Abstract
Air transportation, which is a derived demand, is booming following the rapid development of the world economy, and carbon emissions from the air transportation industry, which takes fossil fuels as its main energy source, have been increasing. Therefore, with global warming attracting considerable attention, the issue of how to reduce carbon emissions from air transportation has become a hot issue. We take China Eastern Airlines Corporation Limited (China Eastern) as an example to analyze the main factors influencing airlines’ carbon emissions, specifically around the impact of airline internal operating indicators, such as available seat kilometers (ASK), passenger load factor (PLF), fuel consumption per unit passenger kilometer, the average age of operated aircraft, on-time performance (OTP), etc. This paper uses a correlation analysis, panel regression analysis, and other ways to explore the influence mechanism of the above factors on carbon emission intensity. The conclusions for China Eastern are the following: first, PLF has a significant negative relationship with carbon emission intensity; second, fuel consumption per passenger kilometer has a significant negative relationship with carbon emission intensity. Third, OTP has a significant positive relationship with carbon emission intensity. Fourth, fleet size has a significant positive relationship with carbon emission intensity. Finally, we propose several targeted carbon abatement measures for China Eastern, such as improving PLF and OTP, reducing fuel consumption per unit passenger kilometer, speeding up fleet renewal, etc.
1. Introduction
Since the industrial revolution, the global economy has entered a stage of rapid development, but it is followed by increasingly serious environmental problems. The meteorological bureaus of Britain, the United States, and other countries have evaluated the changes in temperature since the industrial revolution. The World Meteorological Organization pointed out in “Global Climate in 2022” that the global average temperature in 2022 increased by 1.1 °C compared with that before the industrial revolution, and the sea level rose by more than 10 cm compared with that in the 1990s (WMO Provisional State of the Global Climate 2022). The main reason for this phenomenon is the continuous increase in carbon emissions from human production and living, which leads to the sustained increase in global carbon concentration. It can be foreseen that if global warming is not prevented, global economic development will be hindered, and human production and living will also be greatly affected. Carbon abatement has become an important research issue.
Due to the attribute of derived demand, the air transport industry is rapidly developing at an average annual growth rate of 5% while the world economy is booming. Air transportation takes fossil fuels as its main energy source, so with its rapid development, fossil fuels are consumed in large quantities. According to the International Energy Agency, the civil aviation industry produces 2–3% of artificial carbon emissions throughout the world. According to the prediction report on greenhouse gas emissions from York University, it is expected that, by 2050, the greenhouse gas emissions caused by aviation flights will reach 15% of the total global emissions. In response, governments and relevant departments around the world have formulated corresponding measures to reduce carbon emissions from air transportation and weaken its impact on the environment. Among them, the European Union officially established a carbon emission trading system in 2005, requiring its members to allocate emission permits according to their own plans. The system covers over 11,500 power stations, manufacturing factories, aircraft, and other high-energy consuming facilities. In 2008, the European Council passed the “2008 Directive” to implement the “Green Sky” plan, which strictly limits the carbon emissions of commercial flights, including taking off, landing, and transferring within the territory of the EU’s members. In 2016, the International Air Transport Association (IATA) proposed in accordance with CORSIA (Carbon Offsetting and Reduction Scheme for International Aviation) that “From 2024, carbon emissions should be controlled at 85% of 2019 carbon emissions, and by 2050, carbon emissions should be reduced to half of 2005 at least” (CORSIA). In 2020, General Secretary Xi Jinping proposed the “dual carbon” goal of “emission peak and carbon neutrality” to address environmental crises, such as global warming. According to the “14th Five Year Plan” for the Development of Civil Aviation, it is expected to reduce the carbon emissions per ton kilometer of air transportation from 0.928 kg in 2020 to 0.886 kg in 2025. The carbon abatement mission of China’s civil aviation transportation industry is ongoing.
As one of the three major airlines in China, China Eastern has 785 planes as of the first half of 2023 according to 2023 Half Year Report of China Eastern, achieving revenue while also generating huge carbon emissions. Among them, the total carbon emissions of China Eastern from 2013 to 2022 are shown in Figure 1. As shown in the figure, the total carbon emissions of China Eastern have been increasing year by year from 2013 to 2019, exceeding 20 million tons in 2019. Therefore, under the enormous pressure exerted by government organizations, such as the Civil Aviation Administration, the International Air Transport Association, and the European Union, to reduce carbon emissions and fulfill its social responsibilities, China Eastern has focused on a “dual carbon” goal, made substantial efforts to reduce carbon emissions, and achieved certain results. As of 2022, China Eastern has achieved an overall utilization rate of 99.99% for APU (Auxiliary Power Unit) to replace facilities to supply power and gas to aircraft. It has accumulated 16,000 km using new temporary routes, reduced flight distance by 383,000 km, reduced fuel consumption by 54,000 tons, and reduced carbon emissions by 170,100 tons. In addition, in 2022, China Eastern used a 5% proportion of sustainable aviation fuel (SAF) for the first time. As determined by testing, SAF can reduce carbon emissions by up to 85% compared to traditional fossil fuels.
Figure 1.
Total carbon emissions from China Eastern from 2013 to 2022.
Based on this, we first explore the trend of changes in China Eastern’s carbon emission intensity. In this paper, carbon emission intensity refers to the amount of carbon emissions to achieve every unit passenger turnover, as shown in the formula . On this basis, this paper mainly solves the following two problems:
- (1)
- What impact do the airline’s operating indicators have on the its carbon emission intensity?
- (2)
- What suggestions can be provided for the operation and development of airlines according to the impact mechanism?
To solve the two problems, we establish the carbon emission intensity model based on the influencing factors of its own carbon emissions and analyze the reasons for changes in the carbon emission intensity of China Eastern based on the model. Then, based on effective carbon abatement measures of air transportation at home and abroad and the research results on the changes in carbon emission intensity of China Eastern, targeted carbon abatement suggestions are proposed to alleviate the carbon abatement pressure of China Eastern. Taking it as an example, suggestions are provided for the low-carbon mission of the civil aviation industry, continuously promoting green, low-carbon, and efficient development of the air transport industry.
2. Literature Review
Given the exceeding of Kyoto Protocol restrictions by carbon emissions resulting from the civil aviation department, academic professionals in civil aviation studies have redirected their focus on tackling the issue. Our analysis is mainly grounded on three areas of research, including the literature on measuring the intensity of carbon emissions, the significant factors influencing carbon emissions, and various emission minimization procedures implemented in the air transport industry.
2.1. Carbon Emission Intensity Calculation
The quantification of carbon emission intensity has received a great deal of attention from many governments and international organizations—for example, EFRA in the UK uses carbon emission factors to calculate the carbon emissions generated by different distances, while the Greenhouse Gas Agreement further refines the emission factors, making them a widely used tool for determining carbon emissions in the international arena [1]. Furthermore, the World Resources Institute develops a tool named “Safe Climate” to quantify carbon emissions per kilometer of travel [2]. The International Civil Aviation Authority (ICAA) also devises a unique approach measuring carbon emissions considering data from all entities involved in carbon emission trading [3].
Recently, research has increased about calculating the total carbon emissions from aviation by adding together the emissions from various stages of the flight. Kalivoda (1997) uses distinct computational approaches for diverse flight modes and phases to evaluate the total carbon emissions [4]. During takeoff and landing (LTO) at Durham Airport, Graver and Fery (2009) compose a catalogue of airplane emissions and ascertain the carbon emissions through the integration of the various flight modes and phases [5]. Postorino and Mantecchini (2014) devise a technique to compute carbon footprints in airports [6]. This method incorporates carbon emissions from land vehicles, ground-based aircraft, terminal equipment, and correlated amenities. The methodology facilitates computation of carbon emissions from individual sources within airports, and insights on their impact on the overall carbon emissions [7]. The methodology detailed in the study conducted by Zaporozhets and Synylo (2017) is effectively implemented in multiple international airports [8]. Through the analysis of pollution emissions emitted by aircraft at the airport, the researchers are able to precisely assess the contribution of each factor on air quality at the airport. Li et al. (2023) propose a novel self-adaptive fractional order grey-generalized Verhulst model (SAFGGVM) to effectively predict energy-related carbon emission intensity in China, America, India, Russia, and Japan with nonlinear and complex characteristics [9]. Traditional time series and regression forecasting models, as representatives of econometric modeling methods, are widely used in carbon emission forecasting (Pan et al., 2014; Shi et al., 2023) [10,11].
The current research on carbon emission intensity in the air transport industry mainly focuses on the calculation of carbon emission intensity and often uses the calculation of carbon emission intensity generated by different carbon emission sources. Taking inspiration from these findings, our paper utilizes the industry-accepted method to calculate carbon emissions per unit of transport turnover of China Eastern within the air transport department. We take the calculation of carbon emission intensity as the basis preparation of this study and use a regression analysis to examine the extent to which different factors influence the carbon emission intensity. After obtaining the carbon emission intensity, the change law of carbon emission intensity is analyzed combined with relevant data so as to provide management inspiration for China Eastern.
2.2. Factors Affecting Carbon Emissions
In recent studies, researchers have explored factors impacting carbon emissions in aviation and ways to intervene effectively. Jan and Chrystyane (2017) conduct a regression analysis on data from 16 airlines in the United States to examine the correlation between the airlines’ total fuel consumption and seven variables, including available ton-kilometers [12]. Liu et al. (2017) conduct an empirical study, which discovers that revenue ton-kilometers has the most significant impact on carbon emissions in air transport. They also highlight the notable role of reducing potential energy intensity in reducing carbon emissions in most airlines [13]. Zhang et al. (2017) identify various determinants that contribute to the difference in energy efficiency between Chinese and American airlines. These determinants include aircraft age, passenger numbers, cargo volume, enterprise size, and airline ownership [14]. Shi et al. (2019) identify economic development, industry scale, and population size as primary drivers of carbon emissions in Chinese air transport industry. In contrast, energy and transportation intensity are identified as inhibiting factors. Their analysis emphasizes the importance of understanding the various factors contributing to carbon emissions in this industry [15]. Hu et al. (2020) analyze the aircraft carbon emissions (quantity and intensity per passenger) during the landing and takeoff cycle over a decade span (2007–2016) at nine different airports in Jiangsu Province, China. Combined with the carbon emission situation, the influence of various factors, including flight schedules, aircraft type (engines) used, landing-and-take-off cycles, airport geographical location, and other spatial characteristics, on the carbon emission level is explored [16]. Yu et al. (2023) take Shenzhen Bao’an Airport as an example to study the important impact of airport land side traffic on airport carbon emissions. Quantitative measurements and a characteristic analysis are carried out with a cumulative approach on the impact of different types of ground facilities on the average daily carbon emission intensity changes of airports, and then, the trend of the changes is predicted [17]. Similarly, Song et al. (2022) employ the LMDI decomposition technique to investigate the consequences of airport openness, connectivity, transport, and energy factors on aircraft carbon emissions. They offer suggestions to enhance route planning, optimize network structure, and assign the appropriate aircraft types [18].
For airlines, the impact of carbon emission intensity on operational index data is more significant than for studying the impact of carbon emission sources. The paper models the carbon emission intensity of China Eastern by using its internal operation as the example. Available seat kilometers (ASK), passenger load factor (PLF), and other factors are taken into account to provide suggestions for China Eastern to reduce carbon emissions. Of course, the consideration of operational indicators does not mean that we completely ignore the direct impact of carbon emission sources. We will consider the indirect impact factors of the operating indicators that have a significant impact on carbon emission intensity and put forward reasonable suggestions based on the impact effects of the operational indicators.
2.3. Carbon Abatement Measures
As the current study seeks to offer suggestions for reducing carbon emissions in China Eastern, we have also explored other methods to reduce emissions in the air transportation department. Xander (2001) focuses on forecasting future fuel consumption and carbon emissions by examining the link between Gross Domestic Product (GDP), global crude oil prices, and fuel consumption using data from an international airline over 29 years [19]. The findings suggested that carbon emissions may rise by 3–6 times from 1995 to 2050. The aviation fuel tax is recommended as a measure to curb such emissions. Additionally, Fredrik and Henrik (2002) examine the plausibility of leveraging incentives to decrease carbon emissions in air transport [20]. The researchers examined the structure of the international aviation emission fee tariff and the emission permit trading mechanism, and they also compared the effectiveness, indicating that revenue-neutral or uncharged permits could be viable options for regulation. Nevertheless, it is noteworthy that these choices may lead to weakened supervision and other adverse outcomes. Previous research did not examine the correlation between the impact of pertinent factors on carbon emission intensity using quantitative analysis.
David et al. (2009) report that the implementation of revolutionary technologies holds promise for a substantial decrease in the consumption of aeronautical energy. It is suggested that to mitigate carbon emissions, integrating the civil aviation department into an emission trading scheme is an efficacious strategy [21]. Li and Dong (2009) put forward a carbon market regulatory mechanism to reduce emissions in the civil aviation industry in China. They systematically evaluate the current status of emission reduction in Chinese civil aviation and analyze the emission reduction situation in the international civil aviation industry. The study aims to achieve a more objective approach towards tackling carbon emissions and reducing carbon footprints, in line with global efforts to mitigate global warming and climate changes [22]. Mayor and Tol (2010) forecast a twelve-fold increase in international passenger traffic from 2005 to 2100, alongside a four-fold rise in aviation carbon emissions by 2060, after which they will decrease as fuel efficiency improves [23]. Zhou et al. (2016) discover that air traffic demand has the strongest effect on carbon emissions. In response, they suggest policy initiatives, including the implementation of the carbon tax on aviation fuels, the backing of research and development for enhancing fuel efficiency, and the establishment of carbon offsetting programs [24].
Unlike the current analysis directly exploring the influence mechanism of the carbon emission sources on the carbon emission intensity of enterprises, in this paper, through the China Eastern-specific operating indicator data statistics and regression analysis, we explore the airlines operating indicators for the influence of carbon intensity, discuss the relationship between the indicators for the impact of influence mechanism, and then comprehensively consider the underlying cause of operating indicators for airlines to reduce carbon emission intensity. The research in this paper provides help for airlines to sort out the influence degree and influence mechanism of carbon emission sources and can help researchers to effectively estimate the carbon emission status of airlines through airline operating indicator data.
3. Carbon Emission Intensity Calculation
Data for this study were collected from China Eastern Airlines Corporation Limited Annual Report and Corporate Social Responsibility Report from 2013 to 2022. The dependent variable was carbon emission intensity of China Eastern from 2013 to 2022. Constrained by data acquisition, 8 independent variables were carefully picked.
In this section, we focused on the influence mechanism of the internal operating situation of airlines on carbon emission, conducted multiple linear regression and moderating effect analysis on the operating data and carbon emission intensity of China Eastern, and explored the functional relationship between carbon emission intensity and its influencing factors. Then, we analyzed the effective carbon abatement measures of China Eastern according to the relationship.
We mainly considered the impact of the following eight factors, including ASK, passenger turnover, proportion of main aircraft type, average age of operated aircraft, PLF, fleet size, OTP, fuel consumption per unit passenger kilometer on the carbon emission intensity of China Eastern. At the same time, we also considered the mutual regulatory effect between variables to conduct research.
The operational behavior of airlines will affect the size of these eight indicators. For example, the airline’s route and capacity will affect ASK; passenger capacity scale will affect passenger transport and the proportion of new aircraft and models; the total number of aircraft will affect proportion of main aircraft type, average age of operated aircraft, and fleet size; aircraft utilization rate will affect PLF; tower control level will affect OTP; and the use of new aviation fuel will affect fuel. Therefore, this article mainly constructed a regression model based on the above impact relationships and proposed feasibility suggestions for the airline from the above perspective. The conceptual model diagram of the relevant impact effects is shown in Figure 2.
Figure 2.
Conceptual model diagram.
Therefore, with regression analysis and with consideration for the interactivity of the influencing factors, the basic model was expressed as Formula (1).
- : carbon emission intensity;
- : impact coefficient of operating indicator on carbon emission intensity;
- : value of operating indicator ;
- : impact coefficient of interaction term of operating indicator and on carbon emission intensity.
3.1. Factors Affecting Carbon Emission Intensity
Although there are passenger and freight business in airlines, China Eastern, the research object of this paper, operates 782 passenger aircraft and 3 business aircraft. It can be seen that its main business is passenger transportation. We studied the changes in carbon emission intensity of China Eastern under the influence of several passenger transport indicators. The carbon emissions, total transportation turnover, and carbon emission intensity of China Eastern in 2013–2022 are shown in Table 1. We roughly found that, although the total carbon emissions decreased sharply during the outbreak of the epidemic in 2020, the corresponding carbon emission intensity did not change the trend of continuous increase. It is of great significance for China Eastern to analyze the factors affecting the carbon emission intensity and make targeted emission reduction measures.
Table 1.
China Eastern’s carbon emission intensity in 2013–2022.
We mainly analyzed the possible influence of eight key passenger transport indicators, including ASK, PLF, average age of operated aircraft, on-time performance (OTP), fuel consumption per unit passenger kilometer, passenger turnover, fleet size, and proportion of main aircraft type, on carbon emission intensity. As shown in Table 2, it is the statistical data of the key operating indicators of China Eastern in 2013–2022. Among them, (1) the ASK is the sum of the product of the maximum number of seats provided by airlines and the distance of the segment, reflecting the maximum flight capacity of the airlines. (2) Passenger turnover is the sum of the product of the actual passenger transport volume of each segment and the distance of the segment. It is also the revenue of passenger kilometers, reflecting the actual capacity and revenue of the airlines. (3) The PLF is the ratio of passenger turnover to ASK, which is an important indicator for airlines to convert output into income. (4) Fuel consumption per unit passenger kilometer is the ratio of the total range fuel consumption to the passenger turnover, and it is an effective index to accurately measure the fuel efficiency under the level of airlines’ income. These factors must be considered by airlines when they count the operating indicators, and the analysis of these factors for the impact of airlines can help them to estimate the change in carbon emission intensity and avoid the airlines paying more time and energy to count carbon emissions of each source. At the same time, it can more intuitively show the impact of operational indicators, such as airline profits on carbon emission intensity.
Table 2.
Data of key operating indicators of China Eastern in 2013–2022.
3.2. Calculation Model of Carbon Emission Intensity
In order to further explore the influence role and mechanism of several influencing factors and provide targeted and valuable reference for China’s air transport industry and airlines in reducing carbon emissions, in this section, we conducted a basic analysis and multiple linear regression analysis on the above data.
3.2.1. Basic Analysis
First, we conducted a descriptive statistical analysis of the carbon emission intensity and eight operating indicators of China Eastern. The results are shown in Table 3.
Table 3.
Descriptive statistical analysis of data in Table 2.
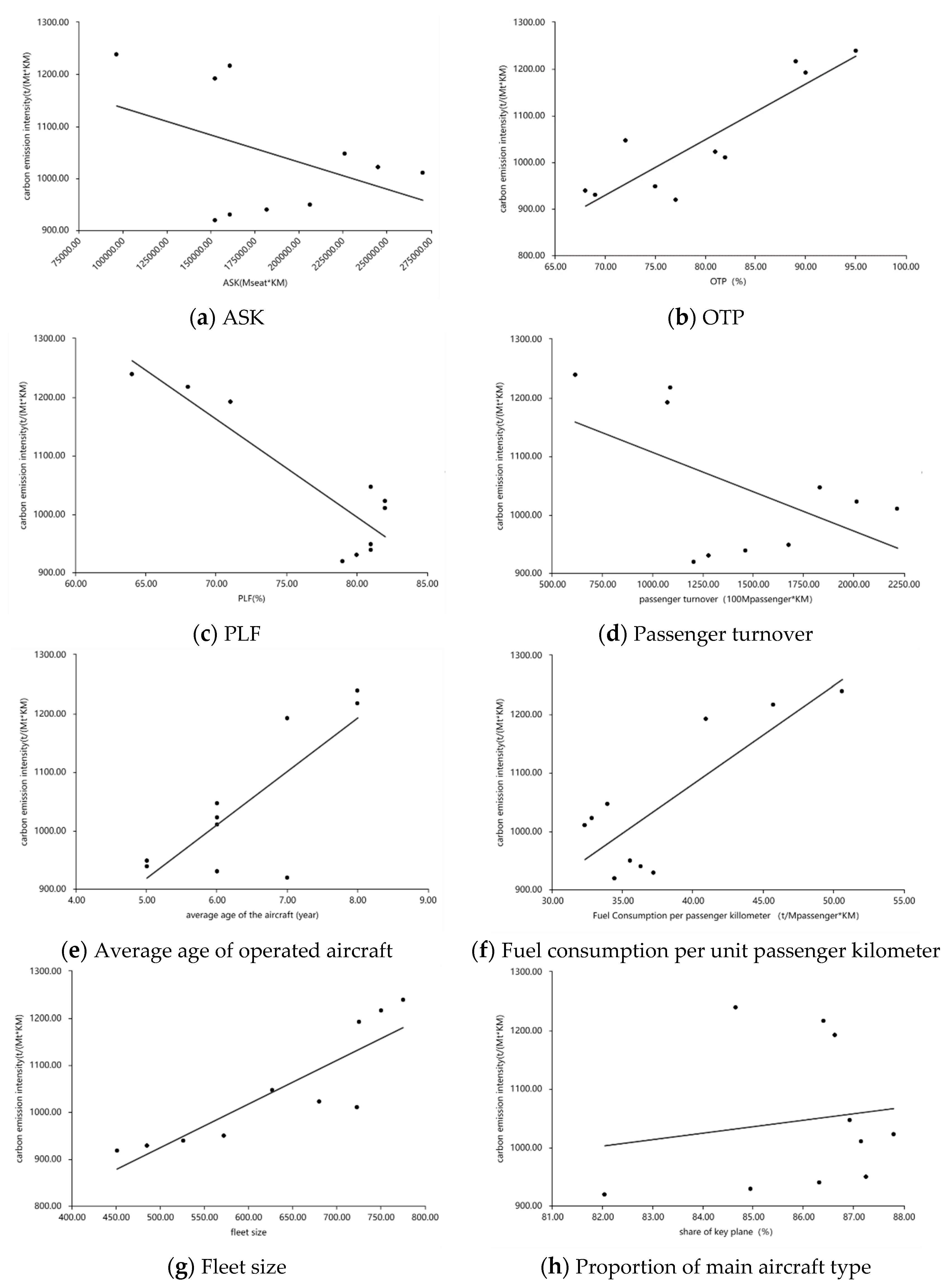
Then, the data were analyzed with the scatter plots, which could intuitively show the correlation among data. To explore the relationship between possible influencing factors and carbon emission intensity, the scatter plot and linear trend of each influencing factor and the carbon emission intensity of China Eastern were drawn, respectively, as shown in Figure 3.
Figure 3.
Scatter plot of various influencing factors and carbon emission intensity. Data source: output results from SPSS.
According to Figure 3, a linear relationship between the carbon emission intensity and the influencing factors can be found. After regression analysis, the linear regression equations with different goodness of fit were described, as shown in Table 4. Among them, three indicators, including passenger turnover, ASK, and proportion of main aircraft type, had low goodness of fit with carbon emission intensity, and the linear relationship was not obvious.
Table 4.
Linear regression equation and goodness of fit between influencing factors and carbon emission intensity.
Next, the data were analyzed for correlation. In this paper, we analyzed the correlation between 8 factors, such as ASK and PLF, and the carbon emission intensity of China Eastern with a correlational analysis method. The Pearson correlation coefficient was used to express the strength of the correlation between the influencing factors and the carbon emission intensity. The specific results are shown in Table 5.
Table 5.
Pearson correlation test results.
In the analysis of Table 4 and Table 5, it was found that the significance level of correlation of the five operating indicators and the carbon emission intensity was relatively high. According to the level of correlation, that is, the absolute value of the correlation coefficient, they were in sequence: OTP, PLF, fleet size, fuel consumption per unit passenger kilometer, and average age of operated aircraft. The correlation between passenger turnover and carbon emission intensity was general, while the correlation between passenger turnover, ASK, and proportion of main aircraft type and carbon emission intensity was relatively weak.
3.2.2. Multiple Linear Regression
In Section 3.2.1, we performed the basic analysis and found some variables that were not significant in correlation with carbon emission intensity. In the following study, we removed passenger turnover, ASK, and proportion of main aircraft type, which were not significant. In the operation of airlines, the impact on carbon emission intensity was not separate but combined. Therefore, in the analysis of this section, we conducted multiple linear regression analysis based on the above factors to study the change in carbon emission intensity and the influence of factors under the influence of multiple factors. The results and specific process of the model with multiple linear regression are shown in Table 6.
Table 6.
Specific process values of Linear Regression Model.
From the linear regression results, the influencing factors significantly affecting the carbon emission intensity of China Eastern included PLF, average age of operated aircraft, fuel consumption per unit passenger kilometer, OTP, and fleet size. Among them, the PLF and fuel consumption per unit passenger kilometer had a significant negative correlation with carbon emission intensity, and the fleet size had a significant positive correlation with carbon emission intensity.
Although the regression analysis above showed that the fuel consumption per unit passenger kilometer had a significant negative impact on the carbon emission intensity, the impact mechanism was as follows: for every 1-ton increase in fuel consumption by 1 million passenger kilometers, the carbon emission intensity was reduced by 18.766 tons/million t∙km. However, as is known to all, the air transport industry’s carbon emissions mainly come from fuel consumption, and airlines’ carbon emissions and fuel consumption roughly form a positive correlation. The conclusion of negative correlation can be the result of too rare basic data. According to the relevant research results, for example, Lee et al. (2009) conclude that carbon emissions from aircraft engines are proportional to fuel used by a factor of approximately 3.15 [21]. Therefore, we were inclined more to the idea that fuel consumption per unit passenger kilometer and carbon emission intensity have a positive correlation, namely the fuel consumption per unit passenger kilometer increase inevitably leads to carbon emission increase. There are many factors affecting fuel consumption per unit passenger kilometer, among which the operating distance of airlines, the combination of routes and different types, and the number of takeoffs and landings of different types of aircraft has an impact on them. Adjusting the above factors can achieve the goal of reducing carbon intensity indirectly by reducing fuel consumption per unit passenger kilometer. Moreover, to improve the degrees of freedom making the regression equation convincing, we removed the independent variable, fuel consumption per passenger kilometer, with abnormal correlation relationship. After that, the calculation model with PLF, average age of operated aircraft, OTP, fleet size as the independent variables was shown as in Formula (2).
Based on the regression of Formula (2), our paper further considered the impact of the interaction term composed of the average age of operated aircraft and fleet size on the carbon emission intensity of China Eastern, and it introduced the interaction term A_Fl used as a new variable. Then, the regulatory effect analysis was conducted as shown below. The relevant results are shown in Table 7.
Table 7.
Analysis of Regulatory Effects.
From the regression results in Table 7, it could be concluded that interaction term A_Fl, the moderating effect of A_Fl, was negative and significant at a 99% confidence level. It is not difficult to infer from the regression results of the moderating effect model. After adding interaction item A_Fl into the regression model, the interaction term exhibited a significant moderating effect, and the regression coefficients of PLF, average age of operated aircraft, OTP, and fleet size all showed a significant impact on carbon emission intensity at a 99% confidence level. Among them, PLF and OTP had a negative impact on carbon emission intensity, while average age of operated aircraft and fleet size had a positive impact. The specific regulatory effect could be explained as follows: for the average age of operated aircraft, when the fleet size was large, the impact of the average age of operated aircraft appeared more obvious, and even as the average age of operated aircraft increased, the increase in carbon emission intensity doubled, playing a positive regulatory role. For the fleet size, when the average age of operated aircraft was large, the positive impact of fleet size on carbon emission intensity was also strengthened to a corresponding extent, playing a positive promoting role.
For other variables, adding interaction terms for moderating effect analysis did not change the sign of their regression coefficients. Therefore, it can be considered that the interaction term between average age of operated aircraft and fleet size, A_Fl, had a certain regulatory effect on carbon emission intensity.
Finally, the model for regulating the effect is shown in Formula (3).
Based on the results of regression analysis, we found that, for the benchmark model, its goodness of fit was 0.9656, and the adjusted decision coefficient was 0.9381. After adding the interaction term between average aircraft age and fleet size, the goodness of fit increased to 0.9997, and the adjusted decision coefficient also increased to 0.9993. These two items increased compared to the benchmark model, indicating that the interaction terms model had a higher goodness of fit. In addition, its p-value of F-test for goodness of fit was very significant, which also verified the credibility of the model selected in this paper (Table 8).
Table 8.
Goodness of fit analysis.
R-Squared represents the percentage explained by the equation that can be estimated in the total sum of squares, and the goodness of fit of the interaction term model reached over 99.9%. It is believed that the model we have selected had high explanatory power and could be used to reflect the relationship between the carbon emission intensity of China Eastern and various influencing factors.
4. Discussion
4.1. Analysis of the Results
In this paper, we have formulated a model to investigate the carbon emissions of China Eastern. Our analysis utilizes correlation and regression techniques to explore factors that may influence the intensity of emissions. Based on the results of the above calculation model, we obtain the effect of each operating indicator of China Eastern on its carbon emission intensity.
The PLF has a significant negative correlation with its carbon emission intensity. The influence mechanism is as follows: for each 100% increase in the PLF, the carbon emission intensity is reduced by 33.927 t/million t∙km. The reason is that, in one unit flight, for example, the increase in PLF greatly improves transport turnover; an increased proportion of transport turnover is larger. Although aircraft load increases due to PLF increase and produces more carbon emissions, the proportion of load increase is very small compared with the weight of the aircraft itself, resulting in less carbon emissions per unit transport turnover [25].
The fleet size has a significant positive impact on the carbon emission intensity. The impact mechanism is as follows: when the fleet size of China Eastern is increased by one, the carbon emission intensity increases by 0.639 tons/million t∙km. The reason is that each aircraft produces carbon emissions due to the weight of itself, which may cause a decrease in the full load rate. Therefore, the increase in fleet size leads to an increase in carbon emissions. However, as in the study by O. Oguntona (2020), the longer-term aircraft fleet planning method covers periods of 25–50 years, and a typically simplified fleet development is driven by forecast demand, technology, and productivity [26]. In addition, as technology updates, newly developed aircraft is better able to reduce carbon emissions than old ones. Therefore, after China Eastern continuously eliminated old aircraft and introduced new ones, the fleet size has little impact on the carbon emission intensity. After adding interaction item A_Fl into the regression model, for the fleet development, when the average age of operated aircraft is large, the positive impact of fleet size on carbon emission intensity will also be strengthened to a corresponding extent, playing a positive promoting role.
The average age of operated aircraft shows insignificant negative effects in the original model; when adding interaction terms, the average age of operated aircraft will show significant and significant positive effects. For the average age of operated aircraft, when the fleet size is large, the impact of the average age of operated aircraft appears more obvious, and even with the increase in the average age of operated aircraft, the increase in carbon emission intensity doubles, playing a positive regulatory role in promotion.
The OTP has a significant negative correlation with its carbon emission intensity. According to the Formula (3), when OTP increases by 100%, the carbon emission intensity decreases by 5.951 tons/million t∙km. Compared with other influencing factors, the impact of OTP is relatively weak. According to the Global Airlines Arrival Rate Report in February 2020, the OTP of China Eastern is 98.26%, so airlines can reduce carbon emission intensity by increasing the punctuality rate, but the improvement space is very limited.
ASK, passenger turnover, and the proportion of main aircraft type have no significant impact on carbon emission intensity. However, according to the analysis of the specific meaning of these operating indicators, it also has some impact on the carbon emission intensity. However, this paper may be limited by the amount of basic data used so that the impact is small, making the regression results not significant.
The above findings demonstrate that passenger load factor and on-time performance have a significant negative impact on carbon emissions. However, fuel consumption per passenger kilometer and fleet size positively influences the intensity of carbon emissions for China Eastern. Our study also examines emission reduction technologies employed in the domestic and international aviation industry, offering practical suggestions for China Eastern and China’s wider civil aviation department to lower their emissions.
4.2. Development Suggestions for China Eastern Airlines
We present four suggestions for improving carbon emission efficiency and achieving cleaner production.
First, Steven and Merklein (2013) point out that joint collaboration in a global strategic alliance offers airlines an opportunity in passenger transportation [27]. Therefore, by expanding strategic alliances to increase PLF and reduce the fuel consumption per unit passenger kilometer, designing diverse products, and maintaining oversells, China Eastern can reduce both carbon emissions and carbon emission intensity.
Second, Gray et al. (2021) study different types of aircraft divided according to size and purpose and introduce the idea that twin-engine narrow-body aircraft are usually used on domestic/intercontinental routes, but due to their higher fuel efficiency, there is also great interest in using them on transatlantic/intercontinental routes, while with wide-body aircraft, as the most expensive aircraft, the increase in “point-to-point” flight modes has led to a decrease in demand for such aircraft [28]. Matching aircraft types with route demand, optimizing the route network, and implementing fuel-saving technologies can decrease fuel consumption per passenger kilometer.
Additionally, taking London Heathrow Airport as an example, Irvine et al. (2016) quantify the environmental effect of airborne delays to inbound aircraft at the heavily constrained London Heathrow Airport on emissions and local air quality [29]. Therefore, resolving airspace congestion, improving runway operations, and enhancing cooperative release mechanisms can improve OTP.
Finally, according to our survey, as the innovation cost input of aircraft manufacturers increases, the aircraft per seat produced by aircraft manufacturers will produce less carbon emissions. For example, according to Boeing’s official website, compared to the older Boeing-737 type, Next-Generation 737 reduces the emission of multiple pollutants. The specific comparative data are shown in Figure 4. In addition, according to reports by China Aviation News Network (China Aviation News Network, Embrace carbon neutrality, how to optimize the use of aviation fuel? https://www.cannews.com.cn/2021/1126/335839.shtml (accessed on 10 October 2023)) and related studies, aircraft engines are usually accompanied by a performance reduction during their use, and the most important features of the reduction are higher fuel consumption and carbon emissions. Therefore, introducing new technologies, aircraft with high emission reduction capabilities and promoting biofuel use can further reduce carbon emissions. These findings may also be applicable to other airports in China to reduce fuel consumption and congestion while also improving punctuality. This presents interesting opportunities for future research.
Figure 4.
Environmentally Progressive Cleaner, Quieter, and More Efficient Operations of Next-Generation 737.
5. Conclusions
In this paper, to solve the initial problem, the impact of airlines’ operating indicators on their carbon emission intensity, in the introduction, we formulate a model to investigate the carbon emissions of China Eastern. Our analysis utilizes multiple linear regression and moderating effect analysis techniques to explore factors that may influence the intensity of emissions. Our findings demonstrate that fleet size, average age of per aircraft, and fuel consumption per unit passenger kilometer positively influences the intensity of carbon emissions for China Eastern. However, the PLF has a significant negative impact on carbon emissions.
In addition, we explore the relationship between the carbon intensity of China Eastern and its operating revenue further. The results indicate that the positive correlation between carbon emission intensity and operating income is not significant, but it can be roughly seen that the higher the carbon emission intensity, the higher the profit value of airlines when they are not subject to carbon emission constraints at present. However, there is no consideration of the cost of emission reduction or the cost of participating in carbon trading under the condition of carbon emission constraints, in which the negative externality of airlines will be limited under the carbon trading constraints, and the profit value of the airlines will be decreased.
Based on the findings in this paper and some emission reduction technologies employed in the domestic and international aviation industry, we present four suggestions for improving carbon emission efficiency and achieving cleaner production to solve the second problem, providing operational and development suggestions to airlines according to the impact mechanism of China Eastern Airlines’ carbon emission intensity in the introduction. First, by expanding strategic alliances, designing diverse products, and maintaining oversells, China Eastern Airlines can reduce both carbon emissions and carbon intensity. Second, matching aircraft types with route demand, optimizing the route network, and implementing fuel-saving technologies can decrease fuel consumption per passenger kilometer. Additionally, resolving airspace congestion, improving runway operations, and enhancing cooperative release mechanisms can improve punctuality. Finally, introducing new technologies, introducing aircraft with high emission reduction capabilities, and promoting biofuel use can further reduce carbon emissions. These findings may also be applicable to other airports in China to reduce fuel consumption and congestion while also improving punctuality.
This presents interesting opportunities for future research.
This study has encountered certain limitations due to difficulties in obtaining data. First, the analysis is founded on China Eastern’s yearly data from 2013 to 2022. For future research, the dataset can be expanded by including data from additional years or by refining the data on a more frequent basis, such as half-yearly or quarterly. Second, the model utilized in this investigation inadequately incorporates all influencing factors, including route distance and the advanced index of navigation technology. Hence, future research ought to pursue the integration of a more comprehensive set of influencing factors in order to gain a deeper understanding of the mechanisms behind aviation’s carbon emission intensity.
Author Contributions
Conceptualization, L.X. and Z.K.; Methodology, L.X. and Z.L.; Literature Summary, Z.K. and Y.D.; Literature Analysis, L.X. and Z.L.; Conclusions, Z.L. and Y.D.; Writing—review and editing, L.X., Z.L., Z.K., Y.D. and J.Z. All authors have read and agreed to the published version of the manuscript.
Funding
This study was supported in part by NSFC special supporting funding of CAUC (Grant No. 3122022PT08), SAFEA High-End Foreign Experts Project (Grant No. G2022202001L, G2023202005L), “Chunhui Plan” Cooperative Research Project of Ministry of Education (Grant No. HZKY20220596), and National Natural Science Foundation of China (Grant No. 72172148, 72261147707).
Data Availability Statement
The empirical regression data in this article is based on the 2013 to 2022 Social Responsibility Report of China Eastern Co., Ltd.
Conflicts of Interest
The authors declare no conflict of interest.
References
- DEFRA. 2008 Guidelines to Defra’s GHG Conversion Factors: Methodology Paper for Transport Emission Factors; Department for Environment, Food and Rural Affairs: London, UK, 2008.
- Wu, C.L.; Song, X.Y.; Wang, T.; Fang, D.P. Core dimensions of the construction safety climate for a standardized safety-climate measurement. J. Constr. Eng. Manag. 2015, 141, 1–12. [Google Scholar] [CrossRef]
- Hermwille, L. Offsetting for International Aviation: The State of Play of Market-Based Measures under ICAO; Wuppertal Institute for Climate, Environment and Energy: Wuppertal, Germany, 2016. [Google Scholar]
- Kalivoda, M.T. Methodologies for Estimating Emissions from Air Traffic—Future Emissions; MEET ProjectST-96-SC.204; Perchtoldsdorf-Vienna: Vienna, Austria, 1997; pp. 46–53. [Google Scholar]
- Graver, B.M.; Frey, H.C. Estimation of air carrier emissions at raleigh-durham international airport, department of civil, construction, and environmental engineering. In Proceedings of the 102nd Annual Conference and Exhibition, Air & Waste Management Association, Detroit, MI, USA, 16 June 2009. [Google Scholar]
- Postorino, M.N.; Mantecchini, L. A transport carbon footprint methodology to assess airport carbon emissions. J. Air Transp. Manag. 2014, 37, 76–86. [Google Scholar] [CrossRef]
- Zhang, L.B.; Zhang, L.; Xu, J. Carrying out energy saving and emissions reduction to build green civil aviation. China Civil Aviat. 2009, 12, 10–13. [Google Scholar]
- Zaporozhets, O.; Synylo, K. Improvements on aircraft engine emission and emission inventory assessment inside the airport area. Energy 2017, 140, 1350–1357. [Google Scholar] [CrossRef]
- Li, X.M.; Zhao, Z.G.; Zhao, Y.F.; Zhou, S.W.; Zhang, Y. Prediction of energy-related carbon emission intensity in China, America, India, Russia, and Japan using a novel self-adaptive grey generalized Verhulst model. J. Clean. Prod. 2023, 423, 138656. [Google Scholar] [CrossRef]
- Pan, J.N.; Kung, P.; Bretholt, A.; Lu, J.X. Prediction of energy’s environmental impact using a three-variable time series model. Expert Syst. Appl. 2014, 41, 1031–1040. [Google Scholar]
- Shi, C.; Zhi, J.; Yao, X.; Zhang, H.; Yu, Y.; Zeng, Q.; Zhang, Y. How can China achieve the 2030 carbon peak goal—A crossover analysis based on low-carbon economics and deep learning. Energy 2023, 269, 126776. [Google Scholar] [CrossRef]
- Jan, K.B.; Chrystyane, A. Airline fuel usage and carbon emissions: Determining factors. J. Air Transp. Manag. 2017, 62, 10–17. [Google Scholar]
- Liu, X.; Zhou, D.Q.; Zhou, P.; Wang, Q.W. Dynamic carbon emission performance of Chinese airlines: A global Malmquist index analysis. J. Air Transp. Manag. 2017, 65, 99–109. [Google Scholar] [CrossRef]
- Zhang, J.F.; Fang, H.; Wang, H.X.; Jia, M.S.; Wu, J.J.; Fang, S.R. Energy efficiency of airlines and its influencing factors: A comparison between China and the United States. Resour. Conserv. Recycl. 2017, 125, 1–8. [Google Scholar] [CrossRef]
- Shi, Y.T.; Wu, W.W.; Li, X.X. Study on development and influencing factors of China’s aviation carbon emission. J. East Chin. Jiaotong Univ. 2019, 36, 32–38. [Google Scholar]
- Hu, R.; Zhu, J.L.; Zhang, Y.; Zhang, J.F.; Witlox, F. Spatial characteristics of aircraft CO2 emissions at different airports: Some evidence from China. Transp. Res. Part D Transp. Environ. 2020, 85, 102435. [Google Scholar] [CrossRef]
- Yu, Z.X.; Hu, R.; Xie, J.W. Calculation and feature analysis of carbon emissions from airport ground public transport. J. Beijing Jiaotong Univ. 2023, 1–11. [Google Scholar]
- Song, W.; Hu, R.; Wang, D.Y.; Zhang, J.F. The evolutionary characteristics and decomposition of driving factors of aircraft carbon emissions at airports. J. East Chin. Jiaotong Univ. 2022, 39, 53–61. [Google Scholar]
- Xander, O. Carbon dioxide emissions from international aviation. J. Air Transp. Manag. 2001, 7, 87–93. [Google Scholar]
- Fredrik, C.; Henrik, H. Incentive-based regulation of CO2 emissions from international Aviation. J. Air Transp. Manag. 2020, 8, 365–372. [Google Scholar]
- Lee, D.S.; Fahey, D.W.; Forster, P.M.; Newton, P.J.; Wit, R.C.; Lim, L.L.; Owen, B.; Sausen, R. Aviation and global climate change in the 21st century. Atmos. Environ. 2009, 43, 22–23. [Google Scholar] [CrossRef]
- Li, N.; Dong, J.K. International situation and action countermeasures of energy saving and emission reduction in China’s civil aviation industry. Chin. Transp. Rev. 2009, 11, 32–35. [Google Scholar]
- Mayor, K.; Tol, R.S.J. Scenarios of carbon dioxide emissions from aviation. Glob. Environ. Chang. 2020, 20, 65–73. [Google Scholar] [CrossRef]
- Zhou, W.J.; Wang, T.; Yu, Y.D.; Chen, D.J.; Zhu, B. Scenario analysis of CO2 emissions from China’s civil aviation industry through 2030. Appl. Energy 2016, 175, 100–108. [Google Scholar] [CrossRef]
- Miyoshi, C.; Merkert, R. Changes in carbon efficiency, unit cost of firms’ overtime and the impacts of the fuel price-an empirical analysis of major European airlines. In Proceedings of the 14th Air Transport Research Society (ATRS) World Conference, Porto, Portugal, 6–9 July 2010. [Google Scholar]
- Oguntona, O. Longer-term aircraft fleet modelling: Narrative review of tools and measures for mitigating carbon emissions from aircraft fleet. CEAS Aeronaut. J. 2020, 11, 13–31. [Google Scholar] [CrossRef]
- Steven, M.; Merklein, T. The influence of strategic airline alliances in passenger transportation on carbon intensity. J. Clean. Prod. 2013, 56, 112–120. [Google Scholar] [CrossRef]
- Gray, N.; McDonagh, S.; O′Shea, R.; Smyth, B.; Murphy, J.D. Decarbonising ships, planes and trucks: An analysis of suitable low-carbon fuels for the maritime, aviation and haulage sectors. Adv. Appl. Energy 2021, 1, 100008. [Google Scholar] [CrossRef]
- Irvine, D.; Budd, L.; Ison, S.; Kitching, G. The environmental effects of peak hour air traffic congestion: The case of London Heathrow Airport. Res. Transp. Econ. 2016, 55, 67–73. [Google Scholar] [CrossRef]
Disclaimer/Publisher’s Note: The statements, opinions and data contained in all publications are solely those of the individual author(s) and contributor(s) and not of MDPI and/or the editor(s). MDPI and/or the editor(s) disclaim responsibility for any injury to people or property resulting from any ideas, methods, instructions or products referred to in the content. |
© 2023 by the authors. Licensee MDPI, Basel, Switzerland. This article is an open access article distributed under the terms and conditions of the Creative Commons Attribution (CC BY) license (https://creativecommons.org/licenses/by/4.0/).



