanization and education levels on carbon emissions. Fourth, with population growth in Guangdong Province, families were used as analysis units and individuals to investigate their impact on carbon emissions.
Therefore, taking family size and whether there is a spouse as population variables, we can quantitatively analyze the impact of family structure on carbon emissions [46]. Finally, registered residence management has always been a unique way of population management in China; therefore, whether the separation and settlement of households impact carbon emissions has research value and was thus considered. In addition to observing the educational background of the population over the age of 15, focusing on the educational level of the employed population is important. Therefore, we took the educational background of the employed population and household as population variables to study their impact on carbon emissions. Five sets of STIRPAT model expressions are presented as follows:
lnI = ln a + b 1 ln P 1 + b 2 ln P 2 + b 3 ln P 3 + c ln A + d ln T + ln e
lnI = ln a + b 4 ln P 4 + b 5 ln P 5 + b 6 ln P 6 + b 7 ln P 7 + c ln A + d ln T + ln e
l n I = ln a + b 8 ln P 8 + b 9 ln P 9 + b 10 ln P 10 + b 11 ln P 11 + c ln A + d ln T + ln e
lnI = ln a + b 4 ln P 4 + b 15 ln P 15 + b 16 ln P 16 + b 18 ln P 18 + c ln A + d ln T + ln e
lnI = ln a + b 13 ln P 13 + b 14 ln P 14 + b 17 ln P 17 + c ln A + d ln T + ln e
The definitions of the variables in the five expressions above are shown in Table 1.
Compared with the traditional STIRPAT model, the above five model expressions supplement the consideration of population structure with variables such as the number of employed people in different industrial structures, urban–rural structure of the population, age structure, education, family structure, marriage structure, and settlement situation and try to reflect the characteristics of population factors that can affect carbon emissions.

3.2.2. Data Description and Inspection

(1)
Data description
The population, consumption, and other data used in this study were sorted and calculated according to the Guangdong Statistical Yearbook, China Population and Employment Statistical Yearbook, China Labor Statistical Yearbook, and China Energy Statistical Yearbook. The population proportion data for some years were missing, and linear interpolation was used to supplement the data. The change trends of some variables are shown in Figure 2.
Most index data had a continuous upward trend, showing a certain non-stationary trend. In general, taking the natural logarithm of the data can reduce its non-stationarity, linearize the data, and eliminate the influence of the unit dimension of the variable. At the same time, compared with the difference in the data, the loss of data information is smaller; therefore, the natural logarithm of each variable was used as the regression variable in the STIRPAT model in this study. The change trends after taking the natural logarithm of variable information are shown in Figure 3.
After taking the natural logarithm of each variable, the sequences were more stable. To avoid problems such as pseudo-regression, it is necessary first to test the stationarity of the sequence, and then test the multicollinearity between the independent variables that may affect the overall parameters.
(2)
Multicollinearity test
Multicollinearity refers to the correlation between independent variables, which is mainly caused by the correlation between independent variables and the inertia of independent variables. For models with multiple independent variables, multicollinearity was generally tested first. Taking Model 4 as an example, first, the least squares method was used to carry out multiple linear regressions (Table 2). The calculation results of the SPSS software showed that the decisive coefficient R 2 of the regression equation was 0.994 and the F-test was also highly significant. However, for the test of the regression coefficient, the LNA did pass the significance test, the variance expansion factor (VIF) of each variable was much greater than 10, and there was serious collinearity between all variables.
The results revealed serious multicollinearity of the independent variables using the same method to test the remaining four formulas. Therefore, a series of problems will arise if the least squares method is used to estimate the model parameters. The data sequence in this study was not suitable for unbiased estimation using the ordinary least squares method. This study used ridge regression analysis with a biased estimation for model fitting to overcome the influence of multicollinearity. Ridge regression can reduce the influence of collinearity on the estimation by introducing the ridge parameter K into the correlation matrix. The key to the estimation is the determination of the ridge parameter. This study used the ridge trace method to determine the ridge parameters.

4. Results

The adverse effect of multicollinearity is that it produces a large variance. Appropriately reducing the variance of the parameter estimator cannot completely eliminate the problem of multicollinearity; however, it can significantly remove the impact caused by multicollinearity. Ridge regression is a method to reduce the variance of parameter estimators at the cost of introducing errors. This is an improvement of the least squares estimation. When there are multiple correlations in the independent variables, the ridge regression algorithm artificially adds a factor K to the main diagonal of the independent variable standardization matrix, which makes regression coefficient estimation biased but can significantly improve the stability of the estimation. The standard deviation of the regression coefficient is smaller than that of the least two-way estimation.

4.1. Secondary Industry Has the Highest Impact on Carbon Emissions, and Primary Industry Has the Lowest

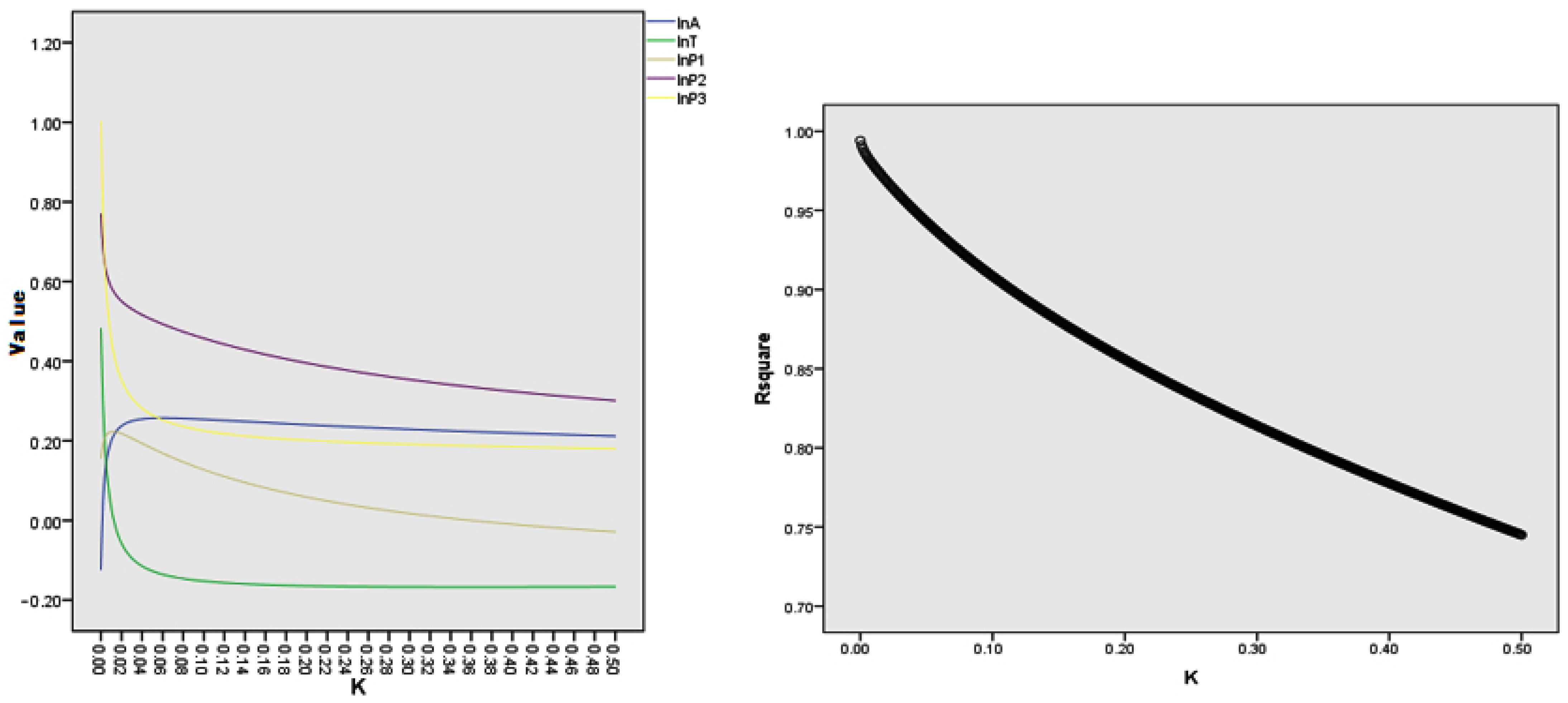
First, based on Model 4, an extended STIRPAT model was established to observe the impact of the number of employed people in the primary, secondary, and tertiary industries on carbon emissions as demographic variables. ln I was the dependent variable, and ln P 1 , ln P 2 , ln P 3 , ln A , ln T were the independent variables. SPSS software was used to carry out ridge regression fitting, and the changes in the ridge trace map and determinable coefficient R 2 are shown in Figure 4.
When k = 0.08, the change in the regression coefficient of each variable tends to be stable and the resulting ridge regression equation is as follows:
lnI = 0.8020 lnP 1 + 0.6176 lnP 2 + 0.2609 lnP 3 + 0.1472 lnA 0.1471 lnT 2.2068
The corresponding standardized ridge regression equation is as follows:
ln I ^ = 0.1467 ln P 1 ^ + 0.4739 ln P 2 ^ + 0.2359 ln P 3 ^ + 0.2562 ln A ^ 0.1461 ln T ^
The decisive coefficient of the model was 0.9212, the F-test value was 240.55, and P was 0.0000. The test results are significant. The variance expansion factor, VIF, of the standard regression coefficients of each variable was less than 10, and the maximum value was only 2.17. The overall fitting effect of the model satisfied these regression requirements. The results of ridge regression are shown in Table 3.
According to the ridge regression results of Model 4, there is a positive correlation between the number of people employed in the primary industry, the secondary industry, and the tertiary industry and the carbon dioxide emissions in Guangdong Province. Still, there is a significant difference in the degree of impact. The secondary industry has the highest degree of impact on carbon emissions, while the primary industry has the lowest degree. This is because the increase in employment in the secondary industry means that more energy is used in daily industrial production and the manufacture of products, leading to the growth of carbon emissions.

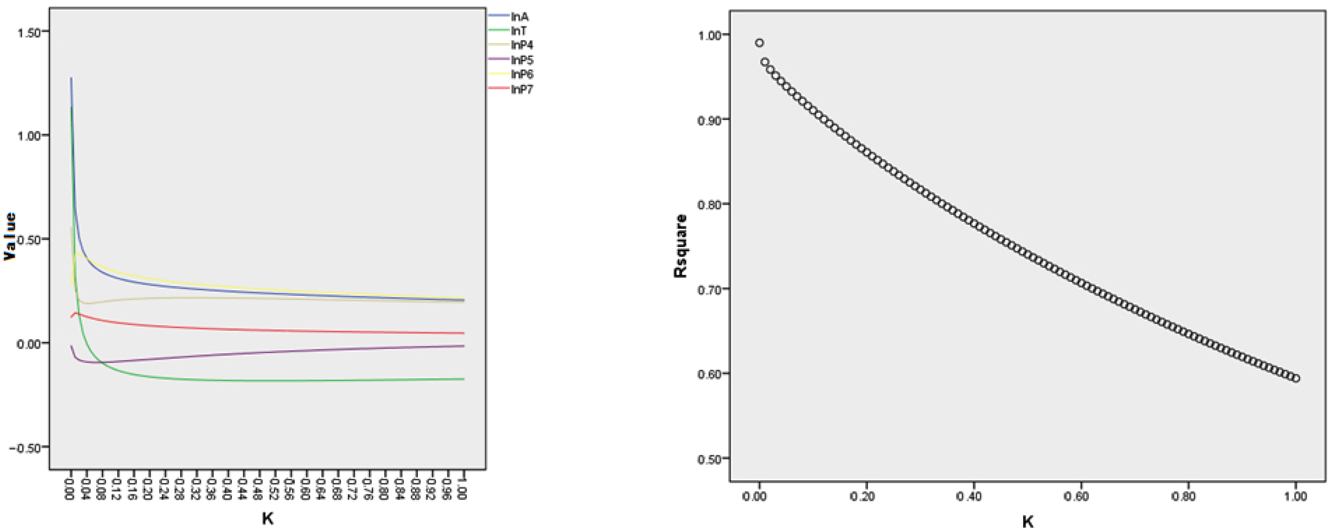
4.2. The Population of All Ages Promotes the Growth of Carbon Emissions, and Newborns Can Inhibit the Growth of Carbon Emissions

Second, based on Model 5, an extended STIRPAT model was established to observe the impact of the total population and population age structure as demographic variables on carbon emissions, where ln I was the dependent variable, ln P 4 , ln P 5 , ln P 6 , ln P 7 , ln A , ln T were the independent variables, and SPSS software was used to carry out ridge regression fitting. The changes in the ridge trace map and resolution coefficient R 2 are shown in Figure 5.
When k = 0.08, the change in the regression coefficient of each variable tends to be stable and the resulting ridge regression equation is as follows:
l n I = 0.4891 ln P 4 0.3108 ln P 5 + 2.3988 ln P 6 + 0.5228 ln P 7 + 0.1942 ln A 0.0992 ln T + 8.76
The corresponding standardized ridge regression equation is as follows:
ln I ^ = 0.1970 ln P 4 ^ 0.0943 ln P 5 ^ + 0.3649 ln P 6 ^ + 0.1070 ln P 7 ^ + 0.3382 ln A ^ 0.0985 ln T ^
The decisive coefficient of the model was 0.9210, the F-test value was 109.9047, and P was 0.0000. The test results are significant. The variance expansion factor, VIF, of the standard regression coefficients of each variable was less than 10, and the maximum value was only 1.8685. The overall fitting effect of the model satisfied these requirements. The results of the ridge regression are shown in Table 4.
According to the ridge regression results of Model 5, the total population, the proportion of young people, and the proportion of older adults in Guangdong Province are positively correlated with the carbon dioxide emissions in Guangdong Province. Still, the natural population growth in Guangdong Province is negatively associated with the carbon emissions. Thus, newborns can inhibit the growth of carbon emissions.

4.3. Rural Population and Low Educated Population Restrain the Growth of Carbon Emissions, While Urban Population and Highly Educated Population Promote It

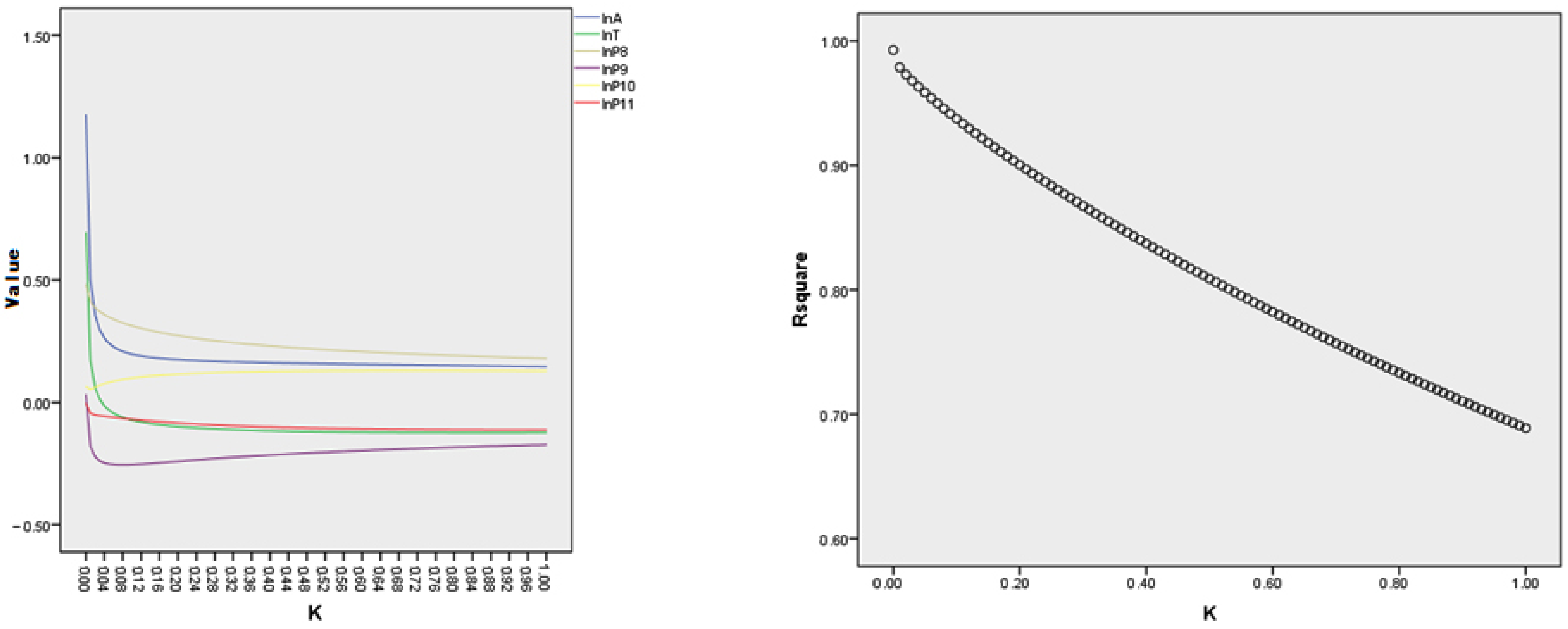
Third, based on Model 6, an extended STIRPAT model was established to observe the impact of urban and rural structure and residents’ education level in Guangdong Province as population variables on carbon emissions, where lnI was the dependent variable and ln P 8 , ln P 9 , ln P 10 , ln P 11 , ln A , ln T were the independent variables. SPSS software was used for ridge regression fitting. Changes in the ridge trace map and determination coefficient R 2 are shown in Figure 6.
When k = 0.08, the change in the regression coefficient of each variable tends to be stable and the resulting ridge regression equation is as follows:
lnI = 0.3061 lnP 8 0.6624 lnP 9 + 0.0940 lnP 10 0.3167 lnP 11 + 0.1091 lnA 0.0806 lnT + 13.56
The corresponding standardized ridge regression equation is as follows:
ln I ^ = 0.3028 ln P 8 ^ 0.2525 ln P 9 ^ + 0.1041 ln P 10 ^ + 0.0723 ln P 11 ^ + 0.19 ln A ^ 0.08 ln T ^
The decisive coefficient of the model was 0.9295, the F-test value was 170.3324, and P was 0.0000. The test results were significant. The variance expansion factor, VIF, of the standard regression coefficients of each variable was less than 10, and the maximum value was only 1.6042. The overall fitting effect of the model satisfied these requirements. The results of the ridge regression are shown in Table 5.
According to model 6 ridge regression results, the urban population and the proportion of people over 15 years old with a college education or above positively correlate with carbon dioxide emissions in Guangdong Province. In comparison, the rural population and the proportion of people over 15 years old with junior high school education or below are negatively correlated with carbon emissions in Guangdong Province. Accelerated urbanization and extensive economic growth will lead to excessive energy consumption and a lot of carbon emissions.

4.4. Married and Multi-Person Families Can Curb the Growth of Carbon Emissions

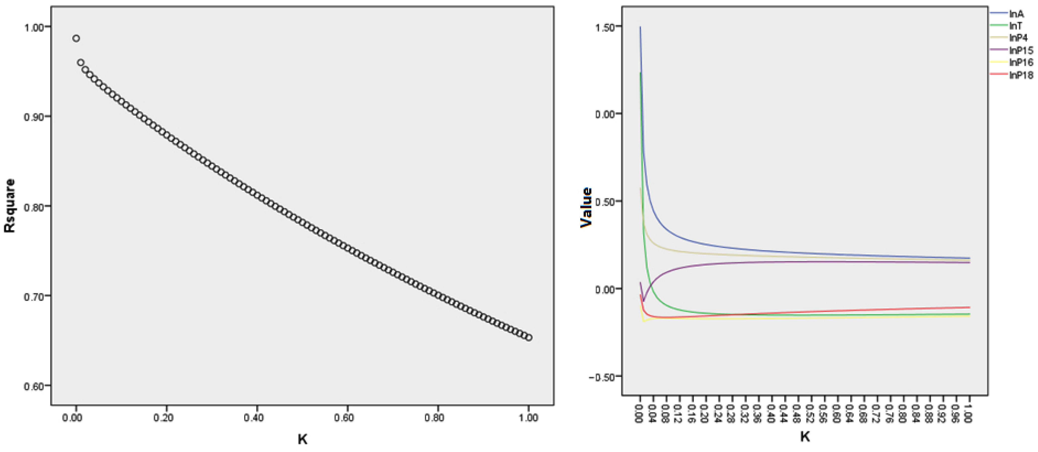
Fourth, based on Model 7, an extended STIRPAT model was established to observe the impact of household structure and marital status as demographic variables on carbon emissions, where lnI was the dependent variable and ln P 4 , ln P 15 , ln P 16 , ln P 18 , ln A , ln T were the independent variables. SPSS software was used for ridge regression fitting. Changes in the ridge trace map and determination coefficient R 2 are shown in Figure 7.
When k = 0.1, the change in the regression coefficient of each variable tends to be stable and the resulting ridge regression equation is as follows:
lnI = 0.5402 lnP 4 + 0.1027 lnP 15 0.3584 lnP 16 2.7889 lnP 18 + 0.1790 lnA 0.1130 lnT + 3.7696
The corresponding standardized ridge regression equation is as follows:
ln I ^ = 0.2176 ln P 4 ^ + 0.1065 ln P 15 ^ 0.1703 ln P 16 ^ 0.1642 ln P 18 ^ + 0.3116 ln A ^ 0.1122 ln T ^
The decisive coefficient of the model was 0.9165, the F-test value was 83.6852, and P was 0.0000. The test results were significant. The variance expansion factor, VIF, of the standard regression coefficients of each variable was less than 10, and the maximum value was only 1.6353. The overall fitting effect of the model satisfied these requirements. The results of ridge regression are presented in Table 6.
According to the results of Model 7 ridge regression, the total population of Guangdong Province and the proportion of one person/family in Guangdong Province are positively correlated with carbon dioxide emissions in Guangdong Province, while the proportion of more than four people/family in Guangdong Province and the proportion of the married population in Guangdong Province are negatively correlated with carbon emissions.

4.5. Local Settlement of Population Can Inhibit the Growth of Carbon Emissions

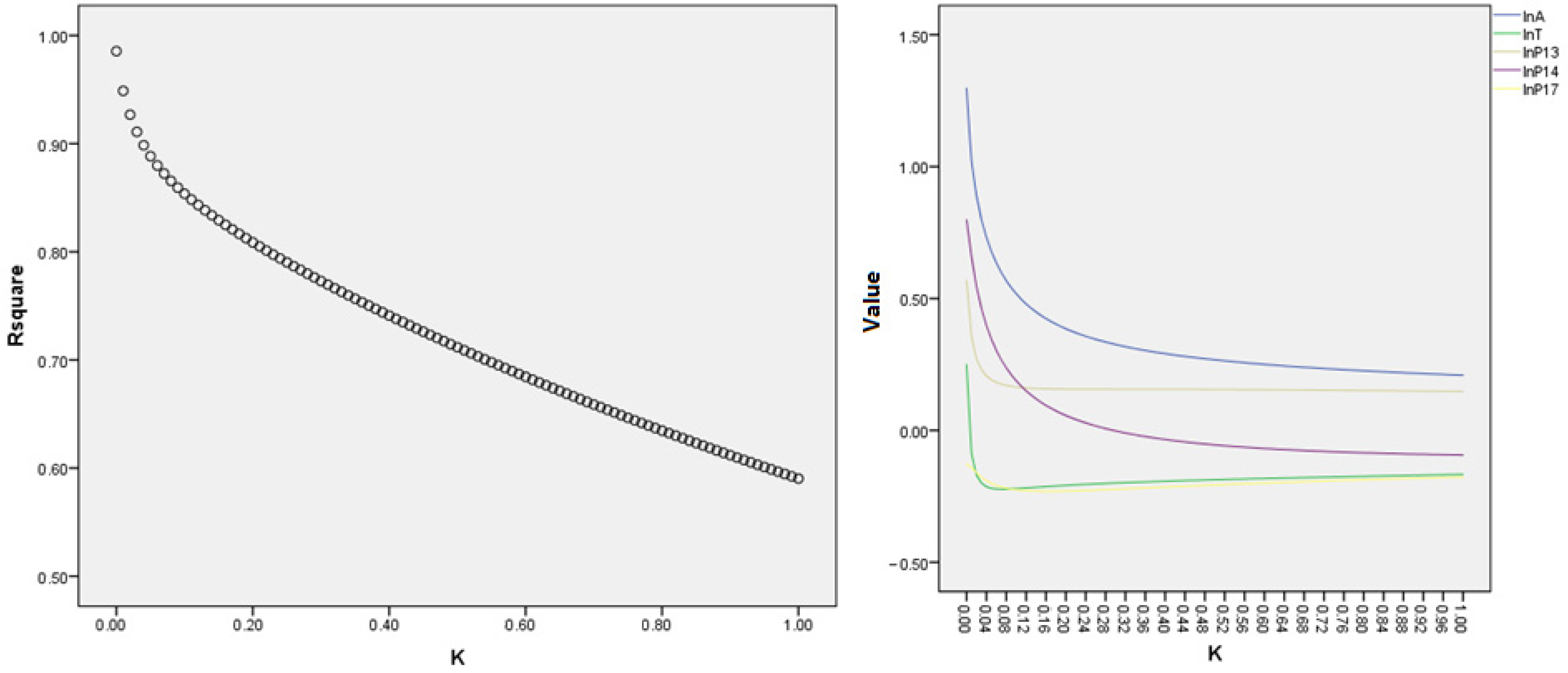
Finally, based on Model 8, an extended STIRPAT model was established to observe the impact of household separation and the education level of the employed population as demographic variables on carbon emissions, where lnI was the dependent variable and ln P 13 , ln P 14 , ln P 17 , ln A , ln T were the independent variables. SPSS software was used to carry out ridge regression fitting. Changes in the ridge trace map and resolvable coefficient R 2 are shown in Figure 8.
When k = 0.08, the change in the regression coefficient of each variable tends to be stable and the resulting ridge regression equation is as follows:
lnI = 0.1452 lnP 13 + 0.6480 lnP 14 0.6860 lnP 17 + 0.3260 lnA 0.2242 lnT + 9.0161
The corresponding standardized ridge regression equation is as follows:
ln I ^ = 0.1705 ln P 13 ^ + 0.2370 ln P 14 ^ 0.2190 ln P 17 ^ + 0.5676 ln A ^ 0.2226 ln T ^
The decisive coefficient of the model was 0.8655, the F-test value was 73.2744, and P was 0.0000. The test results were significant. The variance expansion factor, VIF, of the standard regression coefficients of each variable was less than 10, and the maximum value was only 1.9961. The overall fitting effect of the model satisfied these requirements. The results of ridge regression are presented in Table 7.
As can be seen from the ridge regression results of Model 8, the proportion of employees with a college education or above and the proportion of employees with a junior high school education or below are positively correlated with CO2 emissions in Guangdong Province. In contrast, the proportion of the population with local households negatively correlates with carbon emissions. Therefore, local household registration can inhibit the growth of carbon emissions.

5. Discussion

5.1. Mechanism Analysis of Population Structure and Carbon Emissions

The five STIRPAT extended models established by Models 4 to 8 examined the impact of population, finance, technology, and other factors on carbon emissions. The five models differed in terms of the choices of the population factors. The standard regression coefficients fitted by each model revealed the differing impacts of demographic factors on carbon emissions for each model. It was found that the increase in employment, total population, urban population, and solitary population in each industry will promote carbon emissions. In contrast, the increase in natural growth and rural and family populations will inhibit carbon emissions.

5.1.1. Population Size Has a Significant Positive Effect on Carbon Emissions

Models 5 and 7 examined the proportion of population size’s influence on Guangdong Province’s carbon emissions, approximately 19.7–21.76%. From 1997 to 2019, the total population of Guangdong Province increased from 70.51 million to 125 million, an increase of 77.28%, with an average annual growth rate of 2.52%, which was higher than the national average. Despite the implementation of the family planning policy in 1995, China’s population continues to grow (Figure 9), and population size remains a major influence on carbon emissions. Population migration and natural growth inevitably lead to an increase in energy consumption, which can explain the continuous increase in carbon emissions during the same period.

5.1.2. Working-Age Population Has a Strong Positive Effect on Carbon Emissions, and Natural Population Growth Has a Negative Effect

From 1997 to 2019, the proportion of the working-age population aged 16–64 in the total population in Guangdong Province increased year by year and then remained stable. The proportion of the elderly remained stable (Figure 10). The proportion of the working-age population fitted by Model 5 had an impact on carbon emissions in Guangdong Province of 36.49%, and the elasticity coefficient was as high as 2.39. The increase in the working-age population has provided a constant source of power for Guangdong’s economic development, while also boosting production and consumption, increasing energy use and carbon emissions.
The impact of population age structure on carbon emissions is indirect, mainly resulting from the differing production and consumption habits of different age groups [47]. As shown in Figure 7, the proportion of the population over 65 in Guangdong Province gradually increased over the past decade. In the future, the impact of the population age structure on carbon emissions in Guangdong Province may shift from the working-age population to the elderly population, and there is a significant difference between these groups in the mechanism of carbon emissions. Model 5 revealed that the proportion of the elderly population has only a 10.7% impact on carbon emissions, which is lower than the impacts of population size and the proportion of the working population.
In addition, natural population growth in Guangdong Province had a negative impact on carbon emissions; that is, newborns have a certain inhibitory effect on carbon emissions, which was equal to the proportion of technological progress [48]. However, the negative impact of the increase in natural population on carbon emissions was only short-term. With time, this part of the population will gradually become the working-age population and thus have a significant positive effect on carbon emissions.

5.1.3. Population Urbanization Has a Significant Positive Effect on Carbon Emissions, and Disordered Urban Expansion Is Not Desirable

According to Model 6, the impact of the proportion of the urban population in Guangdong Province on carbon emissions was 30.28%, compared to −25.25% for the proportion of the rural population. The urban and rural population variables reflect the impact of a series of chain reactions caused by changes in the urban and rural structure of Guangdong Province on carbon emissions. The urban population of Guangdong Province increased from 22.1 million in 1997 to 82.26 million in 2019, with an average annual increase of 2.66 million. In contrast, the rural population decreased from 48.4 million in 1997 to 32.95 million in 2019, with an average annual decline of 670,000. The urbanization rate of Guangdong Province increased from 31.34% to 65.87% from 1997 to 2019, realizing the doubling of the population and urbanization rate (Figure 11). Reflecting national trends, in Guangdong Province, the production and consumption of the urban population are higher than those of the rural population. This explains the impact of the urban population and rural population on carbon emissions.

5.1.4. Education Level of Employed Population Has a Positive Effect on Carbon Emissions, and the Impact of High Education Is Significantly Lower than That of Low Education

According to the model fitting results of Model 6, the education level of the population over the age of 15 years had different effects on carbon emissions. The high education level, represented by a college degree or above, had a positive impact on carbon emissions, and the proportion of influence was 10.41%; however, the impact of the low education level, represented by education below junior high school, was negative, with a proportion of −7.23%. Intuitively, the lower the population's educational level, the less the carbon emissions will be inhibited. The proportion of the population with education below junior high school gradually decreased from 80% in 1997 to 49%, while the proportion of the population with education above junior college steadily increased from 3.6% to 14% (Figure 12).
Therefore, this study explored the relationship between the education level of the working population and carbon emissions. According to the model fitting results of Model 8, employees’ education level positively affected carbon emissions. The influence of the proportion of the population with a college degree or above was 17.05%, and that of the proportion with a junior high school degree or below was 23.70%. With economic development, a high degree of employment generally means a strong awareness of environmental protection and the concept of low-carbon life and green consumption. In addition, highly educated people are generally distributed in low-energy-consumption industries, such as information transmission, computer services, and financial services, with low carbon emissions. As shown in Figure 13, the proportion of the working population with a junior high school degree or below decreased from 76% in 1997 to 26% in 2019, while the proportion of people with a college degree or above increased from 5% to 24%, which is consistent with the rapid economic growth in Guangdong Province in recent years and the development of new high-tech industries [49].
The fitting results of the education level of the working population reveal that although both high and low academic qualifications promote carbon emissions, their influence differs. Compared with low education, the highly educated working population has a lower driving effect on carbon emissions, which is more helpful for Guangdong Province to adjust the impact on carbon emissions from the perspective of the educational structure of the working population in the context of the continuous increase in the total population.

5.1.5. Large Families Have a Negative Effect on Carbon Emissions, and the Single Population Is Not Conducive to the Reduction of Carbon Emissions

The fitting results of Model 7 show that different household sizes affect carbon emissions differently. The impact of households with one person/household on carbon emissions was positive, accounting for 10.65%. In contrast, the impact of households with more than four persons/household on carbon emissions was negative, accounting for −17.03%. The larger the household size is, the more obvious the inhibition effect on carbon emissions, because the power, gas, and other resources can be shared. At the same time, marriage and extended families have a negative effect on carbon emissions, with an influence of −16.42%. Figure 14 and Figure 15 show that the proportion of single-family households in Guangdong Province gradually increased from 6.9% in 1997 to 29% in 2019. The proportion of two-person and three-person households increased; that is, the proportion of small families in Guangdong Province gradually increased.
In contrast, the proportion of families with four people/household decreased from 62% in 1997 to 31% in 2019. The situation of large families and four generations living together, which was very common in the last century, has also disappeared. In contrast, the proportion of the population with a spouse remained stable from 1997 to 2019, ranging from 65% to 70%.

5.1.6. Population Settlement Has an Inhibitory Effect on Carbon Emissions, and the Registered Residence Policy Needs to Be Further Liberalized

The fitting results of Model 8 show that whether household registration is local significantly impacts carbon emissions. Among them, the proportion of the local population with household registration had a significant negative effect on carbon emissions, with an influence proportion of −21.90%, which was equal to that of technological progress. As shown in Figure 16, the proportion of registered permanent residents in Guangdong Province declined from 90% in 1997 to 58% in 2019 due to the high economic growth and continuous population expansion in Guangdong Province in recent years. This shows that there are some differences in the mode of living and working between registered permanent residents and those who are not registered permanent residents. These results also show that urban expansion in Guangdong Province is continuing, the population is increasing, and the proportion of registered resident migration of the working population in and out of Guangdong Province will continue to decline in a short time. However, factors closely related to household registration, such as education and employment, all affect carbon emissions.

5.1.7. Consumption Level Has a Significant Positive Effect on Carbon Emissions and May Be an Important Policy Focus to Reach the Peak of Carbon

In Models 4–8, the wealth index was represented by the consumption level of Guangdong Province. In the five models, compared with other factors, its influence ranking was relatively high and its impact on carbon emissions was positive, with an influence proportion of 19–56.76%. As shown in Figure 17, the consumption level of Guangdong Province continuously increased from CNY 4523 in 1997 to CNY 39014 in 2019, an increase of 8.6 times, with an average annual growth rate of 9.82%, which is higher than the other variables in the model. The fitting results showed that the elasticity coefficient of consumption level was 0.11–0.32, indicating that the improvement of population consumption level was related to the growth of carbon emissions in the same direction; that is, the growth of wealth level stimulates people’s consumption desire to a certain extent, and the growth of consumption, directly and indirectly, drives the growth of energy consumption, thus directly promoting carbon emissions [50].

5.1.8. Technological Progress Has a Negative Effect on Carbon Emissions, and the Impact Has Two Sides

In Models 4–8, technological progress was represented by carbon emission intensity indicators, which is a consensus among many scholars. The factors of technological progress characterized by carbon emission intensity did not have a high explanatory power for carbon emissions in Guangdong Province. Still, all showed that technological progress had a certain inhibitory effect on carbon emissions, with the proportion of its influence ranging from −8 to −22%. This result was consistent with the conclusions of other studies. As shown in Figure 18, the carbon emission intensity of Guangdong Province decreased significantly from 5.32 tons of carbon/CNY 10,000 in 1997 to 1.48 tons of carbon/CNY 10,000 in 2019, a decrease of 72.18%. Intuitively, the continuous reduction in carbon emission intensity should inhibit carbon emissions to a certain extent. Developing high-tech industries and improving energy efficiency are still effective measures to control carbon emissions. On the other hand, the explanatory power of carbon emission intensity for total carbon emissions was not as significant as that of the population. Under the influence of the continuous growth of population size and the continuous expansion of city size, the economic development model, which mainly relies on secondary and tertiary industries, generates a large amount of energy consumption, which masks the contribution of technological progress factors, such as the adjustment of energy structure and improvement of energy efficiency, to carbon emissions.

5.2. Policy Suggestions

5.2.1. Encourage Appropriate-Age Residents to Have Children and Reduce the Burden of Childbirth and Upbringing

Since 2016, China has adjusted its population policy many times, such as adjusting the one-child policy to a policy of three children per couple; however, this cannot stop the rapid decline in the birth rate. Therefore, at present, China not only needs to liberalize the policy level but also launch policies to encourage fertility. In addition, China should focus on the following aspects: first, improve the maternity leave and maternity insurance system, strengthen tax support policies, and protect the legitimate rights and interests of women in employment; second, in terms of education, it should promote educational equity and the supply of high-quality educational resources and reduce family education expenditure; third, in terms of housing, welfare housing distribution, commercial housing purchase, and other policies should favor families with many children; and fourth, develop an inclusive care service system, significantly increase the proportion of children aged 0–3, and reduce the time and energy costs required for parents to care for multiple children.

5.2.2. Optimize the Population Structure and Control Population Size

The population is an important factor that cannot be ignored when considering the growth of carbon emissions. The disorderly expansion of the population is not conducive to reducing carbon emissions. Therefore, appropriately controlling and optimizing the population structure is important for reducing carbon emissions. Consequently, China should focus on the following aspects: first, encourage emigration through transferring some projects and funds to surrounding provinces and cities to realize the optimization of population structure; second, in the process of urbanization, actively improve the existing registered residence system, reasonably distribute the population, and guide and arrange the settlement of migrant workers; and third, establish and improve the post-education system (e.g., conducting skill education for employed workers and solving children’s enrollment problems).

5.2.3. Strengthen Population Management, Improve Citizen Information Registration, and Reduce the Separation of People and Households

The phenomenon of “household separation” brought about by the registered residence system is one of the negative products brought about by China’s reform and opening up, and the state of “household separation” is one of the reasons why people lack a sense of belonging and choose to live alone. To fundamentally solve the separation of people and households and their problems, China needs to analyze and solve them using top-level system design to progressively realize the equalization of public social services through government macro-control and market mechanisms; progressively eliminate some unreasonable rules or interests that should not be attached to the registered residence system and let the market play a role in the allocation of public resources; and gradually change from registered residence management to territorial management, enrich and strengthen the public service capacity of grassroots community organizations, establish an improved population management pattern at the grassroots level, and strengthen the management level of grassroots management departments.

5.2.4. Properly Guide Residents to Return to the Traditional Family Model and Encourage Multiple Generations Living Together

With a reduction in household size and an increase in the number of households, the demand for general household daily necessities and durable consumer goods will expand, increasing carbon emissions. Therefore, encouraging an extended family lifestyle and family structure of four generations together is a policy path to reduce carbon emissions in Guangdong Province. China should focus on the following aspects: First, it should encourage real estate enterprises to favor large house types and large areas. This can meet the housing needs of the two-child policy and increase the number of households. On the other hand, it can be achieved in one step to avoid frequent house changes and increase purchase costs. Second, China should encourage the establishment of elderly service institutions to support older adults who cannot form large families. This will reduce the burden on young people and form a more prominent elderly family in a disguised form. Third, the land-use examination and approval system should be tightened and standardized. Every household can have only one medical foundation, many of which are returned to the state or collective. Older people and children should be encouraged live in the same compound.

5.2.5. Increase Investment in Low-Carbon Technology and Optimize the Industrial Structure

The improvement of the technological level is the core of reducing carbon emissions, and the most stable guarantee of a low-carbon economy is to achieve a breakthrough at the technological level. Therefore, China should increase investment in the research and development of low-carbon technologies, create a loose technological innovation environment, and promote the optimization and upgrading of industrial structures. China should focus on the following aspects: first, increase the capital investment in low-carbon technology to provide financial support for industrial structure adjustment; second, strengthen the efficient cooperation between the government and enterprises, and improve the construction of the talent team for low-carbon technology; and third, actively participate in international cooperation and introduce advanced low-carbon technologies.

5.2.6. Adjust the Energy Consumption Structure and Promote the Development and Utilization of Clean Energy

Changing the energy structure is a critical way to reduce carbon emissions while promoting low-carbon technology innovation. China should achieve this by increasing the proportion of renewable energy and improving energy efficiency: first, accelerate the development and utilization of renewable energy, improve the energy structure, vigorously develop clean renewable energy, and reduce the carbon content of energy from the source; second, adjust and optimize the energy consumption structure, build an economic model to improve energy efficiency, innovate energy utilization technologies, and improve utilization efficiency.

5.3. Research Deficiencies and Prospects

This study has several limitations. First, the sample period was relatively short. Given the difficulties in obtaining carbon emission data over the years and data on different population structures in Guangdong Province, the sample interval selected was only from 1997 to 2019. In future research, we will expand the sample interval to achieve more accurate results. Second, there was a certain amount of error in the carbon emission data. This study used the carbon emission calculation formula to sort and calculate the energy consumption data from the “Statistical Yearbook of Guangdong Province”. These errors may cause errors between the calculation results and the actual situation. Third, the spatial heterogeneity of sub-regions in the province was not analyzed. Fourth, the research method has room for improvement: this study was an extension of the more mature STIRPAT model, and the selection of variables was subjective and not sufficiently comprehensive. Future innovative research should also be targeted.

6. Conclusions

With the continuous increase in population size, the population in Guangdong Province is aging, the proportion of the working population is slowly decreasing, and the level of population urbanization is increasing. The size of the household population continues to shrink, and the proportion of large families with more than four people per household continues to decline. In addition, the total carbon emissions and per capita carbon dioxide emissions in Guangdong Province are rising. Although the energy consumption structure continues to be optimized, crude oil and coal still account for most fossil energy consumption. The improvement in efficiency has not significantly inhibited the increase in total carbon emissions. The impact of changes in population structure on carbon emissions in Guangdong Province is greater than that of population size, but different characteristics of population structure have different effects.
First, from the perspective of the urban–rural structure of the population, the improvement in the urbanization rate of the population played a role in promoting the growth of carbon emissions. As Guangdong Province is a province with a continuous population inflow, the growth of its carbon emissions has increased due to population growth.
Second, the working-age population had a greater role in promoting the growth of carbon emissions than the aging population, and the newborn population had an inhibitory effect on the growth of carbon emissions.
Third, small and large families showed opposite impacts on carbon emissions, with small families promoting the growth of carbon emissions and large families having a certain inhibitory effect.
Fourth, the proportion of local household registration showed inhibitory effects on the growth of carbon emissions. With the gradual liberalization of the registered residence system, Guangdong Province showed advantages in attracting talent, which had various inhibitory effects on the growth of carbon emissions.
Fifth, from the perspective of the education level of the population, the impact of the population over the age of 15 years on carbon emissions presents different situations. Low education levels inhibited the growth of carbon emissions, whereas high education levels promoted it. The education level of employed workers has a significant role in promoting carbon emissions, with a high education level having a smaller impact, indicating that among the urban employed population, the population with a high education level has a lower carbon production and life mode than the population with a low education level.
Sixth, from the perspective of the employment structure of different industries of the population, the populations of those employed in the primary, secondary, and tertiary industries positively affected carbon emissions, but the proportions of their impact differed. Employment in tertiary industries had a lower impact on carbon emissions.
Seventh, the level of population consumption had a high positive effect in different models, and the change in population consumption patterns may become a new growth point for carbon emissions in Guangdong Province.
Finally, from the perspective of technological progress, the reduction in carbon emission intensity caused by the optimization of the energy structure and the improvement of energy efficiency had a significant inhibitory effect on carbon emissions in Guangdong Province. However, this was far from offsetting the impact of other factors on the growth of carbon emissions. Nevertheless, technological progress indicators significantly inhibited carbon emissions in the five models, showing that Guangdong Province has great potential to improve carbon emissions through technological progress.

Author Contributions

Conceptualization, F.W.; methodology, Z.S.; software, Z.S.; validation, Z.S.; formal analysis, Z.S.; investigation, Z.S.; resources, F.W.; data curation, F.W.; writing—original draft preparation, Z.S.; writing—review and editing, Y.L.; visualization, Z.S.; supervision, F.W.; project administration, F.W.; funding acquisition, F.W. All authors have read and agreed to the published version of the manuscript.

Funding

This research was funded by the National Natural Science Foundation of China, grant number 72174219.

Institutional Review Board Statement

Not applicable.

Informed Consent Statement

Not applicable.

Data Availability Statement

Not applicable.

Acknowledgments

Thanks are due to reviewers and editors for their useful comments.

Conflicts of Interest

The authors declare no conflict of interest.

References

  1. Wu, Z.; Huang, X.; Chen, R.; Mao, X.; Qi, X. The United States and China on the paths and policies to carbon neutrality. J. Environ. Manag. 2022, 320, 115785. [Google Scholar] [CrossRef] [PubMed]
  2. Zhou, Z.; Liu, J.; Zeng, H.; Xu, M.; Li, S. Carbon performance evaluation model from the perspective of circular economy—The case of Chinese thermal power enterprise. Front. Eng. Manag. 2020, 9, 1–15. [Google Scholar] [CrossRef]
  3. Liu, C.; Zhou, Z.; Liu, Q.; Xie, R.; Zeng, X. Can a low-carbon development path achieve win-win development: Evidence from China’s low-carbon pilot policy. Mitig. Adapt. Strateg. Glob. Chang. 2020, 25, 1199–1219. [Google Scholar] [CrossRef]
  4. Zeng, N.; Jiang, K.; Han, P.; Hausfather, Z.; Cao, J.; Kirk-Davidoff, D.; Ali, S.; Zhou, S. The Chinese Carbon-Neutral Goal: Challenges and Prospects. Adv. Atmos. Sci. 2022, 39, 1229–1238. [Google Scholar] [CrossRef] [PubMed]
  5. Wang, Z.; Yin, F.; Zhang, Y.; Zhang, X. An empirical research on the influencing factors of regional CO2 emissions: Evidence from Beijing city, China. Appl. Energy 2012, 100, 277–284. [Google Scholar] [CrossRef]
  6. Guo, S.; Zhang, Y.; Qian, X.; Ming, Z.; Nie, R. Urbanization and CO2 emissions in resource-exhausted cities: Evidence from Xuzhou city, China. Nat. Hazards 2019, 99, 807–826. [Google Scholar] [CrossRef]
  7. Qi, W.; Li, G. Residential carbon emission embedded in China’s inter-provincial population migration. Energy Policy 2020, 136, 111065. [Google Scholar] [CrossRef]
  8. Bu, Y.; Wang, E.; Möst, D.; Lieberwirth, M. How population migration affects carbon emissions in China: Factual and counterfactual scenario analysis. Technol. Forecast. Soc. Chang. 2022, 184, 122023. [Google Scholar] [CrossRef]
  9. Neuman, M. Centenary paper: Ildefons Cerdà and the future of spatial planning: The network urbanism of a city planning pioneer. Town Plan. Rev. 2011, 82, 117–145. [Google Scholar] [CrossRef]
  10. Zheng, S.; Wang, R.; Mak, T.M.; Hsu, S.C.; Tsang, D.C. How energy service companies moderate the impact of industrialization and urbanization on carbon emissions in China? Sci. Total Environ. 2021, 751, 141610. [Google Scholar] [CrossRef]
  11. Adusah-Poku, F. Carbon dioxide emissions, urbanization and population: Empirical evidence in SUB Saharan Africa. Energy Econ. Lett. 2016, 3, 1–16. [Google Scholar] [CrossRef]
  12. Wang, Q.; Wang, L. The nonlinear effects of population aging, industrial structure, and urbanization on carbon emissions: A panel threshold regression analysis of 137 countries. J. Clean. Prod. 2021, 287, 125381. [Google Scholar] [CrossRef]
  13. Wu, Y.; Li, C.; Shi, K.; Liu, S.; Chang, Z. Exploring the effect of urban sprawl on carbon dioxide emissions: An urban sprawl model analysis from remotely sensed nighttime light data. Environ. Impact Assess. Rev. 2022, 93, 106731. [Google Scholar] [CrossRef]
  14. Zhou, W.; Feng, N.; Mi, H. Optimum Population and Urbanization in Zhejiang Province under the Restriction of Energy. In Advanced Materials Research; Trans Tech Publications: Stäfa, Switzerland, 2012; Volume 524, pp. 2819–2826. [Google Scholar] [CrossRef]
  15. Zhang, Y.J.; Liu, Z.; Zhang, H.; Tan, T.D. The impact of economic growth, industrial structure and urbanization on carbon emission intensity in China. Nat. Hazards 2014, 73, 579–595. [Google Scholar] [CrossRef]
  16. Fan, Y.; Liu, L.C.; Wu, G.; Wei, Y.M. Analyzing impact factors of CO2 emissions using the STIRPAT model. Environ. Impact Assess. Rev. 2006, 26, 377–395. [Google Scholar] [CrossRef]
  17. Zhang, N.; Yu, K.; Chen, Z. How does urbanization affect carbon dioxide emissions? A cross-country panel data analysis. Energy Policy 2017, 107, 678–687. [Google Scholar] [CrossRef]
  18. Zhang, W.; Xu, H. Effects of land urbanization and land finance on carbon emissions: A panel data analysis for Chinese provinces. Land Use Policy 2017, 63, 493–500. [Google Scholar] [CrossRef]
  19. Khan, K.; Su, C.W. Urbanization and carbon emissions: A panel threshold analysis. Environ. Sci. Pollut. Res. 2021, 28, 26073–26081. [Google Scholar] [CrossRef]
  20. Shahbaz, M.; Loganathan, N.; Muzaffar, A.T.; Ahmed, K.; Jabran, M.A. How urbanization affects CO2 emissions in Malaysia? The application of STIRPAT model. Renew. Sustain. Energy Rev. 2016, 57, 83–93. [Google Scholar] [CrossRef]
  21. Martínez-Zarzoso, I.; Maruotti, A. The impact of urbanization on CO2 emissions: Evidence from developing countries. Ecol. Econ. 2011, 70, 1344–1353. [Google Scholar] [CrossRef]
  22. Wang, S.; Li, C. The impact of urbanization on CO2 emissions in China: An empirical study using 1980–2014 provincial data. Environ. Sci. Pollut. Res. 2018, 25, 2457–2465. [Google Scholar] [CrossRef] [PubMed]
  23. Yu, B.; Wei, Y.M.; Gomi, K.; Matsuoka, Y. Future scenarios for energy consumption and carbon emissions due to demographic transitions in Chinese households. Nat. Energy 2018, 3, 109–118. [Google Scholar] [CrossRef]
  24. Wen, L.; Zhang, Z. Probing Energy-Related CO2 Emissions in the Beijing-Tianjin-Hebei Region Based on Ridge Regression Considering Population Factors. Pol. J. Environ. Stud. 2020, 29, 2413–2427. [Google Scholar] [CrossRef]
  25. Narayan, P.K.; Narayan, S. Carbon dioxide emissions and economic growth: Panel data evidence from developing countries. Energy Policy 2010, 38, 661–666. [Google Scholar] [CrossRef]
  26. Wang, D.; Nie, R.; Shi, H.-Y. Scenario analysis of China’s primary energy demand and CO2 emissions based on IPAT model. Energy Procedia 2011, 5, 365–369. [Google Scholar] [CrossRef]
  27. Jiang, Y.; Batool, Z.; Raza, S.M.F.; Haseeb, M.; Ali, S.; Zain Ul Abidin, S. Analyzing the Asymmetric Effect of Renewable Energy Consumption on Environment in STIRPAT-Kaya-EKC Framework: A NARDL Approach for China. Int. J. Environ. Res. Public Health 2022, 19, 7100. [Google Scholar] [CrossRef]
  28. Pan, C.; Wang, H.; Guo, H.; Pan, H. How do the population structure changes of China affect carbon emissions? An empirical study based on ridge regression analysis. Sustainability 2021, 13, 3319. [Google Scholar] [CrossRef]
  29. Asumadu-Sarkodie, S.; Owusu, P.A. Carbon dioxide emissions, GDP, energy use, and population growth: A multivariate and causality analysis for Ghana, 1971–2013. Environ. Sci. Pollut. Res. 2016, 23, 13508–13520. [Google Scholar] [CrossRef]
  30. Liu, L.C.; Wu, G.; Wang, J.N.; Wei, Y.M. China’s carbon emissions from urban and rural households during 1992–2007. J. Clean. Prod. 2011, 19, 1754–1762. [Google Scholar] [CrossRef]
  31. Papathanasopoulou, E. Household consumption, associated fossil fuel demand and carbon dioxide emissions: The case of Greece between 1990 and 2006. Energy Policy 2010, 38, 4152–4162. [Google Scholar] [CrossRef]
  32. Wang, Z.; Liu, W. Determinants of CO2 emissions from household daily travel in Beijing, China: Individual travel characteristic perspectives. Appl. Energy 2015, 158, 292–299. [Google Scholar] [CrossRef]
  33. Donglan, Z.; Dequn, Z.; Peng, Z. Driving forces of residential CO2 emissions in urban and rural China: An index decomposition analysis. Energy Policy 2010, 38, 3377–3383. [Google Scholar] [CrossRef]
  34. Lv, T.; Hu, H.; Zhang, X.; Xie, H.; Wang, L.; Fu, S. Spatial spillover effects of urbanization on carbon emissions in the Yangtze River Delta urban agglomeration, China. Environ. Sci. Pollut. Res. 2022, 29, 33920–33934. [Google Scholar] [CrossRef] [PubMed]
  35. Yang, T.; Wang, Q. The nonlinear effect of population aging on carbon emission-Empirical analysis of ten selected provinces in China. Sci. Total Environ. 2020, 740, 140057. [Google Scholar] [CrossRef]
  36. Sharif Ali, S.S.; Razman, M.R.; Awang, A. The nexus of population, growth domestic product growth, electricity generation, electricity consumption and carbon emissions output in Malaysia. Int. J. Energy Econ. Policy 2020, 10, 84–89. [Google Scholar] [CrossRef]
  37. Zeqiong, X.; Xuenong, G.; Wenhui, Y.; Jundong, F.; Zongbin, J. Decomposition and prediction of direct residential carbon emission indicators in Guangdong Province of China. Ecol. Indic. 2020, 115, 106344. [Google Scholar] [CrossRef]
  38. Wang, Z.; Liu, W.; Yin, J. Driving forces of indirect carbon emissions from household consumption in China: An input–output decomposition analysis. Nat. Hazards 2015, 75, 257–272. [Google Scholar] [CrossRef]
  39. Zhu, Q.; Peng, X. The impacts of population change on carbon emissions in China during 1978–2008. Environ. Impact Assess. Rev. 2012, 36, 1–8. [Google Scholar] [CrossRef]
  40. Hirano, Y.; Ihara, T.; Yoshida, Y. Estimating Residential CO2 Emissions based on DailyActivities and Consideration of Methods to Reduce Emissions. Build. Environ. 2016, 103, 1–8. [Google Scholar] [CrossRef]
  41. Wang, Q.; Zhou, P.; Zhao, Z.; Shen, N. Energy efficiency and energy saving potential in China: A directional meta-frontier DEA approach. Sustainability 2014, 6, 5476–5492. [Google Scholar] [CrossRef]
  42. Zongjie, D.; Shanliang, Z.; Wei, S.; Shulin, S. Study on energy consumption of hotel based on extended STIRPAT model. In Proceedings of the 2016 Chinese Control and Decision Conference (CCDC), Yinchuan, China, 28–30 May 2016; pp. 2052–2056. [Google Scholar] [CrossRef]
  43. Dietz, T.; Rosa, E.A. Rethinking the environmental impacts of population, affluence and technology. Hum. Ecol. Rev. 1994, 1, 277–300. [Google Scholar] [CrossRef]
  44. Wu, L.; Jia, X.; Gao, L.; Zhou, Y. Effects of population flow on regional carbon emissions: Evidence from China. Environ. Sci. Pollut. Res. 2021, 28, 62628–62639. [Google Scholar] [CrossRef] [PubMed]
  45. Fan, J.; Zhou, L.; Zhang, Y.; Shao, S.; Ma, M. How does population aging affect household carbon emissions? Evidence from Chinese urban and rural areas. Energy Econ. 2021, 100, 105356. [Google Scholar] [CrossRef]
  46. Wei, L.; Liu, Z. Spatial heterogeneity of demographic structure effects on urban carbon emissions. Environ. Impact Assess. Rev. 2022, 95, 106790. [Google Scholar] [CrossRef]
  47. Li, S.; Deng, H.; Zhang, K. The impact of economy on carbon emissions: An empirical study based on the synergistic effect of gender factors. Int. J. Environ. Res. Public Health 2019, 16, 3723. [Google Scholar] [CrossRef]
  48. Li, Q.; Wei, Y.N.; Dong, Y. Coupling analysis of China’s urbanization and carbon emissions: Example from Hubei Province. Nat. Hazards 2016, 81, 1333–1348. [Google Scholar] [CrossRef]
  49. Niu, D.; Wang, K.; Wu, J.; Sun, L.; Liang, Y.; Xu, X.; Yang, X. Can China achieve its 2030 carbon emissions commitment? Scenario analysis based on an improved general regression neural network. J. Clean. Prod. 2020, 243, 118558. [Google Scholar] [CrossRef]
  50. Fan, F.; Lei, Y. Factor analysis of energy-related carbon emissions: A case study of Beijing. J. Clean. Prod. 2017, 163, S277–S283. [Google Scholar] [CrossRef]
Figure 1. General framework of this study.
Figure 1. General framework of this study.
Sustainability 15 04079 g001
Figure 2. The change trends of some variables from 1997 to 2019.
Figure 2. The change trends of some variables from 1997 to 2019.
Sustainability 15 04079 g002
Figure 3. The natural logarithm sequence change trend of some variables from 1997 to 2019.
Figure 3. The natural logarithm sequence change trend of some variables from 1997 to 2019.
Sustainability 15 04079 g003
Figure 4. Ridge trace of Model 4 ridge regression (left) and determination coefficient change trend diagram (right).
Figure 4. Ridge trace of Model 4 ridge regression (left) and determination coefficient change trend diagram (right).
Sustainability 15 04079 g004
Figure 5. Ridge trace of Model 5 ridge regression (left) and change trend of decisive coefficient (right).
Figure 5. Ridge trace of Model 5 ridge regression (left) and change trend of decisive coefficient (right).
Sustainability 15 04079 g005
Figure 6. Ridge trace of Model 6 ridge regression (left) and change trend of decisive coefficient (right).
Figure 6. Ridge trace of Model 6 ridge regression (left) and change trend of decisive coefficient (right).
Sustainability 15 04079 g006
Figure 7. Ridge trace of Model 7 ridge regression (left) and change trend of decisive coefficient (right).
Figure 7. Ridge trace of Model 7 ridge regression (left) and change trend of decisive coefficient (right).
Sustainability 15 04079 g007
Figure 8. Ridge trace of Model 8 ridge regression (left) and change trend of decisive coefficient (right).
Figure 8. Ridge trace of Model 8 ridge regression (left) and change trend of decisive coefficient (right).
Sustainability 15 04079 g008
Figure 9. Changes in population of Guangdong from 1997 to 2019.
Figure 9. Changes in population of Guangdong from 1997 to 2019.
Sustainability 15 04079 g009
Figure 10. Changes in the proportion of the working population and elderly of Guangdong from 1997 to 2019.
Figure 10. Changes in the proportion of the working population and elderly of Guangdong from 1997 to 2019.
Sustainability 15 04079 g010
Figure 11. Changes in the urban and rural populations of Guangdong from 1997 to 2019.
Figure 11. Changes in the urban and rural populations of Guangdong from 1997 to 2019.
Sustainability 15 04079 g011
Figure 12. Changes in the education level of the population over 15 years old in Guangdong from 1997 to 2019.
Figure 12. Changes in the education level of the population over 15 years old in Guangdong from 1997 to 2019.
Sustainability 15 04079 g012
Figure 13. Changes in the education level of employed people of Guangdong from 1997 to 2019.
Figure 13. Changes in the education level of employed people of Guangdong from 1997 to 2019.
Sustainability 15 04079 g013
Figure 14. Changes in the household size in Guangdong from 1997 to 2019.
Figure 14. Changes in the household size in Guangdong from 1997 to 2019.
Sustainability 15 04079 g014
Figure 15. Change in marital status in Guangdong Province from 1997 to 2019.
Figure 15. Change in marital status in Guangdong Province from 1997 to 2019.
Sustainability 15 04079 g015
Figure 16. Population household separation in Guangdong Province from 1997 to 2019.
Figure 16. Population household separation in Guangdong Province from 1997 to 2019.
Sustainability 15 04079 g016
Figure 17. Changes in consumption level of Guangdong from 1997 to 2019.
Figure 17. Changes in consumption level of Guangdong from 1997 to 2019.
Sustainability 15 04079 g017
Figure 18. Changes in carbon emission intensity of Guangdong Province from 1997 to 2019.
Figure 18. Changes in carbon emission intensity of Guangdong Province from 1997 to 2019.
Sustainability 15 04079 g018
Table 1. STIRPAT model expression variable definition.
Table 1. STIRPAT model expression variable definition.
VariableMeaningDefinition
IEnvironmental pressureCarbon dioxide emissions
AWealth factorsConsumption level
TTechnical factorsCarbon emission intensity
P1Demographic factor 1Number of employed people in the primary industry
P2Demographic factor 2Number of employed people in the secondary industry
P3Demographic factor 3Number of employed people in the tertiary industry
P4Demographic factor 4Total population
P5Demographic factor 5Natural growth population
P6Demographic factor 6Proportion of population aged 15–64
P7Demographic factor 7Proportion of population over 65 years old
P8Demographic factor 8Number of urban population
P9Demographic factor 9Number of rural population
P10Demographic factor 10Proportion of population over 15 years old with college degree or above
P11Demographic factor 11Proportion of population over 15 years old with junior high school education
P13Demographic factor 13Proportion of employees with college degree or above
P14Demographic factor 14Proportion of employed persons with junior high school education or below
P15Demographic factor 15Proportion of 1 person/household
P16Demographic factor 16Proportion of households with more than 4 persons/household
P17Demographic factor 17Proportion of local population per household
P18Demographic factor 18Proportion of married population
Table 2. Least squares method significance test.
Table 2. Least squares method significance test.
ModelNon-Standardized CoefficientStandardized CoefficienttSignificanceCollinearity Statistics
BStandard ErrorBetaToleranceVIF
(constant)−10.4952.252 −4.6610
lnA−0.0710.167−0.123−0.4230.6780.004241.695
lnT0.4850.2270.4812.1330.0480.007145.779
lnP10.860.3060.1572.8110.0120.1128.955
lnP21.0020.1480.7696.76300.02736.973
lnP31.1090.2181.0025.08500.009111.18
Table 3. Ridge regression results of Model 4.
Table 3. Ridge regression results of Model 4.
Independent VariableRegression CoefficientStandard Regression CoefficientVariance Expansion Factorp
Constant−2.20680.00000.00000.0000
lnA0.14720.25620.45720.0000
lnT−0.1471−0.14610.84980.0000
lnP10.80200.14672.17270.0025
lnP20.61760.47391.87800.0000
lnP30.26090.23591.35640.0000
Table 4. Ridge regression results of Model 5.
Table 4. Ridge regression results of Model 5.
Independent VariableRegression CoefficientStandard Regression CoefficientVariance Expansion Factorp
Constant8.76000.00000.00000.0250
lnA0.19420.33821.18710.0000
lnT−0.0992−0.09850.99120.0197
lnP40.48910.19701.86850.0015
lnP5−0.3108−0.09431.06880.0298
lnP62.39880.36491.80000.0000
lnP70.52280.10701.03470.0139
Table 5. Ridge regression results of Model 6.
Table 5. Ridge regression results of Model 6.
Independent VariableRegression CoefficientStandard Regression CoefficientVariance Expansion Factorp
Constant13.56050.00000.00000.0000
lnA0.10910.19000.55810.0000
lnT−0.0806−0.08000.80620.0099
lnP80.30610.30281.60420.0000
lnP9−0.6624−0.25251.48330.0000
lnP100.09400.10411.13410.0053
lnP11−0.3167−0.07231.19120.0464
Table 6. Ridge regression results of Model 7.
Table 6. Ridge regression results of Model 7.
Independent VariableRegression CoefficientStandard Regression CoefficientVariance Expansion Factorp
Constant3.76960.00000.00000.0186
lnA0.17900.31161.23330.0000
lnT−0.1130−0.11220.75930.0090
lnP40.54020.21761.63530.0011
lnP150.10270.10650.82840.0160
lnP16−0.3584−0.17031.40000.0042
lnP18−2.7889−0.16420.85370.0007
Table 7. Ridge regression results of Model 8.
Table 7. Ridge regression results of Model 8.
Independent VariableRegression CoefficientStandard Regression CoefficientVariance Expansion Factorp
Constant9.01610.00000.00000.0624
lnA0.32600.56761.86840.0000
lnT−0.2242−0.22260.95180.0003
lnP130.14520.17051.38360.0113
lnP140.64800.23701.90710.0036
lnP17−0.6860−0.21901.99610.0074
Disclaimer/Publisher’s Note: The statements, opinions and data contained in all publications are solely those of the individual author(s) and contributor(s) and not of MDPI and/or the editor(s). MDPI and/or the editor(s) disclaim responsibility for any injury to people or property resulting from any ideas, methods, instructions or products referred to in the content.

Share and Cite

MDPI and ACS Style

Wen, F.; Sun, Z.; Luo, Y. Population Structure and Local Carbon Emission Reduction: Evidence from Guangdong, China. Sustainability 2023, 15, 4079. https://doi.org/10.3390/su15054079

AMA Style

Wen F, Sun Z, Luo Y. Population Structure and Local Carbon Emission Reduction: Evidence from Guangdong, China. Sustainability. 2023; 15(5):4079. https://doi.org/10.3390/su15054079

Chicago/Turabian Style

Wen, Fenghua, Zhanlin Sun, and Yu Luo. 2023. "Population Structure and Local Carbon Emission Reduction: Evidence from Guangdong, China" Sustainability 15, no. 5: 4079. https://doi.org/10.3390/su15054079

APA Style

Wen, F., Sun, Z., & Luo, Y. (2023). Population Structure and Local Carbon Emission Reduction: Evidence from Guangdong, China. Sustainability, 15(5), 4079. https://doi.org/10.3390/su15054079

Note that from the first issue of 2016, this journal uses article numbers instead of page numbers. See further details here.

Article Metrics

Back to TopTop