An Integrated PCA–AHP Method to Assess Urban Social Vulnerability to Sea Level Rise Risks in Tampa, Florida
Abstract
1. Introduction
2. Study Area
3. Data
4. Methods
4.1. Flooding Area Identification
- i.
- Raster calculation: this aimed to produce a new raster image P which only included those areas below a given sea level h by comparing them with a DEM raster image D:
- ii.
- Pixel reclassification: this aimed to reclassify the raster image P so that only flooding areas were kept using the following equation:
- iii.
- Spatial intersection: However, these flooding areas identified in Step 2 may include areas whose elevations are lower than h but are not connected to the ocean. Examples of such outliers include lakes, ponds, and valleys, which are not flooded due to the sea level rise and should be removed. This can be done by selecting only those flooding areas that spatially intersect with the coastlines provided by the NOAA. We first converted the raster data G to the polygon feature class consisting of a set of polygon features S = , each of which denotes a possible flooding area whose elevation is lower than the sea level. We supposed that N polygons were identified in total. Given a coastline L, we checked if each of N polygons intersects with L or not, and only kept those intersects, using the following equation:
4.2. An Integrated PCA–AHP SVI Method
4.2.1. PCA for Factor Analysis
4.2.2. AHP
AHP for Theme Weighting
The Consistency Check of AHP
5. Results and Discussions
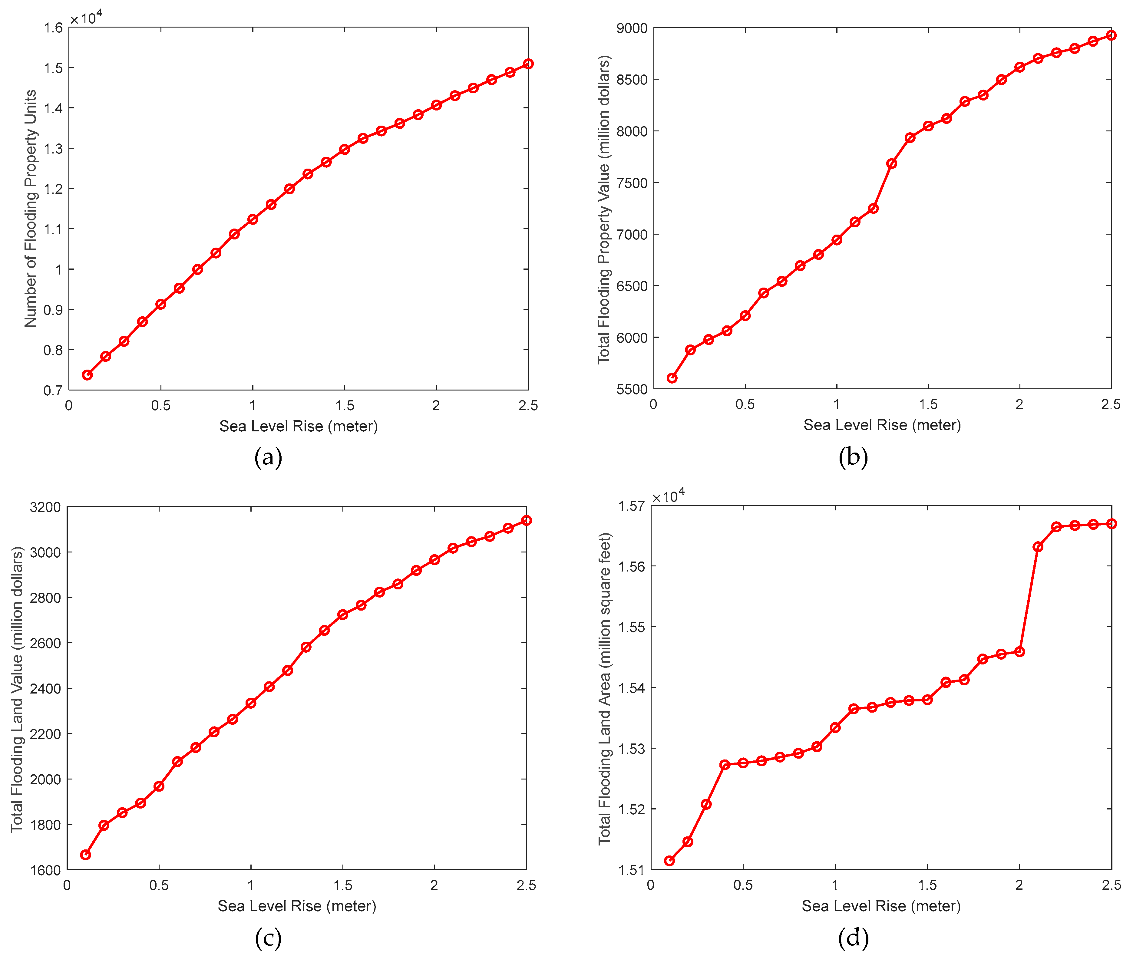
5.1. Flooding Properties with Sea Level Rise
5.2. PCA–AHP Integrated Social Vulnerability Index
5.2.1. Theme Components of Social Vulnerability
5.2.2. The Overall SVI
5.3. Comparisons with CDC SVI
5.4. Discussions
6. Conclusions
Author Contributions
Funding
Institutional Review Board Statement
Informed Consent Statement
Data Availability Statement
Conflicts of Interest
References
- Strauss, B.; Ziemlinski, R.; Weiss, J.L.; Overpeck, J.T. Tidally adjusted estimates of topographic vulnerability to sea level rise and flooding for the contiguous United States. Environ. Res. Lett. 2012, 7, 014033. [Google Scholar] [CrossRef]
- Oppenheimer, M.; Glavovic, B.; Hinkel, J.; van de Wal, R.; Magnan, A.K.; Abd-Elgawad, A.; Cai, R.; Cifuentes-Jara, M.; Meyssignac, B.; Sebesvari, Z.; et al. Sea Level Rise and Implications for Low-Lying Islands, Coasts and Communities. In IPCC Special Report on the Ocean and Cryosphere in a Changing Climate; Cambridge University Press: Cambridge, UK; New York, NY, USA; pp. 321–445.
- Tate, E. Social vulnerability indices: A comparative assessment using uncertainty and sensitivity analysis. Nat. Hazards 2012, 63, 325–347. [Google Scholar] [CrossRef]
- Cutter, S.L.; Boruff, B.J.; Shirley, W.L. Social Vulnerability to Environmental Hazards*. Soc. Sci. Q 2003, 84, 242–261. [Google Scholar] [CrossRef]
- Tarling, H.A. Comparative Analysis of Social Vulnerability Indices: CDC’s SVI and SoVI®. 2017. Available online: https://lup.lub.lu.se/luur/download?func=downloadFile&recordOId=8928519&fileOId=8928520 (accessed on 10 January 2023).
- Wood, E.; Sanders, M.; Frazier, T. The practical use of social vulnerability indicators in disaster management. Int. J. Disaster Risk Reduct. 2021, 63, 102464. [Google Scholar] [CrossRef]
- Hossain, M.K.; Meng, Q. A thematic mapping method to assess and analyze potential urban hazards and risks caused by flooding. Comput. Environ. Urban Syst. 2019, 79, 101417. [Google Scholar] [CrossRef]
- Cutter, S.L.; Mitchell, J.T.; Scott, M.S. Revealing the Vulnerability of People and Places: A Case Study of Georgetown County, South Carolina. Ann. Assoc. Am. Geogr. 2000, 90, 713–737. [Google Scholar] [CrossRef]
- Montz, B.E.; Evans, T.A. Gis and Social Vulnerability Analysis. Coping Flash Floods 2001, 77, 37–48. [Google Scholar] [CrossRef]
- Wu, S.-Y.; Yarnal, B.; Fisher, A. Vulnerability of coastal communities to sea-level rise: A case study of Cape May County, New Jersey, USA. Clim. Res. 2002, 22, 255–270. [Google Scholar] [CrossRef]
- Collins, T.W.; Grineski, S.E.; Aguilar, M.D.L.R. Vulnerability to environmental hazards in the Ciudad Juárez (Mexico)–El Paso (USA) metropolis: A model for spatial risk assessment in transnational context. Appl. Geogr. 2009, 29, 448–461. [Google Scholar] [CrossRef]
- Vincent, K. Creating an index of social vulnerability to climate change for Africa. Tyndall Cent. Clim. Chang. Res. Work. Pap. 2004, 56, 1–50. [Google Scholar]
- Chakraborty, J.; Tobin, G.A.; Montz, B. Population Evacuation: Assessing Spatial Variability in Geophysical Risk and Social Vulnerability to Natural Hazards. Nat. Hazards Rev. 2005, 6, 23–33. [Google Scholar] [CrossRef]
- Flanagan, B.E.; Gregory, E.W.; Hallisey, E.J.; Heitgerd, J.L.; Lewis, B. A social vulnerability index for disaster management. J. Homel. Secur. Emerg. Manag. 2011, 8. [Google Scholar] [CrossRef]
- Mustafa, D.; Ahmed, S.; Saroch, E.; Bell, H. Pinning down vulnerability: From narratives to numbers. Disasters 2010, 35, 62–86. [Google Scholar] [CrossRef] [PubMed]
- Finch, C.; Emrich, C.T.; Cutter, S.L. Disaster disparities and differential recovery in New Orleans. Popul. Environ. 2010, 31, 179–202. [Google Scholar] [CrossRef]
- Schmidtlein, M.C.; Shafer, J.M.; Berry, M.; Cutter, S.L. Modeled earthquake losses and social vulnerability in Charleston, South Carolina. Appl. Geogr. 2011, 31, 269–281. [Google Scholar] [CrossRef]
- Roncancio, D.J.; Cutter, S.L.; Nardocci, A.C. Social vulnerability in Colombia. Int. J. Disaster Risk Reduct. 2020, 50, 101872. [Google Scholar] [CrossRef]
- Jackson, S.; Derakhshan, S.; Blackwood, L.; Lee, L.; Huang, Q.; Habets, M.; Cutter, S. Spatial Disparities of COVID-19 Cases and Fatalities in United States Counties. Int. J. Environ. Res. Public Health 2021, 18, 8259. [Google Scholar] [CrossRef]
- Xian, G.; Crane, M. Assessments of urban growth in the Tampa Bay watershed using remote sensing data. Remote Sens. Environ. 2005, 97, 203–215. [Google Scholar] [CrossRef]
- Xie, W.; Tang, B.; Meng, Q. The Impact of Sea-Level Rise on Urban Properties in Tampa Due to Climate Change. Water 2021, 14, 13. [Google Scholar] [CrossRef]
- Saaty, T.L. The Analytic Hierarchy Process; McGraw-Hill: New York, NY, USA, 1989. [Google Scholar]
- Fernández, D.S.; Lutz, M.A. Urban flood hazard zoning in Tucumán Province, Argentina, using GIS and multicriteria decision analysis. Eng. Geol. 2010, 111, 90–98. [Google Scholar] [CrossRef]
- Danumah, J.H.; Odai, S.N.; Saley, B.M.; Szarzynski, J.; Thiel, M.; Kwaku, A.; Kouame, F.K.; Akpa, L.Y. Flood risk as-sessment and mapping in Abidjan district using multi-criteria analysis (AHP) model and geoinformation techniques. Geoenvironmental Disasters 2016, 3, 10. [Google Scholar] [CrossRef]
- Rimba, A.B.; Setiawati, M.D.; Sambah, A.B.; Miura, F. Physical Flood Vulnerability Mapping Applying Geospatial Techniques in Okazaki City, Aichi Prefecture, Japan. Urban Sci. 2017, 1, 7. [Google Scholar] [CrossRef]
- Ghosh, A.; Kar, S.K. Application of analytical hierarchy process (AHP) for flood risk assessment: A case study in Malda district of West Bengal, India. Nat. Hazards 2018, 94, 349–368. [Google Scholar] [CrossRef]
- Ouma, Y.O.; Tateishi, R. Urban Flood Vulnerability and Risk Mapping Using Integrated Multi-Parametric AHP and GIS: Methodological Overview and Case Study Assessment. Water 2014, 6, 1515–1545. [Google Scholar] [CrossRef]
- Saaty, T.L.; Vargas, L.G. Prediction, Projection and Forecasting; Springer: Cham, The Netherlands, 1991. [Google Scholar]
- Borzì, L.; Anfuso, G.; Manno, G.; Distefano, S.; Urso, S.; Chiarella, D.; Di Stefano, A. Shoreline evolution and envi-ronmental changes at the NW area of the Gulf of Gela (Sicily, Italy). Land 2021, 10, 1034. [Google Scholar] [CrossRef]
- Distefano, S.; Baldassini, N.; Barbagallo, V.; Borzì, L.; D’Andrea, N.M.; Urso, S.; Di Stefano, A. 3D Flooding Maps as Response to Tsunami Events: Applications in the Central Sicilian Channel (Southern Italy). J. Mar. Sci. Eng. 2022, 10, 1953. [Google Scholar] [CrossRef]













| Methods | Representative Studies | Descriptions |
|---|---|---|
| Deductive Approach | Cutter et al., 2000 [8] | Population, housing units, gender, race, income, and mobile homes are considered to measure the index to chemical release disasters. |
| Montz and Evans, 2001 [9] | Gender, age, education, family structure, length of residence, occupation, and tenure are considered to measure the index to flash flood disasters. | |
| Wu et al., 2002 [10] | Population, housing units, gender, race, age, income, and house structure are considered to measure the index to sea level risk flooding. | |
| Collins et al., 2009 [11] | Population density, gender, age, disability, income, education, and local government revenue are considered to measure the index to flooding- and transportation-related hazardous material disasters. | |
| Hierarchical Approach | Vincent, 2004 [12] | Five themes, including economic well-being and stability, demographic structure, institutional stability, global interconnectivity, and natural resource dependence, are considered to measure the index to climate-change-induced water availability issues in Africa. |
| Chakraborty et al., 2005 [13] | Three themes, including population and structure, differential access to resources, and population with special evacuation needs, are considered to measure the index to hurricane hazards. | |
| Flanagan et al., 2011 [14] | Four themes, including socioeconomic status, household composition and disability, minority status and language, and housing type and transportation, are considered to measure the index to all general natural disasters, also known as CDC SVI. | |
| Mustafa et al., 2011 [15] | Three themes, including material, institutional, and attitudinal, are considered at the household and community levels to measure the vulnerabilities and capacities index (VCI). | |
| Inductive Approach | Cutter et al., 2003 [4] | One of the most popular methods, called the Social Vulnerability Index (SoVI), is proposed in this study, which applies factor analysis to choose major components and correlation analysis to select driving factors of each component. A z-score method is used for standardization of the final scores. |
| Finch et al., 2010 [16] | The SoVI was used to understand disaster disparities and differential recovery after the Hurricane Katrina in New Orleans. | |
| Schmidtlein et al., 2011 [17] | The SoVI was used to measure social vulnerability for earthquake losses in Charleston, South Carolina. | |
| Roncancio et al., 2020 [18] | The SoVI was used to measure pre-existing social vulnerability as a first step in national disaster risk reduction and climate change adaptation planning in Colombia. | |
| Jackson et al., 2021 [19] | The SoVI was used to measure social vulnerability to COVID-19 diseases in United States at the county level. |
| Concept | No. | Variable name | Description |
|---|---|---|---|
| Socioeconomic Status | 1 | V_EMPLOYMENT | Percentage of population 16 years and over not in labor force |
| 2 | V_POVERTY | Percentage of families with income below the poverty level | |
| 3 | V_FOOD | Percentage of families who receive food stamps | |
| 4 | V_INSURANCE | Percentage of population without health insurance | |
| 5 | V_NODIPLOMA | Percentage of population 25 years and over without diploma | |
| 6 | V_HIGHSCHOOL | Percentage of population 25 years and over regular high school diploma | |
| 7 | V_NOSCHOOL | Percentage of population 25 years and over with no schooling completed | |
| Race and Gender | 8 | V_BLACK | Percentage of Black population |
| 9 | V_ASIAN | Percentage of Asian population | |
| 10 | V_ISLANDER | Percentage of native Hawaiian and other Pacific Islander population | |
| 11 | V_NATIVES | Percentage of American Indian and Alaska native | |
| 12 | V_OTHERS | Percentage of all other races | |
| 13 | V_FEMALE | Percentage of female population | |
| Household Composition | 14 | V_SINGLE | Percentage of families with single parent |
| 15 | V_SINGLEEMPLY | Percentage of families with single parent who is also employed | |
| 16 | V_FESENIOR | Percentage of female population that are over 65 years old | |
| 17 | V_FEEMPLY | Percentage of females who are employed | |
| 18 | V_SENIOR | Percentage of population 65 years or older | |
| 19 | V_YONG | Percentage of population under 14 years | |
| Family Special Needs | 20 | V_DISABILITY | Percentage of families with disabilities |
| 21 | V_LANGUAGE | Percentage of population speaking English less than well | |
| 22 | V_NOVHICLE | Percentage of families with no vehicle | |
| 23 | V_MOBILEHOME | Percentage of mobile houses | |
| 24 | V_MOBILEPOP | Percentage of population living in mobile houses |
| Intensity Importance | Description |
|---|---|
| 1 | Equal Importance |
| 3 | Moderate Importance |
| 5 | Strong Importance |
| 7 | Very Strong Importance |
| 9 | Extreme Importance |
| 2, 4, 6, 8 | Intermediate Values |
| Reciprocals | Inverse Comparison |
| Matrix | Socioeconomic Status | Race and Gender | Household Composition | Family Special Needs |
|---|---|---|---|---|
| Socioeconomic Status | 1 | 1/3 | 3 | 1/2 |
| Race and Gender | 3 | 1 | 5 | 2 |
| Household Composition | 1/3 | 1/5 | 1 | 1/2 |
| Family Special Needs | 2 | 1/2 | 2 | 1 |
| Total | 6.33 | 2.03 | 11 | 4 |
| Matrix | Socioeconomic Status | Race and Gender | Household Composition | Family Special Needs | Sum | Mean | Weight |
|---|---|---|---|---|---|---|---|
| Socioeconomic Status | 0.16 | 0.16 | 0.27 | 0.125 | 0.715 | 0.18 | 1.80 |
| Race and Gender | 0.47 | 0.49 | 0.46 | 0.50 | 1.92 | 0.48 | 4.80 |
| Household Composition | 0.05 | 0.10 | 0.09 | 0.125 | 0.365 | 0.09 | 0.92 |
| Family Special Needs | 0.32 | 0.25 | 0.18 | 0.25 | 0.99 | 0.25 | 2.48 |
| Total | 1.00 | 1.00 | 1.00 | 1.00 | 4.00 | 1.00 | 10 |
| N | 1 | 2 | 3 | 4 | 5 | 6 |
|---|---|---|---|---|---|---|
| RI | 0 | 0 | 0.58 | 0.90 | 1.12 | 1.24 |
Disclaimer/Publisher’s Note: The statements, opinions and data contained in all publications are solely those of the individual author(s) and contributor(s) and not of MDPI and/or the editor(s). MDPI and/or the editor(s) disclaim responsibility for any injury to people or property resulting from any ideas, methods, instructions or products referred to in the content. |
© 2023 by the authors. Licensee MDPI, Basel, Switzerland. This article is an open access article distributed under the terms and conditions of the Creative Commons Attribution (CC BY) license (https://creativecommons.org/licenses/by/4.0/).
Share and Cite
Xie, W.; Meng, Q. An Integrated PCA–AHP Method to Assess Urban Social Vulnerability to Sea Level Rise Risks in Tampa, Florida. Sustainability 2023, 15, 2400. https://doi.org/10.3390/su15032400
Xie W, Meng Q. An Integrated PCA–AHP Method to Assess Urban Social Vulnerability to Sea Level Rise Risks in Tampa, Florida. Sustainability. 2023; 15(3):2400. https://doi.org/10.3390/su15032400
Chicago/Turabian StyleXie, Weiwei, and Qingmin Meng. 2023. "An Integrated PCA–AHP Method to Assess Urban Social Vulnerability to Sea Level Rise Risks in Tampa, Florida" Sustainability 15, no. 3: 2400. https://doi.org/10.3390/su15032400
APA StyleXie, W., & Meng, Q. (2023). An Integrated PCA–AHP Method to Assess Urban Social Vulnerability to Sea Level Rise Risks in Tampa, Florida. Sustainability, 15(3), 2400. https://doi.org/10.3390/su15032400

