Next Article in Journal
Evolutionary Game Analysis of Cross-Border E-Commerce Logistics Alliance Subject Considering Supply Chain Disruption Risk
Next Article in Special Issue
Process Simulation and Technical Evaluation Using Water-Energy-Product (WEP) Analysis of an Extractive-Based Biorefinery of Creole-Antillean Avocado Produced in the Montes De María
Previous Article in Journal
State of Knowledge on UK Agricultural Peatlands for Food Production and the Net Zero Transition
Previous Article in Special Issue
Enhanced Recovery of Alginate-like Extracellular Polymers (ALE) from Waste-Activated Sludge Using Sodium Percarbonate: Performance and Characteristics
 
 
Font Type:
Arial Georgia Verdana
Font Size:
Aa Aa Aa
Line Spacing:
Column Width:
Background:
Article

Piloting Bioethanol Production from Source-Separated Food Waste Boosts Technology Readiness

by
Fotis Chatzimaliakas
,
Diogenis Christianides
,
Dimitris Malamis
,
Sofia Mai
and
Elli Maria Barampouti
*
Unit of Environmental Science & Technology, School of Chemical Engineering, National Technical University of Athens, Zographou Campus, 9 Iroon Polytechniou Str., GR-15780 Athens, Greece
*
Author to whom correspondence should be addressed.
Sustainability 2023, 15(23), 16349; https://doi.org/10.3390/su152316349
Submission received: 13 October 2023 / Revised: 11 November 2023 / Accepted: 25 November 2023 / Published: 27 November 2023
(This article belongs to the Special Issue Upcycling Biowaste into Biobased Products)

Abstract

:
By the end of 2023, biowaste must be completely separated or recycled at source, based on EU legislation. Separate biowaste collection and valorisation for biofuels could play an essential role in the biobased circular economy. In this context, the principal goal of this paper was to demonstrate on a pilot scale the technological solution of bioethanol production via the utilisation of urban source-separated biowaste within the city context of Athens, Greece. More specifically, the main aim was the demonstration of a pilot system for more than 10 consecutive operating cycles with real feedstock—wet; separately collected biowaste. From the 11 pilot trials performed with wet feedstock, the mean starch and cellulose degradation of the pilot trials amounted to 80.69 ± 16.27% and 79.41 ± 10.37%, respectively, while the bioethanol yield was 74.05 ± 6.82%. The latter was comparable to that of more intensive pretreatment methods. Homogenization and shredding, which were applied in this study, stand as promising pretreatment methods for bioethanol production from wet feedstock. Further research is needed to optimize conditions and evaluate scalability. Nevertheless, pilot-scale testing is a crucial step in the deployment of this technology since it serves as a bridge between laboratory research and full-scale implementation, offering a practical and controlled environment to validate and optimize the technology while minimizing risks and uncertainties. Conclusively, this study could stand as a flagship case study for the implementation of circular and sustainable approaches in the management of organic fractions of source-separated municipal waste, showcasing the technical feasibility of the whole value chain from waste collection to final bioethanol product recovery.

1. Introduction

Recently, food waste has received a lot of attention due to its negative impact on climate change, food security, and the sustainability of agri-food systems. As stated by the United Nations Food and Agriculture Organization (FAO) reports, 828 million people suffered from hunger in 2021, an increased number compared to previous FAO reports [1]. Food waste may derive in a variety of ways, including the removal of fresh produce that deviates from the ideal shape, size, and color during sorting procedures or the discarding of goods by merchants and customers that are close to or past their “best-before” date. Furthermore, there are frequently significant amounts of edible food leftovers that are disposed of in home kitchens and eating facilities.
Managing food waste is a significant and complicated issue throughout the food supply chain, from farming to consumption level. Poor harvesting procedures, spoilage, damage, unsuitable storage conditions, and overbuying can all contribute to this problem. As a result, reducing food waste requires a coordinated and integrated approach, including multiple stakeholders and actions across the whole food system. The projected loss of food resources after harvesting and before reaching the market is estimated at 14%, valued at $400 billion per year. Furthermore, according to the UNEPS Food Waste Index Report 2021 [2], an additional 17% of food, approximately 931 million metric tons, is wasted across three sectors: household, food services, and retail. Prioritizing food loss and waste management is therefore crucial for the transition to sustainable agri-food systems that increase the effective use of natural resources, reduce their environmental impact, and maintain food security and nutrition [3].
Throwing food waste away in landfills or incinerating it causes deterioration of the quality of the land and environment and generates greenhouse gases (GHGs), contributing to an unstable climate [4]. Apart from that, the European legislation on waste management has evolved over the last few decades, focusing on biowaste valorisation. The Waste Framework Directive (2008/98/EC) promotes the hierarchy of waste management, prioritizing prevention, reuse, recycling, and recovery over disposal. It also encourages member states to put in place different waste stream collection systems, including biowaste. In the meantime, the Landfill Directive (1999/31/EC) strives to lessen the harmful effects of disposing of waste in landfills, forcing member states to reduce the biodegradable waste going to landfills and promote alternative waste treatment methods. Other steps that the European Union has taken to encourage sustainable biowaste management include the Circular Economy Package (2018). The latter promotes the separate collection of biowaste and the use of compost and digestate as valuable resources. On the other hand, the EU Bioeconomy Strategy promotes the sustainable use of renewable resources, including biowaste, for various applications, including bioenergy, bioplastics, and bio-based chemicals. Of course, the EU member states often develop their own legislation and regulations to implement EU directives. These national laws may provide even more specific requirements for the separate collection and management of biowaste.
Thus, due to the high organic and nutrient content of biowaste, as well as to European and national legislation, proper strategies for handling this organic waste stream are essential in order to utilize this low-cost and suitable feedstock for producing value-added products through biological processes for resource and energy recovery, including ethanol fermentation, aerobic composting, anaerobic digestion, and biomaterials production.
Second-generation bioethanol has been an active research field for the last few decades [5,6,7,8]. In the literature, the majority of studies are lab- or bench-scale treatments of synthetic food waste or waste collected from local cafeterias and restaurants. Within these studies, several technological approaches have been proposed for the bioethanol production process, including various process stages such as hydrothermal, chemical (acid/alkaline), and enzymatic pretreatment methods, as well as fermentation techniques (Separate hydrolysis and fermentation and Simultaneous saccharification and fermentation) using tailored yeast strains for food waste valorisation. The recovery of the final biofuel product is rarely discussed in the literature. Nevertheless, the development of a sustainable food waste valorisation industry requires an extensive supply chain, mainly including separate collection and transportation, processing, and end-product penetration in the market. To this end, there are many challenges that need proper attention. A successful and efficient scale-up design should take into consideration that food waste should be source-separated and collected in an organized framework, that food waste composition presents fluctuations both seasonally and regionally, and that the purification process of end products/biofuels should meet quality standards and specifications.
In view of the above, the aim of this study is to showcase an alternative valorization pathway for source-separated food waste, a substrate rich in carbohydrates, fats, and proteins. This pathway leads to the production of bioethanol. Benefits of bioethanol production from source-separated biowaste include reducing landfill waste, decreasing greenhouse gas emissions (since it is a renewable fuel), and promoting a circular economy by turning waste into a valuable resource. This process may contribute to sustainability goals and reduce the reliance on fossil fuels.
Therefore, the primary goal of the present study was to assess both the feasibility and reproducibility of a process to produce ethanol from raw homogenized feedstock without pre-drying. To the authors’ knowledge, bioethanol production from wet, as received, food waste without a dehydration pretreatment step is rather novel. Furthermore, very little has been reported till now in the literature for the production of bioethanol from “real” food waste on a pilot scale. Piloting bioethanol production from source-separated biowaste can help boost the Technology Readiness Level (TRL) of this sustainable energy production method. It involves testing and validating the technology on a smaller scale before implementing it on a larger, commercial scale. This helps refine the process, address any technical challenges, and gather data on its feasibility and efficiency, ultimately advancing it to a higher TRL for wider adoption. Piloting is particularly crucial for complex technologies, innovations, or processes, as it helps reduce risks associated with large-scale implementation and ensures that the technology meets the necessary standards and requirements. Hence, the pilot plant shall allow for testing the technology with real biowaste materials, refining the process, and identifying any operational challenges. Data on yields, energy efficiency, and environmental impact will be collected. This stage is crucial for scaling up the technology and further validating its performance under real-world conditions. It also helps in assessing the economics of the process. Successful pilot testing also builds confidence among stakeholders, including investors, regulators, and end-users. It demonstrates that technology is not just a theoretical concept but a practical solution. Last but not least, pilot testing provides an opportunity to assess the environmental and social impacts of the technology. This information is vital for conducting impact assessments and addressing potential concerns.

2. Materials and Methods

2.1. Materials

The raw material utilised in this study is source-separated food waste, specifically household kitchen waste, from the Municipality of Vari-Voula-Vouliagmeni in Attica, Greece. The biowaste was delivered to the Unit of Environmental Science and Technology (UEST), School of Chemical Engineering, NTUA, for analysis and processing. The wet feedstock, received without a drying stage, presented numerous difficulties in terms of representative sampling and analytical characterization due to its high heterogeneity. In order to obtain accurate and representative results, a methodology for Waste Analysis Campaigns was set up before the first sample was taken. This methodology was also in line with all relevant standard documents on “characterization of waste—sampling of waste materials;” such as EN 14899, CEN/TR 15310-1:2006, CEN/TR 15310-2:2006: Guidance on sampling techniques, CEN/TR 15310-3:2006, CEN/TR 15310-4:2006, and CEN/TR 15310-5:2006. The processing of the feedstock was also a significant challenge, which was overcome by using a high-power shredder. To ensure accurate analysis, all raw feedstocks were fully physico-chemically characterized in triplicate, with the moisture content being measured first by a moisture analyzer.
Based on the results of extensive experimental work on biowaste [9,10,11], on the bioethanol production trials with dried feedstock [12], and on preliminary lab scale experiments, the enzyme and yeast dosages that were adopted were: 175 μL/g cellulose NS87014 (333 FPU/mL), 40 μL/g starch SpirizymeXL (2337 U/mL), and 2% Saccharomyces cerevisiae (d.b.) (dry baker’s yeast). A mean composition of feedstock was also assumed, namely 10% starch, 15% cellulose, and 1.5% free glucose on a dry basis [13], since the wet feedstock could not be characterized in time prior to its treatment. The fermentation mode that was applied was Simultaneous Saccharification and Fermentation (SSF), and the solid loading was 10–15% since higher solid loadings induced mechanical problems for the equipment.

2.2. Analytical Methods

For the estimation of total and water-soluble solids, hemicellulose, cellulose, and lignin in food waste (raw and pretreated), the National Renewable Energy Laboratory (NREL) procedure was applied [13,14,15]. For total starch determination, the Total Starch (AA/AMG) test kit (e.g., Megazyme, Wicklow, Ireland) was used (AACC Method 76-13.01). The Soxhlet standard method (5520E) was utilized for the quantification of fats and lipids [16,17]. Marketable kits (Glucose oxidase-peroxidase method (GOD/PAP), Biosis SA, Athens, Greece; Spectro-quant Volatile Organic Acids Test 1018909 by Merck KGaA Mellipore, Darmstadt, Germany; Ethanol Assay Kit, K-EtOHLQR, Megazymes) were used for the photometric determination of glucose, volatile fatty acids, and ethanol in the liquid fraction, respectively. All analyses took place in triplicate. Ethanol yield is estimated as the percentage of ethanol produced compared to the theoretical ethanol. Theoretical ethanol represents the maximum ethanol production by the total conversion of carbohydrates (starch and cellulose) plus free glucose.
The KERN DAB 100-3 Moisture Analyzer was utilized to determine the moisture content of the raw homogenized feedstock prior to its treatment. This approach was employed to obtain reliable measurements of the dry matter to estimate the solids, enzymes, and yeast loadings.
Metal content measurements were performed on solid digested samples with an Agilent AA240FS Atomic Absorption Spectrophotometer (FAAS).

2.3. Experimental Methods

2.3.1. Pretreatment—High-Power Shredding

A high-power shredder (LFC-18V2, Dynamic, Greece, Athens) was used for the processing of wet source-separated biowaste. The shredder consisted of an 18 L bowl with four low- and high-speed rotating cutting knives (Figure 1), which were able to blend the raw feedstock with water to form a slurry mixture. To ensure efficient blending, approximately 3 L of water were added to the bowl cutter for every 12–14 kg of fresh biowaste. The residence time required for mixing and homogenization varied depending on the type of biowaste. Typically, each batch of approximately 12–14 kg of wet feedstock was mixed for 5–10 min before being sampled for rapid moisture determination to estimate the dry matter in the feedstock. The solid loading was adjusted to fall within the range of 10–15%, and water was added if necessary. The resulting mixture was then fed into the pilot bioreactor for SSF processing.

2.3.2. Bioconversion Pilot Plant

The bioconversion experiments were conducted in a pilot plant. This pilot plant is located in NTUA. It includes two horizontal rotating vessels, each with a capacity of 200 L. These vessels are made of stainless steel, a common material choice for its durability and resistance to corrosion. The rotation and agitation in these vessels are used to facilitate mixing and ensure uniform conditions during the bioconversion process. The two vessels can operate independently, allowing for different operating conditions or different processes to be tested simultaneously if necessary. Since temperature is a critical parameter in the bioconversion processes, the vessels have a temperature control system that involves water recirculation within their double walls. This system helps maintain a precise and stable temperature inside the vessels. A distillation unit is also part of the pilot plant setup. It is used to recover the ethanol produced during the bioconversion process. The distillation is conducted at a specific temperature (70 °C) and under reduced pressure (low vacuum) to separate ethanol efficiently from water. The volume and ethanol concentration of distillate are monitored in order to assess the distillation performance. The pilot’s operation is controlled by a Programmable Logic Controller (PLC) (Siemens S7-1200). The PLC manages and monitors parameters such as temperature, agitation, and distillation [12]. Overall, this pilot plant serves as a controlled environment for conducting experiments related to bioconversion processes, particularly the production and recovery of ethanol. The use of specialized equipment and automation through a PLC helps ensure accurate and reproducible results, making it valuable for research and development in the fields of bioprocessing and bioenergy production.
Approximately 11 pilot trials were conducted. During the process, samples were taken to monitor the ethanol and glucose levels. Distillation was carried out after 24 h of SSF.

3. Results

3.1. Raw Material

During the course of this study, around 600 kg of fresh and wet organic waste were received in different batches in a 4-month period (November–February 2023). Although it has been reported that source-separated food waste contains foreign material that is inert to biological degradation, such as glass, metals, non-biodegradable plastics, textiles, etc. [18,19,20], in the case of Vari-Voula-Vouliagmeni municipality, the citizens awareness and long and active participation in source separation schemes have significantly improved the quality of source-separated biowaste, reducing any impurities such as plastics, metals, etc. However, given the scale of the pilot plant, the manual removal of any foreign object or impurity was feasible. Based on the physicochemical characterisation, the mean initial moisture was 82.1 + 4.0 (% w/w wet basis), while the composition of the raw food waste was as follows (% w/w dry basis): ash 8.5 ± 1.5, starch 4.5 ± 2.8, cellulose 9.4 ± 1.1, hemicellulose 8.5 ± 1.9, fats and oils 21.0 ± 7.7, acid-soluble lignin 1.0 ± 0.2, acid-insoluble residue 9.7 ± 2.1, water-soluble solids 39.3 ± 6.4, and free glucose 2.5 ± 2.3. As far as heavy metals are concerned, the following concentrations were measured in the different batches (mg/kg dry basis): Cr 2.62 ± 0.05, Cu 1.67 ± 3.61, Mn 14.29 ± 5.13, Ni 3.94 ± 2.46, Cd 0.09 ± 0.02, Pb 1.97 ± 0.11, and Zn 25.22 ± 11.23.
According to Barampouti et al. [5], fats and oils vary from 5.6% to 24.7%. The mean values for lignin are 12.59 ± 4.23%, for cellulose 13.97 ± 3.73%, for hemicellulose 10.22 ± 6.63%, for starch 7.31 ± 3.44%, and for free glucose 10.6 ± 6.0%. In general, it is observed that the average composition of components falls within the range reported in the literature. It should also be noted that all heavy metals identified were within the permissible limits for land use. In fact, according to Bozym et al. [21], cadmium content lower than 0.5 mg/kg is not harmful, and the respective toxic limit is 180 mg/kg. Accordingly, copper concentrations over 40 mg/kg may hinder methane production. The zinc levels of biowaste should not be over 100 mg/kg [22], while the toxic limit for nickel is 10 mg/kg. Finally, in most food residue samples, chromium is usually 1.26–3.42 mg/kg [21].
Nutrients are essential for yeast metabolism during the fermentation process; therefore, this feedstock appears to have an adequate amount of nutrients available for healthy yeast growth. This is in accordance with Cekmecelioglu and Uncu [23] and Tang et al. [24], who concluded that nutrient input was not necessary throughout the fermentation of the organic fraction of municipal solid waste, indicating that all the nutrients required for unrestricted yeast growth were present in the hydrolysate.
Also, the complexity of food waste is advantageous for microbial development; therefore, proper and immediate handling is necessary to prevent microbial contamination, as it can affect the bioconversion process in terms of yield [25].

3.2. Bioconversion Process

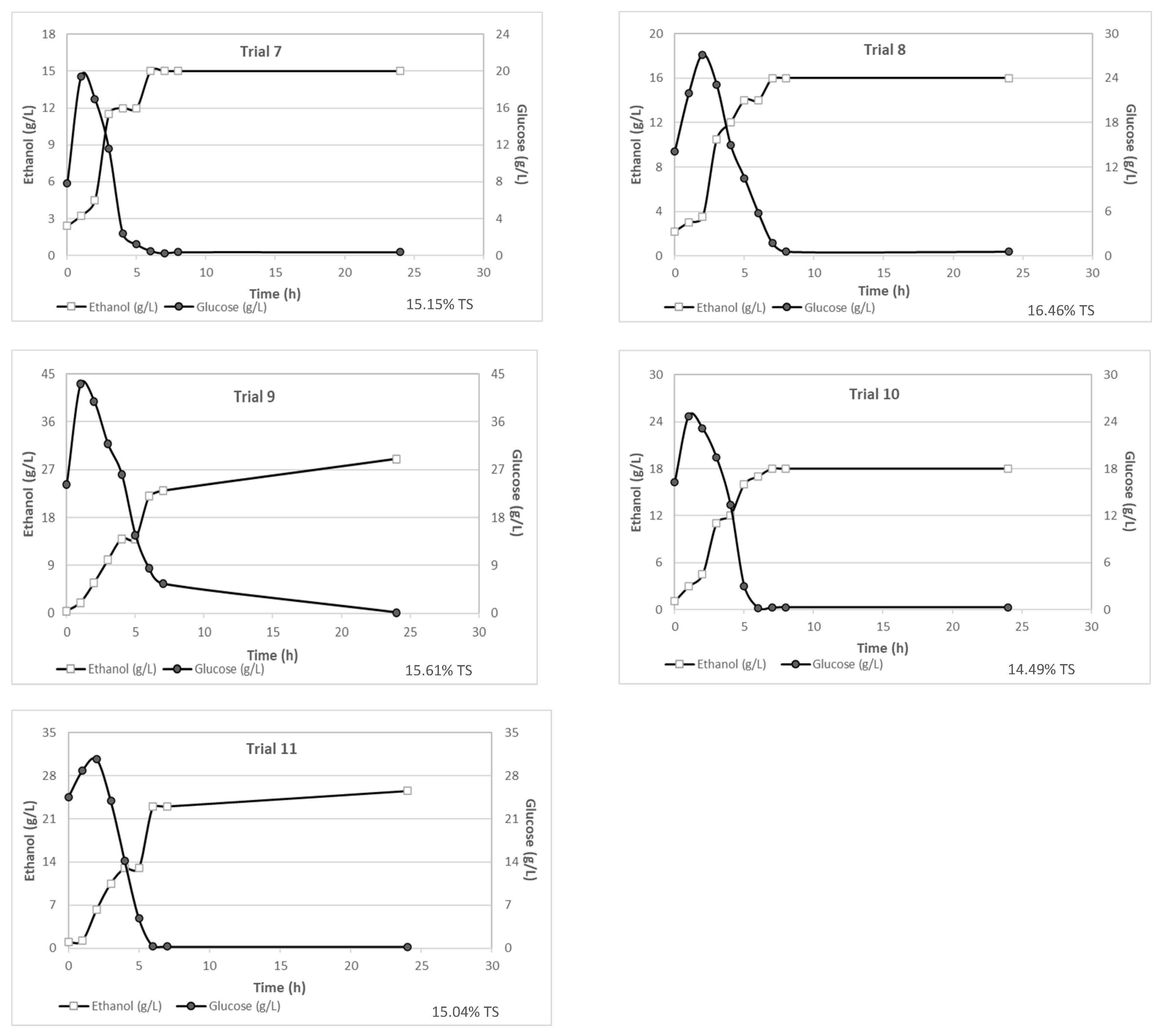
The results obtained from monitoring the glucose and ethanol concentrations during the 24 h fermentation process are presented in Figure 2. It is evident from Figure 2 that after the first 7–8 h of fermentation, the glucose concentration drops to nearly zero, while the ethanol concentration (Figure 2) reaches its maximum value and remains almost stable. For each trial, the maximum ethanol concentration varied depending on the feedstock characteristics. The shredded wet feedstock used in the experiments presented a free glucose content ranging from 5.24 to 24.21 g/L, which is beneficial for bioethanol production. This can be attributed to a partial breakdown of polysaccharides during the shredding process [26] as well as sugars from food that were dissolved in the liquid fraction. Therefore, the glucose content in the liquid phase of the mixture was accurately measured and accounted for in the ethanol yield calculations. These results demonstrate the importance of monitoring ethanol and glucose production throughout the SSF process and the need to consider the feedstock characteristics for efficient ethanol production.
The maximum ethanol concentrations achieved in this study, 20 g/L for 10% solid loading and 29 g/L for 15% solid loading, could be considered satisfactory in comparison with the findings of Uncu & Cekmecelioglu [27]. They reported bioethanol concentrations as high as 16.96 g/L and 26.01 g/L for solid loadings of 10% and 15%, respectively, when using kitchen waste as substrate. Additionally, the outcomes of Uçkun Kiran & Liu [28], who studied bioethanol production from a substrate with an initial glucose content of 40 g/L and a solid loading of 15% for 24 h, indicated an ethanol concentration of almost 15 g/L.
In order to investigate the mechanism of biowaste hydrolysis and fermentation, a comprehensive characterization was conducted at the beginning and end of each trial (Table 1 and Table 2). Regarding the liquid phase, the pH and the contents of total organic carbon (TOC), total nitrogen (TN), total reducing sugars (TRS), glucose, and ethanol were measured (Table 1). In the solid phase, the total solids (TS), total organic carbon (TOC), total nitrogen (TN), starch, cellulose, fats and oils, water-soluble solids (WSS), hemicellulose, acid-soluble lignin (ASL), and acid-insoluble residue (AIR) were measured and are presented in Table 2. By examining the composition of the liquid and solid phases, it was evident that an adequate amount of nutrients for healthy yeast growth were available.
From a chemical point of view, the reaction mixture is an aqueous solution of water-soluble compounds (described by the concentration of TOC and TN at the start of each trial—Table 1) and particulate matter (described by the composition of the solid phase at the start of each trial—Table 2). The effect of stirring and heating, along with the most pronounced and targeted effect of enzymes and yeast on the solubilization of the particulate matter, is illustrated both in the composition of the liquid and solid phases (Table 1 and Table 2), respectively, at the end of each trial. According to the experimental design, the addition of amylase is targeted to hydrolyze the starch content, releasing glucose in the liquid phase. Similarly, cellulase aimed to catalyse the hydrolysis of cellulolytic components of feedstock. On the other hand, S. cerevisiae, as a common fermentation yeast, aimed to consume only glucose, producing ethanol as a metabolic product. These actions were indeed achieved in all trials since the starch and cellulose degradations were over 80% in all cases. Additionally, the performance of yeast was very satisfactory since the remaining glucose concentrations were lower than 0.5 g/L, achieving satisfactory ethanol concentrations (Table 1). Apart from starch and cellulose, the rest of the structural compounds were also moderately solubilized, releasing the respective organic compounds in the aqueous solution and increasing the concentrations of TOC and TN in the liquid phase.
Taking into account the composition of the raw material utilised and the produced stillage, the degradation efficiencies were calculated for the structural components of source-separated food waste and are presented in Table 3 as the degradation of each compound on a dry mass basis.
The Grubbs test are a statistical method used to detect outliers or unusually extreme data points in a dataset. It helps identify values that are significantly different from the rest of the data and can be considered anomalies. In this case, the Grubbs test were applied to the data in Table 3, and it detected two outliers related to cellulose and starch degradation in Trial 6. Excluding the detected outliers from the mean values, the resulting mean degradations of starch and cellulose are 80.7 ± 16.3% and 79.4 ± 10.4%, respectively, while the solubilisation of total solids came up to 63.40 ± 12.60%.
The efficiency of the process for every trial was assessed by the ethanol yield and by the ethanol produced per tonne of dried total solids, as presented in Figure 3. The term dried feedstock refers to total solids (TS) and is used in order to calculate yields that can be comparable with the results of a previous study [12] using dry feedstock under similar operational conditions.
The mean ethanol yield was 74.1 ± 6.8%, and the results were also very successful and reproducible. It is notable that the polysaccharide degradation verified the observed ethanol yields.
The stillage produced after the distillation process could be valorised in an anaerobic digestion process to produce biogas and digestate to be used as fertilizer, thus closing the loop on sustainable management of biowaste. This closed-loop system not only minimizes waste but also generates valuable products. This also aligns with the principles of the circular economy by transforming a waste stream into valuable products, contributing to the efficient use of resources and the reduction of environmental impacts. This initiative could underscore the commitment to sustainability, innovation, and responsible resource management, positioning the technological solution as a leader in the field of biowaste valorization.

3.3. Energy Consumption

Considering the energy analysis, just the key steps of the process—shredding; the SSF process; and the distillation process—were taken into account.
Regarding the shredding process that was used to homogenize the feedstock, the energy consumption was found to be 0.04 ± 0.01 kWh per kg of wet feedstock on average, corresponding to 0.19 ± 0.03 kWh per kg of dry feedstock.
The bioconversion process also requires energy for heating and mixing. Two-time frames (0–8 h and 8–24 h) have been established by the fact that the maximal ethanol concentration is usually recorded at the eighth hour of the experiment (Figure 2). For the time frame 0–8 h, the temperature set is 35 °C, and the stirring is 70 rpm intermittently for 40 min/h, while for 8–24 h, it is 35 °C and 40 rpm for 25 min/h, respectively.
For the whole bioconversion period (24 h), the total energy consumption was 1.1 ± 0.2 kWh/kg dry feedstock or 0.3 ± 0.1 kWh/kg wet feedstock.
Regarding distillation, heating (70 °C), stirring (80 rpm for 40 min/h), and vacuum pump operation (0.2 kW) accounted for most of the energy usage. The distillation’s energy usage was 6.94 kWh/L of ethanol.
Overall, the improved process for treating wet source-separated biowaste consumes an average of 16.1 ± 2.9 kWh per L of ethanol produced, or around 2.2 ± 0.4 kWh per kg of dry feedstock, or 0.5 ± 0.1 kWh per kg of wet feedstock as received. The following fractionation of this consumption was estimated: 8.64% for shredding, 48.19% for bioconversion, and 43.17% for distillation.
Conclusively, the processing of wet source-separated biowaste as received towards bioethanol products was rendered feasible with promising yields. Thus, this study successfully showcased the increase in the technology readiness level of the process. This scaling-up process demonstrated bioethanol production in an operational environment, and at the same time, it helped identify and address practical challenges (e.g., heterogeneity of feedstock, feedstock handling, difficulties in controlling the solid loading) that would not have been apparent in smaller-scale tests.

4. Discussion

Feedstock is a crucial component in any industrial process and plays a significant role in determining the efficiency and output of the process. This study focused on the production of bioethanol from wet, “as received” source-separated biowaste after mechanical pretreatment (high-power shredding) and water addition, although most studies also include a thermal pretreatment step (e.g., drying) [5,29,30,31,32,33,34]. Tsafara et al. [12] studied bioethanol production from dried source-separated biowaste. More specifically, in the study of Tsafara et al. [12], the biowaste originated from the same municipality (Municipality of Vari-Voula-Vouliagmeni, Attica, Greece). In the present study, the bioconversion was carried out in the same pilot plant; the enzymatic formulations (Spirizyme XL, NS87014 by Novozymes) and yeast used were the same, thus a reliable comparison of the results of both studies could be performed. The aim of this evaluation is to compare the performance of wet and dried source-separated biowaste in the process of bioethanol production and evaluate the impact of each type of feedstock on the overall outcome. The comparison shall provide a thorough analysis of the advantages and disadvantages of using wet and dried feedstock and assist in determining the most suitable option for a given process.
The main difference between the two feedstocks is that the dried feedstock can be fully characterized prior to the process, and the dosages are tailored to the specific composition, while for the wet feedstock, an initial assumption of the composition was made. This uncertainty could lead to deviations in the consumables used. The same experimental operational conditions as those of Tsafara et al. [12] were applied. The main operational parameter that differed was the solid loading. For the dried feedstock, the applied solid loading was 25%, while for the wet feedstock, the solid loading ranged from 10 to 15%, given the limitations of the mechanical equipment. Given the same residence time, the lower solid loading in this study implies that wet shredded feedstock needs larger bioreactors in terms of volume in comparison with the dried feedstock, increasing the CAPEX cost.
Furthermore, Tsafara et al. [12] stated that the mean ethanol yield achieved with the same bioreactor but with dried feedstock was 86.6 ± 4.9%. It is obvious that the performance of dried feedstock was better than that of wet feedstock (74.1 ± 6.8%) in terms of ethanol yield. Additionally, it is worth mentioning that the standard deviations using shredded and fresh feedstock are much higher than those using dried feedstock. This fact can be attributed to the high heterogeneity of the wet source-separated biowaste. It is evident that the use of dried source-separated biowaste as feedstock offered steady operating conditions and improved process outcomes through the application of thermal pretreatment. The elevated ethanol yields achieved with dried feedstock (~86%) can be related to the fact that the drying process degrades polysaccharides and lignin to a certain extent, and additionally, during this step, volatile organic acids that may act as inhibitors during fermentation are evaporated.
Additionally, total solids, cellulose, and starch degradation efficiencies were also compared. Total solids and cellulose were found to be relatively close, while starch degradation was more efficient when dried feedstock was processed (94.6 ± 2.4%), and this can be attributed to the drying process since it has been proven that hydrothermal pretreatment of starch modifies its internal structure, enhancing the enzymatic degradation [11].
As far as energy consumption is concerned, data derived from Tsafara et al. [12] and from the current study are presented in Table 4, along with their distribution in the process stages.
Comparing the energy consumption, it is evident that the wet feedstock is more energy efficient. Regarding the process stages, homogenizing fresh food waste (0.19 kWh/kg dried feedstock) requires almost 15 times lower energy per kg of feedstock used when compared with the drying process (2.63 kWh/kg dried feedstock). Thermal drying has high energy demands due to the water content of the feedstock (moisture 82.1 + 4.0% w/w wet basis). On the other hand, the bioconversion process presented lower energy consumption (0.7 ± 0.4 kWh per kg of dry feedstock), accounting for nearly half of the calculated energy consumption in this study. This fact is connected tightly to the difference in the solid loading. The same is true for the distillation process. These observations, expressed as the distribution of the total energy consumption in the different process stages (pretreatment, bioconversion, and distillation), are illustrated in Figure 4 along with the respective error bars.
In order to assess the impact of high energy consumption on the bioethanol production cost, the methodology suggested by Passadis et al. [11] was followed for the two alternative treatment trains. Thus, it was estimated that the ethanol production cost for the dried feedstock is 2.16 €/kg ethanol, while the cost for the wet feedstock is 1.41 €/kg ethanol. In both cases, the energy and enzyme costs had the highest contribution to the total cost, as was also the case in the work of Passadis et al. [11].

5. Conclusions

In this paper, the utilisation of source-separated biowaste towards bioethanol production is presented via the operation system for more than 10 consecutive operating cycles of a pilot plant with real feedstock—wet; separately collected biowaste.
This challenging biowaste stream, wet source-separated kitchen waste, by nature poses a lot of difficulties in handling and processing. Nevertheless, it was proven that the application of SSF fermentation could be applied with satisfactory ethanol yields but with elevated deviations. In this context, the applied conditions should be tailored and calculated in each case, taking into consideration an assumed composition of the treated feedstock and the proposed dosages (175 μL/g cellulose NS87014, 40 μL/g starch Spirizyme, and 2% Saccharafication cerevisiae (d.b.)).
Regarding the wet feedstock (as received), a bowl cutter was used for feedstock shredding, and it appeared to be an efficient pretreatment for the feedstock without altering its physicochemical composition. From the 11 pilot trials performed with wet feedstock, the mean starch and cellulose degradation of the pilot trials amounted to 80.7 ± 16.3% and 79.4 ± 10.4%, respectively, while the bioethanol yield was 74.1 ± 6.8%.
The results obtained are quite encouraging for the process’s feasibility. Nevertheless, it is important to consider the energy consumption during the production line, as it constitutes more than 50% of the overall ethanol production cost.
A reliable comparison of the results obtained was performed with a similar study with dried feedstock. It was concluded that the total energy consumption for the production of ethanol with dried feedstock is 26% higher than with wet feedstock. The most energy-intensive stage is drying, followed by distillation. In conclusion, using dried feedstock performs better in terms of ethanol production, but the use of wet shredded feedstock also seems favorable due to the low energy consumption despite the slightly lower bioethanol production. To this end, a technoeconomic analysis along with a life cycle analysis is needed in order to reveal the optimum scenario via a multicriteria, integrated assessment.
Piloting bioethanol production from‘real’ source-separated biowaste advanced the technology along the TRL scale. This approach allowed for iterative improvements, optimization, and addressing challenges along the way, ultimately making it more feasible for large-scale implementation and commercial use in the renewable energy sector. Thus, once the pilot has demonstrated consistent and efficient bioethanol production from source-separated biowaste, it may be able to move towards full-scale commercialization. However, while a successful pilot project is a significant milestone, the transition to full-scale commercialization may still present challenges, including securing funding, addressing potential logistical issues, and navigating the complexities of large-scale production. Yet, a well-executed pilot project significantly de-risks the commercialization process and increases the likelihood of long-term success.

Author Contributions

Conceptualization, S.M. and E.M.B.; methodology, S.M. and E.M.B.; formal analysis, S.M. and E.M.B.; investigation, F.C. and D.C.; resources, D.M.; writing—original draft preparation, D.C., S.M. and E.M.B.; data curation, S.M. and E.M.B.; writing—review and editing, S.M. and E.M.B.; visualization, S.M. and E.M.B.; supervision, S.M. and E.M.B.; project administration, D.M. All authors have read and agreed to the published version of the manuscript.

Funding

This project has received funding from the European Union’s Horizon 2020 research and innovation program under grant agreement No. 818308 (WaysTUP!).

Institutional Review Board Statement

Not applicable.

Informed Consent Statement

Not applicable.

Data Availability Statement

No new data were created or analyzed in this study. Data sharing is not applicable to this article.

Conflicts of Interest

The authors declare no conflict of interest.

References

  1. FAO; IFAD; UNICEF; WFP; WHO. Food Security and Nutrition in the World the State of Repurposing Food and Agricultural Policies to Make Healthy Diets More Affordable; FAO: Italy, Rome, 2022. [Google Scholar] [CrossRef]
  2. Hamish Forbes (WRAP), Tom Quested (WRAP), and Clementine O’Connor (UNEP). UNEP Food Waste Index Report 2021 | UNEP—UN Environment Programme. 2021. Available online: https://www.unep.org/resources/report/unep-food-waste-index-report-2021 (accessed on 12 October 2023).
  3. Rigillo Nicholas (FAO) and Rukikaire Keisha (UNEP). Tackling Food Loss and Waste: A Triple Win Opportunity. 29 September 2022. Available online: https://www.fao.org/newsroom/detail/FAO-UNEP-agriculture-environment-food-loss-waste-day-2022/en (accessed on 12 October 2023).
  4. Food Waste Is a Massive Problem—Here’s Why—FoodPrint. Available online: https://foodprint.org/issues/the-problem-of-food-waste/ (accessed on 12 October 2023).
  5. Barampouti, E.M.; Mai, S.; Malamis, D.; Moustakas, K.; Loizidou, M. Liquid biofuels from the organic fraction of municipal solid waste: A review. Renew. Sustain. Energy Rev. 2019, 110, 298–314. [Google Scholar] [CrossRef]
  6. Zhang, Z.; O’Hara, I.M.; Mundree, S.; Gao, B.; Ball, A.S.; Zhu, N.; Bai, Z.; Jin, B. Biofuels from food processing wastes. Curr. Opin. Biotechnol. 2016, 38, 97–105. [Google Scholar] [CrossRef] [PubMed]
  7. Rodionova, M.V.; Poudyal, R.S.; Tiwari, I.; Voloshin, R.A.; Zharmukhamedov, S.K.; Nam, H.G.; Zayadan, B.K.; Bruce, B.D.; Hou, H.J.; Allakhverdiev, S.I. Biofuel production: Challenges and opportunities. Int. J. Hydrog. Energy 2017, 42, 8450–8461. [Google Scholar] [CrossRef]
  8. Ho, D.P.; Ngo, H.H.; Guo, W. A mini review on renewable sources for biofuel. Bioresour. Technol. 2014, 169, 742–749. [Google Scholar] [CrossRef] [PubMed]
  9. Taheri, M.E.; Salimi, E.; Saragas, K.; Novakovic, J.; Barampouti, E.M.; Mai, S.; Malamis, D.; Moustakas, K.; Loizidou, M. Effect of pretreatment techniques on enzymatic hydrolysis of food waste. Biomass Convers. Biorefinery 2021, 11, 219–226. [Google Scholar] [CrossRef]
  10. Salimi, E.; Taheri, M.E.; Passadis, K.; Novacovic, J.; Barampouti, E.M.; Mai, S.; Moustakas, K.; Malamis, D.; Loizidou, M. Valorisation of restaurant food waste under the concept of a biorefinery. Biomass Convers. Biorefinery 2021, 11, 661–671. [Google Scholar] [CrossRef]
  11. Passadis, K.; Christianides, D.; Malamis, D.; Barampouti, E.M.; Mai, S. Valorisation of source-separated food waste to bioethanol: Pilot-scale demonstration. Biomass Convers. Biorefinery 2022, 12, 4599–4609. [Google Scholar] [CrossRef]
  12. Tsafara, P.; Passadis, K.; Christianides, D.; Chatziangelakis, E.; Bousoulas, I.; Malamis, D.; Mai, S.; Barampouti, E.M.; Moustakas, K. Advanced Bioethanol Production from Source-Separated Bio-waste in Pilot Scale. Sustainability 2022, 14, 2127. [Google Scholar] [CrossRef]
  13. Sluiter, A.; Ruiz, R.; Scarlata, C.; Sluiter, J.; Templeton, D. Determination of Extractives in Biomass: Laboratory Analytical Procedure (LAP); Issue Date 7/17/2005. 2008. Available online: https://www.nrel.gov/docs/gen/fy08/42619.pdf (accessed on 12 October 2023).
  14. Sluiter, A.; Hames, B.; Ruiz, R.; Scarlata, C.; Sluiter, J.; Templeton, D.; Crocker, D. Determination of Structural Carbohydrates and Lignin in Biomass: Laboratory Analytical Procedure (LAP) (Revised August 2012). 2008. Available online: https://www.nrel.gov/docs/gen/fy13/42618.pdf (accessed on 12 October 2023).
  15. Sluiter, A.; Hames, B.; Hyman, D.; Payne, P.; Ruiz, R.; Scarlata, C.; Sluiter, J.; Templeton, D.; Wolfe, J. Determination of Total Solids in Biomass and Total Dissolved Solids in Liquid Process Samples Laboratory Analytical Procedure (LAP) Issue Date: 3/31/2008. 2008. Available online: https://www.nrel.gov/docs/gen/fy08/42621.pdf (accessed on 12 October 2023).
  16. Nielsen, S.S. Food Science Text Series Food Analysis Laboratory Manual. Available online: www.springer.com/series/5999 (accessed on 12 October 2023).
  17. Hewavitharana, G.G.; Perera, D.N.; Navaratne, S.B.; Wickramasinghe, I. Extraction methods of fat from food samples and preparation of fatty acid methyl esters for gas chromatography: A review. Arab. J. Chem. 2020, 13, 6865–6875. [Google Scholar] [CrossRef]
  18. Le Pera, A.; Sellaro, M.; Sicilia, F.; Ciccoli, R.; Sceberras, B.; Freda, C.; Fanelli, E.; Cornacchia, G. Environmental and economic impacts of improper materials in the recycling of separated collected food waste through anaerobic digestion and composting. Sci. Total Environ. 2023, 880, 163240. [Google Scholar] [CrossRef]
  19. Sailer, G.; Eichermüller, J.; Poetsch, J.; Paczkowski, S.; Pelz, S.; Oechsner, H.; Müller, J. Characterization of the separately collected organic fraction of municipal solid waste (OFMSW) from rural and urban districts for a one-year period in Germany. Waste Manag. 2021, 131, 471–482. [Google Scholar] [CrossRef] [PubMed]
  20. Hungría, J.; Gutiérrez, M.C.; Siles, J.A.; Martín, M.A. Advantages and drawbacks of OFMSW and winery waste co-composting at pilot scale. J. Clean. Prod. 2017, 164, 1050–1057. [Google Scholar] [CrossRef]
  21. Bozym, M.; Florczak, I.; Zdanowska, P.; Wojdalski, J.; Klimkiewicz, M. An analysis of metal concentrations in food wastes for biogas production. Renew. Energy 2015, 77, 467–472. [Google Scholar] [CrossRef]
  22. Zając, G.; Szyszlak-Bargłowicz, J.; Gołębiowski, W.; Szczepanik, M. Chemical Characteristics of Biomass Ashes. Energies 2018, 11, 2885. [Google Scholar] [CrossRef]
  23. Cekmecelioglu, D.; Uncu, O.N. Kinetic modeling of enzymatic hydrolysis of pretreated kitchen wastes for enhancing bioethanol production. Waste Manag. 2013, 33, 735–739. [Google Scholar] [CrossRef]
  24. Tang, Y.Q.; Koike, Y.; Liu, K.; An, M.Z.; Morimura, S.; Wu, X.L.; Kida, K. Ethanol production from kitchen waste using the flocculating yeast Saccharomyces cerevisiae strain KF-7. Biomass Bioenergy 2008, 32, 1037–1045. [Google Scholar] [CrossRef]
  25. O’Connor, J.; Mickan, B.S.; Siddique, K.H.M.; Rinklebe, J.; Kirkham, M.B.; Bolan, N.S. Physical, chemical, and microbial contaminants in food waste management for soil application: A review. Environ. Pollut. 2022, 300, 118860. [Google Scholar] [CrossRef]
  26. Ma, C.; Liu, J.; Ye, M.; Zou, L.; Qian, G.; Li, Y.Y. Towards utmost bioenergy conversion efficiency of food waste: Pretreatment, co-digestion, and reactor type. Renew. Sustain. Energy Rev. 2018, 90, 700–709. [Google Scholar] [CrossRef]
  27. Uncu, O.N.; Cekmecelioglu, D. Cost-effective approach to ethanol production and optimization by response surface methodology. Waste Manag. 2011, 31, 636–643. [Google Scholar] [CrossRef]
  28. Kiran, E.U.; Liu, Y. Bioethanol production from mixed food waste by an effective enzymatic pretreatment. Fuel 2015, 159, 463–469. [Google Scholar] [CrossRef]
  29. Singh, A.; Singhania, R.R.; Soam, S.; Chen, C.W.; Haldar, D.; Varjani, S.; Chang, J.S.; Dong, C.D.; Patel, A.K. Production of bioethanol from food waste: Status and perspectives. Bioresour. Technol. 2022, 360, 127651. [Google Scholar] [CrossRef]
  30. Hafid, H.S.; Nor’Aini, A.R.; Mokhtar, M.N.; Talib, A.T.; Baharuddin, A.S.; Kalsom, M.S.U. Over production of fermentable sugar for bioethanol production from carbohydrate-rich Malaysian food waste via sequential acid-enzymatic hydrolysis pretreatment. Waste Manag. 2017, 67, 95–105. [Google Scholar] [CrossRef] [PubMed]
  31. Mahmoodi, P.; Karimi, K.; Taherzadeh, M.J. Hydrothermal processing as pretreatment for efficient production of ethanol and biogas from municipal solid waste. Bioresour. Technol. 2018, 261, 166–175. [Google Scholar] [CrossRef] [PubMed]
  32. Hafid, H.S.; Rahman, N.A.A.; Shah, U.K.M.; Baharuddin, A.S.; Ariff, A.B. Feasibility of using kitchen waste as future substrate for bioethanol production: A review. Renew. Sustain. Energy Rev. 2017, 74, 671–686. [Google Scholar] [CrossRef]
  33. Bibra, M.; Samanta, D.; Sharma, N.K.; Singh, G.; Johnson, G.R.; Sani, R.K. Food Waste to Bioethanol: Opportunities and Challenges. Fermentation 2022, 9, 8. [Google Scholar] [CrossRef]
  34. Estrada-Martínez, R.; Favela-Torres, E.; Soto-Cruz, N.O.; Escalona-Buendía, H.B.; Saucedo-Castañeda, G. A Mild Thermal Pre-treatment of the Organic Fraction of Municipal Wastes Allows High Ethanol Production by Direct Solid-state Fermentation. Biotechnol. Bioprocess. Eng. 2019, 24, 401–412. [Google Scholar] [CrossRef]
Figure 1. High-power shredder.
Figure 1. High-power shredder.
Sustainability 15 16349 g001
Figure 2. Ethanol and glucose production in the pilot trials with wet source-separated biowaste.
Figure 2. Ethanol and glucose production in the pilot trials with wet source-separated biowaste.
Sustainability 15 16349 g002aSustainability 15 16349 g002b
Figure 3. Ethanol yields and ethanol produced per tonne of dry feedstock for the bioconversion trials.
Figure 3. Ethanol yields and ethanol produced per tonne of dry feedstock for the bioconversion trials.
Sustainability 15 16349 g003
Figure 4. Total mean energy consumption for the raw materials as received for each stage of the process: pretreatment (drying or shredding), bioconversion (SSF), and distillation for dried and wet feedstock, along with the respective error bars.
Figure 4. Total mean energy consumption for the raw materials as received for each stage of the process: pretreatment (drying or shredding), bioconversion (SSF), and distillation for dried and wet feedstock, along with the respective error bars.
Sustainability 15 16349 g004
Table 1. Composition of the liquid phase at the initiation and termination of each trial.
Table 1. Composition of the liquid phase at the initiation and termination of each trial.
ParameterTrial
1234567891011
StartEndStartEndStartEndStartEndStartEndStartEndStartEndStartEndStartEndStartEndStartEnd
pH4.774.984.805.064.984.924.834.924.575.174.955.124.705.114.535.114.264.824.664.174.523.96
TOC (g/L)20.127.8520.822.1526.423.842.0534.7534.435.430.3529.538.337.7542.140.144.535.1535.6541.7537.737.4
TΝ (g/L)1.181.261.111.151.180.951.751.751.091.111.371.341.651.751.221.251.041.332.252.042.052.05
TRS (g/L)13.493.6514.241.488.492.918.643.7013.216.9611.606.9020.9913.2826.8916.8822.0917.0323.8614.0721.3116.91
Glucose (g/L)8.440.185.240.0522.360.1215.700.2015.200.2911.360.307.840.3914.160.5724.210.1416.270.2324.490.26
Ethanol (g/L)0.2591.4120.4150.8201.3201112.4152.2160.4291.1181.0025.50
Table 2. Composition of the solid phase at the initiation and termination of each trial.
Table 2. Composition of the solid phase at the initiation and termination of each trial.
ParameterTrial
1234567891011
StartEndStartEndStartEndStartEndStartEndStartEndStartEndStartEndStartEndStartEndStartEnd
TOC (%)44.5550.6844.5550.3646.6050.8249.2449.1847.2750.1148.7347.4249.0550.0148.3849.8644.4347.5645.6448.5046.3750.47
TN (%)4.273.334.273.552.014.512.293.741.543.892.273.191.962.741.713.251.723.192.333.522.033.05
Starch (%)4.303.584.302.931.511.893.024.2910.852.602.903.674.931.402.130.488.380.715.652.605.922.37
Cellulose (%)10.454.6810.453.868.597.538.467.4410.937.478.246.169.5213.658.195.068.002.1610.144.416.794.22
Fats and Oils (%)14.7011.2314.709.198.2710.0614.0210.6520.879.6121.8211.0633.6711.6322.487.1522.0639.0717.3815.4518.4815.81
Water Soluble Solids (%)38.3522.2138.3524.0552.7426.7448.5526.0731.6427.6839.3333.9930.9339.1039.9437.4338.3430.2931.5033.1932.6434.30
Hemicellulose (%)10.4711.3810.477.347.355.974.305.868.2110.508.439.1511.7616.3213.6517.2711.949.2016.7516.5411.8415.45
ASL (%)1.362.101.362.160.921.540.801.481.181.701.131.420.822.001.031.780.700.791.581.531.861.86
AIR (%)12.6926.4812.6927.4610.4223.299.3921.449.0523.018.2719.5712.0816.538.5918.019.398.039.2913.0712.8514.87
Table 3. Degradation efficiencies of major components of source-separated food waste.
Table 3. Degradation efficiencies of major components of source-separated food waste.
Degradation
Efficiency (%)
Trials
1234567891011
Total Solids 75.1385.1357.8468.6658.8345.2254.4450.3966.3963.0972.33
Starch79.2989.8747.2655.4090.1530.6787.0688.8397.1283.0088.95
Cellulose88.8794.5163.0472.4471.8557.8476.3869.3390.9483.9482.80
Table 4. Energy consumption comparison of this evaluation (wet shredded feedstock) and Tsafara et al. [12] (dried feedstock).
Table 4. Energy consumption comparison of this evaluation (wet shredded feedstock) and Tsafara et al. [12] (dried feedstock).
Dried FeedstockWet Feedstock
Total energy consumption
(kWh per kg of dried feedstock)
4.3 ± 0.32.2 ± 0.4
Total energy consumption
(kWh per kg of wet feedstock as received)
1.1 ± 0.10.5 ± 0.1
Total energy consumption
(kWh per L of ethanol produced)
31.4 ± 4.116.1 ± 2.9
Pretreatment (%)61.28.6
Bioconversion (%)13.948.2
Distillation (%)24.943.2
Disclaimer/Publisher’s Note: The statements, opinions and data contained in all publications are solely those of the individual author(s) and contributor(s) and not of MDPI and/or the editor(s). MDPI and/or the editor(s) disclaim responsibility for any injury to people or property resulting from any ideas, methods, instructions or products referred to in the content.

Share and Cite

MDPI and ACS Style

Chatzimaliakas, F.; Christianides, D.; Malamis, D.; Mai, S.; Barampouti, E.M. Piloting Bioethanol Production from Source-Separated Food Waste Boosts Technology Readiness. Sustainability 2023, 15, 16349. https://doi.org/10.3390/su152316349

AMA Style

Chatzimaliakas F, Christianides D, Malamis D, Mai S, Barampouti EM. Piloting Bioethanol Production from Source-Separated Food Waste Boosts Technology Readiness. Sustainability. 2023; 15(23):16349. https://doi.org/10.3390/su152316349

Chicago/Turabian Style

Chatzimaliakas, Fotis, Diogenis Christianides, Dimitris Malamis, Sofia Mai, and Elli Maria Barampouti. 2023. "Piloting Bioethanol Production from Source-Separated Food Waste Boosts Technology Readiness" Sustainability 15, no. 23: 16349. https://doi.org/10.3390/su152316349

APA Style

Chatzimaliakas, F., Christianides, D., Malamis, D., Mai, S., & Barampouti, E. M. (2023). Piloting Bioethanol Production from Source-Separated Food Waste Boosts Technology Readiness. Sustainability, 15(23), 16349. https://doi.org/10.3390/su152316349

Note that from the first issue of 2016, this journal uses article numbers instead of page numbers. See further details here.

Article Metrics

Back to TopTop