Model Test Study on Natural Thawing Temperature Field of Artificial Ground Frozen Wall
Abstract
:1. Introduction
2. Design of Model Test
2.1. Project Overview
2.2. Derivation of Similarity Criteria
2.2.1. Similarity Criterion of Temperature Field
2.2.2. Humidity Field Similarity Criterion
2.3. Model Test System
2.4. Temperature Setting
3. Analysis of Test Results
3.1. Evolution Law of Freezing Temperature
3.2. Evolution Law of Thawing Temperature
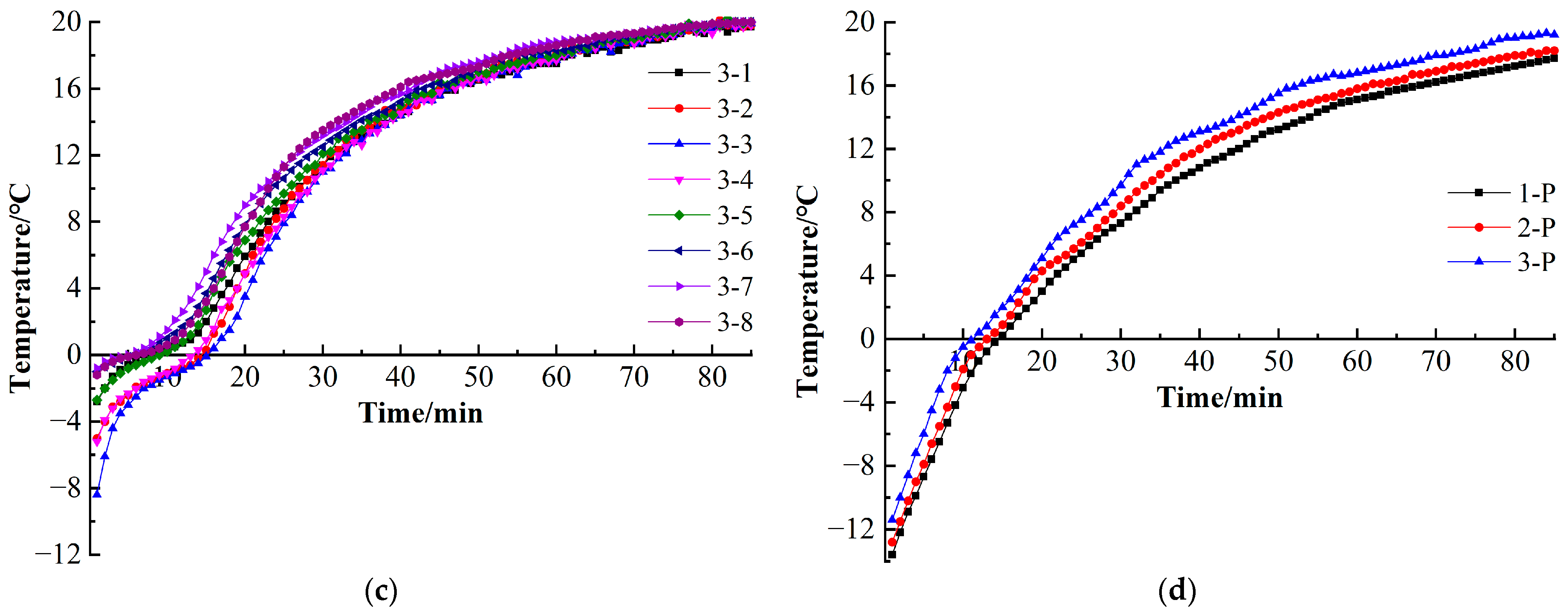
3.2.1. Temperature History Change
3.2.2. Evolution Law of Horizontal Thawing Temperature Field
3.2.3. Evolution Law of Vertical Thawing Temperature Field
4. Discussion
5. Conclusions
- (1)
- During the positive freezing period, the temperature changes at each measurement point went through three stages: A steep drop, a slow drop, and basic stability, while during the natural thawing period, there were four stages, namely, a rapid rise, a short lag, a second rapid rise, and a linear slow rise.
- (2)
- After 61 min of positive freezing, the thickness of the frozen wall on different sections showed Section 1 > Section 2 > Section 3. After 85 min of natural thawing, the size of the area where the ground temperature was not restored showed that Section 2 > Section 1 > Section 3, and the thawing effect of the stratum in the middle of the freezing pipe was the worst.
- (3)
- The distribution of the natural thawing temperature field is non-uniform along the length of the pipe, and the pipe wall temperature along this direction is distributed as an exponential function, which can provide a theoretical basis for subsequent numerical simulation study of the three-dimensional non-uniform thawing temperature field.
Author Contributions
Funding
Data Availability Statement
Conflicts of Interest
References
- Chen, R.J.; Cheng, G.D.; Li, S.X.; Guo, X.M.; Zhu, L.N. Development and prospect of research on application of artificial ground freezing. Chin. J. Geotech. Eng. 2000, 1, 43–47. [Google Scholar]
- Pimentel, E.; Papakonstantinou, S.; Anagnostou, G. Numerical interpretation of temperature distributions from three ground freezing applications in urban tunnelling. Tunn. Undergr. Space Technol. 2012, 28, 57–69. [Google Scholar] [CrossRef]
- Zaid, M.; Sadique, M.R.; Alam, M.M. Blast Resistant Analysis of Rock Tunnel Using Abaqus: Effect of Weathering. Geotech. Geol. Eng. 2022, 40, 809–832. [Google Scholar] [CrossRef]
- Zheng, L.F.; Gao, Y.T.; Zhou, Y.; Liu, T.; Tian, S.G. A practical method for predicting ground surface deformation induced by the artificial ground freezing method. Comput. Geotech. 2021, 130, 103925. [Google Scholar] [CrossRef]
- Cheng, H.; Yao, Z.S.; Zhang, J.S.; Rong, C.X. A model test study on the effect of freeze heaving and thaw subsidence for tunnel construction with artificial horizontal ground freezing. China Civ. Eng. J. 2007, 10, 80–85. [Google Scholar]
- Yang, P.; Chen, M.H.; Zhang, W.M.; Zhao, H.G.; Yu, C.H. Observation of the Forming and Thawing of Frozen Walls. J. Glaciol. Geocryol. 1998, 20, 128–132. [Google Scholar]
- Hu, X.D.; Fang, T.; Guo, X.D.; Ren, H. Temperature field research on thawing process of Freeze-Sealing Pipe Roof Method in Gongbei Tunnel by in-situ prototype test. J. China Coal Soc. 2017, 42, 1700–1705. [Google Scholar]
- Hu, X.D.; Wu, Y.H.; Li, X.Y. A Field Study on the Freezing Characteristics of Freeze-Sealing Pipe Roof Used in Ultra-Shallow Buried Tunnel. Appl. Sci. 2019, 9, 1532. [Google Scholar] [CrossRef]
- Ma, J.; Yang, P.; Liu, Z.G.; Li, Z.Y.; Chen, L. Study on Thawing Law of the Connecting Passage in Changzhou Sandy Formation. Chin. J. Undergr. Space Eng. 2019, 15, 168–173+180. [Google Scholar]
- Levin, L.; Gelovatyi, I.; Zaitsev, A.; Pugin, A.; Semin, M. Thermal monitoring of frozen wall thawing after artificial ground freezing: Case study of Petrikov Potash Mine. Tunn. Undergr. Space Technol. 2021, 107, 103685. [Google Scholar]
- Li, F.Z.; Xia, M.P. Study on analytical solution of temperature field of artificial frozen soil by exponent-integral function. J. Southeast Univ. (Nat. Sci. Ed.) 2004, 34, 469–473. [Google Scholar]
- Jiang, B.S.; Wang, J.G.; Zhou, G.Q. Analytical Calculation of Temperature Field Around a Single Freezing Pipe. J. China Univ. Min. Technol. 2009, 38, 463–466. [Google Scholar]
- Zhang, C.; Yang, W.H.; Qi, J.G.; Zhang, T. Analytic computation on the forcible thawing temperature field formed by a single heat transfer pipe with unsteady outer surface temperature. J. Coal Sci. Eng. (China) 2012, 18, 18–24. [Google Scholar]
- Cai, H.B.; Peng, L.M.; Zheng, T.L. A duration prediction model of surface thawing settlement in construction period of tunnel with horizontal freezing method. Rock Soil Mech. 2014, 35, 504–510. [Google Scholar]
- Cai, H.B.; Peng, L.M.; Zheng, T.L. A method for predicting ground surface settlement in the artificial thawing period of tunnel horizontally frozen wall. Rock Soil Mech. 2015, 36, 3516–3522+3530. [Google Scholar]
- Harlan, R.L. Analysis of coupled heat- fluid transport in partially frozen soil. Water Resour. Res. 1973, 19, 1314–1323. [Google Scholar] [CrossRef]
- Chen, X.B.; Wang, Y.Q. Frost heave prediction for clayey soils. Cold Reg. Sci. Technol. 1988, 15, 233–238. [Google Scholar]
- Shen, M.; Branko, L. Modelling of coupled heat, moisture and stress field in freezing soil. Cold Reg. Sci. Technol. 1990, 14, 237–246. [Google Scholar]
- Yuan, Y.H.; Yang, P. Numerical Analysis of Soil Thermal Field in Freezing Reinforcement of Shield Arriving. Chin. J. Undergr. Space Eng. 2010, 6, 1053–1059. [Google Scholar]
- Chen, C.; Yang, P.; Zhang, T. Numerical Analysis of Artificial Thawing Temperature Field in High-confined Aquifer Reinforcement. J. Zhengzhou Univ. (Eng. Sci.) 2012, 33, 81–85. [Google Scholar]
- Fu, Y.; Hu, J.; Liu, J.; Hu, S.B.; Yuan, Y.H.; Zeng, H. Finite Element Analysis of Natural Thawing Heat Transfer of Artificial Frozen Soil in Shield-Driven Tunnelling. Adv. Civ. Eng. 2020, 2020, 2769064. [Google Scholar] [CrossRef]
- Zhou, J.; Tang, Y.Q. Centrifuge experimental study of thaw settlement characteristics of mucky clay after artificial ground freezing. Eng. Geol. 2015, 190, 98–108. [Google Scholar]
- Shi, R.J.; Yue, F.T.; Zhang, Y.; Lu, L. Model test on freezing reinforcement for shield junction Part 1: Distribution characteristics of temperature field in soil stratum during freezing process. Rock Soil Mech. 2017, 38, 368–375. [Google Scholar]
- Hu, X.D.; Fang, T.; Chen, J.; Ren, H.; Guo, W. A large-scale physical model test on frozen status in freeze-sealing pipe roof method for tunnel construction. Tunn. Undergr. Space Technol. 2018, 72, 55–63. [Google Scholar]
- Duan, Y.; Rong, C.X.; Cheng, H.; Cai, H.B.; Long, W. Freezing Temperature Field of FSPR under Different Pipe Configurations: A Case Study in Gongbei Tunnel, China. Adv. Civ. Eng. 2021, 2021, 9958165. [Google Scholar]















| Parameters | Geometry | Time | Temperature | Humidity | Unit Weight |
|---|---|---|---|---|---|
| Ratio of similitude | 30 | 900 | 1 | 1 | 1 |
| Parameters | Water Content (%) | Density (kg·m–3) | Specific Gravity | Porosity (%) | Particle Size (mm) |
|---|---|---|---|---|---|
| Sand | 18.25 | 1950 | 2.70 | 0.74 | 0.3~0.5 |
| Parameters | Thermal Conductivity (kcal·m−1·d−1·°C−1) | Specific Heat (kcal·kg−1·°C−1) | Latent Heat of Phase Change (kcal·kg−1) | Freezing Temperature (°C) | Elastic Modulus (MPa) | Poisson Ratio | |
|---|---|---|---|---|---|---|---|
| Sand | Unfrozen | 23.00 | 0.357 | 8.93 | –0.5 | 15 | 0.29 |
| Frozen | 38.06 | 0.240 | 45 | 0.23 | |||
Disclaimer/Publisher’s Note: The statements, opinions and data contained in all publications are solely those of the individual author(s) and contributor(s) and not of MDPI and/or the editor(s). MDPI and/or the editor(s) disclaim responsibility for any injury to people or property resulting from any ideas, methods, instructions or products referred to in the content. |
© 2023 by the authors. Licensee MDPI, Basel, Switzerland. This article is an open access article distributed under the terms and conditions of the Creative Commons Attribution (CC BY) license (https://creativecommons.org/licenses/by/4.0/).
Share and Cite
Cai, H.; Yang, L.; Pang, C.; Li, M.; Lu, C.; Hong, R. Model Test Study on Natural Thawing Temperature Field of Artificial Ground Frozen Wall. Sustainability 2023, 15, 3186. https://doi.org/10.3390/su15043186
Cai H, Yang L, Pang C, Li M, Lu C, Hong R. Model Test Study on Natural Thawing Temperature Field of Artificial Ground Frozen Wall. Sustainability. 2023; 15(4):3186. https://doi.org/10.3390/su15043186
Chicago/Turabian StyleCai, Haibing, Longfei Yang, Changqiang Pang, Mengkai Li, Chanrui Lu, and Rongbao Hong. 2023. "Model Test Study on Natural Thawing Temperature Field of Artificial Ground Frozen Wall" Sustainability 15, no. 4: 3186. https://doi.org/10.3390/su15043186
APA StyleCai, H., Yang, L., Pang, C., Li, M., Lu, C., & Hong, R. (2023). Model Test Study on Natural Thawing Temperature Field of Artificial Ground Frozen Wall. Sustainability, 15(4), 3186. https://doi.org/10.3390/su15043186

