Study on the Influence Mechanism of Sample Preparation Method on the Shear Strength of Silty Soil
Abstract
:1. Introduction
2. Soil Sample Properties and Test Methods
2.1. Properties of Soil Samples
2.2. Test Scheme
3. Test Results and Analysis
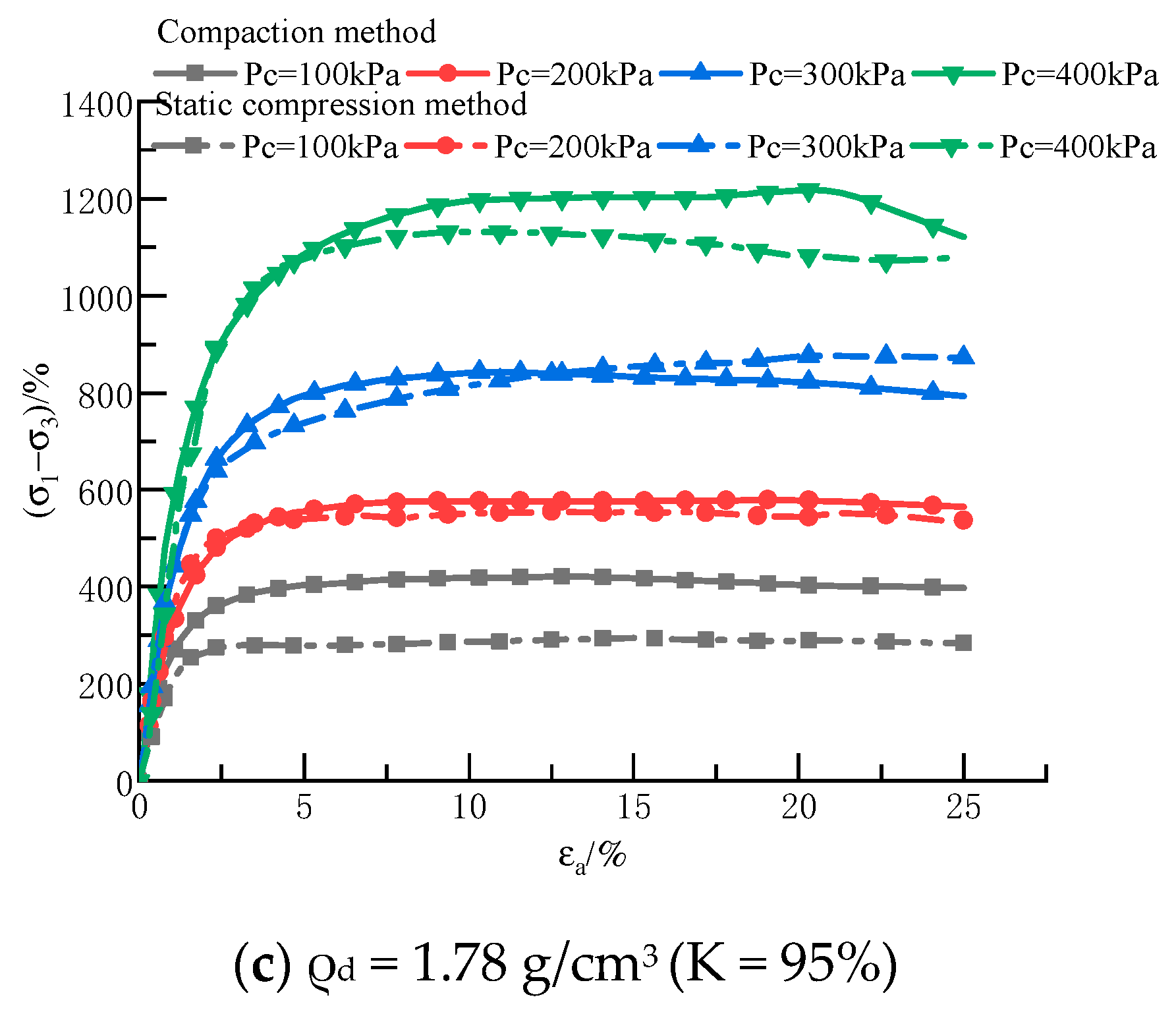
3.1. CU Test Results and Analysis
3.1.1. Stress–Strain Relationship Curve and Shear Strength
3.1.2. Shear Strength Parameters
3.2. NMR Test Results and Analysis
3.2.1. Pore Distribution Characteristics of the Saturated Samples
3.2.2. Pore Distribution Characteristics before and after the CU Test
4. Analysis of Cumulative Strain under Different Sample Preparation Methods
4.1. Dynamic Triaxial Test Scheme
4.2. Test Results and Analysis
4.2.1. Accumulated Strain
4.2.2. Rebound Modulus
5. Conclusions
Author Contributions
Funding
Institutional Review Board Statement
Informed Consent Statement
Data Availability Statement
Conflicts of Interest
References
- Al-Rkaby, A.H.; Chegenizadeh, A.; Nikraz, H.R. An experimental study on the cyclic settlement of sand and cemented sand under different inclinations of the bedding angle and loading amplitudes. Eur. J. Environ. Civ. Eng. 2019, 23, 971–986. [Google Scholar] [CrossRef]
- Al-Rkaby, A.H.; Nikraz, H.R.; Chegenizadeh, A. Stress and deformation characteristics of nonwoven geotextile reinforced sand under different directions of principal stress. Int. J. Geosynth. Ground Eng. 2017, 3, 34. [Google Scholar] [CrossRef]
- Park, J.-Y. A Critical Assessment of Moist Tamping and its Effect on the Initial and Evolving Structure of Dilatant Triaxial Specimens. J. Semin. Thromb. Hemost. 1999, 16, 1–20. [Google Scholar]
- De Gregorio, V.B. Loading systems, sample preparation, and liquefaction. J. Geotech. Eng. 1990, 116, 805–821. [Google Scholar] [CrossRef]
- Papadimitriou Achilleas, G.; Dafalias Yannis, F.; Mitsutoshi, Y. Plasticity modeling of the effect of sample preparation method on sand response. Soils Found. 2004, 45, 109–123. [Google Scholar] [CrossRef]
- Tatsuoka, F.; Ochi, K.; Fujii, S.; Okamoto, M. Cyclic undrained triaxial and torsional shear strength of sands for different sample preparation methods. Jpn. Geotech. Soc. 1986, 26, 23–41. [Google Scholar] [CrossRef]
- Li, T.T.; Wang, L.; Wang, S. Comparision of the shear strength of remolded clay soil samples prepared by different methods. Saf. Environ. Eng. 2012, 19, 152–156. (In Chinese) [Google Scholar]
- Guo, Y.; Wang, Y.X. Comparative test on consolidation undrained shear characteristics of undisturbed and remolded silt. J. Hydraul. Eng. 2011, 42, 68–75. (In Chinese) [Google Scholar]
- Zheng, J.; Ma, W.; Zhao, S.; Pu, Y. Development of the specimen-preparing technique for remoulded soil samples. J. Glaciol. Geocryol. 2008, 30, 494–500. (In Chinese) [Google Scholar]
- Lu, T.Y. Study on Unsaturated Shear Mechanical Properties and Micro-Mechanism of Site Silt; Zhongyuan University of Technology: Zhengzhou, China, 2019. (In Chinese) [Google Scholar]
- Li, C.Q.; Liang, G.Q.; Wu, X.Y.; Wang, L.L.; Xu, C.S. Study on the test of tensile strength of remolded loess. China Earthq. Eng. J. 2014, 36, 233–238+248. (In Chinese) [Google Scholar]
- Ren, K.B. Effects of Dry-Wet Cycle on Silt Mechanical Properties of Guchengzhai and Response Characteristics of the Wall; Zhengzhou University: Zhengzhou, China, 2019. (In Chinese) [Google Scholar]
- Hu, R.L.; Yue, Z.Q.; Tham, L.G.; Wang, L.C. Digital image analysis of Dynamic Compaction Effects on clay fills. J. Geotech. Geoenviron. Eng. 2005, 131, 1411–1422. [Google Scholar] [CrossRef]
- Qian, F.G.; Jrad, M.; Hattab, M.; Fleureau, J.-M.; Ameur, L.I. Pore morphology, porosity, and pore size distribution in Kaolinitic Remolded Clays under triaxial loading. Int. J. Geomech. 2020, 20, 04020057. [Google Scholar]
- Liu, Z.N.; Zhang, R.; Tang, D.L.; Liu, Z.J.; Zhou, Y. Influence of microstructure of expansive soil on swelling behavior. J. Civ. Environ. Eng. 2022, 1–11. Available online: http://kns.cnki.net/kcms/detail/50.1218.TU.20220128.2336.006.html (accessed on 22 December 2022). (In Chinese).
- Zhang, T.; Cai, G.; Liu, S. Reclaimed lignin-stabilized silty soil: Undrained shear strength, atterberg limits, and microstructure characteristics. J. Mater. Civ. Eng. 2018, 30, 04018277. [Google Scholar] [CrossRef]
- Pang, X.Q.; Hu, Z.Q.; Li, H.R.; Jiao, L.J. Structure damage evolution and mechanical properties of loess by CT-triaxial test. J. Hydraul. Eng. 2016, 47, 180–188. (In Chinese) [Google Scholar]
- Ren, K.B.; Wang, B.; Li, X.M.; Yin, S. Influence of the compaction procedure on mechanical behaviors and pore characteristics of silts. Chin. J. Rock Mech. Eng. 2019, 38, 842–851. (In Chinese) [Google Scholar]
- Lv, X. The Influence of Fines Content on the Dynamic Characteristics and Microstructure of Silt; Zhejiang University of Technology: Zhejiang, China, 2016. (In Chinese) [Google Scholar]
- Ren, H.P.; Liu, X.Z.; Xuan, M.M.; Ye, X.Y.; Li, Q.; Zhang, S. Study on cumulative plastic deformation of compacted silt under cyclic loading. Rock Soil Mech. 2021, 42, 1045–1055. [Google Scholar]
- Lei, Y.; Zhang, S.; Ye, X.; Xuan, M.; Liu, X. Determination of the critical dynamic stress for airport subgrade based on the serviceable performance. Transp. Geotech. 2022, 37, 100832. [Google Scholar] [CrossRef]
- MH/T 5027-2013; Standard for Civil Aviation Administration of China, Code for Geotechnical Design of Civil Airports. China Civil Aviation Press: Beijing, China, 2013. (In Chinese)
- ASTM D4767-2011; Standard Test Method for Consolidated Undrained Triaxial Compression Test for Cohesive Soils. American Society for Testing and Materials: Philadelphia, PA, USA, 2020.
- Dean, S.; You, G. Water retention behaviour of soils with different preparations. Chin. J. Geotech. Eng. 2015, 37, 91–97. (In Chinese) [Google Scholar]
- Li, Z.; Chen, Y.; Zhou, Y.; Bian, X. Field Rebound and Recompression Curve of Soft Clay. Geotech. Test. J. 2021, 44, 67–86. [Google Scholar] [CrossRef]
- Della, N.; Arab, A.; Belkhatir, M. Drained and undrained shear strength of silty sand: Effect of reconstitution methods and other parameters. Geol. Croat. 2011, 64, 163–171. [Google Scholar] [CrossRef]
- Nie, R.S.; Sun, B.L.; Leng, W.M.; Li, Y.F.; Ruan, B. Resilient modulus of coarse-grained subgrade soil for heavy-haul railway: An experimental study. Soil Dyn. Earthq. Eng. 2021, 150, 106959. [Google Scholar] [CrossRef]
- Nguyen, T.T.; Indraratna, B.; Singh, M. Dynamic parameters of subgrade soils prone to mud pumping considering the influence of kaolin content and the cyclic stress ratio. Transp. Geotech. 2021, 29, 100581. [Google Scholar] [CrossRef]
- Wang, J.H.; Ling, X.Z.; Li, Q.L.; Zhang, F.; Li, Y. Accumulated permanent strain and critical dynamic stress of frozen silty clay under cyclic loading. Cold Reg. Sci. Technol. 2018, 153, 130–143. [Google Scholar] [CrossRef]
- Ling, D.S.; Zhang, F.; Zhao, Y.; Huang, B.; Zhou, Y.G. Dynamic Response analysis of non-uniform Foundation under Aircraft Load. China Civ. Eng. J. 2017, 50, 97–109. (In Chinese) [Google Scholar]
- Ling, D.S.; Wang, Y.L.; Zhao, Y.; Huang, B.; Zhou, Y.G. Analysis of the dynamic response of the roadbed under the moving load of the aircraft main landing gear. Chin. J. Geotech. Eng. 2018, 40, 64–73. (In Chinese) [Google Scholar]














| Specific Gravity | Liquid Limit/% | Plastic Limit/% | Plasticity Index | Maximum Dry Density/g/cm3 | Optimum Water Content/% | Size Composition | ||
|---|---|---|---|---|---|---|---|---|
| Sand Grain/% | Powder Particle/% | Clay Particle/% | ||||||
| (2–0.075 mm) | (0.075–0.005 mm) | (<0.005 mm) | ||||||
| 2.67 | 15.4 | 23.0 | 7.6 | 1.87 | 13.1 | 47.2 | 46.7 | 6.1 |
| Dry Density/g/cm3 | Sampling Methods | Quantity for Aperture Measurement | Quantity for Aperture Measurement (Off-Test) |
|---|---|---|---|
| 1.66 | compaction method | 1 | 4 |
| static compression method | 1 | 4 | |
| 1.72 | compaction method | 1 | 4 |
| static compression method | 1 | 4 | |
| 1.78 | compaction method | 1 | 4 |
| static compression method | 1 | 4 |
| Initial Water Content/% | Saturation | Dry Density/g/cm3 | Confining Pressure/kPa | |||
|---|---|---|---|---|---|---|
| % | 100 | 200 | 300 | 400 | ||
| 13.1 | 57.5 | 1.66 | 74.8 | 72.7 | 32.8 | 42.2 |
| 13.1 | 63.3 | 1.72 | 97.2 | 67.3 | (20.4) | (10.7) |
| 13.1 | 70.0 | 1.78 | 126.9 | 23.2 | (32.2) | 86.4 |
| Initial Water Content/% | Saturation /% | Dry Density/g/cm3 | Compaction Method | Static Compression Method | ||
|---|---|---|---|---|---|---|
| Cohesion | Internal Friction Angle | Cohesion | Internal Friction Angle | |||
| c/kPa | /° | c/kPa | /° | |||
| 13.1 | 57.5 | 1.66 | 58.8 | 25.0 | 26.4 | 29.3 |
| 13.1 | 63.3 | 1.72 | 50.5 | 28.8 | 9.7 | 32.1 |
| 13.1 | 70.0 | 1.78 | 23.1 | 35.1 | 1.4 | 35.9 |
| Confining Pressure (kPa) | Dry Density (g/cm3) | Saturation (%) | Dynamic Stress Amplitude (kPa) | Sample Preparation Method |
|---|---|---|---|---|
| 60 | 1.76 | 67.4 | 60, 80, 100, 120, 140, 180, 220 | Compaction method, static compression method |
Disclaimer/Publisher’s Note: The statements, opinions and data contained in all publications are solely those of the individual author(s) and contributor(s) and not of MDPI and/or the editor(s). MDPI and/or the editor(s) disclaim responsibility for any injury to people or property resulting from any ideas, methods, instructions or products referred to in the content. |
© 2023 by the authors. Licensee MDPI, Basel, Switzerland. This article is an open access article distributed under the terms and conditions of the Creative Commons Attribution (CC BY) license (https://creativecommons.org/licenses/by/4.0/).
Share and Cite
Ma, X.; Yu, Q.; Xuan, M.; Ren, H.; Ye, X.; Liu, B. Study on the Influence Mechanism of Sample Preparation Method on the Shear Strength of Silty Soil. Sustainability 2023, 15, 2635. https://doi.org/10.3390/su15032635
Ma X, Yu Q, Xuan M, Ren H, Ye X, Liu B. Study on the Influence Mechanism of Sample Preparation Method on the Shear Strength of Silty Soil. Sustainability. 2023; 15(3):2635. https://doi.org/10.3390/su15032635
Chicago/Turabian StyleMa, Xinyan, Qian Yu, Mingmin Xuan, Huaping Ren, Xinyu Ye, and Bo Liu. 2023. "Study on the Influence Mechanism of Sample Preparation Method on the Shear Strength of Silty Soil" Sustainability 15, no. 3: 2635. https://doi.org/10.3390/su15032635
APA StyleMa, X., Yu, Q., Xuan, M., Ren, H., Ye, X., & Liu, B. (2023). Study on the Influence Mechanism of Sample Preparation Method on the Shear Strength of Silty Soil. Sustainability, 15(3), 2635. https://doi.org/10.3390/su15032635
