Sustainability in the Development of Green Organizations Based on the Example of Manufacturing Companies
Abstract
:1. Introduction
1.1. Green Organizations
1.2. Criteria for Green Organization Research
2. Materials and Methods
2.1. Literature Analysis
- Comprehensiveness: the selected criteria should encompass all aspects of sustainability to showcase progress in every dimension;
- Applicability: the selected criteria should be applicable to a variety of alternative options, ensuring comparability among them;
- Transparency: the process of selecting criteria should be transparent to all stakeholders, providing clarity and openness;
- Practicality: the chosen criteria should be practical, considering the available tools, time and resources for analysis and assessment.
2.2. Quantitative Data
2.2.1. Characteristics of the Quantitative Research Sample
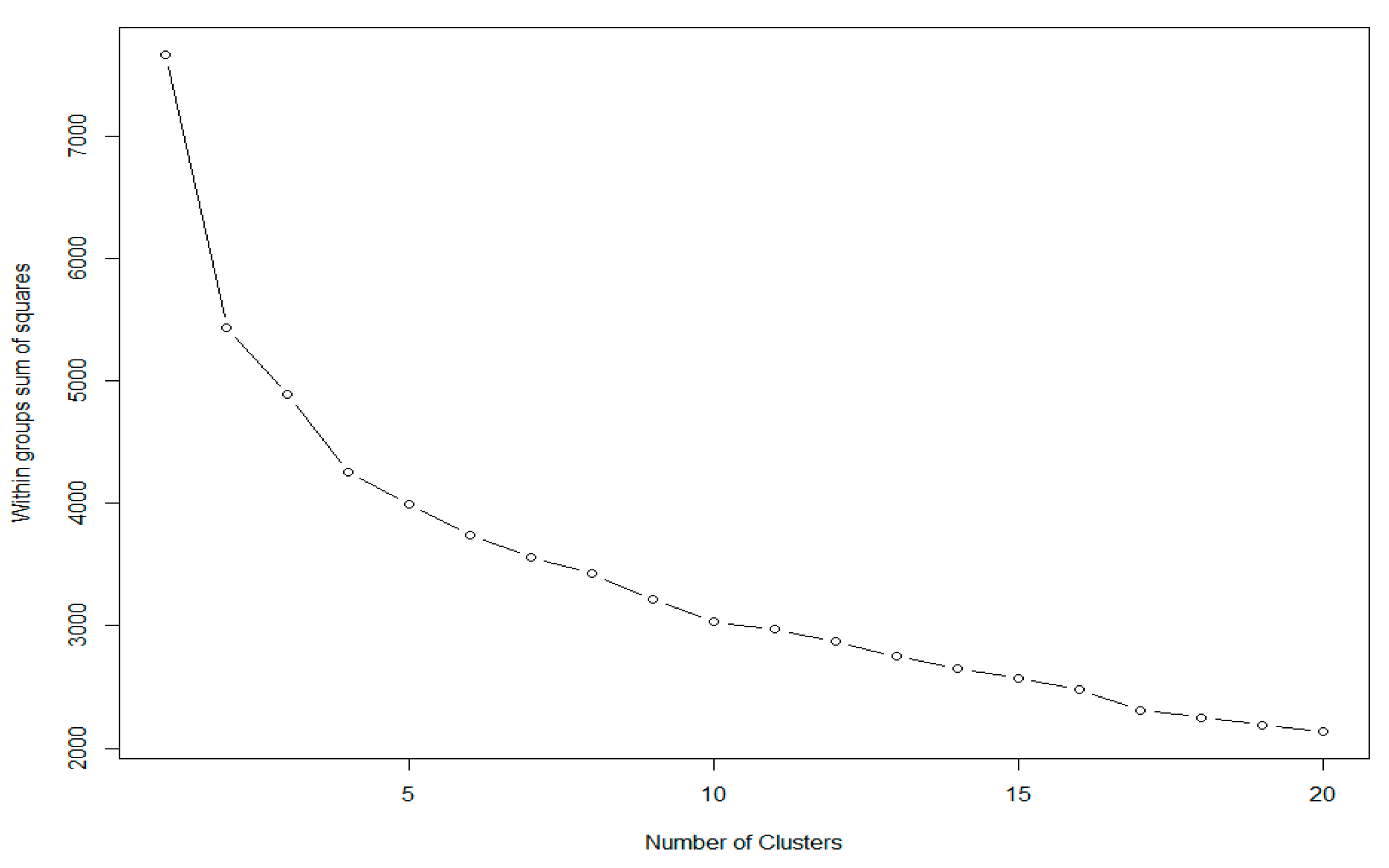
2.2.2. Cluster Analysis
- d(x,y)—the Euclidean distance between vectors x and y;
- p—length of vectors x and y (number of parameters);
- xi, yi—i-values of the i-th parameter of vectors x,y.
- K—the number of clusters;
- Sk—the set of observations in k of these clusters;
- p—the number of parameters;
- —the average value of the j-th parameter in the k-th cluster.
3. Research Results
3.1. Literature Analysis of Criteria Describing Green Organizations
3.2. Comparison of Quantitative Survey Results with Scientometric Analysis
3.3. Defining Development Phases of Green Organizations Using the Cluster Analysis Method
4. Discussion
5. Conclusions
Funding
Institutional Review Board Statement
Informed Consent Statement
Data Availability Statement
Conflicts of Interest
References
- Adams, D.; Donovan, J.; Topple, C. Achieving Sustainability in Food Manufacturing Operations and Their Supply Chains: Key Insights from a Systematic Literature Review. Sustain. Prod. Consum. 2021, 28, 1491–1499. [Google Scholar] [CrossRef]
- Jamwal, A.; Agrawal, R.; Sharma, M.; Giallanza, A. Industry 4.0 Technologies for Manufacturing Sustainability: A Systematic Review and Future Research Directions. Appl. Sci. 2021, 11, 5725. [Google Scholar] [CrossRef]
- Enyoghasi, C.; Badurdeen, F. Industry 4.0 for Sustainable Manufacturing: Opportunities at the Product, Process, and System Levels. Resour. Conserv. Recycl. 2021, 166, 105362. [Google Scholar] [CrossRef]
- Lozano, R. Developing Collaborative and Sustainable Organisations. J. Clean. Prod. 2008, 16, 499–509. [Google Scholar] [CrossRef]
- Malek, J.; Desai, T.N. A Systematic Literature Review to Map Literature Focus of Sustainable Manufacturing. J. Clean. Prod. 2020, 256, 120345. [Google Scholar] [CrossRef]
- Ramos, A.R.; Ferreira, J.C.E.; Kumar, V.; Garza-Reyes, J.A.; Cherrafi, A. A Lean and Cleaner Production Benchmarking Method for Sustainability Assessment: A Study of Manufacturing Companies in Brazil. J. Clean. Prod. 2018, 177, 218–231. [Google Scholar] [CrossRef]
- Sullivan, K.; Thomas, S.; Rosano, M. Using Industrial Ecology and Strategic Management Concepts to Pursue the Sustainable Development Goals. J. Clean. Prod. 2018, 174, 237–246. [Google Scholar] [CrossRef]
- Kohl, K. Becoming a Sustainable Organization: A Project and Portfolio Management; Taylor & Francis Group: New York, NY, USA, 2016. [Google Scholar]
- Mohammad, W.M.W.; Wasiuzzaman, S. Environmental, Social and Governance (ESG) Disclosure, Competitive Advantage and Performance of Firms in Malaysia. Clean. Environ. Syst. 2021, 2, 100015. [Google Scholar] [CrossRef]
- Graczyk-Kucharska, M. Achieving Sustainable Manufacturing and Green Organizations: Preliminary Research on Green Competencies. Manag. Prod. Eng. Rev. 2022, 13, 118–126. [Google Scholar] [CrossRef]
- Kuzior, A.; Kettler, K.; Rąb, Ł. Digitalization of Work and Human Resources Processes as a Way to Create a Sustainable and Ethical Organization. Energies 2022, 15, 172. [Google Scholar] [CrossRef]
- Nawaz, W.; Koç, M. Exploring Organizational Sustainability: Themes, Functional Areas, and Best Practices. Sustainability 2019, 11, 4307. [Google Scholar] [CrossRef]
- Sroufe, R. Integration and Organizational Change towards Sustainability. J. Clean. Prod. 2017, 162, 315–329. [Google Scholar] [CrossRef]
- Barletta, I.; Despeisse, M.; Hoffenson, S.; Johansson, B. Organisational Sustainability Readiness: A Model and Assessment Tool for Manufacturing Companies. J. Clean. Prod. 2021, 284, 125404. [Google Scholar] [CrossRef]
- Bögel, P.; Pereverza, K.; Upham, P.; Kordas, O. Linking Socio-Technical Transition Studies and Organisational Change Management: Steps towards an Integrative, Multi-Scale Heuristic. J. Clean. Prod. 2019, 232, 359–368. [Google Scholar] [CrossRef]
- Heikkurinen, P.; Young, C.W.; Morgan, E. Business for Sustainable Change: Extending Eco-Efficiency and Eco-Sufficiency Strategies to Consumers. J. Clean. Prod. 2019, 218, 656–664. [Google Scholar] [CrossRef]
- Singh, A.; Philip, D.; Ramkumar, J.; Das, M. A Simulation Based Approach to Realize Green Factory from Unit Green Manufacturing Processes. J. Clean. Prod. 2018, 182, 67–81. [Google Scholar] [CrossRef]
- Laguir, I.; Stekelorum, R.; El Baz, J. Going Green? Investigating the Relationships between Proactive Environmental Strategy, GSCM Practices and Performances of Third-Party Logistics Providers (TPLs). Prod. Plan. Control 2021, 32, 1049–1062. [Google Scholar] [CrossRef]
- Sharma, V.K.; Chandna, P.; Bhardwaj, A. Green Supply Chain Management Related Performance Indicators in Agro Industry: A Review. J. Clean. Prod. 2017, 141, 1194–1208. [Google Scholar] [CrossRef]
- Yu, Y.; Zhang, J.Z.; Cao, Y.; Kazancoglu, Y. Intelligent Transformation of the Manufacturing Industry for Industry 4.0: Seizing Financial Benefits from Supply Chain Relationship Capital through Enterprise Green Management. Technol. Forecast. Soc. Chang. 2021, 172, 120999. [Google Scholar] [CrossRef]
- Hamdoun, M. The Antecedents and Outcomes of Environmental Management Based on the Resource-Based View: A Systematic Literature Review. Manag. Environ. Qual. Int. J. 2020, 31, 451–469. [Google Scholar] [CrossRef]
- Andjarwati, T.; Budiarti, E.; Audah, A.K.; Khouri, S.; Rębilas, R. The Impact of Green Human Resource Management to Gain Enterprise Sustainability. Pol. J. Manag. Stud. 2019, 20, 93–103. [Google Scholar] [CrossRef]
- Bombiak, E.; Marciniuk-Kluska, A. Green Human Resource Management as a Tool for the Sustainable Development of Enterprises: Polish Young Company Experience. Sustainability 2018, 10, 1739. [Google Scholar] [CrossRef]
- Liu, Z.; Mei, S.; Guo, Y. Green Human Resource Management, Green Organization Identity and Organizational Citizenship Behavior for the Environment: The Moderating Effect of Environmental Values. Chin. Manag. Stud. 2021, 15, 290–304. [Google Scholar] [CrossRef]
- Ren, S.; Tang, G.; E Jackson, S. Green Human Resource Management Research in Emergence: A Review and Future Directions. Asia Pac. J. Manag. 2018, 35, 769–803. [Google Scholar] [CrossRef]
- Kemper, J.A.; Ballantine, P.W. What Do We Mean by Sustainability Marketing? J. Mark. Manag. 2019, 35, 277–309. [Google Scholar] [CrossRef]
- Kemper, J.A.; Hall, C.M.; Ballantine, P.W. Marketing and Sustainability: Business as Usual or Changing Worldviews? Sustainability 2019, 11, 780. [Google Scholar] [CrossRef]
- Saleem, F.; Khattak, A.; Ur Rehman, S.; Ashiq, M. Bibliometric Analysis of Green Marketing Research from 1977 to 2020. Publications 2021, 9, 1. [Google Scholar] [CrossRef]
- Belhadi, A.; Kamble, S.S.; Chiappetta Jabbour, C.J.; Mani, V.; Khan, S.A.R.; Touriki, F.E. A Self-Assessment Tool for Evaluating the Integration of Circular Economy and Industry 4.0 Principles in Closed-Loop Supply Chains. Int. J. Prod. Econ. 2022, 245, 108372. [Google Scholar] [CrossRef]
- Dwivedi, A.; Moktadir, A.; Chiappetta Jabbour, C.J.; de Carvalho, D.E. Integrating the Circular Economy and Industry 4.0 for Sustainable Development: Implications for Responsible Footwear Production in a Big Data-Driven World. Technol. Forecast. Soc. Change 2022, 175, 121335. [Google Scholar] [CrossRef]
- Gupta, H.; Kumar, A.; Wasan, P. Industry 4.0, Cleaner Production and Circular Economy: An Integrative Framework for Evaluating Ethical and Sustainable Business Performance of Manufacturing Organizations. J. Clean. Prod. 2021, 295, 126253. [Google Scholar] [CrossRef]
- Barros, M.V.; Salvador, R.; do Prado, G.F.; de Francisco, A.C.; Piekarski, C.M. Circular Economy as a Driver to Sustainable Businesses. Clean. Environ. Syst. 2021, 2, 100006. [Google Scholar] [CrossRef]
- Dong, X.; Zhang, X.; Zhang, C.; Bi, C. Building Sustainability Education for Green Recovery in the Energy Resource Sector: A Cross Country Analysis. Resour. Policy 2023, 81, 103385. [Google Scholar] [CrossRef]
- Pombo, O.; Rivela, B.; Neila, J. The Challenge of Sustainable Building Renovation: Assessment of Current Criteria and Future Outlook. J. Clean. Prod. 2016, 123, 88–100. [Google Scholar] [CrossRef]
- Zhu, S.; Wu, Y.; Shen, Q. How Environmental Knowledge and Green Values Affect the Relationship between Green Human Resource Management and Employees’ Green Behavior: From the Perspective of Emission Reduction. Processes 2022, 10, 38. [Google Scholar] [CrossRef]
- Joltreau, E. Extended Producer Responsibility, Packaging Waste Reduction and Eco-Design. Environ. Resour. Econ. 2022, 83, 527–578. [Google Scholar] [CrossRef]
- Rusch, M.; Schöggl, J.-P.; Baumgartner, R.J. Application of Digital Technologies for Sustainable Product Management in a Circular Economy: A Review. Bus. Strategy Environ. 2023, 32, 1159–1174. [Google Scholar] [CrossRef]
- He, X.; Khan, S.; Ozturk, I.; Murshed, M. The Role of Renewable Energy Investment in Tackling Climate Change Concerns: Environmental Policies for Achieving SDG-13. Sustain. Dev. 2023, 31, 1888–1901. [Google Scholar] [CrossRef]
- Khanra, S.; Kaur, P.; Joseph, R.P.; Malik, A.; Dhir, A. A Resource-Based View of Green Innovation as a Strategic Firm Resource: Present Status and Future Directions. Bus. Strategy Environ. 2022, 31, 1395–1413. [Google Scholar] [CrossRef]
- Streb, A.J.; Wilson, R.J.; Bustard, T.S. Nuclear Auxiliary Power Unit for Lunar Exploration. IRE Trans. Nucl. Sci. 1962, 9, 85–90. [Google Scholar] [CrossRef]
- Sung, C.B.; Schaffer, D.J. Technological Integration in Dynamic Controls; SAE International: Warrendale, PA, USA, 1962. [Google Scholar]
- Beddington, J.R.; May, R.M. Maximum Sustainable Yields in Systems Subject to Harvesting at More than One Trophic Level. Math. Biosci. 1980, 51, 261–281. [Google Scholar] [CrossRef]
- Getz, W.M. The Ultimate-Sustainable-Yield Problem in Nonlinear Age-Structured Populations. Math. Biosci. 1980, 48, 279–292. [Google Scholar] [CrossRef]
- Scheridan, J.C.; Mitchell, J.W. A Hybrid Solar Desiccant Cooling System. Sol. Energy 1985, 34, 187–193. [Google Scholar] [CrossRef]
- Berman, E.M. The Market for Green Products and Public Policy. Environments 1993, 22, 75–81. [Google Scholar]
- Horn, R.R. The History and Status of Black & White Photographic Processing Chemicals as Effluents. Gray Scale Color 1991, 1458, 69–75. [Google Scholar]
- Grasso, M.M. Recycled Textile Fibers: The Challenge for the Twenty-First Century. Text. Chem. Color. 1995, 27, 5. [Google Scholar]
- Lampe, M.; Gazda, G.M. Green Marketing in Europe and the United States: An Evolving Business and Society Interface. Int. Bus. Rev. 1995, 4, 295–312. [Google Scholar] [CrossRef]
- Benson, J.H.; Fosnaugh, J.L. A Business View of the Recycling of Plastics from Durable Goods. SAE Tech. Pap. 1996, 105, 861–866. [Google Scholar] [CrossRef]
- Bloemhof-Ruwaard, J.M.; van Beek, P.; Hordijk, L.; Van Wassenhove, L.N. Interactions between Operational Research and Environmental Management. Eur. J. Oper. Res. 1995, 85, 229–243. [Google Scholar] [CrossRef]
- Kaebernick, H.; Anityasari, M.; Kara, S. A Technical and Economic Model for End-of-Life (EOL) Options of Industrial Products. Int. J. Environ. Sustain. Dev. 2002, 1, 171–183. [Google Scholar] [CrossRef]
- Kaebernick, H.; Kara, S.; Sun, M. Sustainable Product Development and Manufacturing by Considering Environmental Requirements. Robot. Comput.-Integr. Manuf. 2003, 19, 461–468. [Google Scholar] [CrossRef]
- Khoo, H.H.; Spedding, T.A.; Tobin, L.; Taplin, D. Integrated Simulation and Modelling Approach to Decision Making and Environmental Protection. Environ. Dev. Sustain. 2001, 3, 93–108. [Google Scholar] [CrossRef]
- Duan, N. Material metabolism and circular economy. Zhongguo Huanjing Kexue/China Environ. Sci. 2005, 25, 320–323. [Google Scholar]
- Yap, N.T. Towards a Circular Economy: Progress and Challenges. Greener Manag. Int. 2005, 50, 11–24. [Google Scholar]
- Baresel-Bofinger, A.C.R.; Ketikidis, P.H.; Koh, S.C.L.; Cullen, J. Role of “green Knowledge” in the Environmental Transformation of the Supply Chain: The Case of Greek Manufacturing. Int. J. Knowl.-Based Dev. 2011, 2, 107–128. [Google Scholar] [CrossRef]
- Fazel Ansari, C.; Holland, A.; Fathi, M. Advanced Knowledge Management Concept for Sustainable Environmental Integration. In Proceedings of the 2010 IEEE 9th International Conference on Cyberntic Intelligent Systems, Reading, UK, 1–2 September 2010. [Google Scholar]
- McCoy, A.P.; O’Brien, P.; Novak, V.; Cavell, M. Toward Understanding Roles for Education and Training in Improving Green Jobs Skills Development. Int. J. Constr. Educ. Res. 2012, 8, 186–203. [Google Scholar] [CrossRef]
- Jabbour, C.J.C. Environmental Training in Organisations: From a Literature Review to a Framework for Future Research. Resour. Conserv. Recycl. 2013, 74, 144–155. [Google Scholar] [CrossRef]
- Jabbour, C.J.C.; Jabbour, A.B.L.; Teixeira, A.A.; Freitas, W.R.S. Environmental Development in Brazilian Companies: The Role of Human Resource Management. Environ. Dev. 2012, 3, 137–147. [Google Scholar] [CrossRef]
- Hartigan, J.A.; Wong, M.A. Algorithm AS 136: A K-Means Clustering Algorithm. J. R. Stat. Society. Ser. C (Appl. Stat.) 1979, 28, 100–108. [Google Scholar] [CrossRef]
- Ahmed, S.; El-Sayegh, S. Challenges of Sustainable Construction Projects Delivery. Arch. Eng. Des. Manag. 2022, 18, 299–312. [Google Scholar]
- Chhimwal, M.; Agrawal, S.; Kumar, G. Challenges in the Implementation of Circular Economy in Manufacturing Industry. J. Model. Manag. 2022, 17, 1049–1077. [Google Scholar] [CrossRef]
- Dordi, T.; Palaschuk, N. Mapping 70 Years of Advancements in Management Research on Sustainability. J. Clean. Prod. 2022, 365, 132741. [Google Scholar] [CrossRef]
- Ogutu, H.; El Archi, Y.; Dénes Dávid, L. Current Trends in Sustainable Organization Management: A Bibliometric Analysis. Oeconomia Copernic. 2023, 14, 11–45. [Google Scholar] [CrossRef]
- Jasiński, D.; Meredith, J.; Kirwan, K. A Comprehensive Framework for Automotive Sustainability Assessment. J. Clean. Prod. 2016, 135, 1034–1044. [Google Scholar] [CrossRef]
- Giordani, P.; Ferraro, M.B.; Martella, F. An Introduction to Clustering with R; Behaviormetrics: Quantitative Approaches to Human Behavior; Springer: Singapore, 2020; Volume 1, ISBN 9789811305528. [Google Scholar]
- Mishra, P. Green Human Resource Management: A Framework for Sustainable Organizational Development in an Emerging Economy. Int. J. Organ. Anal. 2017, 25, 762–788. [Google Scholar] [CrossRef]
- Chowdhury, S.R.; Mendy, J.; Rahman, M. A Systematic Literature Review of GHRM: Organizational Sustainable Performance Reimagined Using a New Holistic Framework. Sustainability 2023, 15, 7513. [Google Scholar] [CrossRef]
- Borah, P.S.; Dogbe, C.S.K.; Pomegbe, W.W.K.; Bamfo, B.A.; Hornuvo, L.K. Green Market Orientation, Green Innovation Capability, Green Knowledge Acquisition and Green Brand Positioning as Determinants of New Product Success. Eur. J. Innov. Manag. 2021, 26, 364–385. [Google Scholar] [CrossRef]
- Kinoti, M.W. Green Marketing Intervention Strategies and Sustainable Development: A Conceptual Paper. Int. J. Bus. Soc. Sci. 2011, 2, 263–273. [Google Scholar]
- Amjad, A.; Abbass, K.; Hussain, Y.; Khan, F.; Sadiq, S. Effects of the Green Supply Chain Management Practices on Firm Performance and Sustainable Development. Environ. Sci. Pollut. Res. 2022, 29, 66622–66639. [Google Scholar] [CrossRef]
- Lerman, L.V.; Benitez, G.B.; Müller, J.M.; de Sousa, P.R.; Frank, A.G. Smart Green Supply Chain Management: A Configurational Approach to Enhance Green Performance through Digital Transformation. Supply Chain Manag. Int. J. 2022, 27, 147–176. [Google Scholar] [CrossRef]
- Hafez, F.S.; Sa’di, B.; Safa-Gamal, M.; Taufiq-Yap, Y.H.; Alrifaey, M.; Seyedmahmoudian, M.; Stojcevski, A.; Horan, B.; Mekhilef, S. Energy Efficiency in Sustainable Buildings: A Systematic Review with Taxonomy, Challenges, Motivations, Methodological Aspects, Recommendations, and Pathways for Future Research. Energy Strategy Rev. 2023, 45, 101013. [Google Scholar] [CrossRef]
- Buntigao, J.L.G.; Polinar, M.A.N.; Delantar, A.F.A.; Cabatingan, A.Y. Resilience, Change Management, and Business Sustainability in the New Normal of the Selected PCAB-Accredited Companies. Int. J. Multidiscip. Appl. Bus. Educ. Res. 2023, 4, 1195–1207. [Google Scholar]





| Criteria | Keywords for Database Analysis |
|---|---|
| C1 Sustainable Manufacturing Management (SMM) | KEY (“sustainable manufacturing”) AND (“management”) |
| C2 Green Human Resource Management (GHRM) | KEY (“green human resource management” OR “green human resource”) |
| C3 Green Knowledge and Skills Development (GK&C&S) | KEY (“green competence” OR “green competencies” OR “green knowledge” OR “green skills” OR “green attitude” OR “sustainable competence” OR “sustainable competencies” OR “sustainable knowledge” OR “sustainable skills” OR “sustainable attitude”) |
| C4 Environmental Management (EM) | KEY (“environmental management”) |
| C5 Sustainable Resource Management (SRM) | KEY (“resource management” OR “resources management”) AND (“sustainability” OR “sustainable”) |
| C6 Green Marketing (GM) | KEY (“sustainability MARKETING” OR “green MARKETING”) |
| C7 Eco-design management (EDM) | KEY (“eco-design” OR “green product” OR “sustainable product”) AND (“management” OR “development”) |
| C8 Green Supply Chain Management (GSCM) | KEY (“Green Supply Chain Management” OR “Green Supply Chain” OR “GSCM” OR “GSC”) |
| C9 Circular Economy (CE) | KEY (“Circular Economy” OR “CE” AND “management”) |
| C10 Zero-waste Buildings (ZWBs) | KEY (“buildings”) AND (“zero waste” OR “sustainable” OR “zero-waste”) AND (“management”) |
| Criteria | C1 | C2 | C3 | C4 | C5 | C6 | C7 | C8 | C9 | C10 |
|---|---|---|---|---|---|---|---|---|---|---|
| Abbr. of criteria | SMM | GHRM | GK&C&S | EM | SRM | GM | EDM | GSCM | CE | ZWBs |
| No of publication | 1006 | 323 | 216 | 41,155 | 20,159 | 813 | 2435 | 28,762 | 2551 | 35,902 |
| Sum | 133,340 | |||||||||
| No. | The Number of Employees | The Number of Companies Surveyed |
|---|---|---|
| 1 | 2–9 | 12 |
| 2 | 10–49 | 37 |
| 3 | 50–249 | 35 |
| 4 | 250–999 | 2 |
| 5 | 1000 and more | 14 |
| TOTAL | 100 |
| No. | The Respondent’s Job Position | Number of Survey Participants |
|---|---|---|
| 1 | President/Owner/Vice President/Co-Owner/Plant Manager | 35 |
| 2 | Production Director/Manager | 9 |
| 3 | Director of Environmental Affairs | 11 |
| 4 | Quality Control Manager | 12 |
| 5 | Director/Technical Manager | 3 |
| 6 | Director/Chief Administrative Officer | 3 |
| 7 | Director/Chief Commercial Officer | 3 |
| 8 | Director/Manager of HR Department | 4 |
| 9 | Spec. Human Resources Department | 7 |
| 10 | Chief Financial Officer | 5 |
| 11 | Manager/Office Manager | 4 |
| 12 | Head of Finance and Personnel Department | 1 |
| 13 | Director of Marketing and Sales | 1 |
| 14 | Head of Logistics and Administration | 1 |
| 15 | Quality Officer | 1 |
| SUM | 100 |
| Criteria | C1 | C2 | C3 | C4 | C5 | C6 | C7 | C8 | C9 | C10 |
|---|---|---|---|---|---|---|---|---|---|---|
| Abbr. of criteria | SMM | GHRM | GK&C&S | EM | SRM | GM | EDM | GSCM | CE | ZWBs |
| No of publications | 1006 | 323 | 216 | 41,155 | 20,159 | 813 | 2435 | 28,762 | 2551 | 35,902 |
| Year of 1st publication including keywords | 2002 | 2012 | 2009 | 1971 | 1980 | 1995 | 1993 | 1996 | 2005 | 1988 |
| Dropout | 23% | 42% | 5% | 8% | 1% | 27% | 8% | 24% | 2% | 34% |
| No. | Criteria | Cluster 1 | Cluster 2 | Cluster 3 |
|---|---|---|---|---|
| C1 | SMM | 4.61 | 3.77 | 1.67 |
| C2 | GHRM | 3.6 | 3.31 | 0.6 |
| C3 | GK&C&S | 5.14 | 4.69 | 3.33 |
| C4 | EM | 4.8 | 4.62 | 2.82 |
| C5 | SRM | 4.9 | 4.48 | 3.79 |
| C6 | GM | 4.15 | 2.81 | 0.71 |
| C7 | EDM | 4.43 | 3.58 | 2.47 |
| C8 | GSCM | 4.83 | 1.69 | 1.3 |
| C9 | CE | 5.06 | 4.27 | 2.89 |
| C10 | ZWBs | 3.81 | 0.71 | 1.29 |
Disclaimer/Publisher’s Note: The statements, opinions and data contained in all publications are solely those of the individual author(s) and contributor(s) and not of MDPI and/or the editor(s). MDPI and/or the editor(s) disclaim responsibility for any injury to people or property resulting from any ideas, methods, instructions or products referred to in the content. |
© 2023 by the author. Licensee MDPI, Basel, Switzerland. This article is an open access article distributed under the terms and conditions of the Creative Commons Attribution (CC BY) license (https://creativecommons.org/licenses/by/4.0/).
Share and Cite
Graczyk-Kucharska, M. Sustainability in the Development of Green Organizations Based on the Example of Manufacturing Companies. Sustainability 2023, 15, 14705. https://doi.org/10.3390/su152014705
Graczyk-Kucharska M. Sustainability in the Development of Green Organizations Based on the Example of Manufacturing Companies. Sustainability. 2023; 15(20):14705. https://doi.org/10.3390/su152014705
Chicago/Turabian StyleGraczyk-Kucharska, Magdalena. 2023. "Sustainability in the Development of Green Organizations Based on the Example of Manufacturing Companies" Sustainability 15, no. 20: 14705. https://doi.org/10.3390/su152014705
APA StyleGraczyk-Kucharska, M. (2023). Sustainability in the Development of Green Organizations Based on the Example of Manufacturing Companies. Sustainability, 15(20), 14705. https://doi.org/10.3390/su152014705
