Abstract
Residential buildings have become one of the leading sectors in the energy refurbishment process towards the clean energy transition. Energy Performance Certificates (EPCs), based on the asset rating calculation method, are often used to quantify the energy performance in standard conditions before and after renovation, but their energy outcomes can significantly differ from the actual energy consumption and savings. More consistent results can be obtained by adopting a “tailored” approach, capable of considering more the actual building operation conditions and users’ behaviour. In this framework, the study evaluates the heating energy needs of Italian representative multi-family houses in all the climatic zones and five retrofitting scenarios with both asset and tailored ratings. Finally, a cost–benefit analysis, based on energy savings and interventions costs, is also carried out to assess the affordability of the refurbishment actions depending on the adopted calculation methods. The analysis of retrofitting scenarios highlighted that asset energy outcomes are generally slightly greater than the tailored ones (differences of around 3–13% on average), but the affordability of the chosen energy efficiency measures is significantly overrated. It could underline the need to adopt the tailored approach for more accurate energy savings assessment and economic evaluation.
1. Introduction
Nowadays, the European and World situation in terms of climate and environmental challenges requires particular attention to reduce energy consumption and improve energy efficiency in the main driven sectors, such as industries, transport, and buildings.
The objectives of the European Union (EU) are becoming more and more ambitious so that the European Commission has recently proposed to raise the target of greenhouse gas emissions reduction from 40% to at least 55% by 2030 with respect to 1990 levels to achieve climate neutrality by 2050 [1]. According to [2], among the major emitting countries, the EU together with the United Kingdom, has significantly reduced fossil CO2 emissions that were 25.1% lower in 2019 with respect to 1990. On the other hand, the other polluting countries have increased them: United States and Japan by 0.8 and 0.4%, respectively; and China and India, respectively, by 3.8 and 3.3 times more in 2019 than in 1990, due to industry and economic development. Focused strategies aimed at reducing the emissions in the most energy-intensive sectors were put in place to achieve this important target; in particular, the building sector is one of the main energy consumers in Europe [3], mainly due to the obsolescence of the buildings. The operation of buildings in 2021 accounted for 30% of the global final energy consumption, and buildings were responsible for 27% of the total energy sector emissions [4]. To achieve Net Zero Emissions by 2050, carbon emissions need to halve by 2030 through the wide use of more energy measures and clean technologies, such as highly insulated building envelopes, heat pumps, district energy, and so on [4]. However, despite the transition to other energy and renewable sources, fossil fuels still accounted for 35% of the total building demand in 2021.
The EU has promoted many initiatives to reach the objective of the decarbonization of the whole building stock by 2050 and the European Commission has launched “A Renovation Wave for Europe” [5] within the European Green Deal [6]. This program aims to double annual energy renovation rates in the next ten years, reducing consumption and emissions, improving people’s living conditions, and creating new job opportunities. Moreover, the National Long-Term Strategies [7] have the main function of helping the economic transformation and to achieve the sustainable development goals, with a perspective of at least 30 years, highlighting the objective of renovation in the building sector. Finally, the revised buildings energy performance directive (EPBD) [8] focuses on the energy renovation of existing buildings and upgrading the existing regulatory framework, and aims at more resilient, modern, and accessible building stock. Among the new proposals, one of the main measures is to increase the reliability, quality, and digitalization of the Energy Performance Certificates (EPCs).
EPCs are the most useful tools to evaluate the energy performance of buildings in standard conditions and to have energy information on national building stocks [9,10,11].
They are fundamental both for the quantification and monitoring of the energy consumption of building stock and the forecasting of energy savings derived by retrofitting and renovation in future energy planning. As Pasichnyi et al. [11] stated from the recognition of the scientific literature, the most common application of the EPC is mapping building energy performance (43%), whilst the issue of building retrofitting covers 22% of the papers analyzed.
Each member state has developed different approaches, but one of the main objectives is to promote improvements in building energy performance and to reduce carbon emissions. The EPC determines the decision to make building renovation interventions, as confirmed by a survey carried out in twelve European countries where 73% of respondents consider EPC to be an important driver for building renovation [10,12]. Different methods exist for the assessment of building energy performance. On the one hand, the asset rating is based on the characteristics of the building fabric and its services (such as heating, DHW, etc.), starting from standard climate and operational conditions. It requires knowledge of building characteristics and considers the primary energy needs for different services (space heating, cooling, lighting, etc.) starting from local climate data for net energy needs assessment [13,14]. However, it does not provide information on how the buildings are used and work. On the other hand, the operational rating method [14] focuses on the actual energy consumption, based on the energy delivered to the buildings, and considers the actual user habits and the functioning profiles of plant systems and equipment [14], resulting in a detailed energy audit of the building.
In this regard, Semple and Jenkins [13] demonstrated that significant variations exist in the methods used to assess the energy consumption in residential buildings in the six largest European Countries (UK, France, Germany, Spain, Italy, and Poland). Firstly, energy consumption and thermal properties of the residential building stock vary across the countries; secondly, the method of actual consumption guarantees the best match of the result with the actual situation, but it is used only in three countries (France, Germany, and Poland).
Many studies have found out that the gap between the standard method and the actual one could reach up to 30% [13]. For example, in Germany, Sunikka-Blank and Galvin [15] demonstrated that the measured consumption tends to be on average 30% below the calculated energy performance ratings (EPR) due to assumptions in energy rating algorithms and diversity in heating patterns. This difference increases from 17 to 60% as the EPR increases from 150 kWh/m2y to 500 kWh/m2y. For EPR below 100 kWh/m2y, the result goes into reverse and the buildings consume more than the calculated EPR, in the so-called “rebound effect”. It follows that the potential for energy and economic savings could be less than the estimated one.
The uncertainty in the estimation of energy performance could lead, in the case of the estimation of the energy retrofitting results, to uncertainty in the assessment of the achievable energy savings. The overestimation of the consumption before renovation leads to the consequent overvaluation of the potential energy and economic savings after renovation. However, the study carried out by Cozza et al. [16] established that despite a negative average thermal performance gap of 23% between theoretical and actual energy consumption (smaller than the first one) in the pre-retrofit buildings, after the intervention, the prediction of EPC becomes more reliable with a positive gap of only 2%. In addition, if it is considered as the Energy Savings Deficit Regulatory (ESDr), defined as the difference between theoretical savings and actual savings, divided by the theoretical savings, then it rises with the improvement in label, and the energy savings are about half of the theoretical ones. This indicator overestimates the savings by 37% with respect to the actual situation. The Energy Savings Deficit Anticipated (ESDa), defined as the difference between theoretical savings and anticipated savings, divided by the theoretical savings, has an opposite trend with label improvement and decreases with a difference of 3.6% with respect to the actual savings. According to the authors, it reveals that a deep retrofit causes lower energy savings than the expected theoretical ones, but higher energy savings than shallow interventions of renovation. It could also be an indicator of renovation quality.
Nevertheless, the asset rating remains in many countries, such as Italy, the adopted calculation approach for EPC and the most useful method in the case of a lack of information and data related to the buildings. The issue of overestimation could be overcome using a tailored approach that assumes more realistic profiles for representing users’ behavior and the functioning of plant systems and equipment. Many studies consider occupant behavior as an influential factor for the uncertainty of energy building performance [17] further remarked upon after the COVID-19 pandemic [18]. According to Gram-Hassend and Georg [19] the occupants’ behavior in the different types of residential buildings affects energy consumption, depending also on the building characteristics. Even Menezes et al. [20] affirm that the problem of discrepancy in the energy performance of the current modelling methods could be their inability to represent realistic building operation and use. It could depend on the inadequate hypothesis about occupant behavior and the control of plant systems and appliances. In fact, people affect the energy and thermal performance of buildings not only in terms of internal gains but also with their actions (operation of the air conditioning and control devices for heating, domestic hot water (DHW) consumption, ventilation, and so on) [21]. Evaluating accurate scenarios could enhance the assessment of building energy performance before and after retrofitting [22,23].
In this framework, the present paper aims at evaluating the impact of asset rating and tailored rating approaches on energy measures’ assessment used to renovate national building stock. As demonstrated above, asset rating tends to overestimate the heating consumption of existing buildings, so the work arises with the aim to quantify the energy savings and economic impact derived by energy retrofitting measures and understand if they can be affected by the calculation method. In fact, based on the literature review, it was highlighted that the main issue of the asset rating is the low accuracy of energy outcomes, whilst the tailored rating is generally applied only for energy audits allowing the return of reliable energy results. Nevertheless, no applications of this method as an alternative tool to the asset one, using standardized but more reliable user profiles, can be found. Therefore, the present paper is a first attempt to fill this gap; in particular, more reliable user profiles were defined and used in order to check the possibility of substituting the standard calculation (asset rating) with the tailored approach, i.e., by adopting conventional but more reliable user profiles. Hence, this work could be a first step to reducing the gap between EPC outcomes and actual consumption.
This goal was reached introducing several reference multi-family houses on the basis of national buildings’ background and representative of common national buildings built before the 90s, i.e., buildings that should be renovated due to their poor energy performance. The analysis was performed in six selected cities representative of the national climatic zones, and the primary energy need was assessed with both calculation method approaches. In particular, standard evaluation (asset rating), i.e., the one adopted in EPCs, and tailored assessment based on real user profiles were performed. The most common scenarios of retrofitting actions were evaluated and the comparison between the different results were carried out for different solutions. Finally, the economic evaluation based on energy saving was obtained in order to assess the affordability of the interventions depending on the used calculation methods and to check if it is possible to improve the accuracy of the energy and economic evaluation using standard but more reliable user profiles.
2. Materials and Methods
2.1. Research Procedure
To achieve the goal of the work, a detailed research procedure (Figure 1) was planned. Firstly, several reference buildings representative of national building stock were defined with thermal properties typical of existing buildings built before the 1990s; this kind of analysis was based on data provided by the National Institute of Statistics [24] and on a recent study carried out by Italian National Agency for New Technologies, Energy and Sustainable Economic Development (ENEA) [25], applying the same approach adopted in a recent work [26].
Figure 1.
Research procedure for the energy performance assessment of reference buildings and economic evaluation.
In particular, multi-family houses (MFHs) with a different number of floors were defined and considered as representative case studies for the current work. The same MFHs were also used for analyzing the most widespread retrofitting actions over the country focusing the attention on the building envelope and air conditioning plant systems’ improvement and deriving five different retrofitting scenarios to be analysed.
Six representative cities, one for each climatic zone, were also chosen and energy simulations were performed by adopting two different calculation approaches: asset rating and tailored rating. Both methods are provided in Italy by Ministerial Decree 2015 [27] and technically detailed by Italian Standardization Body (UNI) in the Technical Specification (TS) 11300 [28,29,30,31,32] and they adopt the same energy balance of energy losses (through the building envelope and due to the ventilation) and heat gains (solar contribution and internal gains) with a monthly step. The first method (asset rating) is used in standard energy assessments such as the one carried out with Energy Performance Certificates (EPCs), whilst the second one has to be adopted when energy audits are performed. The main difference between these two approaches consists of the possibility to define user behaviour that could be much closer to a real condition in tailored rating evaluation, such as by using more reliable outdoor climatic conditions, user profiles, and heating operating hours. Nevertheless, because of the lack of real outdoor climate data over the country, standard climate conditions are also used in tailored rating assessments.
The achieved results for the reference buildings and the different analyzed retrofitting scenarios were finally compared in order to evaluate the increase in the energy performance for each solution with respect to the current state and to assess the differences between the two adopted methods in terms of energy results. Finally, an economic analysis was carried out to estimate the affordability of the proposed interventions and their variation depending on the adopted calculation methods.
2.2. Reference Buildings’ Definition
Reference multi-family houses were studied based on data provided by National Institute of Statistics [24] and the national building stock background as investigated in a previous study [25]. The analysis highlighted that the building stock of Italy has poor energy performance on average since 87% of them were built before 1991 and predominantly before 1976 (67% of the total sample).
Furthermore, around 80% of building units are in multi-family houses (MFH), generally small or large condominiums, and their net surface mainly varies in range of 50–150 m2 on average (Figure 2). In particular, based on data provided by National Institute of Statistics, the mean representative net surface of building units placed in MFH is about 85 m2 since the sample data mainly fall in 60–79 m2 (33.4%), 80–99 m2 (22.5%), 100–119 m2 (11.6%), 50–59 m2 (10.8%), 120–149 m2 (8.0%), and 40–49 m2 (7.8%) ranges. Greater (around 150 m2) or smaller (around 35 m2) surfaces seem to be less widespread over the country (less than 6% of the sample).
Figure 2.
Net surfaces of building units located in multi-family houses (MFH): elaboration from data provided by National Institute of Statistics [24].
The report by ENEA [25] carried out a thorough study of the thermal properties of building envelopes based on the year of construction of buildings. As described, they mainly depend on thermal insulation or wall materials, as well as on their thickness. In particular, buildings built before 1991, corresponding to the year in which the second and most important Italian energy regulation for buildings was issued, were generally built without or with a small thickness (up to 2 cm) of thermal insulation materials; therefore, their thermal properties, and specifically their thermal transmittance, can significantly vary from 0.75 W/m2K up to 3.5 W/m2K on the basis of wall materials and opaque components. The same consideration can be used for transparent surfaces; however, their thermal transmittance is less variable, mainly between 2.0 and 2.7 W/m2K [25].
The information about the used heating system was taken by the same study [25], where the database of the National Institute of Statistics was integrated with data from Informative System on Energy Performance Certificates (SIAPE in Italian) and contains more than 2 million EPCs at the national level. According to this research, the most representative heating system used in existing buildings consists of standard (around 58%) or condensing (around 30%) boilers; other heating systems such as heat pumps are less widespread over the country and mainly used in new constructions. Moreover, natural gas represents the main energy carrier used for heating (more than 70% of the sample).
The reference building unit was thus defined based on the aforementioned premises. It is rectangular, with a net surface equal to 85 m2, and a windows’ surface equal to 10.8 m2 (it has been greater or equal to 1/8 of the net surface according to national regulation [33]).
The mean thermal properties shown in Table 1 were set for the reference configuration for which a standard boiler powered by natural gas (nominal power equal to 26.3 kW and energy efficiency of 0.93), operating at high temperature (i.e., with radiators as emission system), was considered since it is the most widespread solution over the country.
Table 1.
Mean thermal transmittance values set for the reference configuration.
For the present study, reference buildings were defined considering four building units per floor and varying the number of floors from three to nine floors.
Geometrical characterization of the defined reference buildings is detailed in Table 2 in terms of net surfaces, net heated volume, and total surface area comprehensive of external wall, ceiling, and roof areas, depending on the different number of floors.
Table 2.
Net geometrical characterization of reference buildings.
Based on the reference configuration, five scenarios of building renovation were chosen on the basis of the most widespread retrofitting solutions at national level [34]:
- Scenario n. 1 (S1): It consists of heating generator replacement. Specifically, the existing standard boiler was replaced with condensing boiler having nominal power of 26.7 kW and energy efficiency in 0.97–1.05 range;
- Scenario n. 2 (S2): It consists of building envelope refurbishment through thermal insulation of external walls, reducing the thermal transmittance of building envelope up to the standard values provided by national regulation depending on the climatic zone [27];
- Scenario n. 3 (S3): It consists of the combination of scenario n. 1 (heating generator substitution with condensing boiler) and n. 2 (building envelope refurbishment through thermal insulation of external walls);
- Scenario n. 4 (S4): It consists of heating generator replacement with condensing boiler (scenario n. 1), building envelope refurbishment through thermal insulation of external walls (scenario n. 2), and replacement of existing emission system (radiators) with radiant panels;
- Scenario n. 5 (S5): It consists of heating generator replacement with a heat pump (power of 11 kW and coefficient of performance (COP) of 3.92 at 7 °C cold source and 35 °C warm source), building envelope refurbishment through thermal insulation of external walls (strategy n. 2), and replacement of existing emission system with radiant panels.
Table 3 summarizes each scenario.
Table 3.
Main energy retrofitting measures for each energy scenario.
Energy simulations were thus performed in six cities, one for each climatic zone. They were chosen because of their representativeness in terms of number of building units, population, and climatic outdoor conditions (expressed with Heating Degree Days—HDD). Lampedusa (568 HDD), Catania (833 HDD), Naples (1034 HDD), Rome (1415 DD), Milan (2404 HDD), and Cuneo (3012 HDD), located as shown in Figure 3, were selected.
Figure 3.
Geographical distribution of selected cities and climatic zone identification based on Heating Degree Day (HDD) values.
Energy simulations were carried out using the two calculation methods (asset and tailored ratings) for all the refence buildings and the five refurbishment scenarios.
According to previous study [25], the main influent parameter that differs between asset rating and tailored rating consists of operating hours of the heating systems since (i) real outdoor climatic conditions are not always available, (ii) standard climatic conditions are generally used for both calculation methods, (iii) internal heat gains have small variation and influence on energy need in monthly calculation method in existing and poorly insulated buildings.
Specifically, in the asset rating (EPC), the heating system works until the energy need of buildings is satisfied, whilst in the tailored one, actual operating hours per day of the heating system should be set. For this reason, whilst in asset rating a standard user profile was used as defined in EPC assessment, for the tailored evaluation, three unconventional user heating operating profiles were defined based on national database [24], report [25], and regulation [27]:
- Profile n. 1 (Ph-min): Corresponding to the minimum values of heating operating hours for each climatic zone evaluated on the basis of [24,25];
- Profile n. 2 (Ph-average): Corresponding to the average and common values of heating operating hours for each climatic zone evaluated on the basis of [24,25];
- Profile n. 3 (Ph-max): Corresponding to the maximum values of heating operating hours for each climatic zone provided by the law [27].
All the user profiles adopted are detailed in Table 4 for each climatic zone. It is worth noting that only for F climatic zone, the national regulation [27] does not provide any heating operating limit; however, it was set equal to 16 h based on human habits according to previous work [25].
Table 4.
User profiles definition: operating heating hours adopted in asset and tailored ratings for each climatic zone.
Based on energy savings obtained for each calculation method and retrofitting action, the affordability of each intervention was finally assessed carrying out an economic assessment based on the Net Present Value (NPV) evaluated for each calculation approach, heating operating profile defined for tailored rating, and retrofitting scenario. NPV values were estimated according to Equation (1) after 10, 15, and 20 years, considering an interest rate (i) of 3.7%, corresponding to a discount rate (j) of around 0.79%. The costs of the interventions and energy carriers are reported in the more appropriate unit of measurement in Table 5 and Table 6, respectively. For each retrofitting scenario, the intervention cost (I0) and the economic savings (FC0) were assessed for each considered period (n), namely from 1 to 20 years.
Table 5.
Costs for each retrofitting action used for NPV evaluation.
Table 6.
Costs for each energy carrier used for NPV evaluation [35].
3. Results and Discussion
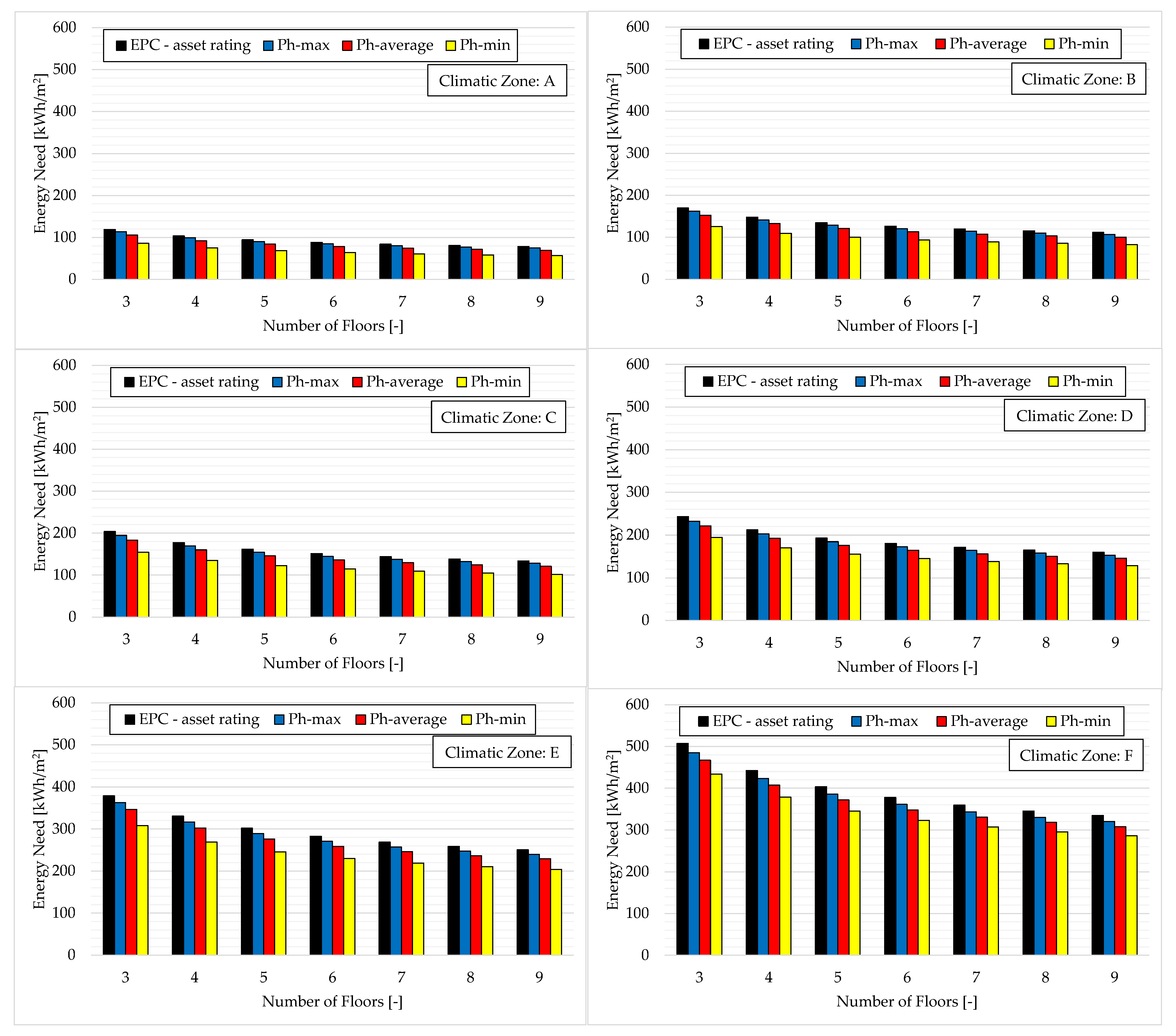
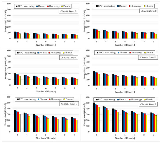
Energy consumptions related to reference buildings (namely with poor thermal and energy performance) are shown in Figure 4; specifically, the comparison of primary energy needs between standard outcomes (EPC—asset rating) and tailored ones (Ph-min, Ph-average, Ph-max) was reported. The greatest difference with the standard calculation was obviously obtained when the lowest heating operating profile (Ph-min indicated with yellow bars) was used. It was +37.6 kWh/m2 on average (around +24.4 kWh/m2 on average for the warmest climatic zone A and around +52.6 kWh/m2 on average for the coldest zone F). Furthermore, considering a step of 20 kWh/m2, the differences found in each climatic zone can be grouped in three ranges: A and B fall into the first one ranged around 15–35 kWh/m2, C and D fall into the second one (around 30–50 kWh/m2), whilst the coldest zones fall into 45–65 kWh/m2 on average. On the other hand, the maximum profile provided by national regulation (Ph-max indicated with blue bars) returned a mean difference with EPC of about 8.4 kwh/m2 on average with greatest values in zone F (20 kWh/m2) and the smallest in A and B zones (about 3.0 kWh/m2). In this case, if a step of 20 kWh/m2 is considered, the differences found in all climatic zones fall into the same range around 3–23 kWh/m2. Nevertheless, also for Ph-max, the differences depend, in a smaller way, on the climatic zone and number of floors of buildings; in fact, they are up to +2–3 kWh/m2 in all the climatic zones except for the coldest one (F) for which twice the difference can be found. Considering the most probable heating operating profile (Ph-average), the mean difference is around +17.1 kWh/m2, and it tends to significantly increase with the severity of climatic conditions (around 28.8 kWh/m2 in the F zone). Considering a step of 20 kWh/m2, the differences found in each climatic zone can be grouped into two ranges: A, B, C, and D fall into around the 8–28 kWh/m2 range, whilst E and F into around 28–48 kWh/m2.
Figure 4.
Primary energy need difference between asset and tailored evaluation, normalized for the net surface of reference buildings: energy outcomes for the reference buildings (from 1 to 9 floors).
These results highlight that the energy need estimated with the standard procedure (asset rating) is always greater than the tailored one, even when the highest heating operating profile is considered, under the same climatic conditions and indoor air temperature.
Going on with the analysis of the reference buildings and the proposed energy refurbishment scenarios, the results become more and more interesting. In particular, the comparison of energy consumptions (related to reference configuration) and of energy savings obtained with each energy retrofitting scenario assessed with both asset and tailored ratings, is highlighted in Figure 5. Specifically, Figure 5(1) shows the same comparison of the energy consumptions already described in Figure 4 but without distinguishing for the climatic zone and the number of floors; it allows highlighting that the lower the energy consumption, the lower the difference between the asset (indicated with black line) and tailored ratings. The comparisons of the energy savings returned with retrofitting scenarios are reported from Figure 5(2–6); the red symbols represent the results obtained with Ph-min, the blue one the Ph-max, whilst the green symbols are related to Ph-average. Results related to the standard evaluation are highlighted both in abscissa and with black lines.
Figure 5.
Energy consumptions of the reference configuration (1) and energy savings for each energy scenario (from (2–6)): comparison between asset rating and tailored rating.
Apparently, a great divergence between asset and tailored ratings seems to be easily found for the scenario n. 1 but the order of magnitude of the absolute differences (Δabs) found for both Ph-max and Ph-average is the same for all the scenarios (around 3–20 kWh/m2); only for scenario n. 5 a lower Δabs was found (around 3–12 kWh/m2) probably due to a different kind of heating generation system (heat pump). On the other hand, Δabs obviously tends to increase for Ph-min; the lowest values were found for scenario n. 1 (around 3–12 kWh/m2), whilst for all the other retrofitting scenarios it falls into the 18–56 kWh/m2 range.
The figures highlighted that the more energy consumption of buildings, the more the Δabs, but the difference in relative terms (Δrel) is lower. When implementing energy retrofitting scenarios capable of significantly reducing the energy need of buildings (from scenario n. 2 to scenario n. 5), the energy savings returned by the tailored assessment are lower but close to the standard one (black line), indicating that the error returned by applying this calculation approach could be neglected in these energy configurations. On the other hand, when implementing energy retrofitting scenarios with fewer energy saving impacts, such as the replacement of an existing boiler (scenario n. 1), a significant divergence between asset and tailored ratings can be found, emphasizing the lower accuracy of the standard approach for this kind of scenario.
The trend found for the maximum operating heating profile (Ph-max) provided interesting findings; on the one hand, it fits the existing buildings since it allows the perfect coverage of their monthly energy need. On the other one, it is generally too high for buildings with small energy needs since the new constructions commonly require lower energy needs than older buildings. The consequence could be a slight overestimation of the energy savings related to scenario n. 1 but a great convergence of results related to the other scenarios between the asset and tailored ratings for insulated buildings.
Finally, according to Figure 5, the standard evaluation seems able to lead to reliable outcomes when the energy need of a building is small or when the user profile tends to Ph-max; nevertheless, it could also be considered reliable when the user profile tends to Ph-min but only in the coldest climatic zones. In fact, in this case, the relative error falls into around the 10–18% range.
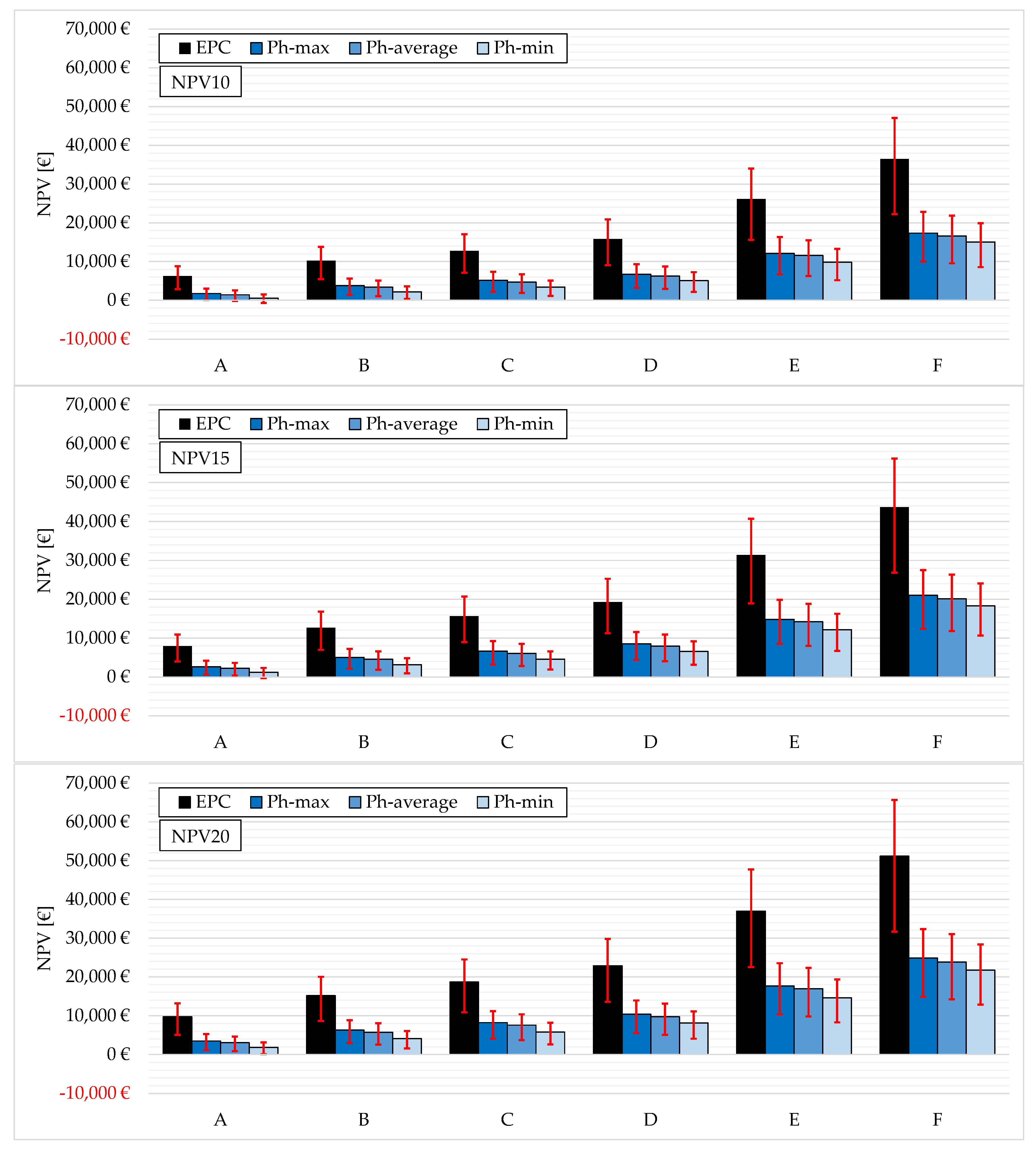
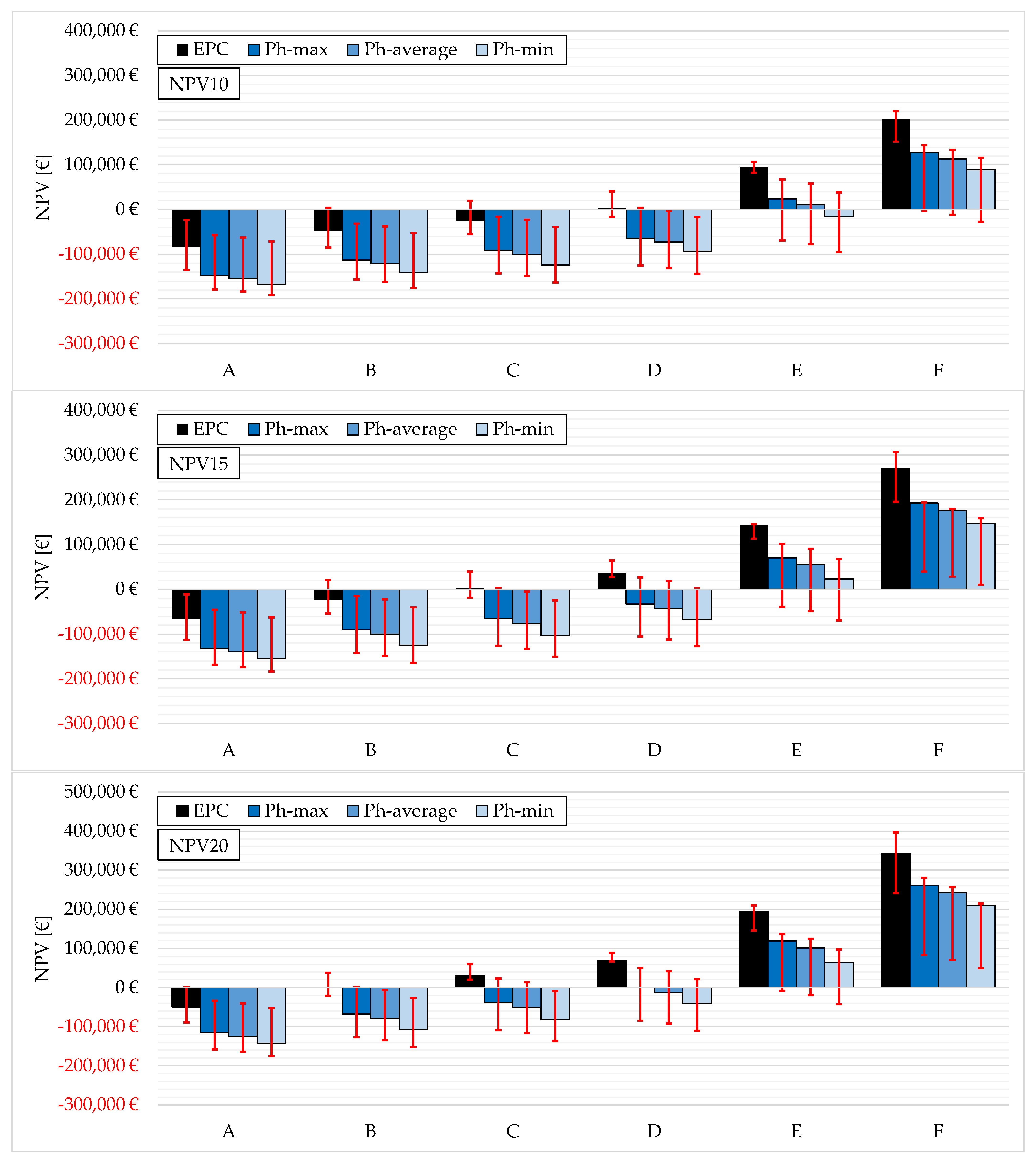
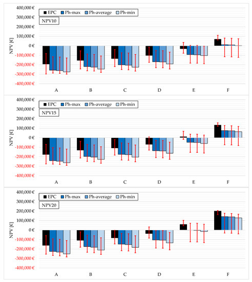
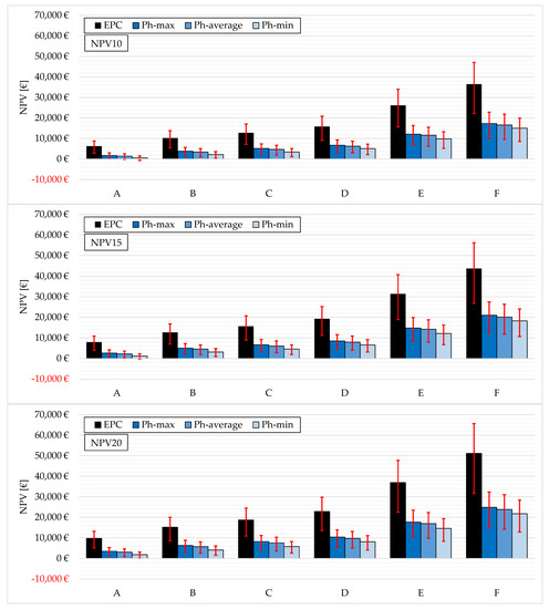
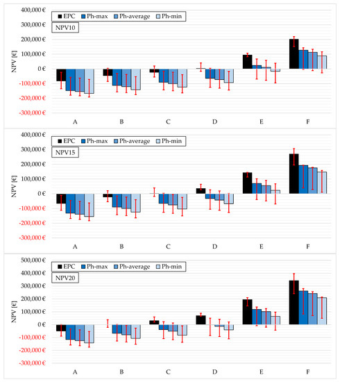
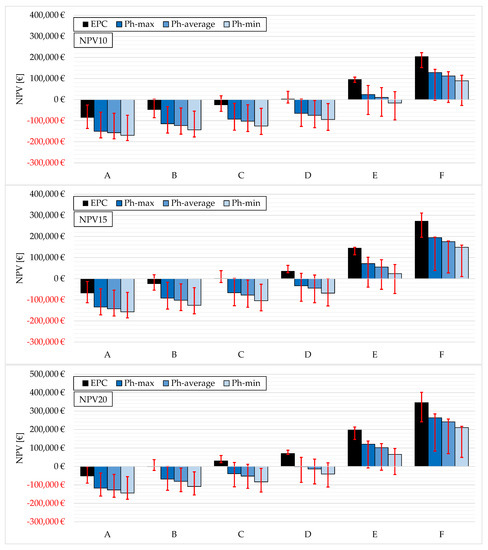
Based on the energy assessment, an economic analysis was finally performed calculating the NPV for each scenario, after 10 (NPV-10), 15 (NPV-15), and 20 (NPV-20) years. The results are reported for each scenario in Figure 6, Figure 7, Figure 8, Figure 9 and Figure 10 highlighting negative NPV values in red, whilst the positive ones are in black. The NPV was calculated for each reference building, also considering the number of floors; for the clarity of discussion, the bars represent the mean NPVs obtained for all the configurations, whilst the red lines represent the minimum (related to building with 3 floors) and the maximum (related to 9 floors) NPVs.
Figure 6.
Mean NPV after 10, 15, and 20 years for each calculation method (asset and tailored rating) and profile (standard, Ph-max, Ph-average, and Ph-min): scenario n. 1.
Figure 7.
Mean NPV after 10, 15, and 20 years for each calculation method (asset and tailored rating) and profile (standard, Ph-max, Ph-average, and Ph-min): scenario n. 2.
Figure 8.
Mean NPV after 10, 15, and 20 years for each calculation method (asset and tailored rating) and profile (standard, Ph-max, Ph-average, and Ph-min): scenario n. 3.
Figure 9.
Mean NPV after 10, 15, and 20 years for each calculation method (asset and tailored rating) and profile (standard, Ph-max, Ph-average, and Ph-min): scenario n. 4.
Figure 10.
Mean NPV after 10, 15, and 20 years for each calculation method (asset and tailored rating) and profile (standard, Ph-max, Ph-average, and Ph-min): scenario n. 5.
All these figures show a very interesting comparison between the asset and tailored approaches for each energy retrofitting scenario, and specifically:
- Scenario n. 1: The replacement of an existing boiler evaluated with asset rating led to a significant overestimation of the NPV. After 10 years, the standard approach overestimates NPV-10 values of Ph-max by around twice up to triple depending on the climatic zone. Similar overestimation can be found for the average profile (Ph-average), whilst the Δrel ranges around 59% and 93% for the lowest one (Ph-min). It is worth noting that the greatest Δrel are always found for the warmer climatic zones. These discrepancies tend to slightly decrease with an increase in the NPV calculation years, up to 65% after 20 years in zone A and 52% in F compared with Ph-max. Furthermore, the same order of magnitude of Δrel is found for all the tailored profiles in the coldest climatic zone (around 55% ± 3%), whilst it tends to slightly increase in the warmest (around 73% ± 9%). All the calculation approaches led to mean positive NPVs, pointing out the good affordability of this scenario on average, although the overestimation was obtained with the standard approach. Nevertheless, if small buildings, namely on three floors, and Ph-min are considered, this action can lead to negative NPVs in the warmest climatic zone (A), indicating its reduced affordability;
- Scenario n. 2: Thermal insulation of external walls led to bigger NPVs than scenario n. 1 confirming its greater impact. Relevant food for thought can be highlighted: firstly, the affordability of this action within 20 years was reached only in a few climatic zones with both of the approaches, emphasizing the need for a longer period of time. Moreover, D zone represents the breaking point between the two calculation methods. In fact, whilst the standard approach already led to positive NPVs after just 10 years (around EUR +18300 on average), negative NPVs were always found with the tailored approach. Anyway, negative NVPs could also be possible with the standard method if small buildings were investigated. Moreover, it is worth noting that the lower the operating heating profile, the lower the NPVs and, consequently, the affordability of the intervention. Furthermore, all the approaches allowed highlighting of the lower affordability of these kinds of actions in the warmer climatic zones because of the lower energy needs of buildings;
- Scenario n. 3: A similar trend was found to that for scenario n. 2 for this action because of the smaller influence of heating system replacement on NPV calculation than the thermal insulation of external walls. Nevertheless, the affordability found in all the climatic zones with both calculation approaches is slightly higher than scenario n. 2, but zone D remains the breaking point between the asset and tailored ratings, as explained for scenario n. 2;
- Scenario n. 4: The convenience significantly decreases with respect to the previous scenarios because of the greater initial investment cost. In this case, the breaking point between the two calculation methods can be represented by zone E, although the standard method also provides negative NPVs after 10 years. All the approaches allowed emphasizing the lower affordability of this kind of action in the warmer climatic zones because of the lower energy needs of buildings at the same intervention cost. It is worth noting that for small condominiums, the affordability of this action can also fail even after 20 years in zone F because of the smallest energy savings;
- Scenario n. 5: This represents the best energy efficiency solutions to implement for building refurbishment, but it requires the greatest intervention cost. The results allowed asserting the same considerations in place for previous scenarios implementing thermal insulation on external walls. In fact, its affordability by 20 years can be reached only in the coldest climatic zone (F), whilst in the other ones, only the standard assessment allowed obtaining positive NVPs. Nevertheless, the breaking point shifted, resulting in it being between E and F zones. As in previous scenarios, it is worth noting that: (i) the lower the operating heating profile, the lower the NPVs, namely, the affordability of the interventions, and (ii) the affordability is lower in the warmer climatic zones because of the smaller energy needs of buildings.
According to these results, the standard assessment seems to overestimate the affordability of each energy scenario, especially when thermal insulation of external walls is implemented within the energy actions.
4. Conclusions
The present work aimed at evaluating the differences between two calculation approach (asset and tailored rating) for the assessment of energy consumption and savings in buildings highlighting the higher reliability of the tailored method than the standard calculation, in both energy and economic evaluation. Hence the tailored approach could also be a useful tool for the decisional process in building renovation in order to guarantee more accurate results and reliable environmental conditions. This study is a first attempt to apply tailored rating as an alternative tool to the asset rating by adopting conventional user profiles that are more reliable than the standard conditions. It arises due to the need for a more reliable energy calculation method in the energy building assessment. More accurate assessment of the energy performance of buildings both for the current state and energy refurbishment is also necessary in agreement with the new EPBD objective that aims to reach the energy Class D for all the existing building stock by 2033. This is a challenging goal that can be addressed by developing a reliable calculation method that gives a well-founded description of the energy consumption of buildings.
The goal of this work was to focus the attention on the evaluation of the current state and different widespread retrofitting scenarios in order to estimate the gap between the two methods and establish which is more reliable in the case of it being impossible to conduct an accurate energy audit with actual energy consumptions. To reach this goal, the energy performance of Italian representative multi-family buildings, varying the number of floors, was calculated with both asset and tailored ratings in all the Italian climatic zones. Moreover, five different retrofitting scenarios were evaluated adopting common energy measures. The primary energy need was calculated. A comparison between the results by different approaches was obtained for all the solutions. Finally, an economic evaluation was carried out through a cost–benefit analysis considering energy savings and investment costs in order to assess the affordability of the interventions depending on the adopted calculation methods.
The main findings are listed below:
- The analysis of the reference buildings in the current state revealed that the asset rating generally overestimates the energy consumption with respect to the tailored rating approach, at the same boundary conditions. The greatest difference was obtained between the asset rating and the Ph-min tailored rating in all the climatic zones with an average value of +37.6 kWh/m2, followed by the Ph-average (+17.1 kWh/m2) and Ph-max tailored rating (+8.4 kWh/m2). Moreover, considering the most realistic profile, namely Ph-average, the difference between the asset and tailored rating in the reference buildings increases in the coldest climatic zones;
- Regarding retrofitting scenarios, the energy finding is that as the energy efficiency increases, the energy need decreases and the difference between the two methods narrows. Whilst in the scenario n. 1 (the lower energy efficiency scenario), the relative variation between asset and tailored ratings is around 13% on average, in the other more energy efficient scenarios, this range significantly decreases (around 4% on average). In other words, standard evaluation can provide reliable energy outcomes in the case of highly efficient buildings (i.e., with low energy needs). Nevertheless, the tailored approach returns a more accurate assessment. The discrepancy between the considered heating operating profiles (Ph-max, Ph-average, Ph-min) decreases with the increase in energy refurbishment scenarios (14% for scenario n. 1, 3–4% for all the other scenarios);
- According to the economic analyses, the use of the tailored approach, even if with conventional user profiles, could represent a more valuable and accurate solution to be used as an alternative tool to the asset rating. In fact, even if the asset rating tends to return comparable energy outcomes, it tends to significantly overestimate the affordability (in terms of Net Present Value) of each energy strategy. For the scenario n. 1, both of the methods return positive values, indicating the good affordability of this solution even if the NPV is twice that in the asset rating. Conversely, a breaking point can be highlighted in all the other scenarios depending on the climatic zones. In particular, under the same conditions and scenarios, the two approaches could return negative (tailored) and positive (asset) NPV values mainly in D and E zones, indicating an important issue in the affordability assessment. In these cases, the tailored approach should be preferred to asset rating.
Future improvements in the research will include the analysis of different types of buildings and an attempt to adopt a wide variety of user profiles. This could fit the actual building operation and people behaviour better, to make the analysis on the energy performance gap between asset and tailored ratings more accurate. In fact, this outcome can also be considered extremely useful in the decisional process related to the building renovation, in the case of a lack of actual consumption information or to make more reliable forecasting about energy savings and economic affordability.
Author Contributions
Conceptualization, D.P. and S.D.T.; methodology, D.P. and S.D.T.; energy software and validation, D.P.; formal analysis, D.P. and S.D.T.; investigation, D.P. and S.D.T.; resources, D.P. and S.D.T.; data curation, D.P. and S.D.T.; writing—original draft preparation, D.P. and S.D.T.; writing—review and editing, D.P. and S.D.T.; visualization, D.P. and S.D.T.; supervision, D.P. and S.D.T. All authors have read and agreed to the published version of the manuscript.
Funding
This research received no external funding.
Institutional Review Board Statement
Not applicable.
Informed Consent Statement
Not applicable.
Data Availability Statement
Energy simulations are based on the ENEA study (2019) [24], whilst data elaboration is from a new design analysis carried out consistently with the aim of the study. All the data are available upon request to the corresponding author.
Conflicts of Interest
The authors declare no conflict of interest.
Nomenclature
| CO2 | carbon dioxide |
| COP | coefficient of performance |
| DHW | domestic hot water |
| DM | Ministerial Decree |
| ENEA | Italian National Agency for New Technologies, Energy and Sustainable Economic Development |
| EPBD | energy performance of buildings directive |
| EPC | Energy Performance Certificate |
| EPR | energy performance ratings |
| EU | Europe Union |
| FC | economic savings |
| HDD | Heating Degree Days |
| i | interest rate |
| I | intervention cost |
| j | discount rate |
| k | year |
| MFH | multi-family house |
| n | years |
| NPV | Net Present Value |
| P | Profile |
| S | Scenario |
| SIAPE | Informative System on Energy Performance Certificates |
| TS | Technical Specification |
| UNI | Italian Standardization Body |
| Greek Symbol | |
| Δ | difference |
| subscripts | |
| abs | absolute |
| average | average value |
| h | heating |
| max | maximum value |
| min | minimum value |
| rel | relative |
References
- European Commission. Communication from the Commission to the European Parliament, the Council, the European Economic and Social Committee and the Committee of the Regions, Stepping up Europe’s 2030 Climate Ambition. Investing in a Climate-Neutral Future for the Benefit of Our People, COM/2020/562 Final. Available online: https://eur-lex.europa.eu/legal-content/EN/TXT/PDF/?uri=CELEX:52020DC0562&from=EN (accessed on 15 January 2023).
- Crippa, M.; Guizzardi, D.; Muntean, M.; Schaaf, E.; Solazzo, E.; Monforti-Ferrario, F.; Olivier, J.G.J.; Vignati, E. Fossil CO2 Emissions of All World Countries—2020 Report; EUR 30358 EN; Publications Office of the European Union: Luxembourg, 2020; ISBN 978-92-76-21515-8. [CrossRef]
- European Commission, Directorate-General for Communication. Making Our Homes and Buildings Fit for a Greener Future; Publications Office; European Commission: Brussels, Belgium, 2021. [Google Scholar] [CrossRef]
- IEA. Buildings; Tracking Report—September 2022; IEA: Paris, France, 2022; Available online: https://www.iea.org/reports/buildings (accessed on 6 October 2022).
- European Commission. Communication from the Commission to the European Parliament, the Council, the European Economic and Social Committee and the Committee of the Regions. A Renovation Wave for Europe—Greening Our Buildings, Creating Jobs, Improving Lives. Brussels, 14.10.2020 COM(2020) 662 Final. Available online: https://eur-lex.europa.eu/legal-content/EN/TXT/?qid=1603122220757&uri=CELEX:52020DC0662 (accessed on 6 October 2022).
- Communication from the Commission to the European Parliament, the Council, the European Economic and Social Committee and the Committee of the Regions. The European Green Deal. Brussels, 11.12.2019 COM(2019) 640 Final. Available online: https://ec.europa.eu/info/strategy/priorities-2019-2024/european-green-deal_en (accessed on 6 October 2022).
- European Commission. National Long-Term Strategies. EU Countries’ Long-Term Strategies to Meet Their Paris Agreement Commitments and the Energy Union Objectives. Available online: https://ec.europa.eu/info/energy-climate-change-environment/implementation-eu-countries/energy-and-climate-governance-and-reporting/national-long-term-strategies_en (accessed on 6 October 2022).
- European Commission. Proposal for a Directive of the European Parliament and of the Council on the Energy Performance of Buildings (Recast). Brussels, 15.12.2021 COM (2021) 802 Final 2021/0426 (COD). Available online: https://eur-lex.europa.eu/legal-content/EN/TXT/?uri=CELEX%3A52021PC0802&qid=1641802763889 (accessed on 6 October 2022).
- Buildings Performance Institute Europe. Energy Performance Certificates across Europe: From Design to Implementation. 2010. Available online: https://www.bpie.eu/wp-content/uploads/2015/10/BPIE_EPC_report_2010.pdf (accessed on 11 October 2022).
- Li, Y.; Kubicki, S.; Guerriero, A.; Rezgui, Y. Review of building energy performance certification schemes towards future improvement. Renew. Sustain. Energy Rev. 2019, 113, 109244. [Google Scholar] [CrossRef]
- Pasichnyi, O.; Wallin, J.; Levihn, F.; Shahrokni, H.; Kordas, O. Energy performance certificates—New opportunities for data-enabled urban energy policy instruments? Energy Policy 2019, 127, 486–499. [Google Scholar] [CrossRef]
- Charalambides, A.G.; Maxoulis, C.N.; Kyriacou, O.; Blakeley, E.; Soto Frances, L. The impact of Energy Performance Certificates on building deep energy renovation targets. Int. J. Sustain. Energy 2019, 38, 1–12. [Google Scholar] [CrossRef]
- Semple, S.; Jenkins, D. Variation of energy performance certificate assessments in the European Union. Energy Policy 2022, 137, 111127. [Google Scholar] [CrossRef]
- Arcipowska, A.; Anagnostopoulos, F.; Mariottini, F.; Kunkel, S. Energy Performance Certificate across the EU. A Mapping of National Approaches, Buildings Performance Institute Europe (BPIE), October 2014. Available online: https://bpie.eu/wp-content/uploads/2015/10/Energy-Performance-Certificates-EPC-across-the-EU.-A-mapping-of-national-approaches-2014.pdf (accessed on 16 January 2023).
- Sunikka-Blank, M.; Galvin, R. Introducing the prebound effect: The gap between performance and actual energy consumption. Build. Res. Inf. 2012, 40, 260–273. [Google Scholar] [CrossRef]
- Cozza, S.; Chambers, J.; Deb, C.; Scartezzini, J.L.; Schlüter, A.; Patel, M.K. Do energy performance certificates allow reliable predictions of actual energy consumption and savings? Learning from the Swiss national database. Energy Build. 2020, 224, 110235. [Google Scholar] [CrossRef]
- Yan, D.; O’Brien, W.; Hong, T.; Feng, X.; Gunay, H.B.; Tahmasebi, F.; Mahdavi, A. Occupant behavior modeling for building performance simulation: Current state and future challenges. Energy Build. 2015, 107, 264–278. [Google Scholar] [CrossRef]
- Palladino, D.; Di Turi, S.; Nardi, I. Energy and environmental effects of human habits in residential buildings due to COVID-19 outbreak scenarios in a dwelling near Rome. Energies 2021, 14, 7408. [Google Scholar] [CrossRef]
- Gram-Hanssen, K.; Georg, S. Energy performance gaps: Promises, people, practices. Build. Res. Inf. 2018, 46, 1–9. [Google Scholar] [CrossRef]
- Menezes, A.C.; Cripps, A.; Bouchlaghem, D.; Buswell, R. Predicted vs. actual energy performance of non-domestic buildings: Using post-occupancy evaluation data to reduce the performance gap. Appl. Energy 2012, 97, 355–364. [Google Scholar] [CrossRef]
- Martinaitis, V.; Zavadskas, E.K.; Motuzienė, V.; Vilutienė, T. Importance of occupancy information when simulating energy demand of energy efficient house: A case study. Energy Build. 2015, 101, 64–75. [Google Scholar] [CrossRef]
- Faitão Balvedi, B.; Ghisi, E.; Lamberts, R. A review of occupant behaviour in residential buildings. Energy Build. 2018, 174, 495–505. [Google Scholar] [CrossRef]
- Guerra-Santin, O.; Bosch, H.; Budde, P.; Konstantinou, T.; Boess, S.; Klein, T.; Silvester, S.J.E.E. Considering user profiles and occupants’ behaviour on a zero energy renovation strategy for multi-family housing in the Netherlands. Energy Effic. 2018, 11, 1847–1870. [Google Scholar] [CrossRef]
- National Institute of Statistics. National Census of the Population, Buildings, Energy Consumptions. 2011. Available online: http://dati.istat.it/ (accessed on 23 November 2022). (In Italian)
- Palladino, D.; Pagliaro, F.; Del Fatto, V.; Lavinia, C.; Margiotta, F.; Colasuonno, L. State of the Art of National Building Stock and Energy Performance Certification (EPC) Analysis. RdS/PTR2019/037. 2019. Available online: https://www.enea.it/it/Ricerca_sviluppo/documenti/ricerca-di-sistema-elettrico/adp-mise-enea-2019-2021/tecnologie-efficienza-risparmio-edifici/report-rds_ptr_2019_037.pdf (accessed on 5 December 2022). (In Italian).
- Scrucca, F.; Palladino, D. Integration of energy simulations and life cycle assessment in building refurbishment: An affordability comparison of thermal insulation materials through a new sustainability index. Sustainability 2023, 15, 1412. [Google Scholar] [CrossRef]
- Government of the Italian Republic. Interministerial Decree 26 June 2015—Application of the Energy Performance Calculation Methods and Definition of Prescriptions and Minimum Requirements of Buildings. Official Gazette of the Italian Republic N. 39. 2015. Available online: https://www.gazzettaufficiale.it/eli/gu/2015/07/15/162/so/39/sg/pdf (accessed on 19 July 2022). (In Italian)
- UNI TS 11300-1; Italian Standardization Body—Technical Specification. Energy Performance of Buildings—Part 1: Evaluation of Energy Need for Space Heating and Cooling. Ente Nazionale Italiano di Unificazione (UNI): Milano, Italy, 2014. (In Italian)
- UNI TS 11300-2; Italian Standardization Body. Energy Performance of Buildings—Part 2: Evaluation of Primary Energy Need and of System Efficiencies for Space Heating, Domestic Hot Water Production, Ventilation and Lighting for Non-Residential Buildings. Ente Nazionale Italiano di Unificazione (UNI): Milano, Italy, 2019. (In Italian)
- UNI TS 11300-3; Italian Standardization Body. Energy Performance of Buildings—Part 3: Evaluation of Primary Energy and System Efficiencies for Space. Ente Nazionale Italiano di Unificazione (UNI): Milano, Italy, 2010. (In Italian)
- UNI TS 11300-4; Italian Standardization Body. Energy Performance of Buildings—Part 4: Renewable Energy and Other Generation Systems for Space Heating and Domestic Hot Water Production. Ente Nazionale Italiano di Unificazione (UNI): Milano, Italy, 2016. (In Italian)
- UNI TS 11300-5; Italian Standardization Body. Energy Performance of Buildings—Part 5: Evaluation of Energy Performance for the Classification of Building. Ente Nazionale Italiano di Unificazione (UNI): Milano, Italy, 2016. (In Italian)
- Ministerial Decree of 5 July 1975. Amendments to the Ministerial Instructions of 20 June 1896, Related to the Minimum Height and the Main Hygienic-Sanitary Requirements of the Building Environment. O.J. No. 190 of 18 July 1975. Available online: https://www.gazzettaufficiale.it/eli/gu/1975/07/18/190/sg/pdf (accessed on 5 December 2022). (In Italian).
- ENEA. Annual Report on Energy Efficiency over the Country. 2021. Available online: https://www.efficienzaenergetica.enea.it/component/jdownloads/?task=download.send&id=511&catid=40&Itemid=101 (accessed on 23 November 2022). (In Italian).
- Regulatory Authority for Energy Network and the Environment (ARERA in Italian). 2022. Available online: https://www.arera.it/it/com_stampa/22/221103.htm (accessed on 29 November 2022). (In Italian).
Disclaimer/Publisher’s Note: The statements, opinions and data contained in all publications are solely those of the individual author(s) and contributor(s) and not of MDPI and/or the editor(s). MDPI and/or the editor(s) disclaim responsibility for any injury to people or property resulting from any ideas, methods, instructions or products referred to in the content. |
© 2023 by the authors. Licensee MDPI, Basel, Switzerland. This article is an open access article distributed under the terms and conditions of the Creative Commons Attribution (CC BY) license (https://creativecommons.org/licenses/by/4.0/).









