Public Concern and Awareness of National Parks in China: Evidence from Social Media Big Data and Questionnaire Data
Abstract
1. Introduction
2. Materials and Methods
2.1. Big Data—Weibo Text Mining
2.1.1. Collection of Weibo Data
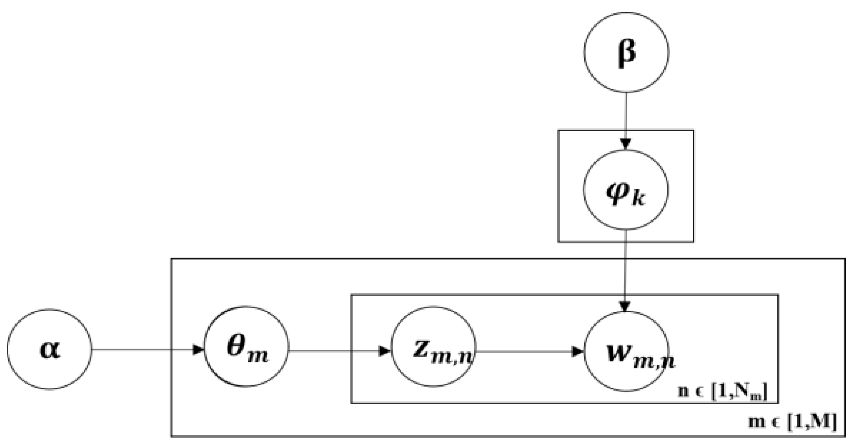
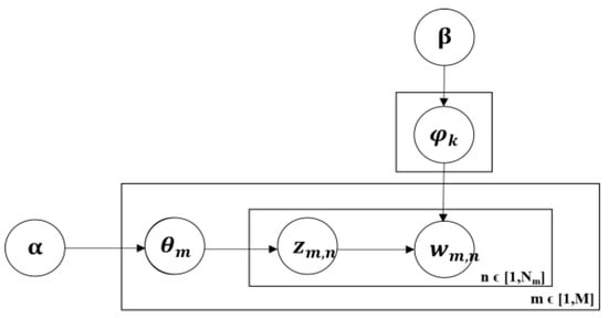
2.1.2. LDA Theme Model
2.2. Analysis of Small Data—Questionnaire Survey Data
3. Results
3.1. Analysis of Weibo Data
3.1.1. User Information Analysis
3.1.2. Hot Topic Analysis
3.2. Analysis of Questionnaire Results
3.2.1. Analysis of Public Concern
3.2.2. Analysis of Public Awareness
4. Discussion
5. Conclusions and Suggestions
Author Contributions
Funding
Institutional Review Board Statement
Informed Consent Statement
Data Availability Statement
Conflicts of Interest
Appendix A
| Questionnaire Content | Basic Questions | Option Settings |
|---|---|---|
| Basic Information | Gender | Male Female |
| Age group | Under 18 years old 18~25 26~30 31~40 41~50 51 years old and above | |
| Education | Elementary and below Junior and senior high school higher vocational and specialized education Undergraduate Graduate and above | |
| Concern | Have you heard of “national parks” before? | Yes No |
| Are you willing to take an active interest in “national parks”? | Yes No | |
| Do you really understand about “national parks”? | Yes No | |
| Through what channels do you know about “national parks”? | New media such as Weibo, WeChat Traditional media such as newspaper, radio and television Others (told by friends, teachers, and classmates) | |
| Do you know how many official “national parks” there are in China? | Know Not sure | |
| What part of “national parks” is of more concern to you? | Ecological resource protection, Surrounding community development, Tourism industry development, Franchise management, Others | |
| Awareness | Please select the statement from the description that best matches your awareness of “what are national parks”. | National parks are the national natural reserve National parks are the national scenic spot |
| Please select the statement from the description that best matches your awareness of “how to construct national parks”. | National parks should be strictly protected and should not be developed and used National parks are a public tourist attraction, and tourism should be developed vigorously National parks should develop tourism moderately under the premise of ecological protection | |
| Please select the statement from the description that best matches your awareness of “ the construction goal of national parks”. (The order of priority indicates the level of importance) | National representation, public welfare, ecological protection first Public welfare, national representation, ecological protection first Ecological protection first, public welfare, national representation Public welfare, ecological protection first, national representation Ecological protection first, national representation, public welfare National representation, ecological protection first, public welfare | |
| How do you feel about the admission fee of “national parks”? | National parks should be open to the public for free National parks should charge a certain admission fee |
| Basic Questions | Min | Max | Average | SD | t | p |
|---|---|---|---|---|---|---|
| Gender | 1.000 | 2.000 | 1.529 | 0.499 | 88.595 | 0.000 ** |
| Age group | 1.000 | 7.000 | 2.885 | 1.225 | 68.214 | 0.000 ** |
| Education | 1.000 | 5.000 | 4.092 | 0.901 | 131.425 | 0.000 ** |
| Have you heard of “national parks” before? | 1.000 | 2.000 | 1.311 | 0.463 | 81.932 | 0.000 ** |
| Are you willing to take an active interest in “national parks”? | 1.000 | 2.000 | 1.332 | 0.471 | 81.830 | 0.000 ** |
| Do you really understand about “national parks”? | −3.000 | 2.000 | 0.209 | 2.195 | 2.754 | 0.006 ** |
| Through what channels do you know about “national parks”? | −3.000 | 3.000 | 0.189 | 2.253 | 2.422 | 0.016 * |
| Do you know how many official “national parks” there are in China? | −3.000 | 2.000 | 0.357 | 2.276 | 4.539 | 0.000 ** |
| What part of “national parks” is of more concern to you? | −3.000 | 5.000 | 0.179 | 2.285 | 2.268 | 0.024 * |
| Please select the statement from the description that best matches your awareness of “what are national parks” | 1.000 | 2.000 | 1.216 | 0.412 | 85.490 | 0.000 ** |
| Please select the statement from the description that best matches your awareness of “how to construct national parks”. | 1.000 | 3.000 | 2.617 | 0.743 | 101.962 | 0.000 ** |
| Please select the statement from the description that best matches your awareness of “ the construction goal of national parks”. (The order of priority indicates the level of importance) | 1.000 | 6.000 | 1.872 | 0.902 | 60.073 | 0.000 ** |
| How do you feel about the admission fee of “national parks”? | 1.000 | 2.000 | 1.395 | 0.489 | 82.558 | 0.000 ** |
References
- Jones, N.; McGinlay, J.; Kontoleon, A.; Maguire-Rajpaul, V.A.; Dimitrakopoulos, P.G.; Gkoumas, V.; Riseth, J.A.; Sepp, K.; Vanclay, F. Understanding Public Support for European Protected Areas: A Review of the Literature and Proposing a New Approach for Policy Makers. Land 2022, 11, 733. [Google Scholar] [CrossRef]
- Fiallo, E.A.; Jacobson, S.K. Local Communities and Protected Areas: Attitudes of Rural Residents Towards Conservation and Machalilla National Park, Ecuador. Environ. Conserv. 1995, 22, 241–249. [Google Scholar] [CrossRef]
- Sirivongs, K.; Tsuchiya, T. Relationship between local residents’ perceptions, attitudes and participation towards national protected areas: A case study of Phou Khao Khouay National Protected Area, central Lao PDR. For. Policy Econ. 2012, 21, 92–100. [Google Scholar] [CrossRef]
- Belkayali, N.; Gülolu, Y.; Şevik, H. What affects perceptions of local residents toward protected areas? A case study from Kure Mountains National Park, Turkey. Int. J. Sustain. Dev. World Ecol. 2016, 23, 1–9. [Google Scholar] [CrossRef]
- Teel, T.L.; Manfredo, M.J.; Jensen, F.S.; Buijs, A.E.; Fischer, A.; Riepe, C.; Arlinghaus, R.; Jacobs, M.H.; Buijs, A.E.; Fischer, A.; et al. Understanding the Cognitive Basis for Human-Wildlife Relationships as a Key to Successful Protected-Area Management. Int. J. Sociol. 2010, 40, 104–123. [Google Scholar] [CrossRef]
- Cebrián-Piqueras, M.A.; Filyushkina, A.; Johnson, D.N.; Lo, V.B.; Lpez-Rodrguez, M.D.; March, H.; Oteros-Rozas, E.; Peppler-Lisbach, C.; Quintas-Soriano, C.; Raymond, C.M.; et al. Scientific and local ecological knowledge, shaping perceptions towards protected areas and related ecosystem services. Landsc. Ecol. 2020, 35, 2549–2567. [Google Scholar] [CrossRef]
- Allendorf, T.; Swe, K.K.; Thida, O.O.; Htut, Y.; Aung, M.; Aung, M.; Allendorf, K.; Hayek, L.A.; Leimgrubek, P.; Wemmer, C. Community attitudes toward three protected areas in Upper Myanmar (Burma). Environ. Conserv. 2006, 33, 344–352. [Google Scholar] [CrossRef]
- Bradley, C.; van Riper, C.J.; Miller, D.C.; Hodson, P.; Eriksson, M. Social Values and Knowledge Predict Attitudes within an Urban Protected Area in El Salvador. Soc. Nat. Resour. 2022, 35, 372–390. [Google Scholar]
- Htay, T.; Htoo, K.K.; Mbise, F.P.; Røskaft, E. Factors Influencing Communities’ Attitudes and Participation in Protected Area Conservation: A Case Study from Northern Myanmar. Soc. Nat. Resour. 2022, 35, 301–319. [Google Scholar] [CrossRef]
- Sullivan, A.; York, A.M.; An, L.; Yabiku, S.T.; Hall, S.J. How does perception at multiple levels influence collective action in the commons? The case of Mikania micrantha in Chitwan, Nepal. For. Policy Econ. 2017, 80, 1–10. [Google Scholar] [CrossRef]
- Allendorf, T.D. A Global Summary of Local Residents’ Attitudes toward Protected Areas. Hum. Ecol. 2020, 48, 111–118. [Google Scholar]
- Zhang, Y.; Xiong, W.; Xie, Y. Improving the quality of recreational environment and establishing an action framework for public participation in national parks. Tour. Trib. 2021, 36, 7–9. [Google Scholar]
- Héritier, S. Public Participation and Environmental management in Mountain National Parks. J. Alp. Res. 2010, 98, 160–178. [Google Scholar] [CrossRef]
- Rodríguez-Rodríguez, D.; Ibarra, P.; Echeverría, M.; Martínez-Vega, J. Perceptions attitudes and values of two key stakeholders on the oldest and newest Spanish national parks. Environ. Dev. Sustain. 2019, 21, 1053–1073. [Google Scholar] [CrossRef]
- Keigley, R.B. How Perceptions about Naturalness Affect Science in Yellowstone National Park. Rangel. Ecol. Manag. 2018, 71, 395–401. [Google Scholar] [CrossRef]
- Tekalign, W.; Bekele, A. Attitudes and Perceptions of the Local Community Towards Conservation in Maze National Park, Southern Ethiopia. Public Policy Adm. Res. 2016, 6, 12. [Google Scholar]
- Nestorová Dická, J.; Gessert, A.; Bryndzová, L.; Telbisz, T. Behavioural Survey of Local Inhabitants’ Views and Attitudes about Slovak Karst National Park in Slovakia. Sustainability 2020, 12, 10029. [Google Scholar] [CrossRef]
- Truong, D.D. Villagers’ Perception and Attitude Toward Wetland Values and Conservation in Vietnam: A Case Study of Xuan Thuy Ramsar National Park. Front. Sociol. 2021, 6, 763743. [Google Scholar] [CrossRef] [PubMed]
- Ghazvini, S.A.M.; Timothy, D.J.; Sarmento, J. Environmental concerns and attitudes of tourists towards national park uses and services. J. Outdoor Recreat. Tour. 2020, 31, 100296. [Google Scholar] [CrossRef]
- Xiao, X.; Manning, R.; Perry, E.; Valliere, W. Public Awareness of and Visitation to National Parks by Racial/Ethnic Minorities. Soc. Nat. Resour. 2018, 31, 908–924. [Google Scholar] [CrossRef]
- Dou, Y.; Li, Y. Discussions on Construction Status and Development Concept of National Parks in China. World For. Res. 2018, 31, 75–80. [Google Scholar]
- Luo, D. Construction of Community Participation Mechanism in the National Park Construction. J. Qingdao Agric. Univ. (Soc. Sci. Ed.) 2019, 31, 34–38. [Google Scholar]
- Mao, L. Study on the social concern of national park based on Baidu index. Jiangsu Sci. Technol. Inf. 2020, 37, 81–84. [Google Scholar]
- Zhang, Y.; Yan, Y. Analysis of Public Cognition of China’s National Park Based on Network Review. J. Green Sci. Technol. 2021, 23, 69–72. [Google Scholar]
- Ayivor, J.S.; Nyametso, J.K.; Ayivor, S. Protected Area Governance and Its Influence on Local Perceptions, Attitudes and Collaboration. Land 2020, 9, 310. [Google Scholar] [CrossRef]
- Johnston, J.R.; Needham, M.D.; Cramer, L.A.; Swearingen, T.C. Public Values and Attitudes toward Marine Reserves and Marine Wilderness. Coast. Manag. 2020, 48, 142–163. [Google Scholar] [CrossRef]
- Sinthumule, N.I. An analysis of communities’ attitudes towards wetlands and implications for sustainability. Glob. Ecol. Conserv. 2021, 27, e01604. [Google Scholar] [CrossRef]
- He, S.; Wei, Y. Measuring the conservation attitudes of local farmers towards conservation easements in the Qianjiangyuan National Park. Glob. Ecol. Conserv. 2022, 36, e02123. [Google Scholar] [CrossRef]
- Iñiguez-Gallardo, V.; Reyes-Bueno, F.; Peñaranda, O. Conservation Debates: People’s Perceptions and Values towards a Privately Protected Area in Southern Ecuador. Land 2021, 10, 233. [Google Scholar] [CrossRef]
- Angwenyi, D.; Potgieter, M.; Gambiza, J. Community perceptions towards nature conservation in the Eastern Cape Province, South Africa. Nat. Conserv. 2021, 43, 41–53. [Google Scholar] [CrossRef]
- Duan, W.; Su, N.; Jiang, Y.; Shen, J. Impacts of Social Trust on Rural Households’ Attitudes Towards Ecological Conservation—Example of the Giant Panda Nature Reserves in China. Forests 2022, 13, 53. [Google Scholar] [CrossRef]
- Soriano-Redondo, A.; Bearhop, S.; Lock, L.; Votier, S.C.; Hilton, G.M. Internet-based monitoring of public perception of conservation. Biol. Conserv. 2017, 206, 304–309. [Google Scholar] [CrossRef]
- Ghani, N.A.; Hamid, S.; Hashem, I.A.T.; Ahmed, E. Social media big data analytics: A survey. Comput. Hum. Behav. 2019, 101, 417–428. [Google Scholar] [CrossRef]
- Zachlod, C.; Samuel, O.; Ochsner, A.; Werthmueller, S. Analytics of social media data—State of characteristics and application. J. Bus. Res. 2022, 144, 1064–1076. [Google Scholar] [CrossRef]
- Rawat, R.; Yadav, R. Big Data: Big Data Analysis, Issues and Challenges and Technologies. In IOP Conference Series: Materials Science and Engineering; IOP Publishing: Bristol, UK, 2021; Volume 1022, p. 012014. [Google Scholar]
- Stieglitz, S.; Mirbabaie, M.; Ross, B.; Neuberger, C. Social media analytics—Challenges in topic discovery, data collection, and data preparation. Int. J. Inf. Manag. 2018, 39, 156–168. [Google Scholar] [CrossRef]
- Power, B.J. How to use Twitter at a Scientific Conference. Msphere 2022, 7, e00121-22. [Google Scholar] [CrossRef]
- Waheeb, S.A.; Khan, N.A.; Shang, X. Topic Modeling and Sentiment Analysis of Online Education in the COVID-19 Era Using Social Networks Based Datasets. Electronics 2022, 11, 715. [Google Scholar] [CrossRef]
- Mahdikhani, M. Predicting the popularity of tweets by analyzing public opinion and emotions in different stages of Covid-19 pandemic. Int. J. Inf. Manag. Data Insights 2022, 2, 100053. [Google Scholar] [CrossRef]
- Sunitha, D.; Patra, R.K.; Babu, N.V.; Suresh, A.; Gupta, S.C. Twitter Sentiment Analysis Using Ensemble based Deep Learning Model towards COVID-19 in India and European Countries. Pattern Recognit. Lett. 2022, 158, 164–170. [Google Scholar] [CrossRef]
- Achyutha, P.N.; Chaudhury, S.; Bose, S.C.; Kler, R.; Surve, J.; Kaliyaperumal, K. User Classification and Stock Market-Based Recommendation Engine Based on Machine Learning and Twitter Analysis. Math. Probl. Eng. 2022, 2022, 4644855. [Google Scholar] [CrossRef]
- Chinnasamy, P.; Suresh, V.; Ramprathap, K.; Jebamani, B.J.A.; Rao, K.S.; Kranthi, M.S. COVID-19 Vaccine Sentiment Analysis using Public Opinions on Twitter. Mater. Today Proc. 2022, 64, 448–451. [Google Scholar] [CrossRef] [PubMed]
- Koukaras, P.; Tjortjis, C.; Rousidis, D. Mining association rules from COVID-19 related twitter data to discover word patterns, topics and inferences. Inf. Syst. 2022, 109, 102054. [Google Scholar] [CrossRef] [PubMed]
- Kassens-Noor, E.; Vertalka, J.; Wilson, M. Good games, bad host? Using big data to measure public concern and imagery of the Olympic Games. Cities 2019, 90, 229–236. [Google Scholar] [CrossRef]
- Mangachena, J.R.; Pickering, C.M. Implications of social media discourse for managing national parks in South Africa. J. Environ. Manag. 2021, 285, 112159. [Google Scholar] [CrossRef] [PubMed]
- Bhatt, P.; Pickering, C.M. Public Perceptions about Nepalese National Parks: A Global Twitter Discourse Analysis. Soc. Nat. Resour. 2021, 34, 683–700. [Google Scholar] [CrossRef]
- Pickering, C.M.; Norman, P. Assessing discourses about controversial environmental management issues on social media: Tweeting about wild horses in a national park. J. Environ. Manag. 2020, 275, 111244. [Google Scholar] [CrossRef]
- Jin, C.; Wu, W.; Chen, B.; Yang, J. Analysis and Comparative Study of the Evolution of Public Opinion on Social Media during Typhoon for Different User Groups. J. Geo-Inf. Sci. 2021, 23, 2174–2186. [Google Scholar]
- Chakrabarti, S.; Berg, M.; Dom, B. Focused crawling: A new approach to topic-specific Web resource discovery. Comput. Netw. 1999, 31, 1623–1640. [Google Scholar] [CrossRef]
- Zhang, J.Z.; Srivastava, P.R.; Sharma, D.; Eachempati, P. Big Data Analytics and Machine Learning: A Retrospective Overview and Bibliometric Analysis. Expert Syst. Appl. 2021, 184, 115561. [Google Scholar] [CrossRef]
- Fu, T.; Abbasi, A.; Chen, H. A focused crawler for Dark Web forums. J. Am. Soc. Inf. Sci. Technol. 2010, 61, 1213–1231. [Google Scholar] [CrossRef]
- Blei, D.M.; Ng, A.Y.; Jordan, M.I. Latent Dirichlet Allocation. J. Mach. Learn. Res. 2003, 3, 993–1022. [Google Scholar]
- Yongming, C.; Qing, C. Chinese Short Text Topic Analysis by Latent Dirichlet Allocation Model with Co-Word Network Analysis. J. China Soc. Sci. Tech. Inf. 2018, 37, 305–317. [Google Scholar]
- Srijith, P.K.; Hepple, M.; Bontcheva, K.; Preotiuc-Pietro, D. Sub-Story Detection in Twitter with Hierarchical Dirichlet Processes. Inf. Process. Manag. 2017, 53, 989–1003. [Google Scholar] [CrossRef]
- Xiong, H.; Ye, J. Microblog Tags Generation Based on LDA Theme Model. Inf. Sci. 2018, 36, 7–12. [Google Scholar]
- Zhang, L.; Wang, X.; Huang, B.; Liu, T. Research on the Topic Clustering Graph and the Transmission Path of Micro-Blogging Users Amid COVID-19 Based on the LDA Model. J. China Soc. Sci. Tech. Inf. 2021, 40, 234–244. [Google Scholar]
- Röder, M.; Both, A.; Hinneburg, A. Exploring the space of topic coherence measures. In Proceedings of the Eighth ACM International Conference on Web Search and Data Mining, New York, NY, USA, 2–6 February 2015; pp. 398–408. [Google Scholar]
- Yang, R. Conservation first, national representative, and commonwealth: The three concepts of China’s National Park System Construction. Biodivers. Sci. 2017, 25, 1040–1041. [Google Scholar] [CrossRef]
- Tang, F. Analysis of national park charges. J. For. Econ. 2016, 38, 9–13. [Google Scholar]
- Yonk, R.M.; Lofthouse, J.K. A review on the manufacturing of a national icon: Institutions and incentives in the management of Yellowstone National Park. Int. J. Geoheritage Park. 2020, 8, 87–95. [Google Scholar] [CrossRef]
- Zhao, S. Research on Public Awareness of Ecological Civilization in China; Liaoning University of Technology: Jinzhou, China, 2017. [Google Scholar]
- Zhang, F. A study on regional differences in environmental concerns of urban and rural residents in China: Analysis based on China’s comprehensive social survey data in 2010. Study Explor. 2018, 39, 39–46. [Google Scholar]
- Li, Y.; Wang, X. Survey and Analysis of Public Environmental Consciousness in the Counties of Western China. J. Liaoning Norm. Univ. (Nat. Sci. Ed.) 2005, 28, 352–354. [Google Scholar]
- Ma, J.; Tang, X. Analysis of community residents’ awareness of Patatson National Park. J. Southwest For. Univ. (Soc. Sci.) 2021, 5, 23–29. [Google Scholar]











| Theme 1: introduction to national parks construction in other countries | Theme 2: system pilot construction of national parks in China | Theme 3: wild life conservation of national parks in other countries | |||
| Key Words | Relevance | Key Words | Relevance | Key Words | Relevance |
| America | 0.014 | Conservation | 0.014 | Tourists | 0.007 |
| Here | 0.009 | Ecology | 0.012 | Month | 0.007 |
| World | 0.009 | Construction | 0.012 | Elephants | 0.005 |
| Located | 0.009 | Management | 0.011 | Africa | 0.005 |
| Most | 0.009 | Panda | 0.009 | Us | 0.005 |
| Canada | 0.008 | China | 0.008 | Animals | 0.005 |
| Travel | 0.007 | System | 0.008 | South Africa | 0.004 |
| Waterfall | 0.007 | Work | 0.007 | Can | 0.004 |
| Place | 0.007 | Pilot | 0.006 | Go | 0.004 |
| New Zealand | 0.006 | Development | 0.006 | Discover | 0.003 |
| Theme 4: ecotourism development of national parks in China | Theme 5: news video publicity of national parks in China | Theme 6: effectiveness of national parks construction in China | |||
| Key Words | Relevance | Key Words | Relevance | Key Words | Relevance |
| Link | 0.027 | Shoot | 0.066 | Sanjiangyuan | 0.052 |
| Page | 0.026 | Video | 0.058 | Northeast | 0.017 |
| Travel | 0.009 | Photographer | 0.042 | Tiger and leopard | 0.012 |
| Month | 0.007 | Take | 0.027 | Wild life | 0.011 |
| Pudacuo | 0.006 | A | 0.024 | Qinghai | 0.011 |
| Scenic Area | 0.006 | Panda | 0.021 | Conservation | 0.011 |
| World | 0.006 | Mom | 0.016 | Parks | 0.009 |
| Shangri-La | 0.005 | Photo | 0.014 | China | 0.007 |
| Taiwan | 0.005 | Screen | 0.013 | Administration | 0.007 |
| China | 0.004 | News | 0.011 | Rare | 0.006 |
| Basic Information | Options | Proportion | Basic Information | Options | Proportion |
|---|---|---|---|---|---|
| Gender | Male | 47.14% | Age | Under 18 | 4.89% |
| Female | 52.86% | 18–25 | 44.87% | ||
| Education | Elementary school and below | 5.48% | 26–30 | 23.51% | |
| Middle School, High School | 14.16% | 31–40 | 14.68% | ||
| Higher vocational and specialized education | 12.05% | 41–50 | 8.47% | ||
| Undergraduate | 37.32% | 51–60 | 2.74% | ||
| Postgraduate and above | 30.99% | Above 60 | 0.84% |
| Number of Items | Sample Size | Cronbach α |
|---|---|---|
| 13 | 2511 | 0.749 |
| KMO | 0.880 | |
| Bartlett’s sphericity test | Approximate chi square | 10,753.690 |
| df | 78 | |
| p | 0.000 |
Disclaimer/Publisher’s Note: The statements, opinions and data contained in all publications are solely those of the individual author(s) and contributor(s) and not of MDPI and/or the editor(s). MDPI and/or the editor(s) disclaim responsibility for any injury to people or property resulting from any ideas, methods, instructions or products referred to in the content. |
© 2023 by the authors. Licensee MDPI, Basel, Switzerland. This article is an open access article distributed under the terms and conditions of the Creative Commons Attribution (CC BY) license (https://creativecommons.org/licenses/by/4.0/).
Share and Cite
Dou, Y.; Wu, C.; He, Y. Public Concern and Awareness of National Parks in China: Evidence from Social Media Big Data and Questionnaire Data. Sustainability 2023, 15, 2653. https://doi.org/10.3390/su15032653
Dou Y, Wu C, He Y. Public Concern and Awareness of National Parks in China: Evidence from Social Media Big Data and Questionnaire Data. Sustainability. 2023; 15(3):2653. https://doi.org/10.3390/su15032653
Chicago/Turabian StyleDou, Yaquan, Changhao Wu, and Youjun He. 2023. "Public Concern and Awareness of National Parks in China: Evidence from Social Media Big Data and Questionnaire Data" Sustainability 15, no. 3: 2653. https://doi.org/10.3390/su15032653
APA StyleDou, Y., Wu, C., & He, Y. (2023). Public Concern and Awareness of National Parks in China: Evidence from Social Media Big Data and Questionnaire Data. Sustainability, 15(3), 2653. https://doi.org/10.3390/su15032653

