Abstract
The oasis-desert transition zone (TZ) is an ecological buffer zone between a mobile desert and an oasis, which are important in reducing the forward mobility of sand dunes and wind and sand hazards in an oasis. In this study, the Dunhuang Oasis and its TZ in the Hexi Corridor (China) were examined. Based on the annual normalized vegetation index (NDVI) at each buffer distance of the TZ from 1987 to 2015, combing the watershed hydrology, oasis crop cultivation structure and industrial economic status, partial least squares regression models and a correlation analysis were used to examine the spatial and temporal changes in the vegetation gradient of the oasis TZ and the factors influencing those changes. (1) Spatially, the NDVI values in the TZ generally decreased gradually before stabilizing with a buffer distance (average decrease of 0.01–0.03 per 300 m). (2) Temporally, the mean values of the NDVI in the TZ show an overall wavelike variation across years. The annual average maximum NDVI value was 0.11 in 1987, whereas the annual average minimum value was 0.07 in 2014. (3) During the 1987–2015, runoff, tourist populations and water consumption for orchards were significantly and positively correlated with the NDVI; the year-end arable land area and the total industrial output value were significantly and negatively correlated with the NDVI; the rural per capita net income and water consumption for grain planting were not significantly and positively correlated with the NDVI; water consumption for the sum of vegetable and melon planting, water consumption for cotton planting, urbanization and rural populations were not significantly and negatively correlated with the NDVI. (4) The farm TZ NDVI is more strongly influenced by human activities than the undisturbed natural TZ.
1. Introduction
The landscape matrix in arid zones is dominated by deserts, and the oasis embedded in the desert becomes the area of concentrated human habitation and production in arid and semiarid regions [1,2]. A complete oasis system has an oasis-desert transition zone (TZ) system in addition to an oasis city with high productivity [3]. A TZ is an ecological buffer between an oasis and desert and is a relatively independent natural landscape unit in an oasis system with a fragile environment. A TZ is important in preventing the forward movement of dunes, curbing soil wind erosion and reducing the hazards of wind and sand in an oasis [3]. Environmental changes in a TZ are closely associated with the social development of oasis cities. Therefore, it is necessary to evaluate the temporal and spatial changes in TZ vegetation and the relations between such changes and the development of an oasis society. Increasing understanding of the changes in TZs will provide a scientific basis for the optimal allocation of water resources in an oasis system based on social-ecological synergy.
Upstream mountains (water-producing areas), midstream oases (water-using areas) and downstream deserts (water-scarce areas) are the main landscape features of inland river basins in China [4]. The scale of development of the oasis is directly dependent on the water coming from upstream. Therefore, with a limited upstream water supply, the conflict between social development in a mid-stream oasis and the development of a downstream desert ecosystem becomes a fundamental problem in oasis systems [5].
Between 1987 and 2015, due to rapid economic development and weak awareness of sustainable development, the oasis area in China expanded by almost 40% [6]. Agricultural water consumption accounted for nearly 90% of the total urban water consumption in oases in 2007 [7], leading directly to a reduction in physical space [6], vegetation degradation [8] and salinization [9] in TZs.
In recent decades, China has invested many human and material resources on research to control wind erosion of soils and on the promotion of oasis desertification control technology. As a result, a series of physical, chemical, and biological wind-sand control measures have been implemented in TZs. For example, nylon mesh, Frangula alnus and sand goby sand barriers are deployed in the Shajingzi area of the Minqin Oasis TZ in the Shiyang River basin [10,11]. The TZ of the Heihe Linze Oasis is planted with Haloxylon persicum, tamarisk, flower stick and Pinus sylvestris as the main artificial windbreak and sand-fixing belt [12,13]. Such TZ ecological management projects have achieved remarkable results in reducing wind erosion, in sand-fixing and in maintaining oasis stability [14]. In addition to the above-mentioned engineering and forestry measures, most current research on TZs focuses on the following four areas: (1) wind-sand protection effects on the lower underlying surface of an oasis [15,16]; (2) vegetation community characteristics and ecological water demand [17,18,19,20]; (3) characteristics of soil physicochemical indicators in vegetated areas [21,22,23]; and (4) soil properties and changes in spatial patterns of vegetation [24,25,26,27]. In addition, recent studies on the seasonal variation in energy exchange and evapotranspiration in TZs indicate that the cumulative annual evapotranspiration in TZs exceeds the precipitation in the same year [28]. The relation suggests that groundwater from oasis cities is an important source of moisture in TZs in addition to rainfall [28,29], such information provides an important scientific basis for rational allocation in oasis systems.
The research currently focuses more on the ecological problems of the oasis-desert transition zone itself, while ignore the importance of the TZ as a component of an oasis system and its interactions with an oasis. Hence, the fundamental problem of rational utilization of water resources in inland river basins needs further elaboration. The Dunhuang Oasis and its TZ at the westernmost end of the Hexi Corridor in Gansu, China, were the focus of this study, combing the oasis social water use survey, gradient sampling of the TZ vegetation indices and a partial least squares regression (PLSR). We were trying to answer the following three questions: What were the changes in the normalized vegetation index (NDVI) of the TZ during 1987–2015? What were the main factors influencing changes? Did anthropogenic activities over-take natural conditions as the main driver of changes in the TZ? This study tries to take the oasis-desert transition zone as an ecological indicator to respond to the socio-economic development of the oasis, which may be a supplement to the sustainable development discipline in arid areas.
2. Materials and Methods
2.1. Overview of the Research Area
The Dunhuang Oasis (40°02′–40°28′ N, 94°31′–94°55′ E) is on the alluvial-pluvial fan of the Danghe River in the city of Dunhuang, China (Figure 1). The average altitude of the oasis is 1138 m, and its terrain slopes from southwest to northeast. The potential average precipitation is only 39.20 mm, concentrated in July, but the actual evaporation is as high as 2486 mm. The multi-annual average relative humidity is less than 40%, and the annual average temperature is 9.60 °C, which is typical of a temperate arid climate. The Danghe River, which originates in the western Qilian Mountains, is the largest river, with an annual average runoff of 2.97 × 108 m3. The oasis covers approximately 1400 km2, accounting for only 4.49% of the city area, and is surrounded by the Gobi Desert. The total population in the oasis was 19.11 × 104, of which 10.04 × 104 were employed in agriculture. The oasis irrigation area was approximately 1688.35 km2 and the main cash crops included Gossypium, Vitis vinifera and Zea mays. Agricultural water consumption accounts for more than 85% of the total water intake [7]. Owing to years of economic development, the degree of desertification and salinization in the TZ has increased. Results of the 5th Desertification Monitoring in 2014 showed that desertified land area in Dunhuang was 1.96 × 104 km2, accounting for 73.62% of the total area [30]. Compared with the 4th Desertification Monitoring in 2009, the desertified land area decreased by 0.08% [30], only a few of areas of desertification land have recovered [6,7].
Figure 1.
Research area and test sample sites.
2.2. Description of the Data
The study data were the normalized difference vegetation index (NDVI) and its potential factors of influence for the 29 years from 1987 to 2015. The NDVI data were obtained by processing and analyzing Landsat 5 TM image products from 1987–2011, Landsat 7 ETM image products from 2012 and Landsat 8 OLI _TIRS image products from 2013–2015 [31]. A total of 29 image data were downloaded. Image products were downloaded from the China Geospatial Data Cloud platform (http://www.gscloud.cn/sources, accessed on 1 April 2022.) and the United States Geological Survey (http://earth explorer.usgs.gov, accessed on 1 April 2022.) [32]. Potential factors of influence, i.e., those factors that influenced the NDVI in the TZ, were divided into natural and socioeconomic factors (a total of 13 factors) using PLSR analysis. The natural factors included annual mean runoff (RUNO) and precipitation (PREP). The RUNO data were obtained from the Dunhuang Municipal Water Bureau and the PREP data from the National Weather Science Data Center (http://data.cma.cn, accessed on 1 May 2022.). Agriculture was the main source of the oasis economy. The oasis also supported a tourism industry with tourist attractions, such as the Mogao Grottoes, but that industry was relatively weak. All three major industries in the oasis have changed significantly from 1987 to 2015. Therefore, to represent the social development status of the oasis, the following parameters were used (Table 1): urbanization (URBL), urban population (URB), rural population (RUR), tourist population (TOR), rural per capita net income (RPFI), year-end arable land area (AGR), water consumption for cotton planting (COTTON), water consumption for orchard (GRAPE), water consumption for the sum of vegetable and melon planting (VEG&MEL), water consumption for grain planting (CROP) and total industrial output value (INDU). Vegetable and melon planting are mostly annual herbs and annual rhizomes, while fruit trees are perennial woody plants, they consume different levels of water and are therefore analyzed separately. We subjected each factor to a T-test to determine whether the difference between the two factors was significant, thus ensuring that each factor was independently statistically significant. The data were from the ‘Dunhuang City National Economic Yearbooks’ (1987–2015) (Dunhuang, China).
Table 1.
Natural and socioeconomic factors influencing the NDVI in the Dunhuang Oasis.
2.3. Research Methods
Figure 2 shows the flow chart of the research methodology, and the detailed research methods for each process have been described in the following.
Figure 2.
Flowchart of the research methodology.
2.3.1. TZ Vegetation Index and NDVI Acquisition and Sampling
The NDVI is an important indicator used to monitor the growth status and dynamics of vegetation. It is very sensitive to changes in surface vegetation (including vegetation coverage, biomass and leaf area index) [33] and is used in a wide range of applications involving time-series vegetation monitoring [34,35]. In particular, the NDVI can clearly reflect the vegetation growth status in studies on desert TZs in arid zones [36]. The NDVI is defined as the ratio of the difference between red (RED) and near-infrared (NIR) spectrum reflectance, as follows:
Index values range from −1 to +1, with negative values corresponding to an absence of vegetation. The NDVI data used in this paper were from Landsat5 TM, Landsat7 ETM and Landsat8 OLI_TIRS images (https://glovis.usgs.gov, accessed on 1 May 2022), with a resolution of 30 m. Following the radiometric calibration and atmospheric correction of the images using ENVI 5.3 software, the Transform-NDVI tool was used to calculate the NDVI values according to the above formula, with output as NDVI raster plots.
Based on the topography of the oasis and field visits, nine sample squares were selected at the northern edge of the oasis (Figure 1). The sample is 2500 m wide, extending from the oasis boundary line to the desert and1800 m long. Six of the samples, defined as type-D samples, had natural vegetation inside the oasis borderline and were vegetation-desert TZs. The other three samples, defined as type-A samples, were farms inside the oasis borderline, which were farm-desert type TZs. The TZ was sampled using the following steps. (1) The NDVI raster plot was loaded into ArcGIS 10.5 and the “dissolve” command was used to fuse the “noise” plaques. (2) The “buffer” analysis function was used to obtain edge lines between different landscape types. Then, the raster boundary with the largest NDVI difference among the adjacent polygon boundaries was identified as the inner edge line of the oasis TZ. In this study, the inner edge of the shelterbelt, the water and the desert inside the oasis were integrated into the main body of the oasis [37]. (3) According to the distribution pattern of vegetation growth in the TZ, the oasis boundary line was used as the starting line for sampling the NDVI values at different intervals in a sample square using the “clip” command. Within the range of 0–300 m from the oasis boundary, the sampling interval was 30 m; within the range of 300–600 m, the sampling interval was 60 m; within the range of 600–1000 m, the sampling interval was 100 m; and over 1000 m, the sampling interval was 200 m. The steps yielded the annual vegetation index results for the TZ.
2.3.2. Estimation of Crop Water Consumption
The crop-coefficient reference, crop-evapotranspiration method is the most common method to calculate crop water requirements [7]. We calculated crop water consumption (WC) using month-by-month evapotranspiration data combined with different growth periods and crop coefficients for each period for crops in the mid-latitude arid zone published by the Food and Agriculture Organization of the United Nations (FAO) (https://www.fao.org, accessed on 1 May 2022.) in 2015 and recommended phased crop coefficients for 84 crops:
where ET is the potential evapotranspiration of the crop obtained from meteorological data [7]; Kc is the crop coefficient; S is the crop area sown, according to the ‘Dunhuang City Statistical Yearbook’ for each year; and ini, mid and end denote developmental, mid-growth and maturity crop growth stages, respectively. The a refers to the first month of the developmental stage, b refers to the second month and n refers to the last month at the end of the developmental stage. The ETa, ETb and ETn are the sums of the potential evapotranspiration in the first, second and last months of each growth and development stage, respectively, and the potential evapotranspiration of each growth stage is the sum of the potential evapotranspiration of the corresponding months.
2.3.3. Data Analyses
Partial least squares regression was used to determine the variables that were most closely related to the NDVI on the time scale. A PLSR can provide a good solution to many problems that are difficult to solve by an ordinary multiple linear regression. It is a regression modeling method with multiple dependent variables corresponding to multiple independent variables [38]. Moreover, PLSR can effectively solve multi-level related problems between variables, and it is suitable for regression modeling when the sample size is smaller than the number of variables [39]. The models have been widely used in ecology, hydrology and soil studies.
In PLSR, R2 denotes the goodness-of-fit, and Q2, the cross-validation of R2, indicates the superiority of the prediction of the future trend of each variable. The predictive power of a model is best when Q2 > 0.50. Variable projected importance (VIP) was used to calculate the relative influence of different variables. A VIP > 1 indicated that an independent variable was highly significant, 0.5 < VIP < 1 meant that the independent variable was insignificantly correlated with the dependent variable and a VIP < 0.50 indicated that there was no correlation between independent and dependent variables. Four PLSR models were developed to investigate the main natural and socioeconomic drivers affecting the NDVI at the time scale. The NDVI was used as the dependent variable and the natural-socio-economic factors were used as the dependent variables, and the output values were the VIP values and correlation coefficients of each factor on the input NDVI. The specific input NDVI values are selected according to the variation characteristics of the NDVI values at each point obtained subsequently. The PLSRs were run in Simca 14.1.
Partial correlation analysis refers to the process of eliminating the effect of a third variable when two variables are simultaneously correlated with the third variable, with only the analysis of the degree of correlation between the two variables to be explored. Because of the complexity of PREP, a biased correlation method was used to analyze the correlation between other variables when excluding PREP (using PREP as a control variable). The input NDVI with natural-socio-economic factors other than PREP, and output values, as correlations between the factors exclude the effect of PREP in order to determine whether PREP can be used as a variable factor that can be ignored in the study area. The test criteria for the partial correlation analysis were the significance level and sample degrees of freedom. Significance levels were set at p = 0.05 and p = 0.01. The correlation between variables reached the level of significance when the results equaled or exceeded a critical value. The analysis was run in SPSS. (SPSS is a set of professional, general-purpose statistical packages, but it is also a combined package with data management, statistical analysis, statistical plotting and statistical reporting functions.)
3. Results
3.1. Spatial and Temporal Variation in the NDVI
Based on the characteristics of the NDVI values in the transition zone of Dunhuang Oasis, we set the NDVI values: 1–0.5 for high density vegetation cover area, 0.5–0.3 for mid-high density vegetation cover area, 0.3–0.2 for medium density vegetation cover area, 0.2–0.1 for mid-low density vegetation cover area, 0.1–0 for low density vegetation cover area and 0–−1 for water. The spatial and temporal NDVI of the transition zone is shown in Figure 3. The spatial and temporal variation of the NDVI in the transition zone is shown in Figure 3. From Figure 3, it is obvious that the NDVI value decreases in the transition zone from oasis to desert, and the regional vegetation cover decreases.
Figure 3.
Spatial and temporal variation of the vegetation.
3.2. Spatial and Temporal Variation in the Oasis Landscape
From Table 2 and Figure 4, we find that grassland is mostly concentrated in the northern part of the oasis, with the area increasing by 458.78 km2 between 1987 and 1996, decreasing by 670.21 km2 between 1996 and 2007 and increasing by 21.86 km2 between 2007 and 2015, with an overall trend of a shrinking grassland area. Between 1987 and 2015, the cropland area and urban construction land areas of the oasis have been increasing, with the expansion of cropland concentrated in the northern part of the oasis (red boxed area in Figure 4) and the expansion of urban construction land area concentrated in the southern part of the oasis (yellow boxed area in Figure 4). The increase in the cropland area has decreased since 2007, with the increase in the cropland area decreasing from 76.07 km2 from 1996–2007 to 18.01 km2 from 2007–2015. The increase in the urban construction land area has increased sharply since 2007, with the urban construction land area increasing by 14.28 km2 from 2007–2015.
Table 2.
Area change of each patch of the Dunhuang Oasis (km2).
Figure 4.
1987–2015 Oasis margin patch change map. 3.5. Effects of the characteristic variables on the transition zone. (The red box is the main change area of Cropland, and the yellow box is the main change area of urban construction land.)
3.3. Temporal Variation of the NDVI at each Sample Site
Variation in the NDVI in the TZ ranged from 0.01 to 0.24 during the 29-year study period, with little difference in mean values (Table 3). The minimum value was 0.07 in 2014, and the maximum value was 0.11 in 1987, with standard deviations of 0.01 to 0.03. The minimum value of the coefficient of variation was 14.77% in 1998, and the maximum value was 32.46% in 2015. The statistics are based on the mean of the nine sample sites.
Table 3.
Descriptive statistics of the NDVI.
3.4. Spatial Variation of the NDVI at Each Sample Site
The results of the spatial variation of the NDVI values at each sample site showed that the overall NDVI values showed a trend of gradually decreasing and then leveling off with an increasing buffer distance (spatial direction: from oasis to desert). However, the NDVI trends of A and D sample sites were different. The annual average NDVI values of D sample sites at each buffer zone ranged from 0.17 to 0.05, gradually decreasing with the increasing buffer distance, with an average decrease of 0.002 per 100 m (Figure 5). The maximum NDVI value was at the oasis boundary, and a steep decrease occurred beyond the 480 m buffer distance. Then, the NDVI stabilized, with small fluctuations in the 1200 m to 1600 m buffer zone. The overall trend of the NDVI was a gradual decrease. The annual mean NDVI values of the A sample ranged from 0.18 to 0.07 at all distances in the buffer zone, which were larger than those of the D sample and showed a significant decrease. The A samples all showed a steep drop between the oasis boundary and the 150 m buffer, and then showed a fluctuating decrease with the increase of the buffer distance. The reasons for this trend is because the oasis is the water source of the TZ, and as the distance from the oasis increases, the soil water content decreases and the NDVI value decreases accordingly. The NDVI of sample sites close to farms is generally higher than that of sample sites located between the desert and oasis, and the sensitive zone is narrower. We believe that agricultural irrigation leads to a large amount of surface water resources at farm sample sites near the boundary of the oasis, and the amount of water has a significant decreasing trend with the increase of the buffer zone.
Figure 5.
Spatial variation in the NDVI values of different sample points. (D1–D6 were vegetation-desert TZs. A1–A3 were farm-desert type TZs. The red line in the shaded area in the figure is the part of NDVI with a large decrease, and the dashed line is the trend line of NDVI.) (The p value of each sample point is less than 0.01).
We selected four sample points D-2, D-3, D-4 and A-1 at different spatial locations within the buffer zone to represent the TZ as a whole by compiling and analyzing the NDVI dynamics, and the change characteristics of these four sample points cover all the change patterns of various sample points and are therefore representative.
3.5. Effects of the Characteristic Variables on the TZ
We randomly selected four sample points D-2, D-3, D-4 and A-1 at different spatial locations within the buffer zone to represent the TZ as a whole by compiling and analyzing the NDVI dynamics, and the change characteristics of these four sample points cover all of the change patterns of various sample points and are therefore representative. We took the NDVI value at the buffer distance before the anomalous fluctuation as the dependent variable according to the spatial variation characteristics of the obtained sample points, and created a PLSR model with each environmental factor for a correlation analysis to investigate the significant factors affecting the NDVI variation in both time and space. The statistical data of each variable factor are shown in Table 4, and all of them passed the t-test and were statistically significantly independently.
Table 4.
Statistical values of each natural and socio-economic factor from 1987–2015.
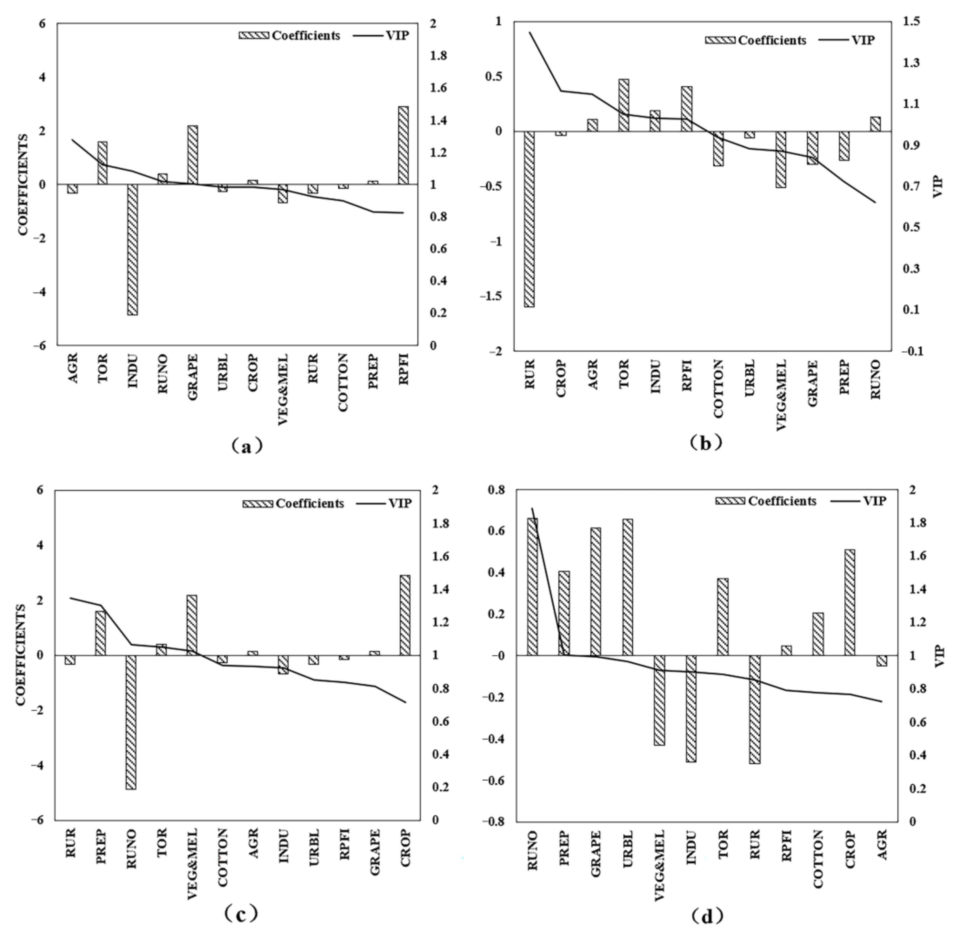
Figure 6a shows the overall PLSR model results for 1987 to 2015. To avoid overfitting, the model at the maximum value of Q2 was chosen as the optimal model for the output. Then, the optimal model extracted three components with an R2 value of 0.69 and Q2 value of 0.75. Therefore, the model achieved application with a statistical significance. The most significant variables for the NDVI variability in the TZ were RUNO, TOR, AGR, GRAPE and INDU (VIP > 1). AGR and INDU were significantly negatively correlated with the NDVI at each point in the TZ, whereas RUNO, TOR and GRAPE were significantly positively correlated with the NDVI. The VIP values of the other variables were all less than 1 and greater than 0.50, indicating a relatively small effect on the NDVI variability. There were no variables in the model that did not affect the value of the dependent variable (VIP < 0.50). Because of the large interannual span, to ensure that there was no false significance in the results (i.e., the result of the correlation with other independent variables leading to a false significant correlation between independent and dependent variables), split time periods with a 10-year span were modeled. Further analysis was conducted using the periods 1987–1996 (Figure 6b), 1997–2006 (Figure 6c) and 2007–2015 (Figure 6d). During 1997–2006, RUR and RUNO were significantly negatively correlated with the NDVI, and PREP, TOR and VEG&MEL were significantly positively correlated with the NDVI. During 2007–2015, RUNO and PREP were significantly negatively correlated with the NDVI at each point, whereas no other variables were significantly correlated with the NDVI.
Figure 6.
VIP values and correlation coefficients of the partial least squares regression models of natural and socioeconomic variables for each time period. (a) 1987–2015, (b) 1987–1996, (c) 1997–2006, and (d) 2007–2015.
In the spatial analysis, because of the differences in location and types of sample points, a correlation analysis was conducted for four sample points selected to elucidate the influences on the NDVI values in different regions. Table 5 shows the results of the correlation analysis between the NDVI and the respective variables for each point-sensitive zone, and indicates the importance of each variable on the NDVI. The RUNO was significantly positively correlated with D-4. The RUR was highly significantly negatively correlated with D-3 and D-4. The URBL was significantly negatively correlated with D-3 and D-4. The TOR and RPFI were highly significantly positively correlated with A-1 and highly significantly negatively correlated with D-3. The INDU was significantly positive for A-1 and highly significantly negative for D-3. The AGR was negatively correlated for all points, with a significant negative correlation for D-2 and a highly significantly negative correlation for D-4. The CROP was significantly negatively correlated for A-1 and significantly positively correlated for D-3. The COTTON was significantly negatively correlated with D-4. The VEG&MEL and GRAPE were highly significantly positive correlations for A-1 and significantly negative correlations for D-3. Correlations between the type-A sample points and the variables were roughly opposite to the results for the type-D sample points.
Table 5.
Correlation analysis of each variable.
Because PREP showed insignificant correlations for all NDVI values at each point in the correlation analysis, a partial correlation analysis was conducted with PREP as the control variable to ensure the accuracy of the analysis results (Table 5). The RUNO had a positive correlation for all points. The RUR was positively correlated for type-A sample points and negatively correlated for type-D sample points, with highly significantly negative correlations for points D-3 and D-4. The URBL was significantly negatively correlated with D-3 and D-4. The TOR and RPFI had highly significantly positive correlations for A-1 and negative correlations for type-D sample points. The INDU had a highly significantly positive correlation for A-1 and a highly significantly negative correlation for D-3. The AGR was negatively correlated for all points. The CROP was significantly negatively correlated for type-A sample points and positively correlated for type-D sample points. The COTTON, VEG&MEL and GRAPE were positively correlated for type-A sample points and negatively correlated for type-D sample points. The results are consistent with the correlation analysis.
4. Discussion
Runoff—Fluctuation in RUNO was relatively small, with a coefficient of variation of 10.74% during 1987–2015. The maximum annual mean flow was 15.40 m3/s in 1994, and the minimum flow was 10.06 m3/s in 2014. The results of PLSR and correlation analysis showed that the runoff of Dangcheng Bay was significantly and positively correlated with the NDVI of the TZ. The results of Wang et al., showed that, in arid zones, soil moisture is the most important factor controlling the growth and development of oasis vegetation [40]. The magnitude of river runoff directly affects soil moisture and has a significant relation with the distribution area of oases in the region [41,42,43]. As the only instream river in the Dunhuang Oasis, the RUNO directly affects the soil moisture of the oasis. As runoff increases, soil water content increases [44], promoting vegetation growth and development and consequent expansion of the oasis, this response is particularly pronounced in ecologically sensitive and fragile oasis TZs [45].
Precipitation—The Dunhuang Oasis had an annual average PREP of 42.84 mm, with large inter-annual differences and a coefficient of variation of 39.84%. The maximum PREP was 87.40 mm in 2007, whereas the minimum PREP in 2008 was only 13.27% of that in 2007. According to PLSR, the NDVI in the TZ was significantly negatively correlated with PREP in 1997–2006 but significantly positively correlated with PREP in 2007–2015. In the correlation analysis, PREP was not significantly correlated at each point. Therefore, PREP did not act as an independent influence at the oasis TZ scale. Annual PREP can explain the global variation in the greenness of dryland vegetation but not the local variation [46]. Ukkola et al. [46] showed that the global NDVI response to PREP is weak in time and space in all drylands and that dryland vegetation is resistant to changes in annual PREP. The concept of PREP use efficiency (RUE) was examined by Bai et al. [47], who concluded that RUE varies spatially in different ecosystems and decreases with increasing annual PREP within arid zone ecosystems. In addition, the subsequent response time to PREP varies among habitats in different locations [47,48]. The results of the partial correlation analysis on the factors using PREP as a control variable were similar to the results of the regression analysis. Thus, precipitation was not an independent factor of influence at the TZ scale.
Population—Oasis development is inseparable from human activities [6], mainly in terms of population change and economic development [49,50]. During 1987–2015, the URB of the Dunhuang Oasis (population of 1.94 × 104 in 1987 and 4.05 × 104 in 2015) and the RUR (population of 8.90 × 104 in 1987 and 10.21 × 104 in 2015) both increased annually. The URBL increased from 0.18 in 1987 to 0.28 in 2015. Urban land for construction expanded significantly (Figure 4), but the value of RUR still far exceeded that of URB (Figure 7). According to the PLSR models, RUR was negatively correlated with the NDVI in the TZ, with significant negative correlations in both 1987–1996 and 1997–2006 periods. In the correlation analysis, all correlations for the NDVI were negative except for that with A-1, which was positive. Therefore, results suggested that RUR and NDVI in the TZ were significantly negatively correlated. The increase in RUR will lead to an increase in villages and irrational farming, a corresponding increase in domestic water consumption and agricultural water consumption, and an over-exploitation of groundwater, resulting in the natural ecosystem of the oasis TZ area being affected and ecological water being crowded out, thus leading to a decrease in the NDVI.
Figure 7.
Oasis urban, agricultural and tourist population trends during 1987–2015.
Industry—Tourism and INDU increased over the study period (Figure 7). According to PLSR, TOR was significantly positively correlated with the NDVI values in the TZ in all time periods. INDU was significantly negatively correlated with the NDVI values of the TZ in 1987–2015 and significantly positively correlated in the period 1987–1996. Development of the tourism industry brings economic growth to a city while simultaneously motivating government to provide ecological protection for an oasis [51]. The study by Ayad et al. showed that, when the government has sufficient funds, the oasis management process is accelerated. Therefore, the growth of the tourist population has a positive impact on the NDVI in the transition zone [52]. The development of industry brings economic growth while increasing industrial water consumption and water pollution levels in an oasis and therefore has both benefits and costs. In the correlation analysis at the spatial level, both TOR and INDU were positively correlated with the NDVI in the A-1 sample point near farms and were negatively correlated with the NDVI in the three type-D sample points in the natural TZ. Therefore, the surge in the tourist population and industrial development was accompanied by a sharp increase in domestic and industrial water consumption in the oasis. Areas close to human activities are subject to marked effects of governance. By contrast, natural areas that are far from human activities are less affected by the relation between economic benefits and governance, resulting in those areas suffering relatively high oasis water depletion, with subsequent NDVI variation trends primarily responding to increased oasis water depletion.
Agriculture—Agriculture is the backbone of the oasis economic development, and the rationality of the agricultural cultivation structure directly affects oasis ecology [53,54]. The Dunhuang Oasis was dominated by food crop cultivation from 1987 to 1996, and thus, CROP was a significantly negative correlate affecting vegetation cover in the TZ during that period. However, in that period, total water consumption of oasis agricultural crops was not large, and crops were irrigated with large amounts of water [55,56]. This non-water-saving irrigation method led to a significantly positive correlation between AGR and NDVI in the TZ in that period. With the expansion of the oasis area, ecological land was converted to agricultural land, and therefore, the area of agricultural land expanded., especially at the edge of the oasis (Figure 4). Simultaneously, oasis agricultural acreage was adjusted, with the cash crop cotton replacing food crops as the main crop in Dunhuang, although the area dedicated to orchards, vegetables and melons expanded (Figure 8). The increase in arable land area was accompanied by a rapid increase in total crop water consumption, and oasis water sources were robbed by crops, resulting in a negative correlation between water consumption of each crop and vegetation in the TZ natural transition zone, and between AGR and NDVI. CROP is greatly reduced by the area under grain planting, and the result is positively correlated with the NDVI in the TZ, contrary to the water consumption of other crops. By contrast, A-1 near the farm showed a positive correlation between water consumption for crop cultivation and the NDVI because of the increase in irrigation resulting from the expansion of crop cultivation, this led to an increase in soil water content in that area.
Figure 8.
Water consumption map for crop cultivation during 1987–2015.
The analysis of the economic factors that have a two-sided impact in this study is not thorough enough, and there are missing statistics for 2009, so the research methodology needs to be further improved in the future in order to provide more convenient and effective scientific advice to policymakers.
5. Conclusions
During 1987–2015, the NDVI in the TZ showed an overall, gradual decrease before leveling off with a buffer distance. The range of variation was 0.17–0.05, with an average decrease of 0.002 per 100 m. The width of the TZ fluctuated. The total annual mean maximum NDVI value was 0.10 in 1987, and the minimum value was 0.07 in 2014.
Temporally, during 1987–2015, runoff, tourist population and water consumption for orchards were significantly positively correlated with the NDVI, with correlation coefficients of 0.40, 1.59 and 2.19. Year-end arable land area and total industrial output value were significantly negatively correlated with the NDVI, with correlation coefficients of −0.33 and −4.86. Population growth and the development of agriculture and industry have had a significant impact on the oasis transition zone as a whole.
Spatially, population and socio-economic factors were negatively correlated with the NDVI in the TZ areas close to farms, and positively correlated with the NDVI in the undisturbed natural TZ areas. The correlation between the NDVI and impact factors in the TZ areas close to farms was opposite to that between the NDVI and impact factors in the undisturbed natural TZ areas, and the NDVI in the TZ areas close to farms was more strongly influenced by human activities. Human activity has thus become an important factor of influence that, together with the natural environment, determines the dynamics of oasis TZs.
The variation in water consumption in the oasis at different times might have long-term and direct effects on the growth of vegetation in the TZ. The effects of oases on TZ ecosystems are critical compared with those of external forces, such as desertification control and ecological water transfer projects.
Author Contributions
Conceptualization X.Z.; methodology, J.L. and X.Z.; software, J.L.; formal analysis, J.L. and X.Z.; investigation, J.L. and S.L.; writing—original draft preparation, J.L. and X.Z.; writing—review and editing, S.L. and X.C.; supervision, X.Z.; funding acquisition, X.Z. All authors have read and agreed to the published version of the manuscript.
Funding
This work was funded by the National Natural Science Foundation of China (No. 41701321).
Acknowledgments
The authors would like to thank the Bureau of Statistics of Dunhuang City for providing data.
Conflicts of Interest
The authors declare no conflict of interest.
References
- Chen, X.H.; Duan, Z.H.; Luo, T.F. Changes in soil quality in the critical area of desertification surrounding the Ejina Oasis, Northern China. Environ. Earth Sci. 2014, 72, 2643–2654. [Google Scholar] [CrossRef]
- Huneburg, L.; Hoelzmann, P.; Knitter, D.; Teichert, B.; Richter, C.; Luthgens, C.; Alsaud, A.S.; Luciani, M. Living at the wadi—Integrating geomorphology and archaeology at the oasis of Qurayyah (NW Arabia). J. Maps 2019, 15, 215–226. [Google Scholar] [CrossRef]
- Li, Y.K.; Chao, J.P. The dynamical evolution theory of the isolated oasis system. Sci. China Earth Sci. 2015, 58, 436–447. [Google Scholar] [CrossRef]
- Bai, J.; Li, J.L.; Bao, A.M.; Chang, C. Spatial-temporal variations of ecological vulnerability in the Tarim River Basin, Northwest China. J. Arid. Land 2021, 13, 814–834. [Google Scholar] [CrossRef]
- Wang, W.H.; Chen, Y.N.; Wang, W.R. Groundwater recharge in the oasis-desert areas of northern Tarim Basin, Northwest China. Hydrol. Res. 2020, 51, 1506–1520. [Google Scholar] [CrossRef]
- Bie, Q.; Xie, Y.W. The constraints and driving forces of oasis development in arid region: A case study of the Hexi Corridor in northwest China. Sci. Rep. 2020, 10, 17708. [Google Scholar] [CrossRef] [PubMed]
- Zhang, X.; Zhang, L.; He, C.; Li, J.; Jiang, Y.; Ma, L. Quantifying the impacts of land use/land cover change on groundwater depletion in Northwestern China—A case study of the Dunhuang oasis. Agric. Water Manag. 2014, 146, 270–279. [Google Scholar] [CrossRef]
- Yuan, W.; Wu, S.Y.; Hou, S.G.; Xu, Z.W.; Lu, H.Y. Normalized Difference Vegetation Index-based assessment of climate change impact on vegetation growth in the humid-arid transition zone in northern China during 1982–2013. Int. J. Climatol. 2019, 39, 5583–5598. [Google Scholar] [CrossRef]
- Tang, Q.; Wang, W.R.; Tian, L.; Wang, W.W. Cognition and integrated assessment of farmers well—being in desert—oasis ecotone: Case of Shapotou. J. Arid. Land Resour. Environ. 2017, 31, 51–56. [Google Scholar] [CrossRef]
- Liang, A.M.; Ma, J.; Zhang, J.; Ma, Y.J.; Su, Z.Z. Comparative Analysis of Grain Size of Different Sand Barriers in Desert-Oasis Ecotone in Shajingzi Area of Minqin County. J. Taiyuan Norm. Univ. 2016, 15, 87–92. [Google Scholar]
- Dong, Z.B.; Lv, P. Development of aeolian geomorphology in China in the past 70 years. Acta Geogr. Sin. 2020, 75, 509–528. [Google Scholar]
- Li, F.; Zhao, W.Z. Hydrologic thresholds and changes in ANPP of artificial sand-fixing vegetation in a desert-oasis ecotone in Northwest China. J. Arid. Environ. 2017, 146, 44–52. [Google Scholar] [CrossRef]
- Liu, C.A.; Siddique, K.H.M.; Hua, S.; Rao, X. The trade-off in the establishment of artificial plantations by evaluating soil properties at the margins of oases. Catena 2017, 157, 363–371. [Google Scholar] [CrossRef]
- Chen, F.H.; Wu, S.H.; Cui, P.; Cai, Y.L.; Zhang, Y.L.; Yin, Y.H.; Liu, G.B.; Ouyang, Z.; Ma, W.; Yang, L.S.; et al. Progress of applied research of physical geography and living environment in China from 1949 to 2019. Acta Geogr. Sin. 2020, 75, 1799–1830. [Google Scholar]
- Bo, T.L.; Zheng, X.J. Numerical simulation of the evolution and propagation of aeolian dune fields toward a desert-oasis zone. Geomorphology 2013, 180–181, 24–32. [Google Scholar] [CrossRef]
- An, Z.S.; Zhang, K.C.; Tan, L.H.; Cai, D.W.; Zhang, Y. Effect of Protection against Wind-drift Sand over Desert-oasis Ecotone. Arid. Zone Res. 2017, 34, 1196–1202. [Google Scholar] [CrossRef]
- Luo, W.C.; Zhao, W.Z.; He, Z.B.; Sun, C.P. Spatial characteristics of two dominant shrub populations in the transition zone between oasis and desert in the Heihe River Basin, China. Catena 2018, 170, 356–364. [Google Scholar] [CrossRef]
- Hochmuth, H.; Thevs, N.; He, P. Water allocation and water consumption of irrigation agriculture and natural vegetation in the Heihe River watershed, NW China. Environ. Earth Sci. 2015, 73, 5269–5279. [Google Scholar] [CrossRef]
- Kang, J.P.; Ma, Y.Y.; Ma, S.Q.; Xue, Z.W.; Yang, L.L.; Han, L.; Liu, W.Y. Dynamic changes of spatial pattern and structure of the Tamarix ramosissima population at the desert-oasis ecotone of the Tarim Basin. Acta Ecol. Sin. 2019, 39, 265–276. [Google Scholar]
- Abdulaziz, A.M.; Faid, A.M. Evaluation of the groundwater resources potential of Siwa Oasis using three-dimensional multilayer groundwater flow model, Mersa Matruh Governorate, Egypt. Arab. J. Geosci. 2015, 8, 659–675. [Google Scholar] [CrossRef]
- Jiang, P.H.; Cheng, L.; Li, M.C.; Zhao, R.F.; Duan, Y.W. Impacts of LUCC on soil properties in the riparian zones of desert oasis with remote sensing data: A case study of the middle Heihe River basin, China. Sci. Total Environ. 2015, 506, 259–271. [Google Scholar] [CrossRef]
- Wei, Y.; Shi, Z.; Biswas, A.; Yang, S.T.; Ding, J.L.; Wang, F. Updated information on soil salinity in a typical oasis agroecosystem and desert-oasis ecotone: Case study conducted along the Tarim River, China. Sci. Total Environ. 2020, 716, 135387. [Google Scholar] [CrossRef]
- Zhang, H.W.; Hu, G.L.; Liu, G.M.; Liao, Y.X. Spatial Variability of Soil Moisture and Organic Matter in Desert-oasis Ecotone in the Middle Reaches of Heihe River. Chin. J. Soil Sci. 2016, 47, 1325–1331. [Google Scholar] [CrossRef]
- Zhao, W.; Liu, B.; Zhang, Z. Water requirements of maize in the middle Heihe River basin, China. Agric. Water Manag. 2010, 97, 215–223. [Google Scholar] [CrossRef]
- Wang, J.Q.; Han, L.; Liu, W.Y.; Peng, J.; Niu, J.L.; Wang, X.W. Variable Relationship of Soil Moisture and Spatial Pattern along Desert Oasis Transition Zone in the Tarim River Middle Reaches Basin. J. Northwest For. Univ. 2018, 33, 1–10. [Google Scholar]
- Abuzaid, A.S.; AbdelRahman, M.A.E.; Fadl, M.E.; Scopa, A. Land Degradation Vulnerability Mapping in a Newly-Reclaimed Desert Oasis in a Hyper-Arid Agro-Ecosystem Using AHP and Geospatial Techniques. Agronomy 2021, 11, 1426. [Google Scholar] [CrossRef]
- Zhou, S.; Dong, Y.; Julihaiti, A.; Nie, T.; Jiang, A.; An, S. Spatial Variation in Desert Spring Vegetation Biomass, Richness and Their Environmental Controls in the Arid Region of Central Asia. Sustainability 2022, 14, 12152. [Google Scholar] [CrossRef]
- Ji, X.B.; Zhao, W.Z.; Jin, B.W.; Liu, J.; Xu, F.N.; Zhou, H. Seasonal variations in energy exchange and evapotranspiration of an oasis-desert ecotone in an arid region. Hydrol. Process. 2021, 35, e14364. [Google Scholar] [CrossRef]
- Sefelnasr, A.; Gossel, W.; Wycisk, P. Three-dimensional groundwater flow modeling approach for the groundwater management options for the Dakhla oasis, Western Desert, Egypt. Environ. Earth Sci. 2014, 72, 1227–1241. [Google Scholar] [CrossRef]
- Gong, C.K. Analysis and Management of Sandy Land in Dunhuang City from 2009–2014. Gansu Sci. Technol. 2019, 35, 23–27. [Google Scholar]
- Schmidt, M.; Thamm, H.P.; Menz, G. Long term vegetation change detection in an arid environment using LANDSAT data. In Geoinformation for European-Wide Integration; Benes, T., Ed.; Millpress: Rotterdam, The Netherlands, 2008; pp. 491–496. [Google Scholar]
- Wang, S.; Wang, W.; Wu, Y.; Zhao, S. Surface Soil Moisture Inversion and Distribution Based on Spatio-Temporal Fusion of MODIS and Landsat. Sustainability 2022, 14, 9905. [Google Scholar] [CrossRef]
- Becker, F.; Choudhury, B.J. Relative sensitivity of Normalized Difference Vegetation Index (NDVI) and Microwave Polarization Difference Index (MPDI) for vegetation and desertification monitoring. Remote Sens. Environ. 1988, 24, 297–311. [Google Scholar] [CrossRef]
- Wu, L.; Li, C.B.; Wang, L.M.; Xie, X.H.; Zhang, Y.; Wei, J.M. Division and application of desert-oasis system in arid Northwest China based on ESA-LUC and MODIS-NDVI. J. Desert Res. 2020, 40, 139–150. [Google Scholar]
- Kuzevic, S.; Bobikova, D.; Kuzevicova, Z. Land Cover and Vegetation Coverage Changes in the Mining Area—A Case Study from Slovakia. Sustainability 2022, 14, 1180. [Google Scholar] [CrossRef]
- Chang, J.S.; Shoshany, M. Radar polarization and ecological pattern properties across Mediterranean to-arid transition zone. Remote Sens. Environ. 2017, 200, 368–377. [Google Scholar] [CrossRef]
- Chang, X.L.; Ji, S.X.; Qiao, R.R.; Bai, X.L.; Wang, L.X. NDVI-based identification of oasis-desert transitional zone wideness: A case study in the central Hexi corridor. Acta Ecol. Sin. 2020, 40, 5327–5336. [Google Scholar]
- Li, N.X.; Xu, J.F.; Yin, W.; Chen, Q.Z.; Wang, J.; Shi, Z.H. Effect of local watershed landscapes on the nitrogen and phosphorus concentrations in the waterbodies of reservoir bays. Sci. Total Environ. 2020, 716, 137132. [Google Scholar] [CrossRef]
- Wold, S.; Sjöström, M.; Eriksson, L. PLS-regression: A basic tool of chemometrics. Chemom. Intell. Lab. Syst. 2001, 58, 109–130. [Google Scholar] [CrossRef]
- Wang, S.X.; Wang, F. Response of oasis area to the surface runoff in Hexi inland river basin of China. J. Desert Res. 2021, 41, 231–241. [Google Scholar]
- Yin, D.Q.; Li, X.; Huang, Y.F.; Si, Y.; Wei, J.H.; Liu, J.H.; Bai, R. Ecosystem stability analysis with LUDC model and transitional area ratio index for Xihu oasis in Dunhuang, China. Environ. Earth Sci. 2016, 75, 707. [Google Scholar] [CrossRef]
- Li, B.F.; Chen, Y.N.; Chipman, J.W.; Shi, X.; Chen, Z.S. Why does the runoff in Hotan River show a slight decreased trend in northwestern China? Atmos. Sci. Lett. 2018, 19, e800. [Google Scholar] [CrossRef]
- Matin, M.A.; Bourque, C.P.A. Mountain-river runoff components and their role in the seasonal development of desert-oases in northwest China. J. Arid. Environ. 2015, 122, 1–15. [Google Scholar] [CrossRef]
- Guo, H.W.; Ling, H.B.; Xu, H.L.; Guo, B. Study of suitable oasis scales based on water resource availability in an arid region of China: A case study of Hotan River Basin. Environ. Earth Sci. 2016, 75, 984. [Google Scholar] [CrossRef]
- Chen, Z.S.; Chen, Y.N. Effects of climate fluctuations on runoff in the headwater region of the Kaidu River in northwestern China. Front. Earth Sci. 2014, 8, 309–318. [Google Scholar] [CrossRef]
- Ukkola, A.M.; De Kauwe, M.G.; Roderick, M.L.; Burrell, A.; Lehmann, P.; Pitman, A.J. Annual precipitation explains variability in dryland vegetation greenness globally but not locally. Glob. Chang. Biol. 2021, 27, 4367–4380. [Google Scholar] [CrossRef]
- Bai, Y.; Wu, J.; Xing, Q.; Pan, Q.; Huang, J.; Yang, D.; Han, X. Primary production and rain use efficiency across a precipitation gradient on the Mongolia plateau. Ecology 2008, 89, 2140–2153. [Google Scholar] [CrossRef]
- Chu, D.; Shen, H.; Guan, X.; Chen, J.M.; Li, X.; Li, J.; Zhang, L. Long time-series NDVI reconstruction in cloud-prone regions via spatio-temporal tensor completion. Remote Sens. Environ. 2021, 264, 112632. [Google Scholar] [CrossRef]
- Liu, H.L.; Shi, P.J.; Tong, H.L.; Zhu, G.F.; Liu, H.M.; Zhang, X.B.; Wei, W.; Wang, X.M. Characteristics and driving forces of spatial expansion of oasis cities and towns in Hexi Corridor, Gansu Province, China. Chin. Geogr. Sci. 2015, 25, 250–262. [Google Scholar] [CrossRef]
- Guan, J.Y.; Yao, J.Q.; Li, M.Y.; Zheng, J.H. Assessing the Spatiotemporal Evolution of Anthropogenic Impacts on Remotely Sensed Vegetation Dynamics in Xinjiang, China. Remote Sens. 2021, 13, 4651. [Google Scholar] [CrossRef]
- Amara, D.F. Tourism as a tool of development: The case study of Siwa oasis—Egypt western desert. WIT Trans. Ecol. Environ. 2010, 139, 537–549. [Google Scholar]
- Ayad, T.H.A.; Ye, S.J. Local People Attitudes toward Social, Economic and Environmental Impacts of Tourism in Siwa Oasis. Life Sci. J. Acta Zhengzhou Univ. Overseas Ed. 2013, 10, 2874–2883. [Google Scholar]
- Huang, J.; Ji, F. Effects of climate change on phenological trends and seed cotton yields in oasis of arid regions. Int. J. Biometeorol. 2015, 59, 877–888. [Google Scholar] [CrossRef] [PubMed]
- Huang, J.; Xue, D.Q.; Wang, C.S.; Chen, J.H. Resource and Environmental Pressures on the Transformation of Planting Industry in Arid Oasis. Int. J. Environ. Res. Public Health 2022, 19, 5977. [Google Scholar] [CrossRef] [PubMed]
- Yang, G.; Tian, L.J.; Li, X.L.; He, X.L.; Gao, Y.L.; Li, F.D.; Xue, L.Q.; Li, P.F. Numerical assessment of the effect of water-saving irrigation on the water cycle at the Manas River Basin oasis, China. Sci. Total Environ. 2020, 707, 135587. [Google Scholar] [CrossRef] [PubMed]
- Asiedu-Ayeh, L.O.; Zheng, X.; Agbodah, K.; Dogbe, B.S.; Darko, A.P. Promoting the Adoption of Agricultural Green Production Technologies for Sustainable Farming: A Multi-Attribute Decision Analysis. Sustainability 2022, 14, 9977. [Google Scholar] [CrossRef]
Disclaimer/Publisher’s Note: The statements, opinions and data contained in all publications are solely those of the individual author(s) and contributor(s) and not of MDPI and/or the editor(s). MDPI and/or the editor(s) disclaim responsibility for any injury to people or property resulting from any ideas, methods, instructions or products referred to in the content. |
© 2023 by the authors. Licensee MDPI, Basel, Switzerland. This article is an open access article distributed under the terms and conditions of the Creative Commons Attribution (CC BY) license (https://creativecommons.org/licenses/by/4.0/).







