Spatiotemporal Dynamics of Vegetation Index in an Oasis-Desert Transition Zone and Relationship with Environmental Factors
Abstract
:1. Introduction
2. Materials and Methods
2.1. Overview of the Research Area
2.2. Description of the Data
2.3. Research Methods
2.3.1. TZ Vegetation Index and NDVI Acquisition and Sampling
2.3.2. Estimation of Crop Water Consumption
2.3.3. Data Analyses
3. Results
3.1. Spatial and Temporal Variation in the NDVI
3.2. Spatial and Temporal Variation in the Oasis Landscape
3.3. Temporal Variation of the NDVI at each Sample Site
3.4. Spatial Variation of the NDVI at Each Sample Site
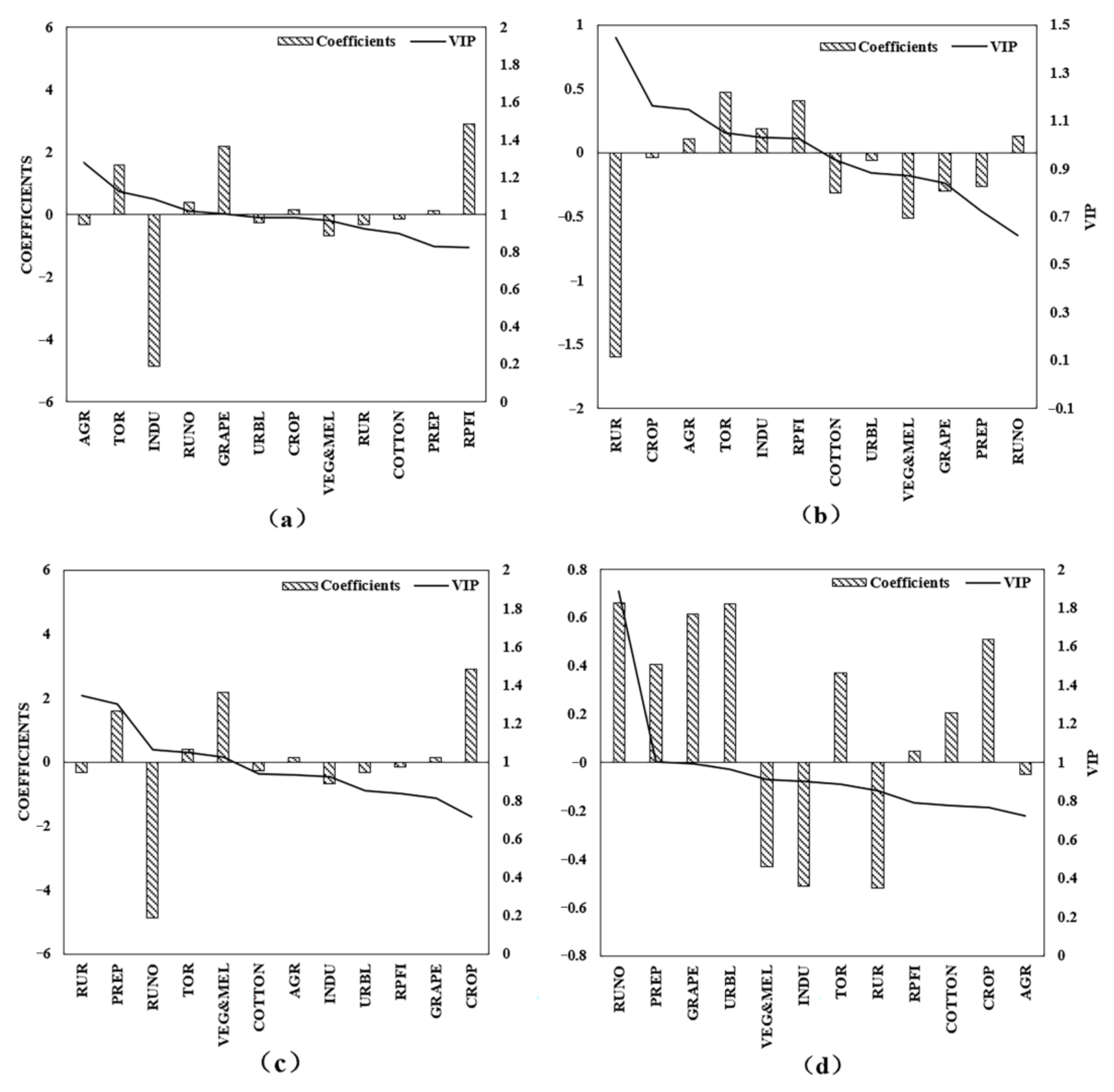
3.5. Effects of the Characteristic Variables on the TZ
4. Discussion
5. Conclusions
Author Contributions
Funding
Acknowledgments
Conflicts of Interest
References
- Chen, X.H.; Duan, Z.H.; Luo, T.F. Changes in soil quality in the critical area of desertification surrounding the Ejina Oasis, Northern China. Environ. Earth Sci. 2014, 72, 2643–2654. [Google Scholar] [CrossRef]
- Huneburg, L.; Hoelzmann, P.; Knitter, D.; Teichert, B.; Richter, C.; Luthgens, C.; Alsaud, A.S.; Luciani, M. Living at the wadi—Integrating geomorphology and archaeology at the oasis of Qurayyah (NW Arabia). J. Maps 2019, 15, 215–226. [Google Scholar] [CrossRef]
- Li, Y.K.; Chao, J.P. The dynamical evolution theory of the isolated oasis system. Sci. China Earth Sci. 2015, 58, 436–447. [Google Scholar] [CrossRef]
- Bai, J.; Li, J.L.; Bao, A.M.; Chang, C. Spatial-temporal variations of ecological vulnerability in the Tarim River Basin, Northwest China. J. Arid. Land 2021, 13, 814–834. [Google Scholar] [CrossRef]
- Wang, W.H.; Chen, Y.N.; Wang, W.R. Groundwater recharge in the oasis-desert areas of northern Tarim Basin, Northwest China. Hydrol. Res. 2020, 51, 1506–1520. [Google Scholar] [CrossRef]
- Bie, Q.; Xie, Y.W. The constraints and driving forces of oasis development in arid region: A case study of the Hexi Corridor in northwest China. Sci. Rep. 2020, 10, 17708. [Google Scholar] [CrossRef] [PubMed]
- Zhang, X.; Zhang, L.; He, C.; Li, J.; Jiang, Y.; Ma, L. Quantifying the impacts of land use/land cover change on groundwater depletion in Northwestern China—A case study of the Dunhuang oasis. Agric. Water Manag. 2014, 146, 270–279. [Google Scholar] [CrossRef]
- Yuan, W.; Wu, S.Y.; Hou, S.G.; Xu, Z.W.; Lu, H.Y. Normalized Difference Vegetation Index-based assessment of climate change impact on vegetation growth in the humid-arid transition zone in northern China during 1982–2013. Int. J. Climatol. 2019, 39, 5583–5598. [Google Scholar] [CrossRef]
- Tang, Q.; Wang, W.R.; Tian, L.; Wang, W.W. Cognition and integrated assessment of farmers well—being in desert—oasis ecotone: Case of Shapotou. J. Arid. Land Resour. Environ. 2017, 31, 51–56. [Google Scholar] [CrossRef]
- Liang, A.M.; Ma, J.; Zhang, J.; Ma, Y.J.; Su, Z.Z. Comparative Analysis of Grain Size of Different Sand Barriers in Desert-Oasis Ecotone in Shajingzi Area of Minqin County. J. Taiyuan Norm. Univ. 2016, 15, 87–92. [Google Scholar]
- Dong, Z.B.; Lv, P. Development of aeolian geomorphology in China in the past 70 years. Acta Geogr. Sin. 2020, 75, 509–528. [Google Scholar]
- Li, F.; Zhao, W.Z. Hydrologic thresholds and changes in ANPP of artificial sand-fixing vegetation in a desert-oasis ecotone in Northwest China. J. Arid. Environ. 2017, 146, 44–52. [Google Scholar] [CrossRef]
- Liu, C.A.; Siddique, K.H.M.; Hua, S.; Rao, X. The trade-off in the establishment of artificial plantations by evaluating soil properties at the margins of oases. Catena 2017, 157, 363–371. [Google Scholar] [CrossRef]
- Chen, F.H.; Wu, S.H.; Cui, P.; Cai, Y.L.; Zhang, Y.L.; Yin, Y.H.; Liu, G.B.; Ouyang, Z.; Ma, W.; Yang, L.S.; et al. Progress of applied research of physical geography and living environment in China from 1949 to 2019. Acta Geogr. Sin. 2020, 75, 1799–1830. [Google Scholar]
- Bo, T.L.; Zheng, X.J. Numerical simulation of the evolution and propagation of aeolian dune fields toward a desert-oasis zone. Geomorphology 2013, 180–181, 24–32. [Google Scholar] [CrossRef]
- An, Z.S.; Zhang, K.C.; Tan, L.H.; Cai, D.W.; Zhang, Y. Effect of Protection against Wind-drift Sand over Desert-oasis Ecotone. Arid. Zone Res. 2017, 34, 1196–1202. [Google Scholar] [CrossRef]
- Luo, W.C.; Zhao, W.Z.; He, Z.B.; Sun, C.P. Spatial characteristics of two dominant shrub populations in the transition zone between oasis and desert in the Heihe River Basin, China. Catena 2018, 170, 356–364. [Google Scholar] [CrossRef]
- Hochmuth, H.; Thevs, N.; He, P. Water allocation and water consumption of irrigation agriculture and natural vegetation in the Heihe River watershed, NW China. Environ. Earth Sci. 2015, 73, 5269–5279. [Google Scholar] [CrossRef]
- Kang, J.P.; Ma, Y.Y.; Ma, S.Q.; Xue, Z.W.; Yang, L.L.; Han, L.; Liu, W.Y. Dynamic changes of spatial pattern and structure of the Tamarix ramosissima population at the desert-oasis ecotone of the Tarim Basin. Acta Ecol. Sin. 2019, 39, 265–276. [Google Scholar]
- Abdulaziz, A.M.; Faid, A.M. Evaluation of the groundwater resources potential of Siwa Oasis using three-dimensional multilayer groundwater flow model, Mersa Matruh Governorate, Egypt. Arab. J. Geosci. 2015, 8, 659–675. [Google Scholar] [CrossRef]
- Jiang, P.H.; Cheng, L.; Li, M.C.; Zhao, R.F.; Duan, Y.W. Impacts of LUCC on soil properties in the riparian zones of desert oasis with remote sensing data: A case study of the middle Heihe River basin, China. Sci. Total Environ. 2015, 506, 259–271. [Google Scholar] [CrossRef]
- Wei, Y.; Shi, Z.; Biswas, A.; Yang, S.T.; Ding, J.L.; Wang, F. Updated information on soil salinity in a typical oasis agroecosystem and desert-oasis ecotone: Case study conducted along the Tarim River, China. Sci. Total Environ. 2020, 716, 135387. [Google Scholar] [CrossRef]
- Zhang, H.W.; Hu, G.L.; Liu, G.M.; Liao, Y.X. Spatial Variability of Soil Moisture and Organic Matter in Desert-oasis Ecotone in the Middle Reaches of Heihe River. Chin. J. Soil Sci. 2016, 47, 1325–1331. [Google Scholar] [CrossRef]
- Zhao, W.; Liu, B.; Zhang, Z. Water requirements of maize in the middle Heihe River basin, China. Agric. Water Manag. 2010, 97, 215–223. [Google Scholar] [CrossRef]
- Wang, J.Q.; Han, L.; Liu, W.Y.; Peng, J.; Niu, J.L.; Wang, X.W. Variable Relationship of Soil Moisture and Spatial Pattern along Desert Oasis Transition Zone in the Tarim River Middle Reaches Basin. J. Northwest For. Univ. 2018, 33, 1–10. [Google Scholar]
- Abuzaid, A.S.; AbdelRahman, M.A.E.; Fadl, M.E.; Scopa, A. Land Degradation Vulnerability Mapping in a Newly-Reclaimed Desert Oasis in a Hyper-Arid Agro-Ecosystem Using AHP and Geospatial Techniques. Agronomy 2021, 11, 1426. [Google Scholar] [CrossRef]
- Zhou, S.; Dong, Y.; Julihaiti, A.; Nie, T.; Jiang, A.; An, S. Spatial Variation in Desert Spring Vegetation Biomass, Richness and Their Environmental Controls in the Arid Region of Central Asia. Sustainability 2022, 14, 12152. [Google Scholar] [CrossRef]
- Ji, X.B.; Zhao, W.Z.; Jin, B.W.; Liu, J.; Xu, F.N.; Zhou, H. Seasonal variations in energy exchange and evapotranspiration of an oasis-desert ecotone in an arid region. Hydrol. Process. 2021, 35, e14364. [Google Scholar] [CrossRef]
- Sefelnasr, A.; Gossel, W.; Wycisk, P. Three-dimensional groundwater flow modeling approach for the groundwater management options for the Dakhla oasis, Western Desert, Egypt. Environ. Earth Sci. 2014, 72, 1227–1241. [Google Scholar] [CrossRef]
- Gong, C.K. Analysis and Management of Sandy Land in Dunhuang City from 2009–2014. Gansu Sci. Technol. 2019, 35, 23–27. [Google Scholar]
- Schmidt, M.; Thamm, H.P.; Menz, G. Long term vegetation change detection in an arid environment using LANDSAT data. In Geoinformation for European-Wide Integration; Benes, T., Ed.; Millpress: Rotterdam, The Netherlands, 2008; pp. 491–496. [Google Scholar]
- Wang, S.; Wang, W.; Wu, Y.; Zhao, S. Surface Soil Moisture Inversion and Distribution Based on Spatio-Temporal Fusion of MODIS and Landsat. Sustainability 2022, 14, 9905. [Google Scholar] [CrossRef]
- Becker, F.; Choudhury, B.J. Relative sensitivity of Normalized Difference Vegetation Index (NDVI) and Microwave Polarization Difference Index (MPDI) for vegetation and desertification monitoring. Remote Sens. Environ. 1988, 24, 297–311. [Google Scholar] [CrossRef]
- Wu, L.; Li, C.B.; Wang, L.M.; Xie, X.H.; Zhang, Y.; Wei, J.M. Division and application of desert-oasis system in arid Northwest China based on ESA-LUC and MODIS-NDVI. J. Desert Res. 2020, 40, 139–150. [Google Scholar]
- Kuzevic, S.; Bobikova, D.; Kuzevicova, Z. Land Cover and Vegetation Coverage Changes in the Mining Area—A Case Study from Slovakia. Sustainability 2022, 14, 1180. [Google Scholar] [CrossRef]
- Chang, J.S.; Shoshany, M. Radar polarization and ecological pattern properties across Mediterranean to-arid transition zone. Remote Sens. Environ. 2017, 200, 368–377. [Google Scholar] [CrossRef]
- Chang, X.L.; Ji, S.X.; Qiao, R.R.; Bai, X.L.; Wang, L.X. NDVI-based identification of oasis-desert transitional zone wideness: A case study in the central Hexi corridor. Acta Ecol. Sin. 2020, 40, 5327–5336. [Google Scholar]
- Li, N.X.; Xu, J.F.; Yin, W.; Chen, Q.Z.; Wang, J.; Shi, Z.H. Effect of local watershed landscapes on the nitrogen and phosphorus concentrations in the waterbodies of reservoir bays. Sci. Total Environ. 2020, 716, 137132. [Google Scholar] [CrossRef]
- Wold, S.; Sjöström, M.; Eriksson, L. PLS-regression: A basic tool of chemometrics. Chemom. Intell. Lab. Syst. 2001, 58, 109–130. [Google Scholar] [CrossRef]
- Wang, S.X.; Wang, F. Response of oasis area to the surface runoff in Hexi inland river basin of China. J. Desert Res. 2021, 41, 231–241. [Google Scholar]
- Yin, D.Q.; Li, X.; Huang, Y.F.; Si, Y.; Wei, J.H.; Liu, J.H.; Bai, R. Ecosystem stability analysis with LUDC model and transitional area ratio index for Xihu oasis in Dunhuang, China. Environ. Earth Sci. 2016, 75, 707. [Google Scholar] [CrossRef]
- Li, B.F.; Chen, Y.N.; Chipman, J.W.; Shi, X.; Chen, Z.S. Why does the runoff in Hotan River show a slight decreased trend in northwestern China? Atmos. Sci. Lett. 2018, 19, e800. [Google Scholar] [CrossRef]
- Matin, M.A.; Bourque, C.P.A. Mountain-river runoff components and their role in the seasonal development of desert-oases in northwest China. J. Arid. Environ. 2015, 122, 1–15. [Google Scholar] [CrossRef]
- Guo, H.W.; Ling, H.B.; Xu, H.L.; Guo, B. Study of suitable oasis scales based on water resource availability in an arid region of China: A case study of Hotan River Basin. Environ. Earth Sci. 2016, 75, 984. [Google Scholar] [CrossRef]
- Chen, Z.S.; Chen, Y.N. Effects of climate fluctuations on runoff in the headwater region of the Kaidu River in northwestern China. Front. Earth Sci. 2014, 8, 309–318. [Google Scholar] [CrossRef]
- Ukkola, A.M.; De Kauwe, M.G.; Roderick, M.L.; Burrell, A.; Lehmann, P.; Pitman, A.J. Annual precipitation explains variability in dryland vegetation greenness globally but not locally. Glob. Chang. Biol. 2021, 27, 4367–4380. [Google Scholar] [CrossRef]
- Bai, Y.; Wu, J.; Xing, Q.; Pan, Q.; Huang, J.; Yang, D.; Han, X. Primary production and rain use efficiency across a precipitation gradient on the Mongolia plateau. Ecology 2008, 89, 2140–2153. [Google Scholar] [CrossRef]
- Chu, D.; Shen, H.; Guan, X.; Chen, J.M.; Li, X.; Li, J.; Zhang, L. Long time-series NDVI reconstruction in cloud-prone regions via spatio-temporal tensor completion. Remote Sens. Environ. 2021, 264, 112632. [Google Scholar] [CrossRef]
- Liu, H.L.; Shi, P.J.; Tong, H.L.; Zhu, G.F.; Liu, H.M.; Zhang, X.B.; Wei, W.; Wang, X.M. Characteristics and driving forces of spatial expansion of oasis cities and towns in Hexi Corridor, Gansu Province, China. Chin. Geogr. Sci. 2015, 25, 250–262. [Google Scholar] [CrossRef]
- Guan, J.Y.; Yao, J.Q.; Li, M.Y.; Zheng, J.H. Assessing the Spatiotemporal Evolution of Anthropogenic Impacts on Remotely Sensed Vegetation Dynamics in Xinjiang, China. Remote Sens. 2021, 13, 4651. [Google Scholar] [CrossRef]
- Amara, D.F. Tourism as a tool of development: The case study of Siwa oasis—Egypt western desert. WIT Trans. Ecol. Environ. 2010, 139, 537–549. [Google Scholar]
- Ayad, T.H.A.; Ye, S.J. Local People Attitudes toward Social, Economic and Environmental Impacts of Tourism in Siwa Oasis. Life Sci. J. Acta Zhengzhou Univ. Overseas Ed. 2013, 10, 2874–2883. [Google Scholar]
- Huang, J.; Ji, F. Effects of climate change on phenological trends and seed cotton yields in oasis of arid regions. Int. J. Biometeorol. 2015, 59, 877–888. [Google Scholar] [CrossRef] [PubMed]
- Huang, J.; Xue, D.Q.; Wang, C.S.; Chen, J.H. Resource and Environmental Pressures on the Transformation of Planting Industry in Arid Oasis. Int. J. Environ. Res. Public Health 2022, 19, 5977. [Google Scholar] [CrossRef] [PubMed]
- Yang, G.; Tian, L.J.; Li, X.L.; He, X.L.; Gao, Y.L.; Li, F.D.; Xue, L.Q.; Li, P.F. Numerical assessment of the effect of water-saving irrigation on the water cycle at the Manas River Basin oasis, China. Sci. Total Environ. 2020, 707, 135587. [Google Scholar] [CrossRef] [PubMed]
- Asiedu-Ayeh, L.O.; Zheng, X.; Agbodah, K.; Dogbe, B.S.; Darko, A.P. Promoting the Adoption of Agricultural Green Production Technologies for Sustainable Farming: A Multi-Attribute Decision Analysis. Sustainability 2022, 14, 9977. [Google Scholar] [CrossRef]








| Index | Description | Unit | |
|---|---|---|---|
| Natural variable | NDVI | Normalized difference vegetation index | — |
| PREP | Precipitation | mm | |
| RUNO | Average annual runoff from Dangcheng Bay | m3/s | |
| Socio economic variables | URBL | Urbanization | — |
| RUR | Rural population | 104 ppl 1 | |
| URB | Urban population | 104 ppl | |
| TOR | Tourist population | 108 ppl | |
| RPFI | Rural per capita net income | 104 CNY | |
| AGR | Year-end arable land area | km2 | |
| CROP | Water consumption for grain planting | 108 mm | |
| VEG&MEL | Water consumption for the sum of vegetable and melon planting | 108 mm | |
| COTTON | Water consumption for cotton planting | 108 mm | |
| GRAPE | Water consumption for orchard | 108 mm | |
| INDU | Total industrial output value | 108 CNY 2 |
| 1987–1996 | 1996–2007 | 2007–2015 | |
|---|---|---|---|
| Grassland | 458.78 | −670.21 | 21.86 |
| Cropland | 22.64 | 76.07 | 18.01 |
| Urban construction land | 4.93 | 4.83 | 14.28 |
| Year | Min | Max | Mean | SD | CV |
|---|---|---|---|---|---|
| 1987 | 0.08 | 0.17 | 0.11 | 0.02 | 20.84% |
| 1988 | 0.08 | 0.17 | 0.10 | 0.02 | 21.39% |
| 1989 | 0.07 | 0.16 | 0.09 | 0.02 | 21.00% |
| 1990 | 0.06 | 0.15 | 0.09 | 0.02 | 24.33% |
| 1991 | 0.06 | 0.13 | 0.09 | 0.02 | 21.47% |
| 1992 | 0.07 | 0.15 | 0.09 | 0.02 | 18.12% |
| 1993 | 0.05 | 0.16 | 0.09 | 0.02 | 25.48% |
| 1994 | 0.07 | 0.14 | 0.09 | 0.02 | 19.64% |
| 1995 | 0.06 | 0.15 | 0.08 | 0.02 | 22.47% |
| 1996 | 0.07 | 0.13 | 0.09 | 0.01 | 15.70% |
| 1997 | 0.06 | 0.15 | 0.09 | 0.02 | 21.27% |
| 1998 | 0.07 | 0.12 | 0.09 | 0.01 | 14.77% |
| 1999 | 0.07 | 0.14 | 0.09 | 0.01 | 16.22% |
| 2000 | 0.05 | 0.17 | 0.10 | 0.02 | 23.51% |
| 2001 | 0.06 | 0.20 | 0.09 | 0.02 | 24.04% |
| 2002 | 0.06 | 0.15 | 0.08 | 0.02 | 19.41% |
| 2003 | 0.07 | 0.19 | 0.10 | 0.02 | 20.64% |
| 2004 | 0.07 | 0.19 | 0.09 | 0.02 | 21.73% |
| 2005 | 0.07 | 0.19 | 0.09 | 0.03 | 26.94% |
| 2006 | 0.06 | 0.22 | 0.09 | 0.02 | 26.21% |
| 2007 | 0.01 | 0.20 | 0.08 | 0.02 | 30.39% |
| 2008 | 0.03 | 0.23 | 0.08 | 0.02 | 30.37% |
| 2009 | 0.07 | 0.20 | 0.10 | 0.02 | 20.72% |
| 2010 | 0.06 | 0.17 | 0.10 | 0.02 | 23.06% |
| 2011 | 0.07 | 0.22 | 0.10 | 0.02 | 23.48% |
| 2012 | 0.04 | 0.24 | 0.10 | 0.03 | 32.26% |
| 2013 | 0.05 | 0.24 | 0.09 | 0.03 | 32.41% |
| 2014 | 0.04 | 0.17 | 0.07 | 0.02 | 31.99% |
| 2015 | 0.04 | 0.20 | 0.08 | 0.03 | 32.46% |
| Variable | Min | Max | Mean | SD | CV |
|---|---|---|---|---|---|
| PREP | 11.60 | 87.40 | 42.84 | 17.07 | 39.84% |
| RUNO | 10.06 | 15.40 | 12.11 | 1.30 | 10.74% |
| URBL | 0.18 | 0.28 | 0.25 | 0.04 | 15.83% |
| RUR | 8.90 | 10.22 | 9.73 | 0.36 | 4.70% |
| URB | 1.94 | 4.07 | 3.26 | 0.75 | 22.87% |
| TOR | 0.10 | 6.60 | 1.26 | 1.55 | 122.63% |
| RPFI | 0.07 | 1.16 | 0.41 | 0.30 | 72.57% |
| INDU | 0.55 | 89.53 | 16.28 | 23.91 | 146.83% |
| CROP | 0.03 | 3.97 | 1.71 | 1.55 | 90.74% |
| VEG&MEL | 0.68 | 4.28 | 1.72 | 1.05 | 60.97% |
| COTTON | 1.19 | 6.13 | 3.76 | 1.72 | 45.76% |
| GRAPE | 0.58 | 4.05 | 1.33 | 1.05 | 78.42% |
| A-1 | D-4 | D-3 | D-2 | |||||
|---|---|---|---|---|---|---|---|---|
| Correlation Analysis | Biased Correlation analysis | Correlation Analysis | Biased Correlation Analysis | Correlation Analysis | Biased Correlation Analysis | Correlation Analysis | Biased Correlation Analysis | |
| RUNO | 0.23 | 0.21 | 0.38 * | 0.40 | 0.25 | 0.30 | 0.35 | 0.37 |
| 0.24 | 0.28 | 0.04 | 0.04 | 0.20 | 0.13 | 0.07 | 0.06 | |
| 28 | 25 | 28 | 25 | 28 | 25 | 28 | 25 | |
| PREP | 0.28 | - | −0.12 | - | −0.32 | - | −0.12 | - |
| 0.15 | - | 0.54 | - | 0.09 | - | 0.54 | - | |
| 28 | - | 28 | - | 28 | - | 28 | - | |
| RUR | 0.31 | 0.30 | −0.48 ** | −0.47 | −0.49 ** | −0.49 | −0.27 | −0.26 |
| 0.10 | 0.12 | 0.01 | 0.01 | 0.01 | 0.01 | 0.17 | 0.20 | |
| 28 | 25 | 28 | 25 | 28 | 25 | 28 | 25 | |
| URBL | 0.33 | 0.29 | −0.45 * | −0.43 | −0.43 * | −0.39 | −0.28 | −0.26 |
| 0.09 | 0.14 | 0.02 | 0.02 | 0.02 | 0.04 | 0.15 | 0.19 | |
| 28 | 25 | 28 | 25 | 28 | 25 | 28 | 25 | |
| TOR | 0.50 ** | 0.49 | −0.14 | −0.13 | −0.49 ** | −0.49 | −0.04 | −0.03 |
| 0.01 | 0.01 | 0.48 | 0.52 | 0.01 | 0.01 | 0.82 | 0.86 | |
| 28 | 25 | 28 | 25 | 28 | 25 | 28 | 25 | |
| INDU | 0.47 * | 0.47 | −0.15 | −0.14 | −0.49 ** | −0.50 | −0.04 | −0.03 |
| 0.01 | 0.01 | 0.45 | 0.48 | 0.01 | 0.01 | 0.83 | 0.87 | |
| 28 | 25 | 28 | 25 | 28 | 25 | 28 | 25 | |
| RPFI | 0.54 ** | 0.53 | −0.27 | −0.26 | −0.53 ** | −0.52 | −0.11 | −0.10 |
| 0.00 | 0.00 | 0.17 | 0.19 | 0.00 | 0.01 | 0.58 | 0.63 | |
| 28 | 25 | 28 | 25 | 28 | 25 | 28 | 25 | |
| AGR | −0.35 | −0.39 | −0.55 ** | −0.54 | −0.13 | −0.11 | −0.47 * | −0.46 |
| 0.07 | 0.04 | 0.00 | 0.00 | 0.51 | 0.59 | 0.01 | 0.02 | |
| 28 | 25 | 28 | 25 | 28 | 25 | 28 | 25 | |
| CROP | −0.41 * | −0.38 | 0.32 | 0.31 | 0.42 * | 0.38 | 0.22 | 0.21 |
| 0.03 | 0.05 | 0.10 | 0.12 | 0.03 | 0.05 | 0.25 | 0.30 | |
| 28 | 25 | 28 | 25 | 28 | 25 | 28 | 25 | |
| COTTON | 0.19 | 0.14 | −0.41 * | −0.39 | −0.29 | −0.24 | −0.32 | −0.31 |
| 0.33 | 0.48 | 0.03 | 0.04 | 0.13 | 0.22 | 0.09 | 0.12 | |
| 28 | 25 | 28 | 25 | 28 | 25 | 28 | 25 | |
| GRAPE | 0.51 ** | 0.51 | −0.11 | −0.11 | −0.47 * | −0.47 | 0.02 | 0.03 |
| 0.01 | 0.01 | 0.57 | 0.60 | 0.01 | 0.01 | 0.90 | 0.86 | |
| 28 | 25 | 28 | 25 | 28 | 25 | 28 | 25 | |
| VEG&MEL | 0.49 ** | 0.48 | −0.11 | −0.10 | −0.47 * | −0.47 | −0.01 | 0.00 |
| 0.01 | 0.01 | 0.57 | 0.62 | 0.01 | 0.01 | 0.96 | 0.99 | |
| 28 | 25 | 28 | 25 | 28 | 25 | 28 | 25 | |
Disclaimer/Publisher’s Note: The statements, opinions and data contained in all publications are solely those of the individual author(s) and contributor(s) and not of MDPI and/or the editor(s). MDPI and/or the editor(s) disclaim responsibility for any injury to people or property resulting from any ideas, methods, instructions or products referred to in the content. |
© 2023 by the authors. Licensee MDPI, Basel, Switzerland. This article is an open access article distributed under the terms and conditions of the Creative Commons Attribution (CC BY) license (https://creativecommons.org/licenses/by/4.0/).
Share and Cite
Lu, J.; Zhang, X.; Liang, S.; Cui, X. Spatiotemporal Dynamics of Vegetation Index in an Oasis-Desert Transition Zone and Relationship with Environmental Factors. Sustainability 2023, 15, 3503. https://doi.org/10.3390/su15043503
Lu J, Zhang X, Liang S, Cui X. Spatiotemporal Dynamics of Vegetation Index in an Oasis-Desert Transition Zone and Relationship with Environmental Factors. Sustainability. 2023; 15(4):3503. https://doi.org/10.3390/su15043503
Chicago/Turabian StyleLu, Jiaqi, Xifeng Zhang, Shuiming Liang, and Xiaowei Cui. 2023. "Spatiotemporal Dynamics of Vegetation Index in an Oasis-Desert Transition Zone and Relationship with Environmental Factors" Sustainability 15, no. 4: 3503. https://doi.org/10.3390/su15043503
APA StyleLu, J., Zhang, X., Liang, S., & Cui, X. (2023). Spatiotemporal Dynamics of Vegetation Index in an Oasis-Desert Transition Zone and Relationship with Environmental Factors. Sustainability, 15(4), 3503. https://doi.org/10.3390/su15043503
