Predicting Generation of Different Demolition Waste Types Using Simple Artificial Neural Networks
Abstract
:1. Introduction
- We collected data on the generation of ten types of DW from 150 old buildings in redevelopment areas, and the raw data were preprocessed to build a dataset.
- Variables primarily affecting the generation of each DW type were analyzed.
- An independent set of input variables was developed for each type of DW.
- The ANN algorithm was applied to develop prediction models for each DW type, and the hyperparameters (HPs), including the number of neurons, were adjusted to secure optimal predictive performance for each DW type.
- The leave-one-out cross-validation (LOOCV) technique was used for model development and validation, and the root mean square error (RMSE), coefficient of determination (R2), and mean absolute error (MAE) were used as statistical metrics.
- By evaluating the performance of the developed models, the optimal ANN models for predicting the generation of ten types of DW were proposed.
2. Materials and Methods
2.1. Data Collection
2.2. Data Preprocessing
2.3. Model Development
2.3.1. ANN Architecture
2.3.2. Input Variable Selection for Different Waste Types
2.3.3. HP Tuning
2.4. Model Testing, Validation, and Evaluation
3. Results
3.1. Optimal HP Values and Input Variable Sets for Various DW Types
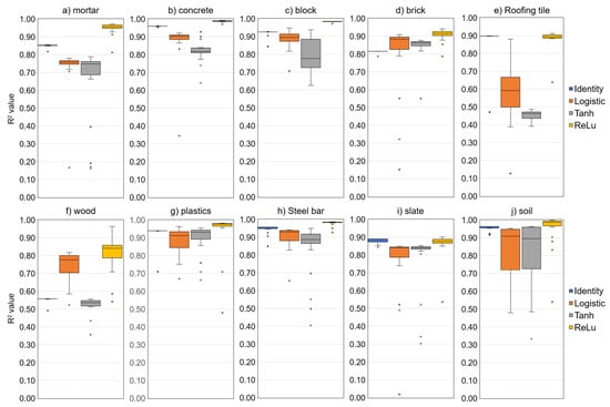
3.2. Model Performance According to Waste Type
3.3. Prediction Results of Optimal Models
3.4. Key Input Variables of Prediction Models
- Floor area: Overall, this input variable most critically affected DWG and ranked the highest for nine (excluding the brick model) of the ten DWG models. Additionally, it showed a strong positive impact on DWG predictions of all models.
- Region: This input variable had a high impact on DWG prediction, and its correlations with DWG predictions varied. For example, in the mortar and slate models, one region (project A) showed a positive correlation, whereas another region (project B) showed a negative impact. The other DW types also showed contrasting results.
- Structure: This variable showed varying correlations depending on the DW type; it (reinforce) showed a negative correlation with the generation of mortar, roofing tiles, wood, and soil but a positive correlation with that of concrete, blocks, and steel bars. Additionally, various correlations were also observed between DW type and DWG in other structures (con_bri, con_blo, and wood).
- Wall type: This variable had the most significant impact on brick generation, with a positive correlation when the wall type was brick. Conversely, when the wall type was block, a negative correlation with brick generation was observed. These results contrast with the effects of wall type on block generation in the block model.
- Number of floors, usage, and roof type: The number of floors appeared to affect the generation of concrete, blocks, roofing tiles, wood, and steel bars; however, its SHAP values were not large. The “number of floors_1” showed a positive correlation with the generation of roofing tiles and wood and a negative correlation with that of concrete, blocks, and steel bars. Furthermore, “number of floors_2” showed the opposite correlation with “number of floors_1.” Additionally, usage affected brick generation; however, its impact was not significant. The brick model shown in Figure 7d indicates that brick generation varies with usage type. Finally, roof type was an important input variable in the mortar, concrete, brick, and roofing tile models; however, its SHAP values were not large.
4. Discussion
5. Conclusions
Author Contributions
Funding
Institutional Review Board Statement
Informed Consent Statement
Data Availability Statement
Conflicts of Interest
References
- Karak, T.; Bhagat, R.M.; Bhattacharyya, P. Municipal Solid Waste Generation, Composition, and Management: The World Scenario. Crit. Rev. Environ. Sci. Technol. 2012, 42, 1509–1630. [Google Scholar] [CrossRef]
- Gallardo, A.; Carlos, M.; Colomer, F.; Edo-Alcón, N. Analysis of the Waste Selective Collection at Drop-off Systems: Case Study Including the Income Level and the Seasonal Variation. Waste Manag. Res. 2018, 36, 30–38. [Google Scholar] [CrossRef] [PubMed]
- Pathak, D.R.; Mainali, B.; Abuel-Naga, H.; Angove, M.; Kong, I. Quantification and Characterization of the Municipal Solid Waste for Sustainable Waste Management in Newly Formed Municipalities of Nepal. Waste Manag. Res. 2020, 38, 1007–1018. [Google Scholar] [CrossRef]
- Yuan, H.; Shen, L. Trend of the Research on Construction and Demolition Waste Management. Waste Manag. 2011, 31, 670–679. [Google Scholar] [CrossRef]
- Park, J.; Tucker, R. Overcoming Barriers to the Reuse of Construction Waste Material in Australia: A Review of the Literature. Int. J. Constr. Manag. 2017, 17, 228–237. [Google Scholar] [CrossRef]
- Hassan, S.H.; Hamidi, A.A.; Izwan, J.; Yung-Tse, H. Construction and Demolition (C&D) Waste Management and Disposal. In Solid Waste Engineering and Management; Springer: Cham, Switzerland, 2022; pp. 165–216. [Google Scholar]
- Wu, H.; Zuo, J.; Zillante, G.; Wang, J.; Yuan, H. Status Quo and Future Directions of Construction and Demolition Waste Research: A Critical Review. J. Clean. Prod. 2019, 240, 118163. [Google Scholar] [CrossRef]
- López Ruiz, L.A.; Roca Ramón, X.; Gassó Domingo, S. The Circular Economy in the Construction and Demolition Waste Sector—A Review and an Integrative Model Approach. J. Clean. Prod. 2020, 248, 119238. [Google Scholar] [CrossRef]
- Butera, S.; Christensen, T.H.; Astrup, T.F. Composition and Leaching of Construction and Demolition Waste: Inorganic Elements and Organic Compounds. J. Hazard. Mater. 2014, 276, 302–311. [Google Scholar] [CrossRef]
- Lu, W.; Yuan, H.; Li, J.; Hao, J.J.L.; Mi, X.; Ding, Z. An Empirical Investigation of Construction and Demolition Waste Generation Rates in Shenzhen City, South China. Waste Manag. 2011, 31, 680–687. [Google Scholar] [CrossRef]
- Katz, A.; Baum, H. A Novel Methodology to Estimate the Evolution of Construction Waste in Construction Sites. Waste Manag. 2011, 31, 353–358. [Google Scholar] [CrossRef]
- Nagapan, S.; Rahman, I.A.; Asmi, A.; Adnan, N.F. Study of Site’s Construction Waste in Batu Pahat, Johor. Procedia Eng. 2013, 53, 99–103. [Google Scholar] [CrossRef]
- Kartam, N.; Al-Mutairi, N.; Al-Ghusain, I.; Al-Humoud, J. Environmental Management of Construction and Demolition Waste in Kuwait. Waste Manag. 2004, 24, 1049–1059. [Google Scholar] [CrossRef] [PubMed]
- Wijewickrama, M.K.C.S.; Chileshe, N.; Rameezdeen, R.; Ochoa, J.J. Information Sharing in Reverse Logistics Supply Chain of Demolition Waste: A Systematic Literature Review. J. Clean. Prod. 2021, 280, 124359. [Google Scholar] [CrossRef]
- Cheng, J.C.P.; Ma, L.Y.H. A BIM-Based System for Demolition and Renovation Waste Estimation and Planning. Waste Manag. 2013, 33, 1539–1551. [Google Scholar] [CrossRef] [PubMed]
- Abdallah, M.; Abu Talib, M.; Feroz, S.; Nasir, Q.; Abdalla, H.; Mahfood, B. Artificial Intelligence Applications in Solid Waste Management: A Systematic Research Review. Waste Manag. 2020, 109, 231–246. [Google Scholar] [CrossRef] [PubMed]
- Xu, A.; Chang, H.; Xu, Y.; Li, R.; Li, X.; Zhao, Y. Applying Artificial Neural Networks (ANNs) to Solve Solid Waste-Related Issues: A Critical Review. Waste Manag. 2021, 124, 385–402. [Google Scholar] [CrossRef] [PubMed]
- Wang, D.; He, H.; Liu, D. Intelligent Optimal Control with Critic Learning for a Nonlinear Overhead Crane System. IEEE Trans. Ind. Inform. 2017, 14, 2932–2940. [Google Scholar] [CrossRef]
- Kumar, A.; Samadder, S.R.; Kumar, N.; Singh, C. Estimation of the Generation Rate of Different Types of Plastic Wastes and Possible Revenue Recovery from Informal Recycling. Waste Manag. 2018, 79, 781–790. [Google Scholar] [CrossRef]
- Soni, U.; Roy, A.; Verma, A.; Jain, V. Forecasting Municipal Solid Waste Generation Using Artificial Intelligence Models—A Case Study in India. SN Appl. Sci. 2019, 1, 162. [Google Scholar] [CrossRef]
- Wu, F.; Niu, D.; Dai, S.; Wu, B. New Insights into Regional Differences of the Predictions of Municipal Solid Waste Generation Rates Using Artificial Neural Networks. Waste Manag. 2020, 107, 182–190. [Google Scholar] [CrossRef]
- Hoque, M.M.; Rahman, M.T.U. Landfill Area Estimation Based on Solid Waste Collection Prediction Using ANN Model and Final Waste Disposal Options. J. Clean. Prod. 2020, 256, 120387. [Google Scholar] [CrossRef]
- Ayeleru, O.O.; Fajimi, L.I.; Oboirien, B.O.; Olubambi, P.A. Forecasting Municipal Solid Waste Quantity Using Artificial Neural Network and Supported Vector Machine Techniques: A Case Study of Johannesburg, South Africa. J. Clean. Prod. 2021, 289, 125671. [Google Scholar] [CrossRef]
- Jassim, M.S.; Coskuner, G.; Zontul, M. Comparative Performance Analysis of Support Vector Regression and Artificial Neural Network for Prediction of Municipal Solid Waste Generation. Waste Manag. Res. 2022, 40, 195–204. [Google Scholar] [CrossRef]
- Cha, G.-W.; Choi, S.-H.; Hong, W.-H.; Park, C.-W. Development of Machine Learning Model for Prediction of Demolition Waste Generation Rate of Buildings in Redevelopment Areas. Int. J. Environ. Res. Public Health 2022, 20, 107. [Google Scholar] [CrossRef] [PubMed]
- Adeleke, O.; Akinlabi, S.A.; Jen, T.-C.; Dunmade, I. Application of Artificial Neural Networks for Predicting the Physical Composition of Municipal Solid Waste: An Assessment of the Impact of Seasonal Variation. Waste Manag. Res. 2021, 39, 1058–1068. [Google Scholar] [CrossRef] [PubMed]
- Golbaz, S.; Nabizadeh, R.; Sajadi, H.S. Comparative Study of Predicting Hospital Solid Waste Generation Using Multiple Linear Regression and Artificial Intelligence. J. Environ. Health Sci. Eng. 2019, 17, 41–51. [Google Scholar] [CrossRef] [PubMed]
- Kannangara, M.; Dua, R.; Ahmadi, L.; Bensebaa, F. Modeling and Prediction of Regional Municipal Solid Waste Generation and Diversion in Canada Using Machine Learning Approaches. Waste Manag. 2018, 74, 3–15. [Google Scholar] [CrossRef]
- Kleemann, F.; Lederer, J.; Aschenbrenner, P.; Rechberger, H.; Fellner, J. A Method for Determining Buildings’ Material Composition Prior to Demolition. Build. Res. Inf. 2016, 44, 51–62. [Google Scholar] [CrossRef]
- Wu, H.; Duan, H.; Zheng, L.; Wang, J.; Niu, Y.; Zhang, G. Demolition Waste Generation and Recycling Potentials in a Rapidly Developing Flagship Megacity of South China: Prospective Scenarios and Implications. Constr. Build. Mater. 2016, 113, 1007–1016. [Google Scholar] [CrossRef]
- Yu, B.; Wang, J.; Li, J.; Zhang, J.; Lai, Y.; Xu, X. Prediction of Large-Scale Demolition Waste Generation during Urban Renewal: A Hybrid Trilogy Method. Waste Manag. 2019, 89, 1–9. [Google Scholar] [CrossRef]
- Cha, G.-W.; Kim, Y.-C.; Moon, H.J.; Hong, W.-H. New Approach for Forecasting Demolition Waste Generation Using Chi-Squared Automatic Interaction Detection (CHAID) Method. J. Clean. Prod. 2017, 168, 375–385. [Google Scholar] [CrossRef]
- Kuhn, M.; Johnson, K. Applied Predictive Modeling; Springer: New York, NY, USA, 2013; ISBN 978-1-4614-6848-6. [Google Scholar]
- Nisbet, R.; Elder, J.; Miner, G.D. Handbook of Statistical Analysis and Data Mining Applications; Academic Press: Cambridge, MA, USA, 2009. [Google Scholar]
- Abiodun, O.I.; Jantan, A.; Omolara, A.E.; Dada, K.V.; Mohamed, N.A.; Arshad, H. State-of-the-art in artificial neural network applications: A survey. Heliyon 2018, 4, e00938. [Google Scholar] [CrossRef] [PubMed]
- Lu, W.; Lou, J.; Webster, C.; Xue, F.; Bao, Z.; Chi, B. Estimating Construction Waste Generation in the Greater Bay Area, China Using Machine Learning. Waste Manag. 2021, 134, 78–88. [Google Scholar] [CrossRef] [PubMed]
- Ojha, V.K.; Abraham, A.; Snášel, V. Metaheuristic Design of Feedforward Neural Networks: A Review of Two Decades of Research. Eng. Appl. Artif. Intell. 2017, 60, 97–116. [Google Scholar] [CrossRef]
- Akanbi, L.A.; Oyedele, A.O.; Oyedele, L.O.; Salami, R.O. Deep Learning Model for Demolition Waste Prediction in a Circular Economy. J. Clean. Prod. 2020, 274, 122843. [Google Scholar] [CrossRef]
- Banias, G.; Achillas, C.; Vlachokostas, C.; Moussiopoulos, N.; Papaioannou, I. A Web-Based Decision Support System for the Optimal Management of Construction and Demolition Waste. Waste Manag. 2011, 31, 2497–2502. [Google Scholar] [CrossRef]
- Cha, G.-W.; Moon, H.J.; Kim, Y.-C.; Hong, W.-H.; Jeon, G.-Y.; Yoon, Y.R.; Hwang, C.; Hwang, J.-H. Evaluating Recycling Potential of Demolition Waste Considering Building Structure Types: A Study in South Korea. J. Clean. Prod. 2020, 256, 120385. [Google Scholar] [CrossRef]
- Chen, X.; Lu, W. Identifying Factors Influencing Demolition Waste Generation in Hong Kong. J. Clean. Prod. 2017, 141, 799–811. [Google Scholar] [CrossRef]
- Andersen, F.M.; Larsen, H.; Skovgaard, M.; Moll, S.; Isoard, S. A European Model for Waste and Material Flows. Resour. Conserv. Recycl. 2007, 49, 421–435. [Google Scholar] [CrossRef]
- Cochran, K.; Townsend, T.; Reinhart, D.; Heck, H. Estimation of Regional Building-Related C&D Debris Generation and Composition: Case Study for Florida, US. Waste Manag. 2007, 27, 921–931. [Google Scholar] [CrossRef]
- Shi, J.; Xu, Y. Estimation and Forecasting of Concrete Debris Amount in China. Resour. Conserv. Recycl. 2006, 49, 147–158. [Google Scholar] [CrossRef]
- Wang, J.Y.; Touran, A.; Christoforou, C.; Fadlalla, H. A Systems Analysis Tool for Construction and Demolition Wastes Management. Waste Manag. 2004, 24, 989–997. [Google Scholar] [CrossRef] [PubMed]
- Lederer, J.; Gassner, A.; Keringer, F.; Mollay, U.; Schremmer, C.; Fellner, J. Material Flows and Stocks in the Urban Building Sector: A Case Study from Vienna for the Years 1990–2015. Sustainability 2020, 12, 300. [Google Scholar] [CrossRef]
- Lederer, J.; Gassner, A.; Fellner, J.; Mollay, U.; Schremmer, C. Raw Materials Consumption and Demolition Waste Generation of the Urban Building Sector 2016–2050: A Scenario-Based Material Flow Analysis of Vienna. J. Clean. Prod. 2021, 288, 125566. [Google Scholar] [CrossRef]
- Ding, T.; Xiao, J. Estimation of Building-Related Construction and Demolition Waste in Shanghai. Waste Manag. 2014, 34, 2327–2334. [Google Scholar] [CrossRef] [PubMed]
- Elshawi, R.; Maher, M.; Sakr, S. Automated Machine Learning: State-of-The-Art and Open Challenges 2019. arXiv 2019, arXiv:1906.02287. [Google Scholar]
- Hutter, F.; Kotthoff, L.; Vanschoren, J. (Eds.) Automated Machine Learning: Methods, Systems, Challenges; The Springer Series on Challenges in Machine Learning; Springer International Publishing: Cham, Switzerland, 2019; ISBN 978-3-030-05317-8. [Google Scholar]
- Yang, L.; Shami, A. On Hyperparameter Optimization of Machine Learning Algorithms: Theory and Practice. Neurocomputing 2020, 415, 295–316. [Google Scholar] [CrossRef]
- Xu, Y.; Goodacre, R. On Splitting Training and Validation Set: A Comparative Study of Cross-Validation, Bootstrap and Systematic Sampling for Estimating the Generalization Performance of Supervised Learning. J. Anal. Test. 2018, 2, 249–262. [Google Scholar] [CrossRef]
- Lever, J.; Krzywinski, M.; Altman, N. Model Selection and Overfitting. Nat. Methods 2016, 13, 703–704. [Google Scholar] [CrossRef]
- Cheng, J.; Dekkers, J.C.M.; Fernando, R.L. Cross-Validation of Best Linear Unbiased Predictions of Breeding Values Using an Efficient Leave-One-out Strategy. J. Anim. Breed. Genet. 2021, 138, 519–527. [Google Scholar] [CrossRef]
- Wong, T.-T. Performance Evaluation of Classification Algorithms by K-Fold and Leave-One-out Cross Validation. Pattern Recognit. 2015, 48, 2839–2846. [Google Scholar] [CrossRef]
- Cheng, H.; Garrick, D.J.; Fernando, R.L. Efficient Strategies for Leave-One-out Cross Validation for Genomic Best Linear Unbiased Prediction. J. Anim. Sci. Biotechnol. 2017, 8, 38. [Google Scholar] [CrossRef] [PubMed]
- Cha, G.-W.; Moon, H.J.; Kim, Y.-C. A Hybrid Machine-Learning Model for Predicting the Waste Generation Rate of Building Demolition Projects. J. Clean. Prod. 2022, 375, 134096. [Google Scholar] [CrossRef]
- Shao, Z.; Er, M.J. Efficient Leave-One-Out Cross-Validation-Based Regularized Extreme Learning Machine. Neurocomputing 2016, 194, 260–270. [Google Scholar] [CrossRef]
- Raja, M.N.A.; Shukla, S.K. Predicting the Settlement of Geosynthetic-Reinforced Soil Foundations Using Evolutionary Artificial Intelligence Technique. Geotext. Geomembr. 2021, 49, 1280–1293. [Google Scholar] [CrossRef]
- Viscarra Rossel, R.A.; McGlynn, R.N.; McBratney, A.B. Determining the Composition of Mineral-Organic Mixes Using UV–Vis–NIR Diffuse Reflectance Spectroscopy. Geoderma 2006, 137, 70–82. [Google Scholar] [CrossRef]
- Lipovetsky, S.; Conklin, M. Analysis of Regression in Game Theory Approach. Appl. Stoch. Models Bus. Ind. 2001, 17, 319–330. [Google Scholar] [CrossRef]
- Hazra, T.; Anjaria, K. Applications of Game Theory in Deep Learning: A Survey. Multimed. Tools Appl. 2022, 81, 8963–8994. [Google Scholar] [CrossRef]
- Shapley, L.S.; Kuhn, H.; Tucker, A. Contributions to the Theory of Games. Ann. Math. Stud. 1953, 28, 307–317. [Google Scholar]
- Cha, G.-W.; Hong, W.-H.; Choi, S.-H.; Kim, Y.-C. Developing an Optimal Ensemble Model to Estimate Building Demolition Waste Generation Rate. Sustainability 2023, 15, 10163. [Google Scholar] [CrossRef]









| DW Type | Number of Buildings | Maximum DWG (kg) | Minimum DWG (kg) | Average DWG (kg) | Total DWG (kg) | Average DWG Rate (kg·m−2) |
|---|---|---|---|---|---|---|
| Mortar | 150 | 37,329.6 | 1010.0 | 13,141.0 | 1,971,150.4 | 98.7 |
| Concrete | 150 | 169,481.4 | 645.1 | 38,318.7 | 5,747,801.6 | 287.8 |
| Block | 148 | 222,621.7 | 734.4 | 61,111.3 | 9,166,689.9 | 466.8 |
| Brick | 104 | 74,310.1 | 265.4 | 6273.8 | 941,063.4 | 61.1 |
| Roofing tile | 107 | 17,028.4 | 4670.1 | 7474.4 | 1,121,155.7 | 87.5 |
| Wood | 150 | 8638.8 | 663.3 | 2529.3 | 379,389.3 | 19.0 |
| Plastics | 150 | 25,107.5 | 38.8 | 6304.8 | 945,714.0 | 47.4 |
| Steel bar | 150 | 11,744.9 | 42.5 | 2714.2 | 407,130.4 | 20.4 |
| Slate | 44 | 6642.7 | 38.1 | 659.9 | 98,980.1 | 15.0 |
| Soil | 64 | 34,958.4 | 192.8 | 2539.6 | 380,936.8 | 40.7 |
| DW Type | Input Variable Combination | Number of Input Variables Tested and Combinations of Methods Employed |
|---|---|---|
| Mortar | R + N + W + S + F + R.t + U | 1, 2, 3, 4, 5, 6, 7 For example, in the case of mortar, the number of input variables was as follows: 1: R 2: R + N 3: R + N + W 4: R + N + W + S 5: R + N + W + S + F 6: R + N + W + S + F + R.t 7: R + N + W + S + F + R.t + U |
| Concrete | F + N + R + S + U + R.t + W | |
| Block | F + N + R + W + S + U + R.t | |
| Brick | W + U + S + R + R.t + F + N | |
| Roofing tile | R.t + R + S + W + N + F + U | |
| Wood | R + N + S + W + F + U + R.t | |
| Plastics | R + F + N + W + U + R.t + S | |
| Steel bar | F + N + R + S + U + R.t + W | |
| Slate | R.t + R + N + F + S + U + W | |
| Soil | W + R + S + N + F + R.t + U |
| HP | Tested Values or Type |
|---|---|
| Solver | “Adam”, “L-BFGS”, “SGD” |
| Activation function | “Identity”, “Logistic”, “ReLU”, “Tanh” |
| Number of neurons in the hidden layer | 1, 2, 3, 4, 5, 6, 7, 8, 9,10,12, 14, 16, 18, 20, 24, 26, 28, 30, 40, 50, 60, 70, 80, 90, 100 |
| Learning rate | 0.0001, 0.001, 0.01, 0.1 1, 10, 20, 30, 40, 50, 60, 70, 80, 90, 100, 200, 300, 400, 500, 600, 700, 800, 900, 1000 |
| Epochs | 10, 20, 30, 40, 50, 60, 70, 80, 90, 100, 120, 140, 160, 180, 200, 500, 1000 |
| RPD Values | Performance Indicator | Remarks |
|---|---|---|
| RPD < 1 | Very poor | Model/predictions whose use is not recommended |
| 1 RPD 1.4 | Poor | Model/predictions where only high and low values are distinguishable |
| 1.4 RPD 1.8 | Fair | Model/predictions which may be used for assessment and correlation |
| 1.8 RPD 2 | Good | Model/predictions where quantitative predictions are possible |
| 2 RPD 2.5 | Very good | Quantitative model/ predictions |
| DW Type | HP | Input Variable Set | |||
|---|---|---|---|---|---|
| Activation Function | Number of Neurons in Hidden Layer | Learning Rate | Epochs | ||
| Mortar | Identity | 20 | 600 | 50 | R + N + W + S + F + R.t + U |
| Logistic | 10 | 1 | 60 | R + N + W + S | |
| Tanh | 16 | 1 | 1000 | R + N + W + S + F | |
| ReLU | 4 | 0.1 | 60 | R + N + W + S + F + R.t + U | |
| Concrete | Identity | 1 | 30 | 50 | F + N + R + S + U + R.t + W |
| Logistic | 18 | 0.1 | 60 | F | |
| Tanh | 10 | 1 | 120 | F + N | |
| ReLU | 5 | 0.0001 | 50 | F + N + R + S + U + R.t + W | |
| Block | Identity | 2 | 1 | 20 | F + N + R + W |
| Logistic | 4 | 0.01 | 40 | F | |
| Tanh | 10 | 1 | 100 | F + N | |
| ReLU | 5 | 1 | 40 | F + N + R + W + S + U | |
| Brick | Identity | 4 | 10 | 30 | W + U + S |
| Logistic | 60 | 1 | 200 | W + U + S + R | |
| Tanh | 40 | 1 | 40 | W + U + S + R | |
| ReLU | 4 | 0.0001 | 50 | W + U + S + R + R.t + F | |
| Roofing tile | Identity | 2 | 1 | 30 | R.t + R + S + W + N + F |
| Logistic | 70 | 1 | 120 | R.t + R + S + W + N + F + U | |
| Tanh | 60 | 1 | 20 | R.t + R + S | |
| ReLU | 10 | 100 | 50 | R.t + R + S + W + N + F | |
| Wood | Identity | 8 | 10 | 20 | R + N + S + W + F + U + R.t |
| Logistic | 90 | 1 | 1000 | R + N + S + W + F + U + R.t | |
| Tanh | 26 | 0.1 | 120 | R + N + S + W + F + U | |
| ReLU | 50 | 0.01 | 60 | R + N + S + W + F + U | |
| Plastics | Identity | 1 | 0.0001 | 20 | R + F + N + W + U + R.t + S |
| Logistic | 18 | 1 | 500 | R + F + N | |
| Tanh | 50 | 0.01 | 120 | R + F + N | |
| ReLU | 10 | 1 | 50 | R + F | |
| Steel bar | Identity | 7 | 100 | 40 | F + N + R + S + U + R.t |
| Logistic | 6 | 1 | 70 | F | |
| Tanh | 18 | 0.1 | 50 | F + N + R | |
| ReLU | 3 | 1 | 50 | F + N + R + S + U + R.t + W | |
| Slate | Identity | 16 | 0.0001 | 30 | F + N + R + S + U |
| Logistic | 3 | 1 | 30 | F | |
| Tanh | 60 | 1 | 50 | F | |
| ReLU | 10 | 0.001 | 40 | F + N + R + S | |
| Soil | Identity | 1 | 0.0001 | 10 | W |
| Logistic | 3 | 1 | 180 | W | |
| Tanh | 2 | 1 | 50 | W | |
| ReLU | 6 | 0.1 | 60 | W + R + S + N + F | |
| DW Type | Activation Function | Performance Metrics | |||||
|---|---|---|---|---|---|---|---|
| Validation | Test | ||||||
| RMSE | MAE | R2 | RMSE | MAE | R2 | ||
| Mortar | Identity | 2692.4 | 1774.7 | 0.895 | 3191.4 | 2035.6 | 0.852 |
| Logistic | 3971.4 | 2760.3 | 0.771 | 3877.6 | 2581.3 | 0.781 | |
| Tanh | 3053.1 | 1728.1 | 0.864 | 3222.5 | 2243.6 | 0.849 | |
| ReLU | 1059.8 | 744.0 | 0.984 | 1440.5 | 1007.7 | 0.970 | |
| Concrete | Identity | 8778.2 | 6704.6 | 0.972 | 10,572.3 | 7721.8 | 0.959 |
| Logistic | 19,882.1 | 13116.7 | 0.855 | 12,624.7 | 9963.8 | 0.942 | |
| Tanh | 11,787.3 | 9524.4 | 0.949 | 11,459.2 | 9090.2 | 0.952 | |
| ReLU | 3347.1 | 2341.4 | 0.996 | 4762.4 | 3153.2 | 0.992 | |
| Block | Identity | 16,887.6 | 11,497.5 | 0.940 | 18,706.7 | 12,268.5 | 0.927 |
| Logistic | 21,817.7 | 13,618.1 | 0.900 | 15,756.6 | 12,663.9 | 0.948 | |
| Tanh | 13,919.2 | 10,759.3 | 0.959 | 16,050.4 | 12,551.8 | 0.946 | |
| ReLU | 7353.4 | 5202.4 | 0.989 | 8589.5 | 6170.2 | 0.985 | |
| Brick | Identity | 6022.1 | 3139.2 | 0.869 | 7116.0 | 3593.0 | 0.817 |
| Logistic | 4486.9 | 2176.3 | 0.927 | 5016.0 | 2517.0 | 0.909 | |
| Tanh | 6562.4 | 3250.4 | 0.845 | 5856.2 | 2840.3 | 0.876 | |
| ReLU | 2108.9 | 986.3 | 0.984 | 4017.8 | 1838.1 | 0.942 | |
| Roofing tile | Identity | 819.6 | 649.0 | 0.915 | 897.0 | 702.1 | 0.898 |
| Logistic | 562.6 | 416.2 | 0.960 | 970.6 | 732.4 | 0.881 | |
| Tanh | 2070.9 | 1639.7 | 0.458 | 1988.7 | 1540.9 | 0.500 | |
| ReLU | 729.6 | 579.0 | 0.933 | 835.4 | 671.9 | 0.912 | |
| Wood | Identity | 906.7 | 612.5 | 0.620 | 977.4 | 671.8 | 0.559 |
| Logistic | 253.7 | 162.1 | 0.970 | 630.0 | 438.4 | 0.817 | |
| Tanh | 580.5 | 407.0 | 0.844 | 979.2 | 661.8 | 0.557 | |
| ReLU | 434.2 | 325.9 | 0.913 | 548.4 | 413.9 | 0.861 | |
| Plastics | Identity | 1581.8 | 1211.7 | 0.951 | 1752.7 | 1329.9 | 0.940 |
| Logistic | 2450.6 | 1041.4 | 0.883 | 1378.1 | 852.5 | 0.963 | |
| Tanh | 2144.9 | 1136.4 | 0.910 | 1534.1 | 889.0 | 0.954 | |
| ReLU | 901.3 | 571.6 | 0.984 | 998.1 | 629.7 | 0.981 | |
| Steel bar | Identity | 648.8 | 502.1 | 0.969 | 747.5 | 558.5 | 0.959 |
| Logistic | 1263.7 | 845.6 | 0.883 | 891.8 | 736.6 | 0.942 | |
| Tanh | 1059.3 | 603.0 | 0.918 | 894.9 | 525.5 | 0.941 | |
| ReLU | 343.9 | 212.9 | 0.991 | 426.9 | 266.7 | 0.987 | |
| Slate | Identity | 671.4 | 487.2 | 0.921 | 791.4 | 593.8 | 0.890 |
| Logistic | 965.4 | 774.3 | 0.836 | 921.8 | 707.7 | 0.851 | |
| Tanh | 868.8 | 630.7 | 0.867 | 915.6 | 667.9 | 0.853 | |
| ReLU | 625.8 | 431.8 | 0.931 | 744.8 | 536.5 | 0.902 | |
| Soil | Identity | 1699.3 | 1494.5 | 0.967 | 1784.6 | 1568.1 | 0.963 |
| Logistic | 2180.2 | 1759.9 | 0.945 | 1969.5 | 1674.3 | 0.955 | |
| Tanh | 1736.3 | 1474.4 | 0.965 | 1783.6 | 1477.8 | 0.963 | |
| ReLU | 447.3 | 375.1 | 0.998 | 845.4 | 549.9 | 0.992 | |
| DW Type | ANN Model Structure (Input Layer–Hidden Layer–Output Layer) | RPD Value | Performance Indicator | ||
|---|---|---|---|---|---|
| Validation | Test | Validation | Test | ||
| Mortar | 7-4-1 | 7.8 | 5.7 | Excellent | Excellent |
| Concrete | 7-5-1 | 15.6 | 10.9 | Excellent | Excellent |
| Block | 6-5-1 | 9.3 | 8.0 | Excellent | Excellent |
| Brick | 6-4-1 | 7.9 | 4.2 | Excellent | Excellent |
| Roofing tile | 6-10-1 | 3.7 | 3.4 | Excellent | Excellent |
| Wood | 6-50-1 | 3.2 | 2.6 | Excellent | Excellent |
| Plastics | 2-10-1 | 7.8 | 7.1 | Excellent | Excellent |
| Steel bar | 7-3-1 | 10.7 | 8.6 | Excellent | Excellent |
| Slate | 4-10-1 | 3.7 | 3.1 | Excellent | Excellent |
| Soil | 5-6-1 | 20.8 | 11.0 | Excellent | Excellent |
| Study | Waste Type | Whether Individual Sets of Input Parameters Were Developed for Each Waste Type | Performance (R2) of Prediction Models |
|---|---|---|---|
| This study | Mortar Concrete Block Brick Roofing tile Wood Plastics Steel bar Slate Soil | Yes | Test: 0.861–0.991; Validation: 0.913–0.998 |
| [26] | Organic Paper Plastic Textile | No | 0.826–0.916 |
| [27] | Infectious hospital solid waste General hospital solid waste Total hospital solid waste | No | Test: 0.58–0.64; Validation: 0.66–0.78 |
| [19] | Plastics | No | 0.75 |
| [28] | MSW Paper | No | 0.72 0.35 |
Disclaimer/Publisher’s Note: The statements, opinions and data contained in all publications are solely those of the individual author(s) and contributor(s) and not of MDPI and/or the editor(s). MDPI and/or the editor(s) disclaim responsibility for any injury to people or property resulting from any ideas, methods, instructions or products referred to in the content. |
© 2023 by the authors. Licensee MDPI, Basel, Switzerland. This article is an open access article distributed under the terms and conditions of the Creative Commons Attribution (CC BY) license (https://creativecommons.org/licenses/by/4.0/).
Share and Cite
Cha, G.-W.; Park, C.-W.; Kim, Y.-C.; Moon, H.J. Predicting Generation of Different Demolition Waste Types Using Simple Artificial Neural Networks. Sustainability 2023, 15, 16245. https://doi.org/10.3390/su152316245
Cha G-W, Park C-W, Kim Y-C, Moon HJ. Predicting Generation of Different Demolition Waste Types Using Simple Artificial Neural Networks. Sustainability. 2023; 15(23):16245. https://doi.org/10.3390/su152316245
Chicago/Turabian StyleCha, Gi-Wook, Choon-Wook Park, Young-Chan Kim, and Hyeun Jun Moon. 2023. "Predicting Generation of Different Demolition Waste Types Using Simple Artificial Neural Networks" Sustainability 15, no. 23: 16245. https://doi.org/10.3390/su152316245
APA StyleCha, G.-W., Park, C.-W., Kim, Y.-C., & Moon, H. J. (2023). Predicting Generation of Different Demolition Waste Types Using Simple Artificial Neural Networks. Sustainability, 15(23), 16245. https://doi.org/10.3390/su152316245

