Finite Element Analysis-Based Blast Performance Evaluation for Reinforced Concrete Columns with Shear and Flexure Failure Modes
Abstract
:1. Introduction
1.1. Background
1.2. Research Purpose
2. Blast Modeling and Evaluation Method
2.1. Blast Modeling Method
2.2. Blast Performance Evaluation Methods
3. FEA Model Development and Blast Loading Scenarios
3.1. FEA Model Development and Validation
3.2. Blast Load Scenarios
3.3. Blast Load Modeling
4. Blast Performance Evaluation
5. Conclusions
- (1)
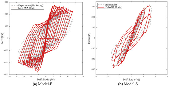
- When the simulated results of the flexure- and shear-governed column models were compared to the experimental results (initial stiffness, maximum strength, and strength reduction rate), it was found that the maximum variations between simulated and experimental responses were approximately 12% and 20% for Model-F and Model-S, respectively.
- (2)
- The flexure-governed column (Model-F) has better performance levels than the shear-governed column (Model-S). This indicates that Model-S has more significant damage than Model-F. Therefore, the reinforcement details (e.g., transverse reinforcing bar ratio) of the flexure-governed column have an impact on reducing the damage caused by blast loads.
- (3)
- For the flexure- and shear-governed columns (Model-F) analyzed, the collapse of the columns was observed under the short-distance blast load scenario (Z-scale = 0.4 m/kg1/3). Therefore, it is necessary to adopt the additional retrofit of the RC columns against such a large blast load, such as short-distance blast loads.
- (4)
- When the results derived from the two performance criteria (ductility- and residual capacity-based performance limits) for the shear-governed column (Model-S) were analyzed, the different performance levels between the ductility- and residual capacity-based limits were determined under the scenario of Z-scale = 0.4 m/kg1/3. Based on the investigation, the blast performance measured from the residual capacity-based limits is underestimated compared to the ductility-based performance limits specified in a current design code. Thus, it is needed to adopt adequate performance limits considering the column failure modes to accurately evaluate the blast performance of the shear-governed columns.
- (5)
- Further research on blast performance evaluation using two different performance criteria will be conducted considering various blast loading scenarios, longitudinal and transverse reinforcing bar details in RC columns, and axial loading conditions using the developed and validated RC column models.
Author Contributions
Funding
Institutional Review Board Statement
Informed Consent Statement
Data Availability Statement
Acknowledgments
Conflicts of Interest
References
- Corley, W.; Sozen, M.; Thornton, C.; Mlakar, P. The Oklahoma City Bombing: Improving Building Performance through Multi-hazard Mitigation (Report No. FEMA-277); Federal Emergency Management Agency (FEMA): Washington, DC, USA, 1996.
- Hansapinyo, C.; Limkatanyu, S.; Zhang, H.; Imjai, T. Residual Strength of Reinforced Concrete Beams under Sequential Small Impact Loads. Buildings 2021, 11, 518. [Google Scholar] [CrossRef]
- Choi, J.; Choi, S.; Kim, J.; Hong, K. Evaluation of blast resistance and failure behavior of prestressed concrete under blast loading. Constr. Build. Mater. 2018, 173, 550–572. [Google Scholar] [CrossRef]
- Tang, Q.; Du, C.; Hu, J.; Wang, X.; Yu, T. Surface rust detection using ultrasonic waves in a cylindrical geometry by finite element simulation. Infrastructures 2018, 3, 29. [Google Scholar] [CrossRef]
- Wei, J.; Li, J.; Wu, C. An experimental and numerical study of reinforced conventional concrete and ultra-high performance concrete columns under lateral impact loads. Eng. Struct. 2019, 201, 109822. [Google Scholar] [CrossRef]
- Wu, J.; Zhou, Y.; Zhang, R.; Liu, C.; Zhang, Z. Numerical simulation of reinforced concrete slab subjected to blast loading and the structural damage assessment. Eng. Fail. Anal. 2020, 118, 104926. [Google Scholar] [CrossRef]
- Fallah, A.; Louca, L. Pressure–impulse diagrams for elastic-plastic-hardening and softening single-degree-of-freedom models subjected to blast loading. Int. J. Impact Eng. 2007, 34, 823–842. [Google Scholar] [CrossRef]
- Shi, Y.; Hao, H.; Li, Z. Numerical derivation of pressure–impulse diagrams for prediction of RC column damage to blast loads. Int. J. Impact Eng. 2007, 35, 1213–1227. [Google Scholar] [CrossRef]
- Bao, X.; Li, B. Residual strength of blast damaged reinforced concrete columns. Int. J. Impact Eng. 2010, 37, 295–308. [Google Scholar] [CrossRef]
- Shin, J.; Jeon, J. Retrofit scheme of FRP jacketing system for blast damage mitigation of non-ductile RC building frames. Compos. Struct. 2019, 288, 111328. [Google Scholar] [CrossRef]
- Livermore Software Technology Corporation (LSTC). LS-DYNA Keyword User’s Manual; Version 971/R7.0; LSTC: Livermore, CA, USA, 2013. [Google Scholar]
- Olovsson, L.; Souli, M. ALE and fluid-structure interaction capabilities in LS-DYNA. In Proceedings of the 6th International LS-DYNA Users Conference, Dearborn, MI, USA, 9–11 April 2000. [Google Scholar]
- Williams, G.D. Analysis and Response Mechanisms of Blast-Loaded Reinforced Concrete Columns. Ph.D. Thesis, University of Texas, Austin, TX, USA, 2009. [Google Scholar]
- Børvik, T.; Hanssen, A.G.; Langseth, M.; Olovsson, L. Response of structures to planar blast loads-A finite element engineering approach. Comput. Struct. 2009, 87, 507–520. [Google Scholar] [CrossRef]
- Schwer, L.; Teng, H.; Souli, M. LS-DYNA Air blast techniques: Comparisons with experiments for close-in charges. In Proceedings of the 10th European LS-DYNA Conference 2015, Wurzburg, Germany, 15–17 June 2015; pp. 1–20. [Google Scholar]
- Slavik, T.P. A Coupling of Empirical Explosive Blast Loads to ALE Air Domains in LS- DYNA. IOP Conf. Ser. Mater. Sci. Eng. 2009, 10, 012146. [Google Scholar] [CrossRef]
- Han, Y.; Liu, H. Finite Element Simulation of Medium-Range Blast Loading Using LS- DYNA. Shock. Vib. 2015, 2015, 631493. [Google Scholar] [CrossRef]
- Woodson, S.C.; Baylot, J.T. Structural Collapse: Quarter-Scale Model Experiments (Report No. SL-99-8); US Army Engineer Research and Development Center: Vicksburg, MS, USA, 1999. [Google Scholar]
- ASCE (American Society of Civil Engineers). Blast Protection of Buildings; ASCE/SEI 59-11; American Society of Civil Engineers: Reston, VA, USA, 2011; pp. 11–59. [Google Scholar]
- MacGregor, J.G.G. Reinforced Concrete: Mechanics and Design, Professional Technical Reference; Prentice-Hall: Englewood Cliffs, NJ, USA, 1996. [Google Scholar]
- ACI Committee 318. Building Code Requirements for Structural Concrete; American Concrete Institute: Singapore, 2019. [Google Scholar]
- Mo, Y.L.; Wang, S.J. Seismic Behavior of RC Columns with Various Tie Configurations. J. Struct. Eng. 2000, 126, 1122–1130. [Google Scholar] [CrossRef]
- Lee, G.; Lee, D.; Park, M.; Lee, K. Experimental Study of Ductility and Strength Enhancement for RC Columns Retrofitted with Several Types of Aramid Reinforcements. Earthq. Eng. Soc. Korea 2023, 27, 171–180. [Google Scholar] [CrossRef]
- Crawford, J.E.; Wu, Y.; Choi, H.J.; Magallanes, J.M.; Lan, S. Use and Validation of the Release III K&C Concrete Material Model in LS-DYNA (Report No. TR-11-36.6); Karagozian & Case, Glendale: Glendale, CA, USA, 2012. [Google Scholar]
- Malvar, L.; Crawford, J. Dynamic increase factors for steel reinforcing bars. In Proceedings of the 28th DDESB Seminar, Orlando, FL, USA, 18–20 August 1998. [Google Scholar]
- US Department of Defense (DoD). Structures to Resist the Effects of Accidental Explosions; UFC-3-340-02; US DoD: Washington, DC, USA, 2008.
- Crawford, J.E.; Wu, Y.; Choi, H.J.; Magallanes, J.M. The Importance of Shear-Dilatancy Behaviors in RC Columns. Int. J. Prot. Struct. 2013, 4, 341–377. [Google Scholar] [CrossRef]
- FEMA-426. Reference Manual to Mitigate Potential Terrorist Attacks against Buildings. s. Rep. No. FEMA-426; Federal Emergency Management Agency (FEMA): Washington, DC, USA, 2003.
- Stewart, L.K. Testing and Analysis of Structural Steel Columns Subjected to Blast Loads. Ph.D. Thesis, University of California, San Diego, CA, USA, 2010. [Google Scholar]











| Expected Damage | () | |
|---|---|---|
| Flexure Failure (Ductile) | Shear Failure (Non-Ductile) | |
| Superficial | <0.9 | <0.7 |
| Moderate | 0.9 to 1 | 0.7 to 0.8 |
| Heavy | 1 to 2 | 0.8 to 0.9 |
| Hazardous | 2 to 3 | 0.9 to 1 |
| Collapse | >3 | >1 |
| Expected Damage | Residual Capacity-Based Damage Level (D) |
|---|---|
| Superficial (=low damage) | <0.2 |
| Moderate (=medium damage) | 0.2 to 0.5 |
| Heavy (=high damage) | 0.5 to 0.8 |
| Collapse | >0.8 |
| Material | Concrete Compressive Strength (MPa) | Steel Yield Strength (MPa) | |
|---|---|---|---|
| Longitudinal | Transverse | ||
| Model-F | 27.12 | 497 | 459.5 |
| Model-S | 34.75 | 432.5 | 432.5 |
| Output Values | Model-F | Model-S | ||||
|---|---|---|---|---|---|---|
| Initial Stiffness (kN/mm) | Maximum Strength (kN) | Strength Reduction Rate (%) | Initial Stiffness (kN/mm) | Maximum Strength (kN) | Strength Reduction Rate (%) | |
| Experiment | 11.6 | 252.4 | 1.2 | 353.5 | 303.0 | 81.6 |
| Simulation | 11.5 | 279.0 | 1.1 | 340.7 | 318.5 | 64.9 |
| Simulation Variation (%) | 0.9 | 10.5 | 12.0 | 3.6 | 5.1 | 20.4 |
| Output Values | Model-F | Model-S |
|---|---|---|
| (mm) | 32.1 | 22.9 |
| (kN) | 5309.3 | 3997.7 |
| Z-Scale | 0.4 m/kg1/3 (Short Distance) | 1.0 m/kg1/3 (Mid-Distance) | 1.6 m/kg1/3 (Long Distance) |
|---|---|---|---|
| 0.9 | |||
| 680 | |||
| 3.6 | 8.8 | 14 | |
| Z-Scale | Ductility | Residual | ||
|---|---|---|---|---|
| Evaluation | D | Evaluation | ||
| 0.4 m/kg1/3 (Short Distance) | 6.88 | Collapse | 0.825 | Collapse |
| 1.0 m/kg1/3 (Mid-Distance) | 0.63 | Superficial | 0 * | Low Damage |
| 1.6 m/kg1/3 (Long Distance) | 0.24 | Superficial | 0 * | Low Damage |
| Z-Scale | Ductility | Residual | ||
|---|---|---|---|---|
| Evaluation | D | Evaluation | ||
| 0.4 m/kg1/3 (Short Distance) | 17.99 | Collapse | 0.874 | Collapse |
| 1.0 m/kg1/3 (Mid-Distance) | 4.41 | Collapse | 0.507 | High Damage |
| 1.6 m/kg1/3 (Long Distance) | 0.18 | Superficial | 0 * | Low Damage |
Disclaimer/Publisher’s Note: The statements, opinions and data contained in all publications are solely those of the individual author(s) and contributor(s) and not of MDPI and/or the editor(s). MDPI and/or the editor(s) disclaim responsibility for any injury to people or property resulting from any ideas, methods, instructions or products referred to in the content. |
© 2023 by the authors. Licensee MDPI, Basel, Switzerland. This article is an open access article distributed under the terms and conditions of the Creative Commons Attribution (CC BY) license (https://creativecommons.org/licenses/by/4.0/).
Share and Cite
Kim, Y.-E.; Park, J.; To, Q.B.; Lee, K.; Shin, J. Finite Element Analysis-Based Blast Performance Evaluation for Reinforced Concrete Columns with Shear and Flexure Failure Modes. Sustainability 2023, 15, 14967. https://doi.org/10.3390/su152014967
Kim Y-E, Park J, To QB, Lee K, Shin J. Finite Element Analysis-Based Blast Performance Evaluation for Reinforced Concrete Columns with Shear and Flexure Failure Modes. Sustainability. 2023; 15(20):14967. https://doi.org/10.3390/su152014967
Chicago/Turabian StyleKim, Ye-Eun, Jaeeun Park, Quoc Bao To, Kihak Lee, and Jiuk Shin. 2023. "Finite Element Analysis-Based Blast Performance Evaluation for Reinforced Concrete Columns with Shear and Flexure Failure Modes" Sustainability 15, no. 20: 14967. https://doi.org/10.3390/su152014967
APA StyleKim, Y.-E., Park, J., To, Q. B., Lee, K., & Shin, J. (2023). Finite Element Analysis-Based Blast Performance Evaluation for Reinforced Concrete Columns with Shear and Flexure Failure Modes. Sustainability, 15(20), 14967. https://doi.org/10.3390/su152014967
