Use of Tangerine Waste as Fuel for the Generation of Electric Current
Abstract
1. Introduction
2. Materials and Methods
2.1. Fabrication of Microbial Fuel Cells
2.2. Obtaining Tangerine Residues
2.3. Characterization of Microbial Fuel Cells
2.4. Isolation of Microorganisms from the Anode
2.5. Molecular Identification
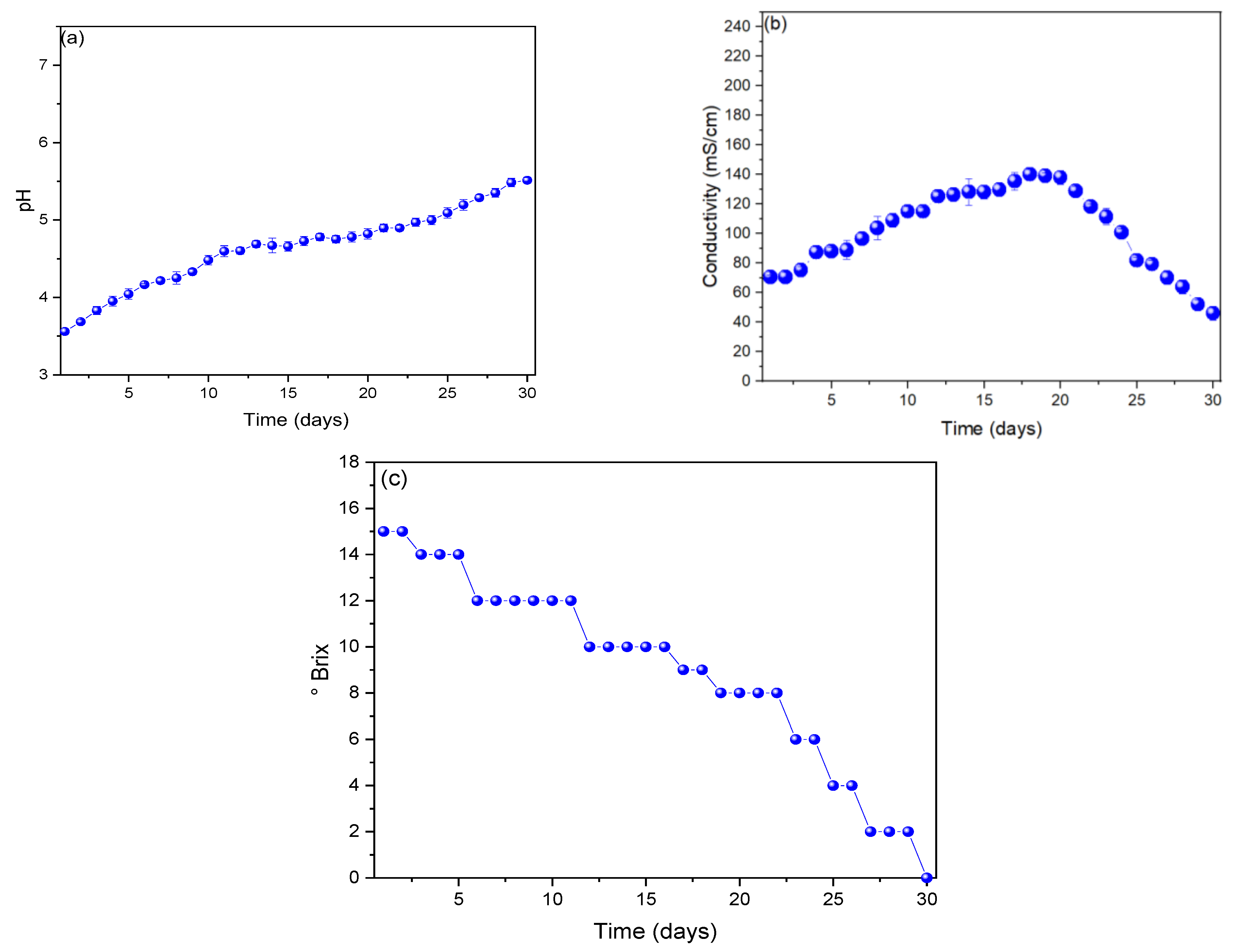
3. Results and Analysis
4. Conclusions
Author Contributions
Funding
Institutional Review Board Statement
Informed Consent Statement
Data Availability Statement
Acknowledgments
Conflicts of Interest
References
- Mason-D’Croz, D.; Bogard, J.R.; Sulser, T.B.; Cenacchi, N.; Dunston, S.; Herrero, M.; Wiebe, K. Gaps between fruit and vegetable production, demand, and recommended consumption at global and national levels: An integrated modelling study. Lancet Planet. Health 2019, 3, e318–e329. [Google Scholar] [CrossRef] [PubMed]
- Gul, H.; Raza, W.; Lee, J.; Azam, M.; Ashraf, M.; Kim, K.H. Progress in microbial fuel cell technology for wastewater treatment and energy harvesting. Chemosphere 2021, 281, 130828. [Google Scholar] [CrossRef] [PubMed]
- da Silva Simão, R.; de Moraes, J.O.; Carciofi, B.A.M.; Laurindo, J.B. Recent advances in the production of fruit leathers. Food Eng. Rev. 2020, 12, 68–82. [Google Scholar] [CrossRef]
- Wang, S.Y.; Shi, X.C.; Wang, R.; Wang, H.L.; Liu, F.; Laborda, P. Melatonin in fruit production and postharvest preservation: A review. Food Chem. 2020, 320, 126642. [Google Scholar] [CrossRef] [PubMed]
- Hallaji, S.M.; Kuroshkarim, M.; Moussavi, S.P. Enhancing methane production using anaerobic co-digestion of waste activated sludge with combined fruit waste and cheese whey. BMC Biotechnol. 2019, 19, 19. [Google Scholar] [CrossRef]
- Sette, P.; Fernandez, A.; Soria, J.; Rodriguez, R.; Salvatori, D.; Mazza, G. Integral valorization of fruit waste from wine and cider industries. J. Clean. Prod. 2020, 242, 118486. [Google Scholar] [CrossRef]
- Nadar, S.S.; Rathod, V.K. A co-immobilization of pectinase and cellulase onto magnetic nanoparticles for antioxidant extraction from waste fruit peels. Biocatal. Agric. Biotechnol. 2019, 17, 470–479. [Google Scholar] [CrossRef]
- Esparza, I.; Jiménez-Moreno, N.; Bimbela, F.; Ancín-Azpilicueta, C.; Gandía, L.M. Fruit and vegetable waste management: Conventional and emerging approaches. J. Environ. Manag. 2020, 265, 110510. [Google Scholar] [CrossRef]
- Nanda, S.; Berruti, F. Municipal solid waste management and landfilling technologies: A review. Environ. Chem. Lett. 2021, 19, 1433–1456. [Google Scholar] [CrossRef]
- Tun, M.M.; Juchelková, D. Drying methods for municipal solid waste quality improvement in the developed and developing countries: A review. Environ. Eng. Res. 2019, 24, 529–542. [Google Scholar] [CrossRef]
- Kumar, H.; Bhardwaj, K.; Sharma, R.; Nepovimova, E.; Kuča, K.; Dhanjal, D.S.; Verma, R.; Bhardwaj, P.; Sharma, S.; Kumar, D. Fruit and vegetable peels: Utilization of high value horticultural waste in novel industrial applications. Molecules 2020, 25, 2812. [Google Scholar] [CrossRef] [PubMed]
- Duan, Y.; Mehariya, S.; Kumar, A.; Singh, E.; Yang, J.; Kumar, S.; Li, H.; Kumar Awasthi, M. Apple orchard waste recycling and valorization of valuable product—A review. Bioengineered 2021, 12, 476–495. [Google Scholar] [CrossRef] [PubMed]
- Sharma, M.; Usmani, Z.; Gupta, V.K.; Bhat, R. Valorization of fruits and vegetable wastes and by-products to produce natural pigments. Crit. Rev. Biotechnol. 2021, 41, 535–563. [Google Scholar] [CrossRef] [PubMed]
- Kundu, D.; Das, M.; Mahle, R.; Biswas, P.; Karmakar, S.; Banerjee, R. Citrus fruits. In Valorization of Fruit Processing By-Products; Academic Press: Cambridge, MA, USA, 2020; pp. 145–166. [Google Scholar]
- Huang, W.S.; Kuo, H.Y.; Tung, S.Y.; Chen, H.S. Assessing Consumer Preferences for Suboptimal Food: Application of a Choice Experiment in Citrus Fruit Retail. Foods 2020, 10, 15. [Google Scholar] [CrossRef] [PubMed]
- Suri, S.; Singh, A.; Nema, P.K. Current applications of citrus fruit processing waste: A scientific outlook. Appl. Food Res. 2022, 2, 100050. [Google Scholar] [CrossRef]
- Vama, L.A.P.S.I.A.; Cherekar, M.N. Production, Extraction and Uses of Eco-Enzyme Using Citrus Fruit Waste: Wealth From Waste. Asian J. Microbiol. Biotechnol. Environ. Sci. 2020, 22, 346–351. [Google Scholar]
- Rajendran, N.; Kang, D.; Han, J.; Gurunathan, B. Process optimization, economic and environmental analysis of biodiesel production from food waste using a citrus fruit peel biochar catalyst. J. Clean. Prod. 2022, 365, 132712. [Google Scholar] [CrossRef]
- Mahato, N.; Sharma, K.; Sinha, M.; Cho, M.H. Citrus waste derived nutra-/pharmaceuticals for health benefits: Current trends and future perspectives. J. Funct. Foods 2018, 40, 307–316. [Google Scholar] [CrossRef]
- Rojas-Flores, S.; De La Cruz-Noriega, M.; Nazario-Naveda, R.; Benites, S.M.; Delfín-Narciso, D.; Rojas-Villacorta, W.; Romero, C.V. Bioelectricity through microbial fuel cells using avocado waste. Energy Rep. 2022, 8, 376–382. [Google Scholar] [CrossRef]
- El Barnossi, A.; Moussaid, F.; Housseini, A.I. Tangerine, banana and pomegranate peels valorisation for sustainable environment: A review. Biotechnol. Rep. 2021, 29, e00574. [Google Scholar] [CrossRef]
- Rojas-Flores, S.; Benites, S.M.; De La Cruz-Noriega, M.; Cabanillas-Chirinos, L.; Valdiviezo-Dominguez, F.; Quezada Álvarez, M.A.; Angelats-Silva, L. Bioelectricity production from blueberry waste. Processes 2021, 9, 1301. [Google Scholar] [CrossRef]
- Segundo, R.F.; Magaly, D.L.C.N.; Benites, S.M.; Daniel, D.N.; Angelats-Silva, L.; Díaz, F.; Luis, C.C. Generation of Electricity Through Papaya Waste at Different pH. Environ. Res. Eng. Manag. 2022, 78, 137–146. [Google Scholar]
- Flores, S.R.; Nazario-Naveda, R.; Delfín-Narciso, D.; Cardenas, M.G.; Diaz, N.D.; Ravelo, K.V. Generation of bioelectricity from organic fruit waste. Environ. Res. Eng. Manag. 2021, 77, 6–14. [Google Scholar] [CrossRef]
- Rasit, N.; Hwe Fern, L.; Ab Karim Ghani, W.A.W. Production and characterization of eco enzyme produced from tomato and orange wastes and its influence on the aquaculture sludge. Int. J. Civ. Eng. Technol. 2019, 10, 967–980. [Google Scholar]
- Rincón-Catalán, N.I.; Cruz-Salomón, A.; Sebastian, P.J.; Pérez-Fabiel, S.; Hernández-Cruz, M.D.C.; Sánchez-Albores, R.M.; Hernández-Méndez, J.M.E.; Domínguez-Espinosa, M.E.; Esquinca-Avilés, H.A.; Ríos-Valdovinos, E.I.; et al. Banana Waste-to-Energy Valorization by Microbial Fuel Cell Coupled with Anaerobic Digestion. Processes 2022, 10, 1552. [Google Scholar] [CrossRef]
- Kalagbor, I.A.; Azunda, B.I.; Igwe, B.C.; Akpan, B.J. Electricity generation from waste tomatoes, banana, pineapple fruits and peels using single chamber microbial fuel cells (SMFC). J. Waste Manag. Xenobiotics 2020, 3, 142. [Google Scholar]
- Segundo, R.F.; De La Cruz-Noriega, M.; Nazario-Naveda, R.; Benites, S.M.; Delfín-Narciso, D.; Angelats-Silva, L.; Díaz, F. Golden Berry Waste for Electricity Generation. Fermentation 2022, 8, 256. [Google Scholar] [CrossRef]
- Li, C.; Zhou, K.; He, H.; Cao, J.; Zhou, S. Adding zero-valent iron to enhance electricity generation during MFC start-up. Int. J. Environ. Res. Public Health 2020, 17, 806. [Google Scholar] [CrossRef]
- Huang, S.; Zhang, J.; Pi, J.; Gong, L.; Zhu, G. Long-term electricity generation and denitrification performance of MFCs with different exchange membranes and electrode materials. Bioelectrochemistry 2021, 140, 107748. [Google Scholar] [CrossRef]
- Mohd Zaini Makhtar, M.; Tajarudin, H.A. Electricity generation using membrane-less microbial fuel cell powered by sludge supplemented with lignocellulosic waste. Int. J. Energy Res. 2020, 44, 3260–3265. [Google Scholar] [CrossRef]
- Rojas-Flores, S.; De La Cruz-Noriega, M.; Benites, S.M.; Delfín-Narciso, D.; Luis, A.S.; Díaz, F.; Luis, C.C.; Moises, G.C. Electric Current Generation by Increasing Sucrose in Papaya Waste in Microbial Fuel Cells. Molecules 2022, 27, 5198. [Google Scholar] [CrossRef] [PubMed]
- Kebaili, H.; Kameche, M.; Innocent, C.; Benayyad, A.; Kosimaningrum, W.E.; Sahraoui, T. Scratching and transplanting of electro-active biofilm in fruit peeling leachate by ultrasound: Re-inoculation in new microbial fuel cell for enhancement of bio-energy production and organic matter detection. Biotechnol. Lett. 2020, 42, 965–978. [Google Scholar] [CrossRef] [PubMed]
- Liu, S.H.; Yang, C.Y.; Lin, C.W.; Zhu, T.J. Promoting removal of copper from sediment and production of bioelectricity by sediment microbial fuel cells using tea extracts. J. Water Process Eng. 2023, 51, 103454. [Google Scholar] [CrossRef]
- Latif, M.; Fajri, A.D.; Muharam, M. Penerapan sampah buah tropis untuk microbial fuel cell. J. Rekayasa Elektr. 2020, 16, 1–7. [Google Scholar] [CrossRef]
- Mbugua, J.K.; Mbui, D.N.; Mwaniki, J.; Mwaura, F.; Sheriff, S. Influence of substrate proximate properties on voltage production in microbial fuel cells. J. Sustain. Bioenergy Syst. 2020, 10, 43. [Google Scholar] [CrossRef]
- Segundo, R.F.; Magaly, D.L.C.N.; Benites, S.M.; Daniel, D.N.; Angelats-Silva, L.; Díaz, F.; Luis, C.C.; Fernanda, S.P. Increase in Electrical Parameters Using Sucrose in Tomato Waste. Fermentation 2022, 8, 335. [Google Scholar] [CrossRef]
- De La Cruz–Noriega, M.; Rojas-Flores, S.; Nazario-Naveda, R.; Benites, S.M.; Delfín-Narciso, D.; Rojas-Villacorta, W.; Diaz, F. Potential Use of Mango Waste and Microalgae Spirulina sp. for Bioelectricity Generation. Environ. Res. Eng. Manag. 2022, 78, 129–136. [Google Scholar] [CrossRef]
- Flores, S.R.; Nazario-Naveda, R.; Betines, S.M.; De La Cruz–Noriega, M.; Cabanillas-Chirinos, L.; Valdiviezo-Dominguez, F. Sugar industry waste for bioelectricity generation. Environ. Res. Eng. Manag. 2021, 77, 15–22. [Google Scholar] [CrossRef]
- Igboamalu, T.E.; Bezuidenhout, N.; Matsena, M.T.; Chirwa, E. Microbial fuel cell power output and growth: Effect of pH on anaerobic microbe consortium. Chem. Eng. 2019. [Google Scholar]
- Prasidha, W. Electricity Production from Food Waste Leachate (Fruit and Vegetable Waste) using Double Chamber Microbial Fuel Cell: Comparison between Non-aerated and Aerated Configuration. ROTASI 2020, 22, 162–168. [Google Scholar]
- Flores, S.R.; Pérez-Delgado, O.; Naveda-Renny, N.; Benites, S.M.; De La Cruz–Noriega, M.; Narciso, D.A.D. Generation of Bioelectricity Using Molasses as Fuel in Microbial Fuel Cells. Environ. Res. Eng. Manag. 2022, 78, 19–27. [Google Scholar] [CrossRef]
- Rojas-Flores, S.; Nazario-Naveda, R.; Benites, S.M.; Gallozzo-Cardenas, M.; Delfín-Narciso, D.; Díaz, F. Use of Pineapple Waste as Fuel in Microbial Fuel Cell for the Generation of Bioelectricity. Molecules 2022, 27, 7389. [Google Scholar] [CrossRef] [PubMed]
- Kalagbor Ihesinachi, A.; Akpotayire Stephen, I. Electricity Generation from Waste Tropical Fruits-Watermelon (Citrullus lanatus) and Paw-paw (Carica papaya) using Single Chamber Microbial Fuel Cells. IJEIC 2020, 11, 11–20. [Google Scholar]
- Akarca, G. Determination of Potential Antimicrobial Activities of some Local Berries Fruits in Kombucha Tea Production. Braz. Arch. Biol. Technol. 2022, 64. [Google Scholar] [CrossRef]
- Goldoni, J.; Giacobbo, C.L.; Galon, L.; Zarzzeka, C.; Uberti, A.; Lugaresi, A. Physicochemical characterization of fruits of Campomanesia guazumifolia (Cambess.) O. Berg (Myrtaceae). Acta Scientiarum. Biol. Sci. 2019, 41, 45923. [Google Scholar] [CrossRef]
- Wei, H.; Seidi, F.; Zhang, T.; Jin, Y.; Xiao, H. Ethylene scavengers for the preservation of fruits and vegetables: A review. Food Chem. 2021, 337, 127750. [Google Scholar] [CrossRef]
- Rojas-Flores, S.; De La Cruz-Noriega, M.; Cabanillas-Chirinos, L.; Nazario-Naveda, R.; Gallozzo-Cardenas, M.; Diaz, F.; Murga-Torres, E. Potential Use of Coriander Waste as Fuel for the Generation of Electric Power. Sustainability 2023, 15, 896. [Google Scholar] [CrossRef]
- Verma, M.; Mishra, V. Bioelectricity generation by microbial degradation of banana peel waste biomass in a dual-chamber S. cerevisiae-based microbial fuel cell. Biomass Bioenergy 2023, 168, 106677. [Google Scholar] [CrossRef]
- Van Der Velden, M.; Matsena, M.T.; Chirwa, E.M. The Impact of Marine Bacteria (from Saldanha Bay) on the Performance of an Air-Cathode Microbial Fuel Cell. Chem. Eng. Trans. 2022, 96, 331–336. [Google Scholar]
- Torlaema, T.A.M.; Ibrahim, M.N.M.; Ahmad, A.; Guerrero-Barajas, C.; Alshammari, M.B.; Oh, S.E.; Hussain, F. Degradation of Hydroquinone Coupled with Energy Generation through Microbial Fuel Cells Energized by Organic Waste. Processes 2022, 10, 2099. [Google Scholar] [CrossRef]
- Rokhim, D.A.; Adid, A.W.; Tyas, F.K.; Ciptawati, E.; Asrori, M.R. Utilization of Banana Stem Waste Extracts Assisted by Electrode of Cu/Mg as an Environmentally Friendly Electricity Producer. Orbital Electron. J. Chem. 2022, 14, 40–44. [Google Scholar] [CrossRef]
- Yaqoob, A.A.; Guerrero–Barajas, C.; Ibrahim, M.N.M.; Umar, K.; Yaakop, A.S. Local fruit wastes driven benthic microbial fuel cell: A sustainable approach to toxic metal removal and bioelectricity generation. Environ. Sci. Pollut. Res. 2022, 29, 32913–32928. [Google Scholar] [CrossRef] [PubMed]
- Ee, R.; Lim, Y.-L.; Tee, K.-K.; Yin, W.-F.; Chan, K.-G. Quorum Sensing Activity of Serratia Fonticola Strain RB-25 Isolated from an Ex-Landfill Site. Sensors 2014, 14, 5136–5146. [Google Scholar] [CrossRef]
- Khalifa, A. First Isolation and Characterization of Serratia Liquefaciens associated with Rot Disease of Malus domestica (Apple) Fruit and Its Inhibition by Origanum vulgare (Oregano) Oil. Horticulturae 2022, 8, 752. [Google Scholar] [CrossRef]
- Li, Z.; Li, C.; Cheng, P.; Yu, G. Rhodotorula Mucilaginosa-Alternative Sources of Natural Carotenoids, Lipids, and Enzymes for Industrial Use. Heliyon 2022, 8, e11505. [Google Scholar] [CrossRef]
- Sharma, R.; Ghoshal, G. Optimization of Carotenoids Production by Rhodotorula Mucilaginosa (MTCC-1403) Using Agro-Industrial Waste in Bioreactor: A Statistical Approach. Biotechnol. Rep. 2020, 25, e00407. [Google Scholar] [CrossRef]
- Greenman, J.; Gajda, I.; You, J.; Mendis, B.A.; Obata, O.; Pasternak, G.; Ieropoulos, I. Microbial Fuel Cells and Their Electrified Biofilms. Biofilm 2021, 3, 100057. [Google Scholar] [CrossRef]
- Cao, Y.; Mu, H.; Liu, W.; Zhang, R.; Guo, J.; Xian, M.; Liu, H. Electricigens in the Anode of Microbial Fuel Cells: Pure Cultures versus Mixed Communities. Microb. Cell Fact. 2019, 18, 39. [Google Scholar] [CrossRef]
- Sarma, H.; Bhattacharyya, P.N.; Jadhav, D.A.; Pawar, P.; Thakare, M.; Pandit, S.; Mathuriya, A.S.; Prasad, R. Fungal-Mediated Electrochemical System: Prospects, Applications and Challenges. Curr. Res. Microb. Sci. 2021, 2, 100041. [Google Scholar] [CrossRef]
- Dange, P.; Savla, N.; Pandit, S.; Bobba, R.; PJung, S.; Kumar Gupta, P.; Sahni, M.; Prasad, R. A Comprehensive Review on Oxygen Reduction Reaction in Microbial Fuel Cells. J. Renew. Mater. 2022, 10, 665–697. [Google Scholar] [CrossRef]
- Thulasinathan, B.; Ebenezer, J.O.; Bora, A.; Nagarajan, A.; Pugazhendhi, A.; Jayabalan, T.; Nainamohamed, S.; Doble, M.; Alagarsamy, A. Bioelectricity Generation and Analysis of Anode Biofilm Metabolites from Septic Tank Wastewater in Microbial Fuel Cells. Int. J. Energy Res. 2021, 45, 17244–17258. [Google Scholar] [CrossRef]
- Ali, J.; Wang, L.; Waseem, H.; Song, B.; Djellabi, R.; Pan, G. Turning Harmful Algal Biomass to Electricity by Microbial Fuel Cell: A Sustainable Approach for Waste Management. Environ. Pollut. 2020, 266, 115373. [Google Scholar] [CrossRef] [PubMed]
- Cheng, Y.-T.; Yang, C.-F. Using Strain Rhodotorula Mucilaginosa to Produce Carotenoids Using Food Wastes. J. Taiwan Inst. Chem. Eng. 2016, 61, 270–275. [Google Scholar] [CrossRef]
- Shrestha, N.; Fogg, A.; Wilder, J.; Franco, D.; Komisar, S.; Gadhamshetty, V. Electricity Generation from Defective Tomatoes. Bioelectrochemistry 2016, 112, 67–76. [Google Scholar] [CrossRef]
- Verma, M.; Mishra, V. Bioelectricity Generation Using Sweet Lemon Peels as Anolyte and Cow Urine as Catholyte in a Yeast-Based Microbial Fuel Cell. Waste Biomass Valorization 2023, 1–15. [Google Scholar] [CrossRef]
- Flores, S.J.R.; Benites, S.M.; Rosa, A.L.R.A.L.; Zoilita, A.L.Z.A.L.; Luis, A.S.L. The Using Lime (Citrus× aurantiifolia), Orange (Citrus× sinensis), and Tangerine (Citrus reticulata) Waste as a Substrate for Generating Bioelectricity: Using lime (Citrus× aurantiifolia), orange (Citrus× sinensis), and tangerine (Citrus reticulata) waste as a substrate for generating bioelectricity. Environ. Res. Eng. Manag. 2020, 76, 24–34. [Google Scholar]
- Rojas-Flores, S. Generation of Electricity from Agricultural Waste. Green Energy Environ. Technol. 2022, 1–6. [Google Scholar] [CrossRef]
- Asefi, B.; Li, S.L.; Moreno, H.A.; Sanchez-Torres, V.; Hu, A.; Li, J.; Yu, C.P. Characterization of electricity production and microbial community of food waste-fed microbial fuel cells. Process Saf. Environ. Prot. 2019, 125, 83–91. [Google Scholar] [CrossRef]





| Waste | Coding | Identified Species | Type of Microorganism | pb | % of Identity | Access Number |
|---|---|---|---|---|---|---|
| tangerine | 5L | Serratia fonticola | Bacterium | 1387 | 99.57 | NR_025339.1 |
| 9L | Rhodotorula mucilaginosa | Yeast | 611 | 99.50 | NR_073296.1 |
| Substrate Type | MFC Type | Maximum Voltage (V) | Power Density (PD) (W/m2) | Current Density (CD) (mA/cm2) | Reference |
|---|---|---|---|---|---|
| Sweet Lemon Peels | dual-chamber | 0.792 ± 0.0153 | 204.80 ± 1.28 | 640.0 ± 2.0 | [66] |
| Banana Waste | Singler chamber | 0.286 | 41.3 | 286.7 | [21] |
| Lime, orange and tangerine waste | Singler chamber | 0.99 ± 0.089 | 0.0628 | 0.049 | [67] |
| Blackberry, dragon fruit and noni | Singler chamber | 0.97 ± 0.12 | 0.0719 ± 0.0012 | 0.051 | [68] |
| Food waste | Dual chamber | 0.600 ± 0.025 | 0.345 | 830 | [69] |
Disclaimer/Publisher’s Note: The statements, opinions and data contained in all publications are solely those of the individual author(s) and contributor(s) and not of MDPI and/or the editor(s). MDPI and/or the editor(s) disclaim responsibility for any injury to people or property resulting from any ideas, methods, instructions or products referred to in the content. |
© 2023 by the authors. Licensee MDPI, Basel, Switzerland. This article is an open access article distributed under the terms and conditions of the Creative Commons Attribution (CC BY) license (https://creativecommons.org/licenses/by/4.0/).
Share and Cite
Rojas-Flores, S.; Cabanillas-Chirinos, L.; Nazario-Naveda, R.; Gallozzo-Cardenas, M.; Diaz, F.; Delfin-Narciso, D.; Rojas-Villacorta, W. Use of Tangerine Waste as Fuel for the Generation of Electric Current. Sustainability 2023, 15, 3559. https://doi.org/10.3390/su15043559
Rojas-Flores S, Cabanillas-Chirinos L, Nazario-Naveda R, Gallozzo-Cardenas M, Diaz F, Delfin-Narciso D, Rojas-Villacorta W. Use of Tangerine Waste as Fuel for the Generation of Electric Current. Sustainability. 2023; 15(4):3559. https://doi.org/10.3390/su15043559
Chicago/Turabian StyleRojas-Flores, Segundo, Luis Cabanillas-Chirinos, Renny Nazario-Naveda, Moisés Gallozzo-Cardenas, Félix Diaz, Daniel Delfin-Narciso, and Walter Rojas-Villacorta. 2023. "Use of Tangerine Waste as Fuel for the Generation of Electric Current" Sustainability 15, no. 4: 3559. https://doi.org/10.3390/su15043559
APA StyleRojas-Flores, S., Cabanillas-Chirinos, L., Nazario-Naveda, R., Gallozzo-Cardenas, M., Diaz, F., Delfin-Narciso, D., & Rojas-Villacorta, W. (2023). Use of Tangerine Waste as Fuel for the Generation of Electric Current. Sustainability, 15(4), 3559. https://doi.org/10.3390/su15043559

