The Failure Mechanism of Methane Hydrate-Bearing Specimen Based on Energy Analysis Using Discrete Element Method
Abstract
1. Introduction
2. Numerical MHS Models
2.1. Simulation Mechanism of Particle Flow Code (PFC)
2.2. Validation of the Numerical Model
- (a)
- Determining the initial value of the parameters, and then adjusting and so that is close to the test value;
- (b)
- Adjusting to make close to the test value;
- (c)
- Adjusting to make close to the test value;
- (d)
- Adjusting and to make close to the test value.
2.3. Contact Model
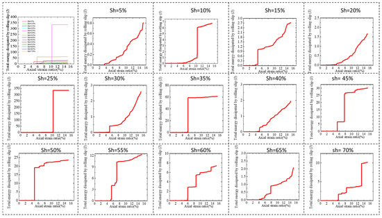
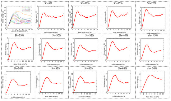
3. Numerical Simulation Results and Analysis
4. Results and Discussions
Failure Pattern of MHS
5. Conclusions
Author Contributions
Funding
Data Availability Statement
Conflicts of Interest
Abbreviations
| MHS | Methane hydrate specimens |
| PFC | Particle flow code |
| PFC2D | Particle flow code in two dimensions |
| PFC2D | Particle flow code in three dimensions |
| Sh | Saturation of methane hydrate |
| DEM | Discrete element method |
| RRM | Rolling resistance model |
| PBM | Parallel bond model |
References
- Arzbacher, S.; Petrasch, J.; Ostermann, A.; Loerting, T. Micro-Tomographic Investigation of Ice and Clathrate Formation and Decomposition under Thermodynamic Monitoring. Materials 2016, 9, 668. [Google Scholar] [CrossRef] [PubMed]
- Jianzhong, Z.; Dingxian, S. Study on Exploiting Method of Natural Gas Hydrates. Min. Res. Dev. 2007, 3, 32–34. [Google Scholar]
- Zhong, D.L.; Li, Z.; Lu, Y.Y.; Wang, J.L.; Yan, J. Evaluation of CO2 removal from a CO2+ CH4 gas mixture using gas hydrate formation in liquid water and THF solutions. Appl. Energy 2015, 158, 133–141. [Google Scholar] [CrossRef]
- Ebinuma, T.; Kamata, Y.; Minagawa, H.; Ohmura, R.; Nagao, J.; Narita, H. Mechanical Properties of Sandy Sediment Containing Methane Hydrate. In Proceedings of the Fifth International Conference on Gas Hydrates, Trondheim, Norway, 13–16 June 2005; pp. 958–961. [Google Scholar]
- Hyodo, M.; Nakata, Y.; Yoshimoto, N.; Yoneda, J. Shear strength of methane hydrate bearing sand and its deformation during dissociation of methane hydrate. In Proceedings of the 4th International Symposium on Deformation Characteristics of Geomaterials, Atlanta, GA, USA, 22–24 September 2008; pp. 549–556. [Google Scholar]
- Masui, A.; Haneda, H.; Ogata, Y.; Aoki, K. Effects of methane hydrate formation on shear strength of synthetic methane hydrate sediments. In Proceedings of the Fifteenth International Offshore and Polar Engineering Conference, Seoul, Republic of Korea, 19–24 June 2005. [Google Scholar]
- Ohmura, R.; Shigetomi, T.; Mori, Y.H. Bending tests on clathrate hydrate single crystals. Philos. Mag. A 2002, 82, 1725–1740. [Google Scholar] [CrossRef]
- Yun, T.S.; Santamarina, J.C.; Ruppel, C. Mechanical properties of sand, silt, and clay containing tetrahydrofuran hydrate. J. Geophys. Res. Solid Earth 2007, 112. [Google Scholar] [CrossRef]
- Kayen, R.E.; Lee, H.J. Pleistocene slope instability of gas hydrate-laden sediment on the Beaufort sea margin. Mar. Georesour. Geotechnol. 1991, 10, 125–141. [Google Scholar] [CrossRef]
- Nixon, M.F.; Grozic, J.L.H. Submarine slope failure due to gas hydrate dissociation: A preliminary quantification. Can. Geotech. J. 2007, 44, 314–325. [Google Scholar] [CrossRef]
- Xu, W.; Germanovich, L.N. Excess pore pressure resulting from methane hydrate dissociation in marine sediments: A theoretical approach. J. Geophys. Res. Solid Earth 2006, 111. [Google Scholar] [CrossRef]
- Klar, A.; Soga, K.; Ng, M.Y.A. Coupled deformation—Flow analysis for methane hydrate extraction. Geotechnique 2010, 60, 765–776. [Google Scholar] [CrossRef]
- Tsiberkin, K.; Lyubimov, D.V.; Lyubimova, T.P.; Zikanov, O. Evolution of a spherical hydrate-free inclusion in a porous matrix filled with methane hydrate. Phys. Rev. E 2014, 89, 023008. [Google Scholar] [CrossRef]
- Xu, C.G.; Li, X.S. Research progress on methane production from natural gas hydrates. RSC Adv. 2015, 5, 54672–54699. [Google Scholar] [CrossRef]
- Gong, B.; Zhang, R.; Sun, T.; Jiang, Y.; Golsanami, N.; Li, Y.; Fernando, S.G.; Jayasuriya, M.N. Coupling Model of Submarine Deformation Response Prediction during Methane Hydrate Exploitation. Energy Fuels 2022, 36, 6785–6809. [Google Scholar] [CrossRef]
- Winters, W.J.; Waite, W.F.; Mason, D.H.; Gilbert, L.Y.; Pecher, I.A. Methane gas hydrate effect on sediment acoustic and strength properties. J. Pet. Sci. Eng. 2007, 56, 127–135. [Google Scholar] [CrossRef]
- Masui, A.; Haneda, H.; Ogata, Y.; Aoki, K. The effect of saturation degree of methane hydrate on the shear strength of synthetic methane hydrate sediments. In Proceedings of the 5th International Conference on Gas Hydrates, Trondheim, Norway, 3–5 June 2005; pp. 657–663. [Google Scholar]
- Miyazaki, K.; Tenma, N.; Aoki, K.; Yamaguchi, T. A nonlinear elastic model for triaxial compressive properties of artificial methane-hydrate-bearing sediment samples. Energies 2012, 5, 4057–4075. [Google Scholar] [CrossRef]
- Brugada, J.; Cheng, Y.; Soga, K.; Santamarina, J.C. Discrete element modelling of geomechanical behaviour of methane hydrate soils with pore-filling hydrate distribution. Granul. Matter 2010, 12, 517–525. [Google Scholar] [CrossRef]
- Jung, J.W.; Santamarina, J.C.; Soga, K. Stress-strain response of hydrate-bearing sands: Numerical study using discrete element method simulations. J. Geophys. Res. Solid Earth 2012, 117, B04202. [Google Scholar] [CrossRef]
- Jiang, M.J.; Sun, Y.G.; Yang, Q.J. A simple distinct element modeling of the mechanical behavior of methane hydrate-bearing sediments in deep seabed. Granul. Matter 2013, 15, 209–220. [Google Scholar] [CrossRef]
- Yu, Y.; Cheng, Y.P.; Xu, X.; Soga, K. Discrete element modelling of methane hydrate soil sediments using elongated soil particles. Comput. Geotech. 2016, 80, 397–409. [Google Scholar] [CrossRef]
- Waite, W.F.; Santamarina, J.C.; Cortes, D.D.; Dugan, B.; Espinoza, D.N.; Germaine, J.; Jang, J.; Jung, J.W.; Kneafsey, T.; Shin, H.; et al. Physical properties of hydrate-bearing sediments. Rev. Geophys. 2009, 47, 379–401. [Google Scholar] [CrossRef]
- Cundall, P.A.; Strack, O.D.L. A discrete numerical model for granular assemblies. Géotechnique 1979, 29, 47–65. [Google Scholar] [CrossRef]
- Itasca Consulting Group, Inc. PFC2D (Particle Flow Code in 2 Dimensions); Itasca Consulting Group, Inc.: Minneapolis, MN, USA, 2018; Available online: https://www.itascacg.com/software/pfc (accessed on 1 January 2020).
- Cho, N.; Martin, C.D.; Sego, D.C. A clumped particle model for rock. Int. J. Rock Mech. Min. Sci. 2007, 4, 997–1010. [Google Scholar] [CrossRef]
- Bakhshi, E.; Golsanami, N.; Chen, L. Numerical Modeling and Lattice Method for Characterizing Hydraulic Fracture Propagation: A Review of the Numerical, Experimental, and Field Studies. Arch. Comput. Methods Eng. 2021, 28, 3329–3360. [Google Scholar] [CrossRef]
- Castro-Filgueira, U.; Alejano, L.; Arzúa, J.; Ivars, D.M. Sensitivity Analysis of the Micro-Parameters Used in a PFC Analysis Towards the Mechanical Properties of Rocks. Procedia Eng. 2017, 191, 488–495. [Google Scholar] [CrossRef]
- Masui, A.; Haneda, H.; Ogata, Y.; Aoki, K. Triaxial Compression Test on Submarine Sediment Containing Methane Hydrate in Deep Sea Off the Coast off Japan. In Proceedings of the 41st Annual Conference, Japanese Geotechnical Society, Kagoshima, Japan, 12–14 July 2006. [Google Scholar]
- Itasca Consulting Group, Inc. PFC 5.0 Documentation; Itasca Consulting Group, Inc.: Minneapolis, MN, USA, 2016. [Google Scholar]
- Golsanami, N.; Fernando, S.G.; Jayasuriya, M.N.; Yan, W.; Dong, H.; Cui, L.; Dong, X. Fractal Properties of Various Clay Minerals Obtained from SEM Images. Geofluids 2021, 2021, 5516444. [Google Scholar] [CrossRef]
- Zhang, Y.; Li, C.; Ma, J.; Liu, L.; Golsanami, N.; Wan, Y.; Liu, C. Investigating the effective permeability evolution as a function of hydrate saturation in the hydrate-bearing sands using a kinetic-theory-based pore network model. Comput. Geotech. 2022, 150, 104930. [Google Scholar] [CrossRef]
- Golsanami, N.; Jayasuriya, M.N.; Yan, W.; Fernando, S.G.; Liu, X.; Cui, L.; Zhang, X.; Yasin, Q.; Dong, H.; Dong, X. Characterizing clay textures and their impact on the reservoir using deep learning and Lattice-Boltzmann simulation applied to SEM images. Energy 2021, 240, 122599. [Google Scholar] [CrossRef]
- Evenick, J.C. Assessing hydrocarbon charge access via map-based fetch analysis: Going beyond petroleum systems event charts. Geosyst. Geoenviron. 2022, 1, 100024. [Google Scholar] [CrossRef]
- Ali, N.; Chen, J.; Fu, X.; Hussain, W.; Ali, M.; Hussain, M.; Anees, A.; Rashid, M.; Thanh, H.V. Prediction of Cretaceous reservoir zone through petrophysical modeling: Insights from Kadanwari gas field, Middle Indus Basin. Geosyst. Geoenviron. 2022, 1, 100058. [Google Scholar] [CrossRef]
- Sun, J.; Dong, H.; Arif, M.; Yu, L.; Zhang, Y.; Golsanami, N.; Yan, W. Influence of pore structural properties on gas hydrate saturation and permeability: A coupled pore-scale modelling and X-ray computed tomography method. J. Nat. Gas Sci. Eng. 2021, 88, 103805. [Google Scholar] [CrossRef]
- Golsanami, N.; Zhang, X.; Yan, W.; Yu, L.; Dong, H.; Dong, X.; Cui, L.; Jayasuriya, M.N.; Fernando, S.G.; Barzgar, E. NMR-based study of the pore types’ contribution to the elastic response of the reservoir rock. Energies 2021, 14, 1513. [Google Scholar] [CrossRef]
- Lijith, K.P.; Malagar, B.R.C.; Singh, D.N. A comprehensive review on the geomechanical properties of gas hydrate bearing sediments. Mar. Pet. Geol. 2019, 104, 270–285. [Google Scholar] [CrossRef]
- Liu, Z.; Lu, Y.; Cheng, J.; Han, Q.; Hu, Z.; Wang, L. Geomechanics involved in gas hydrate recovery. Chin. J. Chem. Eng. 2019, 27, 2099–2106. [Google Scholar] [CrossRef]
- Uchida, S.; Lin, J.S.; Myshakin, E.M.; Seol, Y.; Boswell, R. Numerical simulations of sand migration during gas production in hydrate-bearing sands interbedded with thin mud layers at site NGHP-02-16. Mar. Pet. Geol. 2019, 108, 639–647. [Google Scholar] [CrossRef]
- Wang, X.; Cui, J.; Shen, J.H.; Wang, X.Z.; Zhu, C.Q. Particle Breakage Behavior of a Foundation Filling Material on Island-Reefs in the South China Sea under Impact Loading. Bull. Eng. Geol. Environ. 2022, 81, 345. [Google Scholar] [CrossRef]
- Wang, X.; Liu, J.Q.; Cui, J.; Wang, X.Z.; Shen, J.H.; Zhu, C.Q. Particle Breakage Characteristics of a Foundation Filling Material on Island-Reefs in the South China Sea. Constr. Build. Mater. 2021, 306, 124690. [Google Scholar] [CrossRef]




















| Property | Soil | Methane Hydrate |
|---|---|---|
| Density (Kg/m3) | 2500 | 320 |
| Particle sizes, D (mm) | 0.01–0.4 | 0.006 |
| Normal stiffness kn (N/m) | 1 × 108 | 1 × 105 |
| Shear stiffness ks (N/m) | 1 × 108 | 1 × 105 |
| Inter-particle friction μ | 0.7 | 0.75 |
| Property | Soil-Hydrate | Soil-Soil | Hydrate-Hydrate |
|---|---|---|---|
| Friction μ | 0.15 | 0.5 | 0.15 |
| Normal stiffness kn (N/m) | 1 × 105 | 3 × 108 | 1 × 105 |
| Shear stiffness ks (N/m) | 1 × 104 | 3 × 107 | 1 × 104 |
| Tension strength (N) | 3 × 106 | 3 × 106 | |
| Cohesion (N) | 5 × 106 | 5 × 106 | |
| Friction angle | 10 | 10 | |
| Rolling resistance coefficient (μr) | 0.6 | ||
Disclaimer/Publisher’s Note: The statements, opinions and data contained in all publications are solely those of the individual author(s) and contributor(s) and not of MDPI and/or the editor(s). MDPI and/or the editor(s) disclaim responsibility for any injury to people or property resulting from any ideas, methods, instructions or products referred to in the content. |
© 2023 by the authors. Licensee MDPI, Basel, Switzerland. This article is an open access article distributed under the terms and conditions of the Creative Commons Attribution (CC BY) license (https://creativecommons.org/licenses/by/4.0/).
Share and Cite
Gong, B.; Ye, R.; Zhang, R.; Golsanami, N.; Jiang, Y.; Guo, D.; Negahban, S. The Failure Mechanism of Methane Hydrate-Bearing Specimen Based on Energy Analysis Using Discrete Element Method. Sustainability 2023, 15, 1216. https://doi.org/10.3390/su15021216
Gong B, Ye R, Zhang R, Golsanami N, Jiang Y, Guo D, Negahban S. The Failure Mechanism of Methane Hydrate-Bearing Specimen Based on Energy Analysis Using Discrete Element Method. Sustainability. 2023; 15(2):1216. https://doi.org/10.3390/su15021216
Chicago/Turabian StyleGong, Bin, Ruijie Ye, Ruiqi Zhang, Naser Golsanami, Yujing Jiang, Dingrui Guo, and Sajjad Negahban. 2023. "The Failure Mechanism of Methane Hydrate-Bearing Specimen Based on Energy Analysis Using Discrete Element Method" Sustainability 15, no. 2: 1216. https://doi.org/10.3390/su15021216
APA StyleGong, B., Ye, R., Zhang, R., Golsanami, N., Jiang, Y., Guo, D., & Negahban, S. (2023). The Failure Mechanism of Methane Hydrate-Bearing Specimen Based on Energy Analysis Using Discrete Element Method. Sustainability, 15(2), 1216. https://doi.org/10.3390/su15021216

