The Characteristics of Rainfall-Runoff Generation and Its Influencing Factors in a Desert Steppe, China
Abstract
:1. Introduction
2. Materials and Methods
2.1. Study Region
2.2. Experimental Design
2.2.1. Selection and Design of Sample Plot
2.2.2. Design of the Rainfall Simulation
2.2.3. Design of the Runoff Experiment
2.2.4. Measurement of Each Parameter
- Rainfall value determination:
- Runoff measurement:
- The vegetation investigation:
- Soil water content measurement:
- Soil bulk density measurement:
- Soil texture:
2.2.5. Data Analysis
- Regression analysis
- Principal component analysis (PCA)
- Structural Equation Model
3. Results
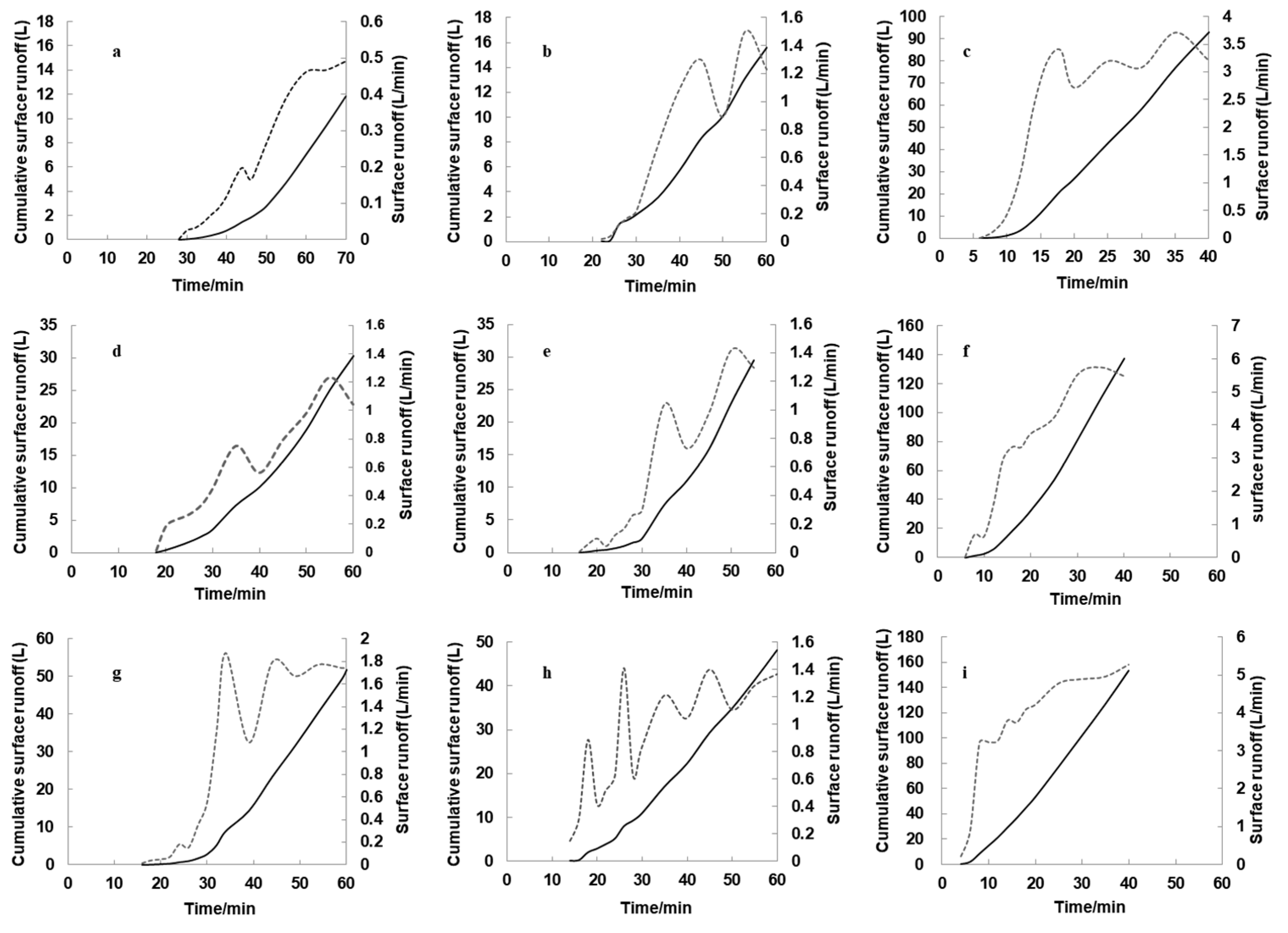
3.1. The Rainfall-Runoff Generation Characteristics in the Desert Steppe
3.2. Influencing Factors of Rainfall-Runoff Generation in Desert Steppe
3.2.1. Influence of Rainfall Intensity on Runoff Generation
3.2.2. Influence of Vegetation Status on Runoff Generation
3.3. Principal Component Analysis
3.4. Contributions of Factors Affecting Rainfall-Runoff Generation
4. Discussion
4.1. Reason of the Lower Runoff Coefficient
4.2. Influence of Soil Characteristic on Runoff Generation
4.3. Influence of Land Degradation on Runoff Coefficient in Desert Steppe
4.4. Interactions among Multiple Factors Generating Runoff
5. Conclusions
Author Contributions
Funding
Institutional Review Board Statement
Informed Consent Statement
Data Availability Statement
Conflicts of Interest
References
- Rupak, S.; Subashisa, D.; Amit Kumar, D. An insight into the runoff generation processes in wet sub-tropics: Field evidences from a vegetated hillslope plot. Catena 2015, 128, 31–43. [Google Scholar]
- Ran, Q.H.; Su, D.Y.; Li, P.; He, Z.G. Experimental study of the impact of rainfall characteristics on runoff generation and soil erosion. J. Hydrol. 2012, 424, 99–111. [Google Scholar] [CrossRef]
- Dong, L.; Xiong, L.; Yu, K.; Li, S. Advances in the study of impacts of climate change and human activities on hydrology. Adv. Water Sci. 2012, 23, 278–285. [Google Scholar]
- Tian, Y.; Zhang, M.; Xu, D.; Zhang, S. Construction of ecological security pattern of urban landscape based on the theory of ‘source-sink’. J. Ecol. 2019, 39, 2311–2321. [Google Scholar]
- Li, Y.F.; Luo, Y.C.; Liu, G.; Ouyang, Z.Y.; Zheng, H. Effects of land use change on ecosystem services: A case study of Miyun Reservoir Basin. J. Ecol. 2013, 33, 726–736. [Google Scholar]
- Nurland, H.; Shen, Y.; Mahathir, M. Impact of climate change on runoff processes in the Urengu River Basin, Altai Mountains. Glacier Permafr. 2014, 36, 699–705. [Google Scholar]
- Guzha, A.C.; Rufino, M.C.; Okoth, S.; Jacobs, S.; Nóbrega, R.L.B. Impacts of land use and land cover change on surface runoff, discharge and low flows: Evidence from East Africa. J. Hydrol. Reg. Stud. 2018, 15, 49–67. [Google Scholar] [CrossRef]
- He, B.; Gao, F.; Tang, X.; Qin, S. Diagnosis of hydrometeorological variability of arid inland rivers in Xinjiang based on sliding Copula function. Soil Water Conserv. Res. 2019, 26, 155–161. [Google Scholar]
- Liu, W.; Li, Z.; Zhu, J.; Xu, C.; Xu, X. Dominant factors controlling runoff coefficients in karst watersheds. J. Hydrol. 2020, 590, 125486. [Google Scholar] [CrossRef]
- Xiao, X.; Zhang, F.; Che, T.; Shi, X.; Zeng, C.; Wang, G. Changes in plot-scale runoff generation processes from the spring–summer transition period to the summer months in a permafrost-dominated catchment. J. Hydrol. 2020, 587, 124966. [Google Scholar] [CrossRef]
- Mügler, C.; Planchon, O.; Patin, J.; Weill, S.; Silvera, N.; Richard, P.; Mouche, E. Comparison of roughness models to simulate overland flow and tracer transport experiments under simulated rainfall at plot scale. J. Ecol. 2011, 402, 25–40. [Google Scholar] [CrossRef]
- Garel, E.; Marc, V.; Ruy, S.; Cognard-Plancq, A.L.; Klotz, S.; Emblanch, C.; Simler, R. Large scale rainfall simulation to investigate infiltration processes in a small landslide under dry initial conditions: The Draix hillslope experiment. Hydrol. Process. 2012, 26, 2171–2186. [Google Scholar] [CrossRef]
- Tromp-van Meerveld, H.; Seibert, J.; Peters, N. Hillslope-riparian-stream connectivity and flow directions at the Panola Mountain research watershed. Hydrol. Process. 2015, 29, 3556–3574. [Google Scholar] [CrossRef]
- Rushlow, C.; Godsey, S. Rainfall-runoff responses on Arctic hillslopes underlain by continuous permafrost, North Slope, Alaska, USA. Hydrol. Process. 2017, 31, 4092–4106. [Google Scholar] [CrossRef]
- Hu, G.; Li, X.; Yang, X. The impact of micro-topography on the interplay of critical zone architecture and hydrological processes at the hillslope scale: Integrated geophysical and hydrological experiments on the Qinghai-Tibet Plateau. J. Hydrol. 2020, 583, 124618. [Google Scholar] [CrossRef]
- Sharma, R.D.; Sarkar, R.; Dutta, S. Run-off generation from fields with different land use and land covers under extreme storm events. Curr. Sci. 2013, 104, 1046–1053. [Google Scholar]
- Deng, Z.M.; Zhang, X.; Li, D. Simulation of land use/land cover change and its effects on the hydrological characteristics of the upper reaches of the Hanjiang Basin. Environ. Earth Sci. 2015, 73, 1119–1132. [Google Scholar] [CrossRef]
- Laughlin, D.C.; Laughlin, D.E. Advances in modeling trait-based plant community assembly. Trends Plant Sci. 2013, 18, 584–593. [Google Scholar] [CrossRef]
- Hou, J.; Wang, H.Q.; Fu, B.J.; Zhu, L.H.; Wang, Y.F.; Li, Z.S. Effects of plant diversity on soil erosion for different vegetation patterns. Catena 2016, 147, 632–637. [Google Scholar] [CrossRef]
- Fu, B.; Wang, S.; Liu, Y.; Liu, J.; Liang, W.; Miao, C. Hydrogeomorphic ecosystem responses to natural and anthropogenic changes in the loess plateau of China. Annu. Rev. Earth Planet. Sci. 2017, 45, 223–243. [Google Scholar] [CrossRef]
- Yu, Y.; Wei, W.; Chen, L.; Feng, T.; Daryanto, S. Quantifying the effects of precipitation, vegetation, and land preparation techniques on runoff and soil erosion in a Loess watershed of China. Sci. Total Environ. 2019, 652, 755–764. [Google Scholar] [CrossRef] [PubMed]
- Nasonova, O.N.; Gusev, Y.M.; Kovalev, Y.E. Impact of uncertainties in meteorological forcing data and land surface parameters on global estimates of terrestrial water balance components. Hydrol. Process. 2011, 25, 1074–1090. [Google Scholar] [CrossRef]
- Boulange, J.; Malhat, F.; Jaikaew, P.; Nanko, K.; Watanabe, H. Portable rainfall simulator for plot-scale investigation of rainfall-runoff, and transport of sediment and pollutants. Int. J. Sediment Res. 2019, 34, 38–47. [Google Scholar] [CrossRef]
- Iserloh, T.; Ries, J.B.; Cerdà, A.; Echeverría, M.T.; Fister, W.; Geiler, C.; Kuhn, N.J.; León, F.J.; Peters, P.; Schindewolf, M.; et al. Comparative measurements with seven rainfall simulators on uniform bare fallow land. Z. Geomorphol. 2013, 57, 11–26. [Google Scholar] [CrossRef]
- Zhao, N.N.; Yu, F.L.; Li, C.Z.; Wang, H.; Liu, J.; Mu, W.B. Investigation of Rainfall-Runoff Processes and Soil Moisture Dynamics in Grassland Plots under Simulated Rainfall Conditions. Water 2014, 6, 2671–2689. [Google Scholar] [CrossRef]
- Coles, A.E.; McDonnell, J.J. Fill and spill drives runoff connectivity over frozen ground. J. Hydrol. 2018, 558, 115–128. [Google Scholar] [CrossRef]
- Jadidoleslam, N.; Mantilla, R.; Krajewski, W.F.; Goska, R. Investigating the role of antecedent SMAP satellite soil moisture, radar rainfall and MODIS vegetation on runoff production in an agricultural region. J. Hydrol. 2019, 579, 124210. [Google Scholar] [CrossRef]
- Bretherton, M.; Horne, D.; Sumanasena, H.A.; Jeyakumar, P.; Scotter, D. Repellencyinduced runoff from New Zealand hill country under pasture: A plot study. Agric. Water Manag. 2018, 201, 83–90. [Google Scholar] [CrossRef]
- Wilson, C.; Kampf, S.K.; Wagenbrenner, J.W.; MacDonald, L.H. Rainfall thresholds for post-fire runoff and sediment delivery from plot to watershed scales. For. Ecol. Manag. 2018, 430, 346–356. [Google Scholar] [CrossRef]
- Zhang, N.; Luo, Y.-J.; Chen, X.-Y.; Li, Q.; Jing, Y.-C.; Wang, X.; Feng, C.-H. Understanding the effects of composition and configuration of land covers on surface runoff in a highly urbanized area. Ecol. Eng. 2018, 125, 11–25. [Google Scholar] [CrossRef]
- Shi, P.; Zhang, Y.; Ren, Z.; Yu, Y.; Li, P.; Gong, J. Land-use changes and check dams reducing runoff and sediment yield on the Loess Plateau of China. Sci. Total Environ. 2019, 664, 984–994. [Google Scholar] [CrossRef]
- Tian, W.; Liu, X.; Liu, C.; Bai, P. Investigation and simulations of changes in the relationship of precipitation-runoff in drought years. J. Hydrol. 2018, 565, 95–105. [Google Scholar] [CrossRef]
- Xu, G.; Zhang, J.; Li, P.; Li, Z.; Lu, K.; Wang, X.; Wang, F.; Cheng, Y.; Wang, B. Vegetation restoration projects and their influence on runoff and sediment in China. Ecol. Indic. 2018, 95, 233–241. [Google Scholar] [CrossRef]
- GB+19377-2003; Parameters for Degradation, Sandification and Salification of Rangelands. Chinese Standard: Beijing, China, 2003.
- Crow, W.T.; Chen, F.; Reichle, R.H.; Xia, Y. Diagnosing bias in modeled soil moisture/runoff coefficient correlation using the SMAP Level 4 soil moisture product. Water Resour. Res. 2019, 55, 7010–7026. [Google Scholar] [CrossRef]
- Jahanshahia, A.; Martijn, J.B. Exploring controls on rainfall–runoff events: Spatial dynamics of event runoff coefficients in Iran. Hydrol. Sci. J. 2023, 68, 954–966. [Google Scholar] [CrossRef]
- Zhang, Z.; Chen, X.; Huang, Y.; Zhang, Y. Effect of catchment properties on runoff coefficient in a karst area of southwest China. Hydrol. Process. 2014, 28, 3691–3702. [Google Scholar] [CrossRef]
- Yao, L.; Wei, W.; Chen, L.D. How does imperviousness impact the urban rainfall-runoff process under various storm cases? Ecol. Indic. 2016, 60, 893–905. [Google Scholar] [CrossRef]
- Pan, T.; Hou, S.; Wu, S.; Liu, Y.; Liu, Y.; Zou, X.; Herzberger, A.; Liu, J. Variation of soil hydraulic properties with alpine grassland degradation in the eastern Tibetan Plateau. Hydrol. Earth Syst. Sci. 2017, 21, 2249–2261. [Google Scholar] [CrossRef]
- Guiden, P.W.; Barber, N.A.; Blackburn, R.; Farrell, A.; Fliginger, J.; Hosler, S.C.; King, R.B.; Nelson, M.; Rowland, E.G.; Savage, K.; et al. Effects of management outweigh effects of plant diversity on restored animal communities in tallgrass prairies. Proc. Natl. Acad. Sci. USA 2021, 118, e2015421118. [Google Scholar] [CrossRef]
- Tietje, M.; Antonelli, A.; Baker, W.J.; Govaerts, R.; Smith, S.A.; Eiserhardt, W.L. Global variation in diversification rate and species richness are unlinked in plants. Proc. Natl. Acad. Sci. USA 2022, 119, e2120662119. [Google Scholar] [CrossRef]
- Zhang, M.; Wu, M. Analysis on the Mechanism and Transmission Path of the Impact of Land Use on Carbon Emissions: Empirical Test Based on Structural Equation Model. China Land Sci. 2022, 3, 96–103. [Google Scholar]
- Spence, C. A paradigm shift in hydrology: Storage thresholds across scales influence catchment runoff generation. Geogr. Compass 2010, 4, 819–833. [Google Scholar] [CrossRef]
- Penna, D.; Tromp-van Meerveld, H.J.; Gobbi, A.; Borga, M.; Dalla Fontana, G. The influence of soil moisture on threshold runoff generation processes in an alpine headwater catchment. Hydrol. Earth Syst. Sci. 2011, 15, 689–702. [Google Scholar] [CrossRef]
- Tarasova, L.; Basso, S.; Zink, M.; Merz, R. Exploring controls on rainfall-runoff events: 1. Time series-based event separation and temporal dynamics of event runoff response in Germany. Water Resour. Res. 2018, 54, 7711–7732. [Google Scholar] [CrossRef]
- Radatz, T.; Thompson, A.; Madison, F. Soil moisture and rainfall intensity thresholds for runoff generation in southwestern Wisconsin agricultural watersheds. Hydrol. Process. 2013, 27, 3521–3534. [Google Scholar] [CrossRef]
- Farrick, K.; Branfireun, B. Soil water storage, rainfall and runoff relationships in a tropical dry forest catchment. Water Resour. Res. 2014, 50, 9236–9250. [Google Scholar] [CrossRef]
- Ali, G.; Tetzlaff, D.; McDonnell, J. Comparison of threshold hydrologic response across northern catchments. Hydrol. Process. 2015, 29, 3575–3591. [Google Scholar] [CrossRef]
- Gholami, V.; Sahour, H. Simulation of rainfall-runoff process using an artificial neural network (ANN) and field plots data. Theor. Appl. Climatol. 2022, 147, 87–98. [Google Scholar] [CrossRef]
- El Kateb, H.; Zhang, H.; Zhang, P.; Mosandl, R. Soil erosion and surface runoff on different vegetation covers and slope gradients: A field experiment in Southern Shaanxi Province, China. Catena 2013, 105, 1–10. [Google Scholar] [CrossRef]
- Han, D.D.; Deng, J.C.; Gu, C.J.; Mu, X.M.; Gao, P.; Gao, J.J. Effect of shrub-grass vegetation coverage and slope gradient on runoff and sediment yield under simulated rainfall. Int. J. Sediment Res. 2021, 36, 29–37. [Google Scholar] [CrossRef]
- Gholami, V.; Sahour, H.; Khaleghi, M.R.; Yousefi, A. Evaluating the effects of vegetation and land management on runoff control using field plots and machine learning models. Environ. Sci. Pollut. Res. 2022, 30, 31202–31217. [Google Scholar] [CrossRef]










| Indexes | Lightly Degraded Plots (LD) | Moderately Degraded Plots (MD) | Heavily Degraded Plots (HD) |
|---|---|---|---|
| Dominant species of community | Stipa breviflora, Stipa kleinii | Artemisia frigida | Convolvulus argentatus |
| Vegetation coverage (%) | 30–35 | 20–30 | <20 |
| Aboveground biomass (g/m2) | 60–80 | 35–50 | <35 |
| Surface soil properties | more fine particles, high organic matter | desertification, low organic matter | desertification, coarsening, low organic matter |
| ID | Length | Width | Slope | Degradation | Soil Physical Properties | |||||||
|---|---|---|---|---|---|---|---|---|---|---|---|---|
| Initial Water Content (%) | Bulk Density (g/m3) | |||||||||||
| 0–5 cm | 5–10 cm | 10–15 Cm | 15–20 cm | 0–5 cm | 5–10 cm | 10–15 cm | 15–20 cm | |||||
| 1 | 5 m | 3 m | 2.80° | LD | 4.0 | 3.8 | 4.4 | 4.3 | 1.40 | 1.45 | 1.40 | 1.45 |
| 2 | 5 m | 3 m | 2.78° | MD | 5.0 | 4.8 | 3.9 | 5.4 | 1.49 | 1.56 | 1.49 | 1.41 |
| 3 | 5 m | 3 m | 2.81° | HD | 2.9 | 2.9 | 3.5 | 5.3 | 1.38 | 1.38 | 1.33 | 1.46 |
| Plot Types | Rainfall Intensity (mm/h) | Start Time of Runoff (min:s) | Time Taken to Establish Stable Runoff (min) | Cumulative Runoff in 40 min (L) |
|---|---|---|---|---|
| LD | 20 | 27′18″ | 60 | 0.77 |
| 40 | 22′05″ | 45 | 5.75 | |
| 60 | 05′08″ | 35 | 92.81 | |
| MD | 20 | 17′21″ | 55 | 10.10 |
| 40 | 14′56″ | 40 | 10.99 | |
| 60 | 05′04″ | 30 | 137.20 | |
| HD | 20 | 14′59″ | 45 | 16.66 |
| 40 | 13′17″ | 35 | 22.29 | |
| 60 | 03′20″ | 25 | 153.37 |
| RI | SWC 5 cm | SWC 10 cm | SBD 5 cm | SBD 10 cm | VC | VH | AB | RC | RV | |
|---|---|---|---|---|---|---|---|---|---|---|
| RI | 1 | |||||||||
| SWC 5 cm | −0.138 | 1 | ||||||||
| SWC 10 cm | 0.05 | 0.909 ** | 1 | |||||||
| SBD 5 cm | 0.054 | 0.899 ** | 0.918 ** | 1 | ||||||
| SBD 10 cm | 0.052 | 0.933 ** | 0.886 ** | 0.910 ** | 1 | |||||
| VC | −0.07 | 0.830 ** | 0.764 * | 0.608 | 0.688 * | 1 | ||||
| VH | −0.058 | −0.223 | −0.263 | −0.502 | −0.395 | 0.265 | 1 | |||
| AB | −0.014 | 0.613 | 0.511 | 0.331 | 0.434 | 0.929 ** | 0.545 | 1 | ||
| RC | 0.683 * | −0.299 | −0.255 | 0.011 | −0.15 | −0.418 | −0.427 | −0.382 | 1 | |
| RV | 0.851 ** | −0.25 | −0.181 | 0.004 | −0.079 | −0.298 | −0.311 | −0.243 | 0.954 ** | 1 |
| Variables | Cronbach’s Alpha | DG.rho |
|---|---|---|
| RI | 1.00 | 1.00 |
| SWC | 0.91 | 0.96 |
| SBD | 0.84 | 0.93 |
| VA | 0.71 | 0.85 |
| RC | 1.00 | 1.00 |
Disclaimer/Publisher’s Note: The statements, opinions and data contained in all publications are solely those of the individual author(s) and contributor(s) and not of MDPI and/or the editor(s). MDPI and/or the editor(s) disclaim responsibility for any injury to people or property resulting from any ideas, methods, instructions or products referred to in the content. |
© 2023 by the authors. Licensee MDPI, Basel, Switzerland. This article is an open access article distributed under the terms and conditions of the Creative Commons Attribution (CC BY) license (https://creativecommons.org/licenses/by/4.0/).
Share and Cite
Hasituya; Liu, J.; Liu, T. The Characteristics of Rainfall-Runoff Generation and Its Influencing Factors in a Desert Steppe, China. Sustainability 2023, 15, 15531. https://doi.org/10.3390/su152115531
Hasituya, Liu J, Liu T. The Characteristics of Rainfall-Runoff Generation and Its Influencing Factors in a Desert Steppe, China. Sustainability. 2023; 15(21):15531. https://doi.org/10.3390/su152115531
Chicago/Turabian StyleHasituya, Jiahong Liu, and Tiejun Liu. 2023. "The Characteristics of Rainfall-Runoff Generation and Its Influencing Factors in a Desert Steppe, China" Sustainability 15, no. 21: 15531. https://doi.org/10.3390/su152115531
APA StyleHasituya, Liu, J., & Liu, T. (2023). The Characteristics of Rainfall-Runoff Generation and Its Influencing Factors in a Desert Steppe, China. Sustainability, 15(21), 15531. https://doi.org/10.3390/su152115531

