Organic Fertilization with Biofertilizer Alters the Physical and Chemical Characteristics of Young Cladodes of Opuntia stricta (Haw.) Haw.
Abstract
1. Introduction
2. Materials and Methods
2.1. Plant Material and Cultivation Conditions
2.2. Physical and Physical-Chemical Analyses
2.3. Nutritional Analyses
2.4. Respiratory Rate
2.5. Statistical Analyses
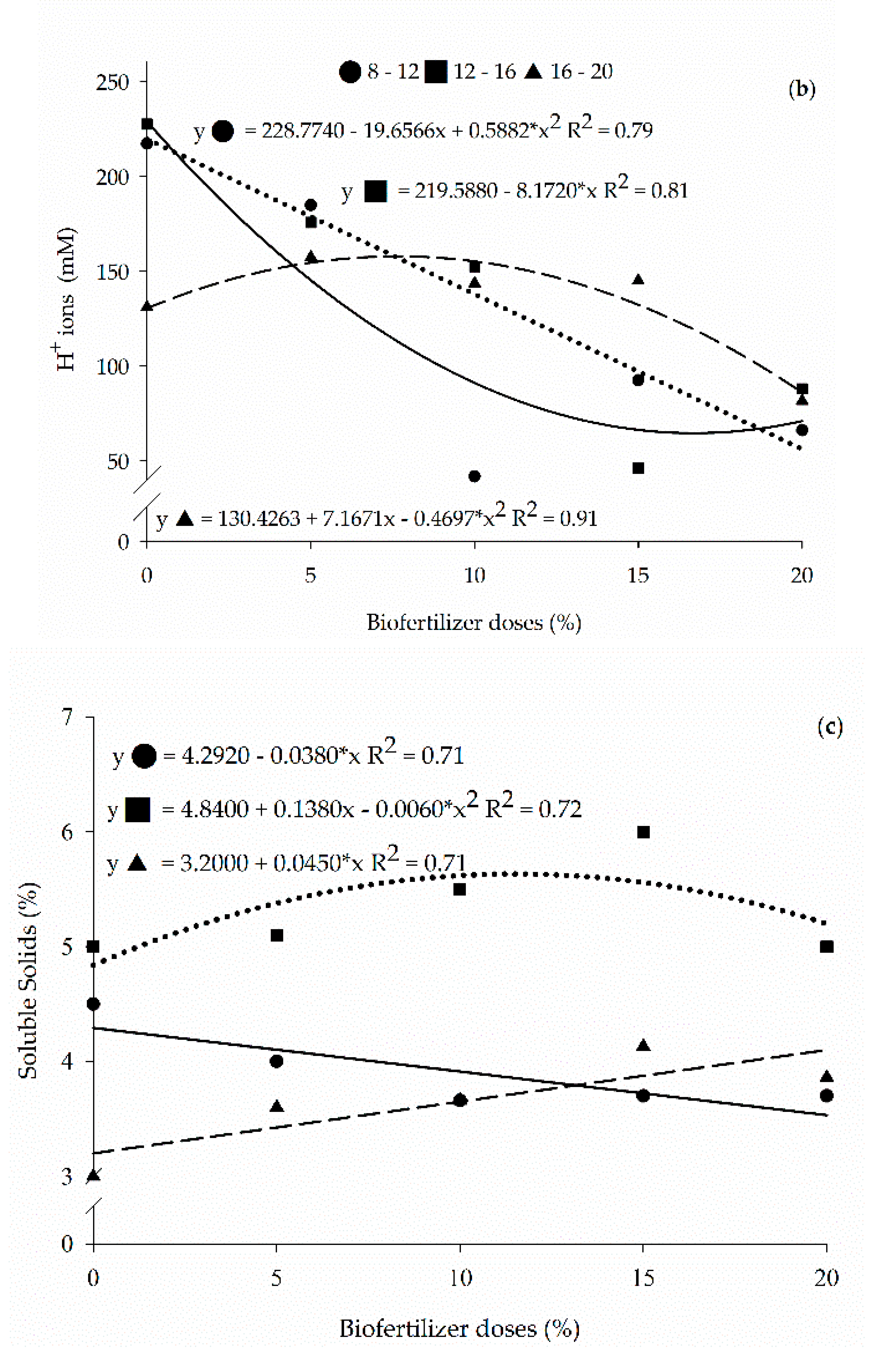
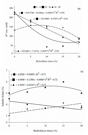
3. Results
4. Discussion
4.1. Underlying Drivers of Cactus Responses to Biofertilization
4.2. Human Nutrition
4.3. Management and Ideal Size of Cactus Cladodes for Human Consumption
5. Conclusions
Author Contributions
Funding
Institutional Review Board Statement
Informed Consent Statement
Data Availability Statement
Acknowledgments
Conflicts of Interest
References
- Silva, M.S.; Costa, F.B.; Formiga, A.S.; Nóbrega, J.S.; Brasil, Y.L.; Lira, R.P.; Silva, J.L.; Silva, K.G.; Sales, G.N.B.; Pereira, U.S.; et al. Qualitative assessment of early palm cladodes of Opuntia tuna L. (Mill) grown with organic manures. J. Exp. Agri. Int. 2018, 26, 1–14. [Google Scholar] [CrossRef]
- Almeida, H.A.; Soares, E.R.A.; Santos Neto, J.A.; Pinto, I.O. Social and productive indicators of forage palm and the survival of livestock activity in the semi-arid region of Northeastern Brazil. Asian J. Adv. Agri. Res. 2019, 10, AJAAR.49011. [Google Scholar] [CrossRef]
- Vasconcelos, A.G.V.; Lira, M.A.; Calvalcanti, V.L.B.; Santos, M.V.F.; Willadino, L. Seleção de clones de palma forrageira resistentes à cochonilha do carmim (Dactylopius ceylonicus). Rev. Bras. Zoot. 2009, 38, 827–831. [Google Scholar] [CrossRef]
- Food and Agriculture Organization of the United Nations (FAO). Ecologia del Cultivo, Manejo y Usos del Nopal; Inglese, P., Mondragon, C., Nefzaoui, A., Sáenz, C., Eds.; FAO: Rome, Italy, 2018; pp. 1–248. ISBN 978-92-5-130494-5. [Google Scholar]
- Lima, D.P.; Pereira, E.M.; Silva, N.J.P.; Magalhães, W.B.; Henrique, R.S. Qualidade pós-colheita em brotos de palma de diferentes cultivares. Rev. Ve. Agro. Des. Sust. 2017, 12, 280–283. [Google Scholar] [CrossRef]
- Vila Nova, S.R.M.; Barros, J.G.; Paixão, A.E.A.; Tonholo, J.; Uchoa, S.B.B. Palma forrageira: Seu uso em alimentação e novas oportunidades de negoçioes de elevado valor agregado. Cader. Pros. 2017, 10, 738–753. Available online: https://periodicos.ufba.br/index.php/nit/article/view/22939 (accessed on 4 September 2022). [CrossRef]
- Andreu, L.; Nuncio-Jáuregui, N.; Carbonell-Barrachina, Á.A.; Legua, P.; Hernández, F. Antioxidant properties and chemical characterization of Spanish Opuntia ficus-indica Mill. cladodes and fruits. J. Sci. Food Agric. 2018, 98, 1566–1573. [Google Scholar] [CrossRef]
- Diaz, M.S.S.; Rosa, A.-P.B.; Toussaint, C.H.; Guéraud, F.; Nègre-Salvayre, A. Opuntia spp: Characterization and benefits in chronic diseases. Oxi. Med. Cel. Long. 2017, 2017, 8634249. [Google Scholar] [CrossRef]
- de Figueredo, L.F.; Júnior, S.D.O.M.; de Figueredo, J.P.; da Silva, J.N.; de Sousa Ferreira, R.; Andrade, R. Desempenho agronômico de amendoim sob diferentes fontes e doses de biofertilizantes. Acta Iguazu 2018, 7, 17–26. [Google Scholar] [CrossRef]
- Assouline, S.; Narkis, K.; Gherabli, R.; Sposito, G. Combined effect of sodicity and organic matter on soil properties under long-term irrigation with treated wastewater. Vad. Zon. J. 2016, 15, 1–10. [Google Scholar] [CrossRef]
- Alves, L.S.; Véras, M.L.M.; Melo Filho, J.S.; Irineu, T.H.S.; Dias, T.J. Salinidade na água de irrigação e aplicação de biofertilizante bovino no crescimento e qualidade de mudas de tamarindo. Irriga 2019, 24, 254–273. [Google Scholar] [CrossRef]
- Xavier Junior, O.S.; Jardim, A.M.R.F.; Souza, L.S.B.; Souza, C.A.A.; Cruz Neto, J.F.; Araújo Júnior, G.N.; Leite, R.M.C.; Silva, T.G.F. Utilização de biofertilizantes alternativos no cultivo de palma forrageira: Uma revisão. Res. Soc. Dev. 2021, 10, e46110616024. [Google Scholar] [CrossRef]
- Garcete-Gómez, J.M.; Conforto, C.; Domínguez-Monge, S.; Flores-Sánchez, J.L.; Mora-Aguilera, G.; Michereff, S.J. Sample size for assessment of cladode brown spot in prickly pear cactus. Eur. J. Plant. Pathol. 2017, 149, 759–763. [Google Scholar] [CrossRef]
- Alves, H.K.M.N.; Jardim, A.M.R.F.; Souza, L.S.B.; Silva, T.G.F. The application of agrometeorological techniques contributes to the agricultural resilience of forage cactus: A review. Amazon. J. Plant Res. 2018, 2, 207–220. [Google Scholar] [CrossRef]
- Souza, F.M.; Lima, E.C.S.; Sá, F.V.S.; Souto, L.S.; Araújo, J.E.S.; Paiva, E.P. Doses de esterco de galinha e água disponível sob o desenvolvimento inicial de milho. Rev. Verde De Agroecol. E Desenvolv. Sustentável 2016, 11, 64–69. [Google Scholar] [CrossRef]
- Souza, F.M.; Pereira, W.E.; Dantas, J.S.; Nóbrega, J.S.; Lima, E.C.S.; Sá, F.V.S. Initial growth of Moringa oleifera Lam. as a function of poultry litter doses and granulometry. Pesqui. Agropecuária Trop. 2018, 48, 399–404. [Google Scholar] [CrossRef]
- Santos, H.G.; Jacomine, P.K.T.; Anjos, L.H.C.; Oliveira, V.A.; Lumbreras, J.F.; Coelho, M.R.; Almeida, J.A.; Araújo Filho, J.C.; Oliveira, J.B.; Cunha, T.J.F. Brazilian System of Soil Classification, 5th ed.; Embrapa: Brasília, Brazil, 2018; pp. 1–356. Available online: https://www.embrapa.br/solos/busca-de-publicacoes/-/publicacao/1094003/sistema-brasileiro-de-classificacao-de-solos (accessed on 15 September 2022).
- Institute, A.L. Métodos Físico-Químicos para Análises de Alimentos, 4th ed.; Instituto Adolf Luther: São Paulo, Brazil, 2008; pp. 1–1020. Available online: http://www.ial.sp.gov.br/ial/publicacoes/livros/metodos-fisico-quimicos-para-analise-de-alimentos (accessed on 15 August 2022).
- Waterhouse, A. Folin-Ciocalteu Micro Method for Total Phenol in Wine. 2018. Available online: http://www.waterhouse.ucdavis.edu/phenol/folinmicro.htm (accessed on 10 September 2022).
- Yemm, E.W.; Willis, A.J. The estimation of carbohydrates in plant extracts by anthrone. Bioch. J. 1954, 57, 508–515. [Google Scholar] [CrossRef]
- Lichtenthaler, H.K. Chloropkylls and carotenoids: Pigments of photosynthetic biomembranes. In Methods in Enzymology; Packer, L., Souce, R., Eds.; Academic Tress: London, UK, 1987; Volume 148, pp. 350–382. [Google Scholar]
- Crispim, J.E.; Martins, J.C.; Pires, J.C.; Rosolem, C.; Cavarani, C. Determinação da taxa de respiração em sementes de soja pelo método da titulação. Pesquisa Agropecuária Brasileira 1994, 29, 1517–1521. Available online: https://seer.sct.embrapa.br/index.php/pab/article/view/4203 (accessed on 12 September 2022).
- Silva, J.L.; Costa, F.B.; Nascimento, A.M.; Sousa, F.F.; Santos, K.P. Taxa respiratória de frutos de juazeiro (Ziziphus joazeiro Mart.) armazenado sob temperatura ambiente. Revista Verde de Agroecologia e Desenvolvimento Sustentável 2017, 12, 343–347. [Google Scholar] [CrossRef]
- Ferreira, D.F. Sisvar: A Guide for its Bootstrap procedures in multiple comparisons. Ciên. Agrotec. 2014, 38, 109–112. [Google Scholar] [CrossRef]
- Pinto, S.M.; Farias, V.F.S.; Costa, F.B. Avaliação dos aspectos físico e químicos de brotos de palma (Opuntia sp.) para o consumo humano. J. Bio. Pha. Agri. Man. 2019, 15, 1–8. Available online: https://www.semanticscholar.org/author/Stef%C3%A2nia-Morais-Pinto/2058979915 (accessed on 10 September 2022).
- Sáenz, C.; Berger, H.; Garcia, J.C.; Galletti, L.; Cortázar, V.G.; Higuera, I.; Mondragón, C.; Rodriguez-Félix, A.; Sepúlveda, E.; Varnero, M.T. Características y composición química de los nopales. Utilización agroindustrial del nopal. Roma: Fa. 2006, 162, 7–22. Available online: https://www.fao.org/3/a0534s/a0534s00.pdf (accessed on 15 September 2022).
- Galvão, T.H.B.; Costa, F.B.; Nascimento, A.M.; Brasil, Y.L.; Silva, Á.G.F.; Silva, K.G.; Santos, K.P.; Silva, J.L.; Silva, M.S.; Sales, G.N.B.; et al. Physico-chemical quality changes of young cladodes of “mexican elephant ear” minimally processed during refrigerated storage. J. Exp. Agri. Inter. 2018, 27, JEAI.44273. [Google Scholar] [CrossRef]
- Pereira, E.M.; Costa, F.B.; Formiga, A.S.; Sales, G.N.B.; Albuquerque, J.R.T.; Rocha, T.C. Physiology and postharvest quality of palm sprouts (Opuntia fícus-indica) harvested at different times. J. Exp. Agri. Int. 2018, 26, JEAI.44248. [Google Scholar] [CrossRef]
- Albuquerque, J.R.T.; Formiga, A.S.; Rocha, T.C.; Costa, F.B.; Gondim, A.R.O. Qualidade pós-colheita de beterraba submetida à adubação com biofertilizante fermentado. Revista Verde de Agroecologia e Desenvolvimento Sustentável 2015, 10, 41–46. [Google Scholar] [CrossRef]
- Farias, V.F.S. Evaluation of Development, Quality and Antioxidant Capacity in Palm Shoots (Opuntia sp.) for Human Consumption. Ph.D Thesis, Federal University of Campina Grande, Campina Grande, Brazil, 2013. Available online: http://dspace.sti.ufcg.edu.br:8080/xmlui/bitstream/handle/riufcg/709/VERL%C3%82NIA%20FAB%C3%8DOLA%20DE%20SOUSA%20FARIAS%20-%20DISS (accessed on 15 September 2022).
- Alves, F.A.L.; Andrare, A.P.; Bruno, R.L.; Silva, M.G.V.; Souza, M.F.V.; Santos, O.C. Seasonal variability of phenolic compounds and antioxidant activity in prickly pear cladodes of Opuntia and Nopalea genres. Food Sci. Technol. 2017, 36, 536–543. [Google Scholar] [CrossRef]
- Nóbrega, J.S.; Silva, I.C.M.; Silva, I.A.; Nobre, R.G.; Figueredo, F.R.A.; Souza, F.M.; Fátima, R.T.; Ferreira, J.T.A.; Nascimento, R.G.S. Malpighia emaginata D.C. Growth in several substrates and salt waters. J. Agri. Sci. 2018, 10, 352–361. [Google Scholar] [CrossRef]
- Awasthi, R.P.; Godara, R.K.; Kaith, N.S. Interaction effect of VA-mycorrhizae and Azotobacter inoculation on micronutrient uptake by peach seedlings. J. Hort. 1998, 11, 1–5. Available online: https://eurekamag.com/research/003/180/003180207.php (accessed on 15 September 2022).
- Kluge, R.A.; Nachegal, J.C.; Fachinello, J.C.; Bilhalva, A.B. Fisiologia e Manejo de Frutas de Clima Temperado, 2nd ed.; Livraria e Editora Rural: Campinas, Brazil, 2002; pp. 1–214. [Google Scholar]
- Anaya-Pérez, M.A.; History of the Use of Opuntia as Forage in Mexico. Food and Agriculture Organization. Available online: https://www.fao.org/3/y2808e/y2808e05.htm (accessed on 2 September 2022).
- Cavalcante, L.; Dewulf, A.; van Oel, P. Fighting against, and coping with, drought in Brazil: Two policy paradigms intertwined. Reg. Environ. Chang. 2022, 22, 111. [Google Scholar] [CrossRef]
- Ncebere, J.M.; Mbuthia, P.G.; Waruiru, R.M.; Gathumbi, P.K. Gross and Histopathology of Goats Feeding on Opuntia stricta in Laikipia County, Kenya. Vet. Med. Int. 2021, 8831996. [Google Scholar] [CrossRef]
- Kunyanga, C.N.; Vellingiri, V.; Imungi, K.J. Nutritional quality, phytochemical composition and health protective effects of an under-utilized prickly cactus fruit (Opuntia stricta Haw.) collected from Kenya. Afr. J. Fd Agric. Nutr. Develop. 2014, 14, 9561–9577. [Google Scholar] [CrossRef]
- Kampamba, M.; Ezeala, C.C.; Hikaambo, C.N.; Bwalya, A.G. Opuntia stricta (Haw): A review on its chemical composition, putative in-vitro antidiabetic mechanism of action and potential pharamacological uses in chronic disease. J. Pharm. Phytochem. 2022, 11, 1–8. [Google Scholar] [CrossRef]
- Izuegbuna, O.; Otunola, G.; Bradley, G. Chemical composition, antioxidant, anti-inflammatory, and cytotoxic activities of Opuntia stricta cladodes. PLoS ONE 2019, 14, e0209682. [Google Scholar] [CrossRef]
- Nova, S.; de, R.M.V.; Barros, J.G.; Paixão, A.E.A.; Tonholo, J.; Uchoa, S.B.B. Palma forrageira: Evidências de sua utilização econômica. Cad. Prospec. 2017, 10, 738–753. [Google Scholar] [CrossRef]
- FAO. Food and Agriculture Organization of the United Nations. Global Report on Food Crises 2017. 2017. Available online: https://www.wfp.org/publications/global-report-food-crisis-2017 (accessed on 10 September 2022).
- Amaral, S.M.B.; Almeida, A.P.F.; Marinho, R.M.O.; Silva, Y.Y.V.; Frota, M.M.; Damaceno, M.N. Utilização da palma forrageira na elaboração de produtos alimentícios: Uma revisão. Holos 2022, 1, 1–9. [Google Scholar] [CrossRef]
- Pessoa, R.M.S.; Pessoa, A.M.S.; Costa, D.C.C.C.; Silva, P.C.A.; Gois, G.C.; Campos, F.S.; Vicente, S.L.A.; Fereira, J.M.S.; Araújo, C.A.; Lima, D.O. Cactus pear: Organic and mineral fertilization. Res. Soc. Dev. 2022, 11, e12111334257. [Google Scholar] [CrossRef]
- Sales, A.T.; Alves, A.Q.; Ramos, J.P.F.; Nascimento, J.P.; Leite, M.L.M.V. Eficiência de Utilização da Adubação Orgânica pela Palma Forrageira em Função da Densidade Populacional. Rev. Científica de Produção Animal 2012, 14, 32–35. [Google Scholar] [CrossRef]
- Lédo, A.A.; Donato, S.L.R.; Aspiazu, I.; Silva, J.A.; Donato, P.E.R.; Carvalho, A.J. Nutrient concentration and nutritional efficiency in ‘Gigante’ cactus pear submitted to different spacings and fertilizations. Rev. Bras. de En. Agrícola e Ambient. 2020, 24, 154–161. [Google Scholar] [CrossRef]
- Soares, F.M.F.; Albuquerque, A.L.S.; Silva, W.R.T. Avaliação do crescimento vegetativo de palma forrageira no Semiárido Alagoano. Diversitas J. 2021, 6, 1777–1785. [Google Scholar] [CrossRef]
- Santos, A.I.V. Propriedades Biológicas e Aplicações dos Cladódios de Opuntia ficus-indica (L.) Mill. Master’s Thesis, Pharmaceutical Sciences—Universidade do Algarve Faculdade de Ciências e tecnologia, Algarve, México, 21 December 2016; pp. 1–76. Available online: https://core.ac.uk/reader/92441160 (accessed on 2 February 2023).
- Apodaca-Pérez, J.M.; Martínez-Miranda, M.L.; Robles-Burgueño, M.D.; Féliz, A.R. Polifenoloxidasa, fenoles totales y oscurecimiento de nopal verdura. Rev. Mex. Cienc. Agríc. 2016, 7, 531–543. [Google Scholar] [CrossRef]
- Maki-Díaz, G.; Péna-Valdivia, C.B.; García-Nava, R.; Arévalo-Galarza, M.L.; Calderón-Zavala, G.; Anaya-Rosales, S. Caracteristicas físicas y químicas de nopal verdura (Opuntia ficus-indica) para exportacion y consumo nacional. Agrociencia 2015, 49, 31–51. Available online: https://www.redalyc.org/pdf/302/30236850003.pdf (accessed on 4 September 2022).
- Toivonen, P.M.A.; Brummell, D.A. Biochemical bases of appearance and texture changes in fresh-cut fruit and vegetables. Postharvest Biol. Technol. 2008, 48, 1–14. [Google Scholar] [CrossRef]
- Calvo-Arriaga, A.O.; Hernández-Montes, A.; PeñaValdivia, C.B.; Corrales-García, J.; Aguirre-Mandujano, E. Preference mapping and rheological properties of four nopal (Opuntia spp.) cultivars. J. Prof. Assoc. Cactus Develop. 2010, 12, 127–142. [Google Scholar] [CrossRef]
- Peña-Valdivia, C.B.; Trejo, C.; Arroyo-Peña, V.B.; Sánchez Urdaneta, A.B.; Morales, A.B. Diversity of unavailable polysaccharides and dietary fiber in domesticated nopalito and cactus pear fruit (Opuntia spp.). Chem. Biodivers. 2012, 9, 1599–1610. [Google Scholar] [CrossRef] [PubMed]
- Reyes-Agüero, J.A.; Aguirre, J.R.; Hernández, H.M. Systematic notes and a detailed description of Opuntia ficus-indica (L.) Mill. (Cactaceae). Agrociencia 2005, 39, 395–408. [Google Scholar]
- Kumar, K.; Singh, D.; Singh, R.S. Cactus Pear: Cultivation and Uses; Technical Bulletin No. 73; ICAR-Central Institute for Arid Horticulture: Rajasthan, India, 2018; pp. 1–38. Available online: https://krishi.icar.gov.in/jspui/bitstream/123456789/17886/1/Cactus%20pear%20Cultivation%20and%20uses.pdf (accessed on 5 February 2023).














| Chemical and Physical Characteristics * | |||||||||
|---|---|---|---|---|---|---|---|---|---|
| Sample | N | P | K+ | Ca2+ | Mg2+ | Na | OM | EC | pH |
| % | mg/dm3 | mg/dm3 | mg/dm3 | g/dm3 | dS/m | (H2O) | |||
| Biofertilizer | 0.2 | 546.6 | 8844.1 | 3.3 | 1.1 | 5.54 | 79.4 | 7.9 | 9.7 |
| Chemical and Physical Characteristics * | |||||||||
|---|---|---|---|---|---|---|---|---|---|
| Soil Type of Eutrophic Fluvic Neosol (RYve) | P | K+ | Ca2+ | Mg2+ | Na | SB | CEC | OM | pH |
| mg/dm3 | cmolc/dm3 | g/kg | (H2O) | ||||||
| 0–0.2 m depth | 148.9 | 263.7 | 3.0 | 1.34 | 0.07 | 5.09 | 6.42 | 7.1 | 7.6 |
| Variation Sources | Degrees of Freedom | Medium squares | |||
|---|---|---|---|---|---|
| Longitudinal Diameter | Transverse Diameter | Thickness | Fresh Mass | ||
| Doses (D) | 4 | 262.9 ** | 106.02 ** | 0.013 ** | 32,118.6 ** |
| Length (C) | 2 | 1.24 * | 10.76 ** | 0.12 ** | 1907.9 ** |
| D × C | 8 | 0.77 ns | 2.08 ns | 0.0059 * | 608.3 * |
| Residue | 28 | 0.38 | 2.17 | 0.0022 | 219.6 |
| Average | 14.94 | 10.85 | 0.63 | 75.6 | |
| Coefficient of Variation (%) | 4.14 | 13.6 | 7.53 | 19.6 | |
| Variation Sources | Degrees of Freedom | Medium Squares | |||||
|---|---|---|---|---|---|---|---|
| pH | H+ | AT | SS | SS/TA | AA | ||
| Doses (D) | 4 | 0.10 ** | 4951.2 ** | 0.0099 ns | 1.02 ** | 0.98 ** | 28.25 ** |
| Length (C) | 2 | 0.28 ** | 22,189.3 ** | 0.054 ns | 7.65 ** | 6.65 ** | 17.01 ** |
| D × C | 8 | 0.11 ** | 5776.7 ** | 0.058 ns | 1.18 ** | 1.22 ** | 9.36 ** |
| Residue (error) | 28 | 0.0012 | 125.79 | 0.035 | 0.086 | 0.099 | 0.62 |
| Average | 2.93 | 129.98 | 1.73 | 4.18 | 2.45 | 19.47 | |
| Coefficient of Variation (%) | 0.59 | 8.63 | 10.1 | 7.02 | 12.84 | 4.06 | |
| Variation Sources | Degrees of Freedom | Medium Squares | |||||
|---|---|---|---|---|---|---|---|
| Clo a | Clo b | Clo Total | Car | Phnl.comp. | Total Sugars | ||
| Doses (D) | 4 | 0.014 ** | 0.021 ** | 18,863.1 ** | 2797.2 ** | 1.85 ** | 0.016 ** |
| Length (C) | 2 | 0.10 ** | 0.058 ** | 286,522.4 ** | 2357.1 ** | 2.65 ** | 0.013 ** |
| D × C | 8 | 0.012 ** | 0.027 ** | 67,914.7 ** | 258.27 ** | 0.60 ** | 0.026 ** |
| Residue (error) | 28 | 0.00015 | 0.00020 | 367.45 | 6.11 | 0.0071 | 0.000010 |
| Average | 0.53 | 0.52 | 1057.5 | 60.1 | 8.10 | 0.21 | |
| Coefficient of Variation (%) | 2.33 | 2.76 | 1.81 | 4.12 | 1.04 | 1.48 | |
Disclaimer/Publisher’s Note: The statements, opinions and data contained in all publications are solely those of the individual author(s) and contributor(s) and not of MDPI and/or the editor(s). MDPI and/or the editor(s) disclaim responsibility for any injury to people or property resulting from any ideas, methods, instructions or products referred to in the content. |
© 2023 by the authors. Licensee MDPI, Basel, Switzerland. This article is an open access article distributed under the terms and conditions of the Creative Commons Attribution (CC BY) license (https://creativecommons.org/licenses/by/4.0/).
Share and Cite
Silva, M.S.; Nóbrega, J.S.; Santos, C.C.; Costa, F.B.; Abreu, D.C.; Silva, W.M.; Hoshide, A.K.; Gomes, F.A.L.; Pereira, U.S.; Linné, J.A.; et al. Organic Fertilization with Biofertilizer Alters the Physical and Chemical Characteristics of Young Cladodes of Opuntia stricta (Haw.) Haw. Sustainability 2023, 15, 3841. https://doi.org/10.3390/su15043841
Silva MS, Nóbrega JS, Santos CC, Costa FB, Abreu DC, Silva WM, Hoshide AK, Gomes FAL, Pereira US, Linné JA, et al. Organic Fertilization with Biofertilizer Alters the Physical and Chemical Characteristics of Young Cladodes of Opuntia stricta (Haw.) Haw. Sustainability. 2023; 15(4):3841. https://doi.org/10.3390/su15043841
Chicago/Turabian StyleSilva, Márcio S., Jackson S. Nóbrega, Cleberton C. Santos, Franciscleudo B. Costa, Daniel C. Abreu, Wininton M. Silva, Aaron Kinyu Hoshide, Fernando A. L. Gomes, Ulisses S. Pereira, Jéssica A. Linné, and et al. 2023. "Organic Fertilization with Biofertilizer Alters the Physical and Chemical Characteristics of Young Cladodes of Opuntia stricta (Haw.) Haw." Sustainability 15, no. 4: 3841. https://doi.org/10.3390/su15043841
APA StyleSilva, M. S., Nóbrega, J. S., Santos, C. C., Costa, F. B., Abreu, D. C., Silva, W. M., Hoshide, A. K., Gomes, F. A. L., Pereira, U. S., Linné, J. A., & Scalon, S. P. Q. (2023). Organic Fertilization with Biofertilizer Alters the Physical and Chemical Characteristics of Young Cladodes of Opuntia stricta (Haw.) Haw. Sustainability, 15(4), 3841. https://doi.org/10.3390/su15043841

