Abstract
The co-incineration of multisource organic solid waste has gradually become an important method for solid waste recycling. Through a combination of computational fluid dynamics simulation and field monitoring, a distributed parameter model of the evaporative heating surface of an incinerator was developed. The distributions of heat flux, wall temperature, and steam quality in the incinerator were analyzed under four combustion conditions involving solid waste from various sources, types, and proportions. The results revealed that under the two working conditions with 20% waste cloth, as the calorific value of the mixed fuel increased, both the peak heat flux and the peak wall temperature increased, and the nonuniformity of heat transfer within the furnace intensified. Under the influence of the composition and calorific value of the mixed fuel, the steam quality of the working fluid at the outlet of the rear water wall in the cases with 20% waste cloth was significantly higher than that in the case of pure municipal solid waste combustion and the case with 20% sludge. This study offers valuable insights into the resource utilization of multisource organic solid waste in co-incinerators.
1. Introduction
Pollution caused by municipal solid waste (MSW) has become increasingly critical, owing to the increasing population, the improvement of people’s living standards, and the rapid development of urban industries. To solve this problem, China has issued a series of policies and plans to promote the treatment of MSW. According to The “14th Five-Year Plan” for the Development of Municipal Solid Waste Classification and Treatment Facilities, which was issued by the National Development and Reform Commission and the Ministry of Housing and Urban Rural Development of China in 2021, 254 MSW incineration plants were built during the “13th Five-Year Plan” period, and currently more than 500 MSW incineration plants are in operation, with a capacity of 580,000 tons per day. China has gradually formed an incineration-based solid waste treatment development pattern in recent years. Solid waste incineration significantly reduces the volume and weight of solid waste, achieving a significant reduction in treatment. Moreover, through combustion, bacteria and other harmful components can be eliminated and rendered harmless. Furthermore, worldwide energy consumption is projected to increase, owing to factors such as urbanization, rising wages, and increased levels of electrification [1]. Current power systems still heavily rely on dispatchable fossil fuels to meet variable electrical demand [2]. Burning solid waste as fuel can provide enormous energy for electricity generation, realizing the resourceful treatment of MSW while offering long-term economic benefits and alleviating the problem of energy shortages. In addition to MSW incineration, the co-incineration of industrial solid waste, including sewage sludge, waste cloth, and paper sludge, has gradually become a common means of solid waste utilization. However, the co-combustion of multisource organic solid waste significantly impacts the boiler efficiency, combustion characteristics, and pollutant emissions. Therefore, studies on the simulation and monitoring of this combustion process are urgently needed to achieve the stable and efficient operation of solid waste incinerators.
Numerous scholars have studied the modeling of the combustion process in solid waste incinerators, and the numerical simulation of gas–solid combustion based on computational fluid dynamics (CFD) has been widely conducted in recent years. Xia et al. [3,4] proposed an efficient computational method that combined a 2D bed model with a 3D steady furnace model and considerably enhanced the efficiency of modeling industrial moving-grate combustors. Hu et al. [5] and Yang et al. [6] simulated the combustion and NOx emission process, studying the effects of air supply methods and NOx control to suppress NOx generation and improve removal efficiency. Costa et al. [7] coupled the thermochemical conversion of solid refuse-derived fuel with the gaseous combustion of the released syngas, enabling the characterization of the temperature and residence time of the combustion products. Liu et al. [8] simulated and predicted the temperature distribution in a 900 t/d waste incinerator and studied the influence of the grate speed, stack thickness, folding angle arrangement, and air outlet position on the combustion process in the furnace. Yan et al. [9] investigated the effect of preheating primary air on the combustion characteristics of a grate furnace and found that a higher primary air temperature would lead to an increase in the devolatilization rate and the peak flame temperature. This also accelerated the generation of thermal NOx and resulted in localized high bed temperatures. Hoang et al. [10] established a two-dimensional CFD model of the bed based on the porous medium theory and analyzed the trends of bed height, temperature, composition, and decomposition rate along the grate. Chen et al. [11] established the numerical model of the solid-phase combustion process in an MSW incinerator, and generated whole process data including temperature and gas concentration, providing theoretical support for the control of MSW incineration. Regarding the co-incineration treatment of different types of solid waste, Feng et al. [12], Zhu and Yu [13], Xu et al. [14], and Zeng et al. [15] simulated the combustion of MSW with varying proportions of sludge with different water contents. They elucidated the influence of sludge characteristics such as low calorific value, high ash content, and low volatile content on temperature levels and distribution in the furnace. They also improved combustion in the furnace by altering the combustion organization approach. Han et al. [16] simulated the combustion process of paper waste and textile waste on the grate, providing guidance for improving coking conditions during the combustion of high-calorific-value industrial waste. Samal et al. [17] elaborated on the evaluation of the combustion of three types of bio-wastes.
Regarding the modeling of the evaporation system, Laubscher et al. [18,19,20,21] assessed the heat transfer performance of water walls and superheaters in a subcritical pulverized coal boiler and a biomass combustion boiler through CFD modeling. This allowed for the accurate prediction of the outlet gas temperature of the evaporators and superheaters, and the uneven distribution of internal steam and its effect on the metal wall temperature were captured. Tang et al. [22] and Wang et al. [23] examined the thermal-hydraulic characteristics of the evaporator systems in supercritical and ultra-supercritical circulating fluid bed boilers and obtained parameters such as total pressure drop, mass flux distribution, and metal temperature.
However, studies on the modeling of the evaporative heating surface of solid waste incinerators are few, and the analysis of the numerical simulation of furnace-side combustion coupled with boiler-side modeling is still limited. Moreover, there is still room for development in the simulation and experimental research on the collaborative disposal of solid waste from three or more sources. Therefore, this study conducted numerical simulations on the combustion of multisource organic solid waste mixed in different proportions. The combustion conditions inside the furnace and the changes in the thermodynamic parameters of the evaporation system were explored. This research provides guidance for the optimization of incinerator combustion.
2. Materials and Methods
The research object was a domestic SGF-V grate incinerator with a processing capacity of 750 t/d. There are four main types of incinerators, including mechanical grate incinerators, rotary incinerators, fluidized bed incinerators, and static continuous incinerators [24]. In an SGF-V grate incinerator, as shown in Figure 1, the grate structure presents a V-shape, combining the effects of reverse-tilt forward push and reverse-tilt gravity, which prevents the problem of waste slipping on the grate, and at the same time enhances the stirring effect of the waste and promotes its combustion. The waste underwent three stages on the grate: drying, combustion, and burnout. The length of the grate was 9.82 m, and the width was 14.4 m. The primary air temperature was 410 K, which was supplied into the furnace through six air chambers located under the grate. The air volume ratio was controlled as 22.5:22.5:23:16:11:5. The total amount of secondary air was 23,500 m3/h, with a temperature of 464 K and a speed of 9.16 m/s. The air was delivered through 24 nozzles. Under rated load conditions, the unit power was 15 MW, the main steam flow rate was 70 t/h, and the feed water temperature was 130 °C. The water wall risers were arranged in the first, second, third, and horizontal flues. The structure of the boiler and the steam-water flow process are shown in Figure 2. The green lines represent water flow, while the yellow line represents steam-water mixture, and the red lines represent steam flow.
Figure 1.
Structure of the SGF-V grate: (a) overview grate panel and working stages; (b) working principle [25].
Figure 2.
Boiler structure and steam-water flow process.
The experiment was conducted under four operating conditions, with the solid waste mixture consisting of domestic waste, sewage sludge, waste cloth, and paper sludge. The proximate analysis data, ultimate analysis data, and calorific value of each fuel component are shown in Table 1.
Table 1.
Proximate and ultimate analysis data of fuels used in this study (as received).
During the experiment, the boiler was stabilized at the rated load of 70 t/h through the adjustment of the mixed fuel feed rate for each case. The proximate and ultimate analysis data of the mixed fuels under different operating conditions is shown in Table 2, which was calculated based on the mass proportions of mixed fuel components presented in Table 3, and the low heat values were obtained through experimental analysis.
Table 2.
Proximate and ultimate analysis data of mixed fuels (as received).
Table 3.
Composition of mixed fuels.
3. Numerical Simulation and Calculation
3.1. Numerical Simulation Methods
The evaporation system of the solid waste incinerator was divided into three modules: the flue gas side, the tube wall side, and the steam-water side. The flue gas side simulation was conducted using the fluid dynamic incinerator code (FLIC) and Fluent coupling method [26,27] to simulate the combustion process of mixed fuels in the furnace. By inputting the proximate and ultimate analysis data of the fuel, the grate operating parameters, and the primary air parameters into FLIC, the temperature and concentration distribution of the gas components above the bed could be obtained through the solid-phase simulation of the bed. These results could then be used as boundary conditions for the three-dimensional model of the incinerator in Fluent. Additionally, an initial wall temperature distribution could be assumed through user-defined functions to simulate the gas-phase combustion process in the furnace. The structure of the incinerator model is shown in Figure 3. Hexahedral meshes were used to divide the incinerator model, and local mesh densification was performed for disturbed regions, such as the secondary air nozzle. The total number of meshes was 1.92 million, which was verified for mesh independence. The heat flux distribution results obtained from the Fluent simulation in the furnace could be input into the tube wall module. All water wall risers in the four flues were meshed, with the first flue divided into 46 (width and depth direction) × 19 (height direction), totaling 874 meshes. By separately modeling and calculating the tube wall module, the results for the metal wall temperature distribution and inner wall heat flux distribution of the tubes were obtained. The wall temperature distribution could be used as the input condition for the flue gas side, while the inner wall heat flux distribution of the tubes was input into the steam-water side as the boundary condition. Subsequently, the distributions of temperature, steam quality, and flow rate of the working fluid were calculated.
Figure 3.
Incinerator model and zoning.
The main governing equations involved in the simulation of the flue gas side bed combustion process are shown below [26,27].
Continuity equation:
Momentum equation:
Component transport equation:
Energy equation:
The process of gas combustion in the furnace was modeled and simulated using the standard turbulence model, standard wall function and finite rate/eddy dissipation model. The flue gas temperature results measured by thermocouples could be used to calculate the wall temperature results at these locations [28]. Through an interpolating method, interpolation functions could be obtained and input into a user-defined function to set the wall temperature to linearly change along the height, width, and depth directions. The velocity inlet boundary conditions were applied to the primary and secondary air inlets, and a pressure outlet boundary condition was used for the flue gas outlet, with an outlet pressure of −60 Pa. The combustion gas-phase products were simplified to CH4, CO, H2, CO2, H2O, and O2, and the chemical reaction of the combustion process was reduced to the following three parts [25,29]:
The tube wall module integrated an unsteady lumped parameter model, which used the temperature of the inner wall of risers as a lumped parameter, with a two-dimensional steady heat conduction model that reflected the temperature of the outer wall of risers [30]. The unsteady lumped parameter model and the two-dimensional steady heat conduction model are expressed below:
The steam-water side adopted the fixed boundary method, and fluid parameters at the outlet of each tube section were taken as lumped parameters to establish the following equations [30]:
Mass conservation equation:
Energy conservation equation:
Momentum conservation equation:
The heat transfer coefficient in the single-phase region can be expressed using the Dittus–Boelter equation [31]:
After transitioning from the single-phase water zone, the working fluid entered the nucleate boiling state, and the heat transfer coefficient for the two-phase working fluid can be calculated as follows [32]:
3.2. Model Verification
In order to verify the accuracy of the numerical simulation method for the combustion process, the simulated data was compared with the actual operating data of the incinerator. There were nine temperature measurement points in the first flue, three each on the front, left and right walls. Thermocouples were used for temperature measurement, which were inserted at a depth of 200 mm. The arrangement of the measurement points is shown in Figure 4.
Figure 4.
Measurement points arrangement.
The simulated temperature at each measurement point during the pure waste combustion at the rated load of 70 t/h in case 2 was compared with the actual operating temperature in Table 4. The trend of the simulated data was generally consistent with the measured data, and the maximum error was −8.55%. At the same time, the maximum errors in the other cases were separately 4.37%, −6.95%, and 8.71%, indicating that the error of the numerical simulation model was within the allowable range of ±10%. Therefore, the model used in this article can effectively simulate the actual combustion process in the furnace.
Table 4.
Comparison of simulated temperature and measured temperature in case 2.
4. Results and Discussion
During the experiment, the ratio and temperature of primary air and secondary air were kept constant. Simultaneously, the primary air flow and the hourly amount of mixed fuel input were adjusted to maintain the boiler’s operation at a 70 t/h load. Data from the distributed control system (DCS) was recorded, and simulations were conducted for the combustion process on the furnace side and the heat transfer process on the boiler side. The average fuel feed rate and evaporation for each case obtained are shown in the table below (Table 5):
Table 5.
Operating conditions and simulation results.
As indicated in Table 1, the calorific value of sewage sludge and paper sludge was lower than that of domestic waste, owing to the low volatility, high ash content, and relatively high moisture content. Moreover, the waste cloth used in the experiment was relatively dry and characterized by high volatility and low ash content, resulting in a significantly higher calorific value than the other fuels. Therefore, although the mixing ratio of the mixed fuel was not high, the calorific value of the fuel increased after it was mixed with waste cloth. Consequently, cases 3 and 4 featured a lower furnace feed rate than case 2 when the boiler evaporation rate was maintained at 70 t/h, as can be seen from Table 5. Conversely, in case 1, characterized by 20% sewage sludge, more fuel was needed to maintain stable evaporation owing to the decrease in the calorific value of the mixed fuel.
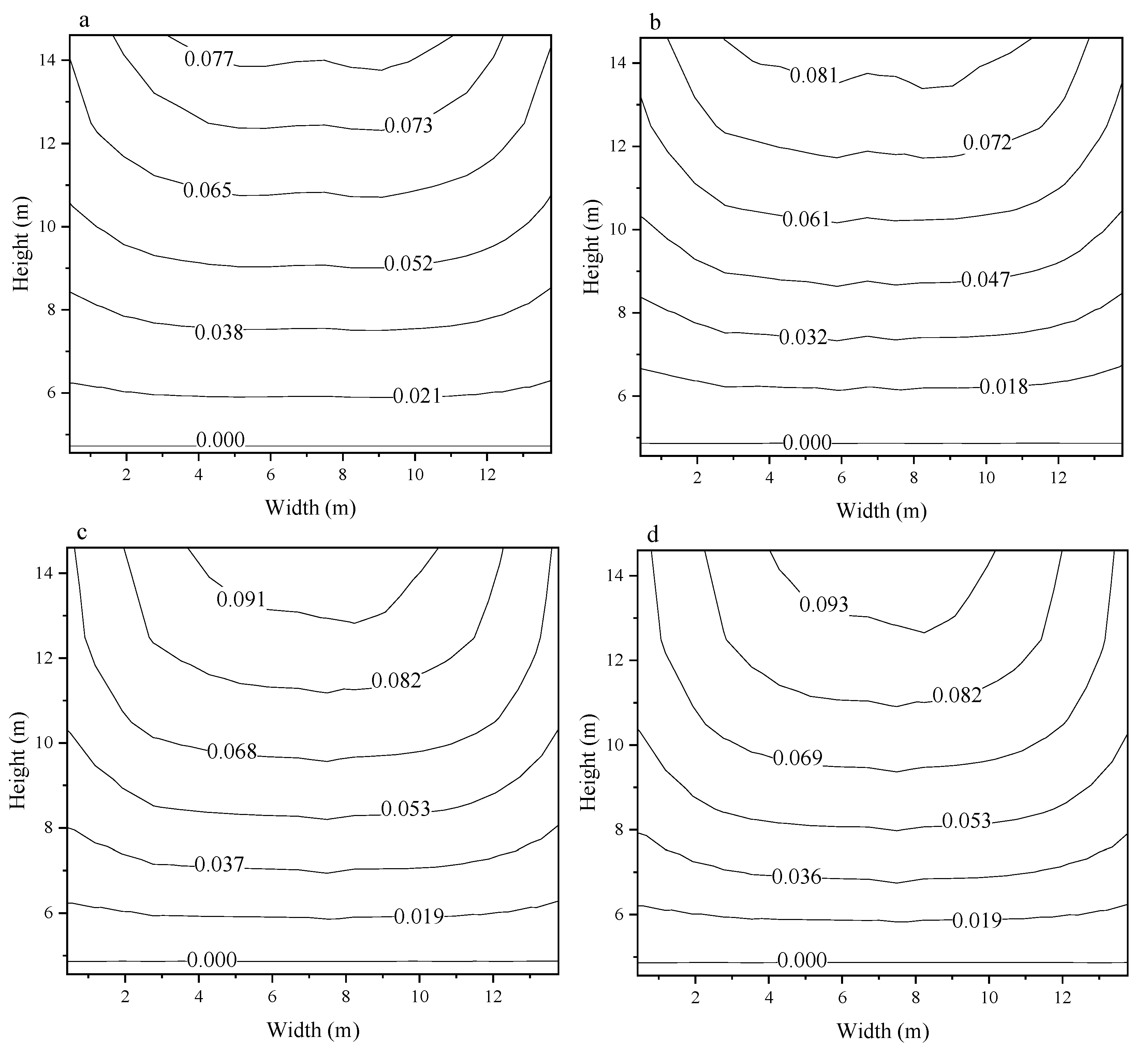
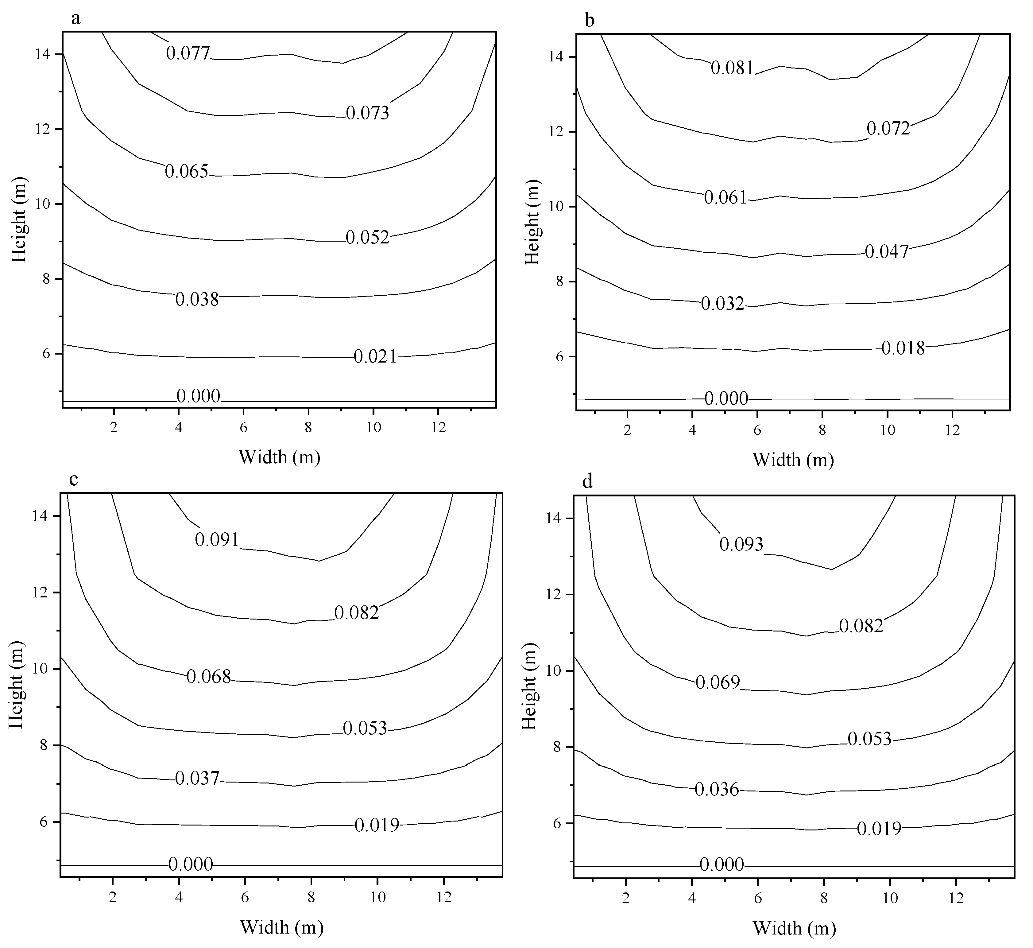
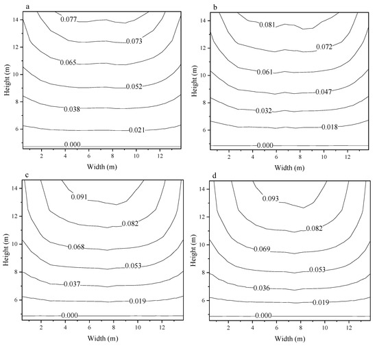
Figure 5 illustrates the heat flux distribution on the four sides of the water wall above the arch (6.48 m) and below the furnace arch (14.6 m) of the first flue. As depicted in Figure 5, the heat flux on the rear wall of the furnace was significantly higher than that on the front wall. This difference is attributed to the operation of the grate-type incinerator, where fuel moves from the front wall to the rear wall. The front section of the grate primarily involves the evaporation of fuel moisture, resulting in relatively lower gas temperatures above the bed. The higher gas temperature on the rear wall resulted from the complete volatilization and coke combustion process occurring in the rear section of the grate, leading to a higher heat flux. A comparison of the results of heat flux distribution for the four cases reveals that the highest heat flux value was recorded in case 4, which exceeded that of the other cases. Conversely, case 1 had the lowest heat flux, consistent with the calorific value of the mixed fuel. Given that case 4 featured the highest calorific value of mixed fuel among all of the cases, its combustion was the most intense, as depicted in the field flame pictures in Figure 6, resulting in the highest heat flux levels.

Figure 5.
Heat flux distribution in the first flue: (a) case 1; (b) case 2; (c) case 3; (d) case 4.
Figure 6.
Field flame pictures: (a) case 1; (b) case 2; (c) case 3; (d) case 4.
Figure 7 displays the variation in heat flux along the height direction in the middle of the front wall. As the furnace height increased, the heat flux gradually increased, peaking at 6.5–8.5 m, and then displayed a decreasing trend. Under the same load conditions, the heat flux in cases 1 and 2 exhibited smoother changes than those in cases 3 and 4.
Figure 7.
Heat flux distribution at 6.7 m wide in the front wall.
Figure 8 illustrates the distribution of metal wall temperature under four working conditions. The distribution of wall temperature was similar to that of heat flux under the corresponding working conditions, indicating that the nonuniformity of the metal wall temperature was closely related to the nonuniformity of the wall heat flux distribution. In the four cases, the highest wall temperatures appeared in the lower part of the rear wall, with case 4 having the highest temperature, followed by cases 3 and 2, and case 1. This pattern aligns with the calorific values of the mixed fuels. The maximum wall temperature difference between the center and both sides of the front wall at the same height in each case was 2.22 °C, 2.64 °C, 4.00 °C, and 4.07 °C, indicating that the temperature difference in case 1 was the smallest, while in cases 3 and 4, it was larger, resulting in a more uneven distribution of wall temperature.

Figure 8.
Wall temperature distribution in the first flue: (a) case 1; (b) case 2; (c) case 3; (d) case 4.
The distribution of steam quality in the front wall under four working conditions is shown in Figure 9, which presented similar tendencies in the rear wall. Since the heat flux in the middle of the furnace was higher than that on both sides, the steam quality of the working fluid in the center of the front wall was higher than that at the edges at the same height. As observed in Figure 9, as the furnace height increased, the difference in steam quality between the center and the sides became more pronounced. In other words, the steam quality distribution in the lower part of the furnace was more uniform than that in the upper part. A comparison of the operating conditions revealed that the steam quality distribution in the upper part of the furnace was more uniform in cases 1 and 2 than in cases 3 and 4.
Figure 9.
Steam quality distribution of the front wall: (a) case 1; (b) case 2; (c) case 3; (d) case 4.
Figure 10 compares the steam quality at the outlet of the front and rear water walls under various operating conditions. The outlet steam quality level reflects the total heat absorption of both the front and rear water walls. Compared with case 2, with pure waste combustion, the three combustion conditions with mixed fuel featured lower moisture contents, leading to reduced rates of bed moisture evaporation. This rate difference became more pronounced in the later stages of evaporation. Additionally, when waste was mixed with other sources of fuel, the ash content of the waste increased. With a decrease in fixed carbon content, ignition was delayed, and the start of combustion was shifted back. Consequently, the difference in heat absorption caused by variations in mixed fuel composition and calorific value was more significant in the rear wall than in the front wall. Compared with case 2, the two cases mixed with 20% waste cloth exhibited notably higher outlet steam qualities in the rear wall, resulting from greater heat absorption by the working fluid, as is evident from the heat flux distribution in Figure 5. In contrast, the outlet steam quality of case 1, with 20% sewage sludge, was closer to that of case 2, owing to the combined effects of a shifted combustion center and a reduction in fuel calorific value.
Figure 10.
Steam quality distribution at the furnace outlet: (a) front wall; (b) rear wall.
5. Conclusions
- The distributed parameter model of the evaporation system for a multisource organic solid waste incinerator was established. The error between the simulated total evaporation results and the on-site DCS results was small, indicating that the thermodynamic parameters of the evaporation system can be predicted relatively accurately. The blending of multisource solid wastes resulted in mixed fuels with different compositions and calorific values than pure waste, affecting the interaction between the furnace side and the boiler side. This resulted in significant changes in thermal parameters, such as wall heat flux, metal wall temperature, and the steam quality of the working fluid in the tube. The modeling and calculations can offer guidance for monitoring, adjusting, and controlling the solid waste incinerator.
- Compared with pure waste, the two mixed fuels with 20% waste cloth exhibited higher calorific values and peak heat flux in the furnace. Conversely, the fuel with only 20% sewage sludge exhibited a lower calorific value and heat flux than pure waste. However, the combustion of fuel with 20% sewage sludge and the combustion of pure waste yielded more uniform heat flux and wall temperature distributions than the combustion in the other two cases, resulting in a smaller temperature difference between the center and the two sides of the water wall at the same height, with maximum differences of 2.22 °C and 2.64 °C, respectively.
- The steam quality at the rear wall outlet varied significantly among the four cases. Owing to the combined effects of delayed combustion and differences in the calorific value of the fuels, steam quality at the rear wall outlet was significantly higher in cases 3 and 4 than in pure waste combustion, while the steam quality in case 1 was relatively close to that in case 2.
Author Contributions
Project administration, Z.L.; investigation, Z.F. and X.Z.; writing—original draft, Z.F. and Q.C.; writing—review and editing, Z.L. All authors have read and agreed to the published version of the manuscript.
Funding
This research was supported by National Key R&D Program of China (2019YFC1904003).
Institutional Review Board Statement
Not applicable.
Informed Consent Statement
Not applicable.
Data Availability Statement
All data, models, and code generated or used during the study appear in the submitted article.
Conflicts of Interest
The authors declare no conflict of interest.
Nomenclature
| momentum exchange, kg/(m2·s2) | |
| specific isobaric heat capacity, J/(kg·K) | |
| mass flow rate, kg/s | |
| Reynolds analogy factor | |
| gravity acceleration, m/s2 | |
| mass velocity, kg/(m2·s) | |
| specific enthalpy, J/kg | |
| latent heat of vaporization | |
| height, m | |
| heat conductivity coefficient | |
| mass, kg | |
| pressure, Pa | |
| radiative heat flux, W/m2 | |
| heat source term, W/m3 | |
| distance, m | |
| mass source term, kg/(m3·s) | |
| temperature, K | |
| velocity, m/s | |
| steam quality | |
| mass fraction, % | |
| Reynolds number | |
| Prandtl number | |
| Greek symbols | |
| heat transfer coefficient, W/(m2·K) | |
| frictional resistance coefficient | |
| thermal conductivity, W/(m·K) | |
| dynamic viscosity, N/(m·s) | |
| resistance coefficient | |
| density, kg/m3 | |
| Stefan–Boltzmann constant | |
| time step, s | |
| angle, rad | |
| Subscripts | |
| bed | |
| gas | |
| number of elements | |
| inner | |
| liquid | |
| outer | |
| solid | |
| saturation | |
| solid particles above the bed | |
| inlet | |
| outlet |
References
- Joshi, A.; Shah, V.; Mohapatra, P.; Kumar, S.; Joshi, R.K.; Kathe, M.; Qin, L.; Tong, A.; Fan, L. Chemical looping-A perspective on the next-gen technology for efficient fossil fuel utilization. Adv. Appl. Energy 2021, 3, 100044. [Google Scholar] [CrossRef]
- He, W.; King, M.; Luo, X.; Dooner, M.; Li, D.; Wang, J. Technologies and economics of electric energy storages in power systems: Review and perspective. Adv. Appl. Energy 2021, 4, 100060. [Google Scholar] [CrossRef]
- Xia, Z.; Long, J.; Yan, S.; Bai, L.; Du, H.; Chen, C. Two-fluid simulation of moving grate waste incinerator: Comparison of 2D and 3D bed models. Energy 2021, 216, 119257. [Google Scholar] [CrossRef]
- Xia, Z.; Shan, P.; Chen, C.; Du, H.; Huang, J.; Bai, L. A two-fluid model simulation of an industrial moving grate waste incinerator. Waste Manag. 2020, 104, 183–191. [Google Scholar] [CrossRef]
- Hu, Z.; Jiang, E.; Ma, X. Numerical simulation on NOX emissions in a municipal solid waste incinerator. J. Clean. Prod. 2019, 233, 650–664. [Google Scholar] [CrossRef]
- Yang, X.; Liao, Y.; Ma, X.; Zhou, J. Effects of air supply optimization on NOx reduction in a structurally modified municipal solid waste incinerator. Appl. Therm. Eng. 2022, 201, 117706. [Google Scholar] [CrossRef]
- Costa, M.; Massarotti, N.; Mauro, A.; Arpino, F.; Rocco, V. CFD modelling of a RDF incineration plant. Appl. Therm. Eng. 2016, 101, 710–719. [Google Scholar] [CrossRef]
- Liu, X.; Luo, C.; Tang, Y.; Wang, H.; Tian, Y. Numerical simulation study on structural modification of large-scale municipal solid waste incinerator. Boil. Tech. 2019, 50, 64–70. [Google Scholar]
- Yan, M.; Antoni; Wang, J.; Hantoko, D.; Kanchanatip, E. Numerical investigation of MSW combustion influenced by air preheating in a full-scale moving grate incinerator. Fuel 2021, 285, 119193. [Google Scholar] [CrossRef]
- Hoang, Q.N.; Van Caneghem, J.; Croymans, T.; Pittoors, R.; Vanierschot, M. A novel comprehensive CFD-based model for municipal solid waste incinerators based on the porous medium approach. Fuel 2022, 326, 124963. [Google Scholar] [CrossRef]
- Chen, J.; Tang, J.; Xia, H.; Wang, T.; Gao, B. A Non-Manipulated Variable Analysis of Solid-Phase Combustion in the Furnace of Municipal Solid-Waste Incineration Process Based on the Biorthogonal Numerical-Simulation Experiment. Sustainability 2023, 15, 14159. [Google Scholar] [CrossRef]
- Feng, L.; Shi, Z.; Zhou, Y.; Peng, X.; Mao, M.; Zhang, S.; Wang, F. Numerical simulation study on co-incineration of sludge in a large-scale grate-type waste incinerator. Environ. Sanit. Eng. 2020, 28, 32–37. [Google Scholar]
- Zhu, H.; Yu, W. Study on layer combustion characteristics of municipal solid waste in co-incineration of sludge. Environ. Sanit. Eng. 2021, 29, 46–49. [Google Scholar]
- Xu, J.; Liao, Y.; Yu, Z.; Cai, Z.; Ma, X.; Dai, M.; Fang, S. Co-combustion of paper sludge in a 750 t/d waste incinerator and effect of sludge moisture content: A simulation study. Fuel 2018, 217, 617–625. [Google Scholar] [CrossRef]
- Zeng, X.; Ma, X.; Liao, Y.; Wang, H.; Tian, Y. Numerical simulation of co-combustion of sludge in a 900 t/d waste incinerator. J. Eng. Therm. 2020, 41, 2324–2332. [Google Scholar]
- Han, N.; Zhou, G.; Fu, Z.; Shao, Z. Numerical simulation of combustion process of high calorific value waste in grate-type waste incinerator. Environ. Prot. Circ. Econ. 2020, 40, 25–28. [Google Scholar]
- Samal, C.; Nayak, S.K.; Mishra, P.C. Performance evaluation of improved cookstove during combustion of waste biomass feedstocks for developing countries. Int. J. Energy Clean Environ. 2022, 23, 113–127. [Google Scholar] [CrossRef]
- Laubscher, R.; Rousseau, P. CFD study of pulverized coal-fired boiler evaporator and radiant superheaters at varying loads. Appl. Therm. Eng. 2019, 160, 114057. [Google Scholar] [CrossRef]
- Laubscher, R.; Rousseau, P. Numerical investigation on the impact of variable particle radiation properties on the heat transfer in high ash pulverized coal boiler through co-simulation. Energy 2020, 195, 117006. [Google Scholar] [CrossRef]
- Laubscher, R.; Van Der Merwe, S. Heat transfer modelling of semi-suspension biomass fired industrial watertube boiler at full- and part-load using CFD. Therm. Sci. Eng. Prog. 2021, 25, 100969. [Google Scholar] [CrossRef]
- Laubscher, R.; De Villiers, E. Integrated mathematical modelling of a 105 t/h biomass fired industrial watertube boiler system with varying fuel moisture content. Energy 2021, 228, 120537. [Google Scholar] [CrossRef]
- Tang, G.; Zhang, M.; Gu, J.; Wu, Y.; Yang, H.; Zhang, Y.; Wei, G.; Lyu, J. Thermal-hydraulic calculation and analysis on evaporator system of a 660 MWe ultra-supercritical CFB boiler. Appl. Therm. Eng. 2019, 151, 385–393. [Google Scholar] [CrossRef]
- Wang, L.; Yang, D.; Shen, Z.; Mao, K.; Long, J. Thermal–hydraulic calculation and analysis of a 600 MW supercritical circulating fluidized bed boiler with annular furnace. Appl. Therm. Eng. 2016, 95, 42–52. [Google Scholar] [CrossRef]
- Lin, H.; Zhu, Q. Equipment and application of domestic refuse incinerator with new grate-type. China Environ. Prot. Ind. 2019, 2, 36–40. [Google Scholar]
- Luo, Z.; Chen, W.; Wang, Y.; Cheng, Q.; Yuan, X.; Li, Z.; Yang, J. Numerical simulation of combustion and characteristics of fly ash and slag in a “V-type” waste incinerator. Energies 2021, 14, 7518. [Google Scholar] [CrossRef]
- Yang, Y.B.; Newman, R.; Sharifi, V.; Swithenbank, J.; Ariss, J. Mathematical modelling of straw combustion in a 38MWe power plant furnace and effect of operating conditions. Fuel 2007, 86, 129–142. [Google Scholar] [CrossRef]
- Yang, Y.B.; Swithenbank, J. Mathematical modelling of particle mixing effect on the combustion of municipal solid wastes in a packed-bed furnace. Waste Manag. 2008, 28, 1290–1300. [Google Scholar] [CrossRef]
- Zheng, S.; Li, X.; Han, L.; Lu, Q. Experimental study of biomass flame emissivity based on spectral processing and thermocouple measurement. J. Cent. S. Univ. (Nat. Sci. Ed.) 2021, 52, 4. [Google Scholar]
- Kolibaba, O.B.; Sokolskiy, A.I.; Gabitov, R.N. Research of the pyrolysis of municipal solid waste aimed at improving the efficiency of thermal reactors. Int. J. Energy Clean Environ. 2017, 18, 147–160. [Google Scholar] [CrossRef]
- Chu, Y.; Lou, C.; Cheng, Q.; Zhou, H. Distributed parameter modeling and simulation for the evaporation system of a controlled circulation boiler based on 3-D combustion monitoring. Appl. Therm. Eng. 2008, 28, 164–177. [Google Scholar] [CrossRef]
- Dittus, F.W.; Boelter, L.M.K. Heat transfer in automobile radiators of the tubular type. Int. Commun. Heat Mass Transf. 1985, 12, 3–22. [Google Scholar] [CrossRef]
- Luo, Z.; Feng, Z.; Wu, B.; Cheng, Q. Decoupling investigation of furnace side and evaporation system in a pulverized-coal oxy-fuel combustion boiler. Energies 2022, 15, 2354. [Google Scholar] [CrossRef]
Disclaimer/Publisher’s Note: The statements, opinions and data contained in all publications are solely those of the individual author(s) and contributor(s) and not of MDPI and/or the editor(s). MDPI and/or the editor(s) disclaim responsibility for any injury to people or property resulting from any ideas, methods, instructions or products referred to in the content. |
© 2023 by the authors. Licensee MDPI, Basel, Switzerland. This article is an open access article distributed under the terms and conditions of the Creative Commons Attribution (CC BY) license (https://creativecommons.org/licenses/by/4.0/).











