Durable Structural Concrete Produced with Coarse and Fine Recycled Aggregates Using Different Cement Types
Abstract
:1. Introduction
2. Materials and Methods
2.1. Materials
2.1.1. Cement and Chemical Admixtures
2.1.2. Natural Aggregates
| Property (Standard) | Specification | FNA | CNA 1 | CNA 2 | FRCA | CRCA-1 (2/10) | CRCA-2 (8/20) | SC-BOE |
|---|---|---|---|---|---|---|---|---|
| (0/4) | (4/10) | (8/20) | (0/4) | |||||
| Density (Kg/m3) | EN 1097-6 [48] | 2.67 | 2.65 | 2.68 | 2.32 | 2.33 | 2.36 | 2.1 1 |
| Water Absorption (%) | EN 1097-6 [48] | 0.95 | 0.77 | 0.73 | 5.73 | 5.62 | 5.16 | <7 |
| Humidity (%) | 0.37 | 0.16 | 0.1 | 2.73 | 4.50 | 4.55 | ||
| Sand equivalent (%) | EN 933-8 [49] | 100 | >70 | |||||
| Los Angeles coefficient (wt%) | EN 1097-2 [49] | 35.77 | <40 | |||||
| Flakiness index (wt%) | EN 933-3 [50] | 12.81 | <35 | |||||
| Alkali–aggregate reaction (%) | UNE 146508 [51] | 0.042 | <0.10 |
2.1.3. Recycled Aggregates
2.2. Concrete Production and Test Procedures
2.2.1. Concrete Production
2.2.2. Test Procedure
3. Results
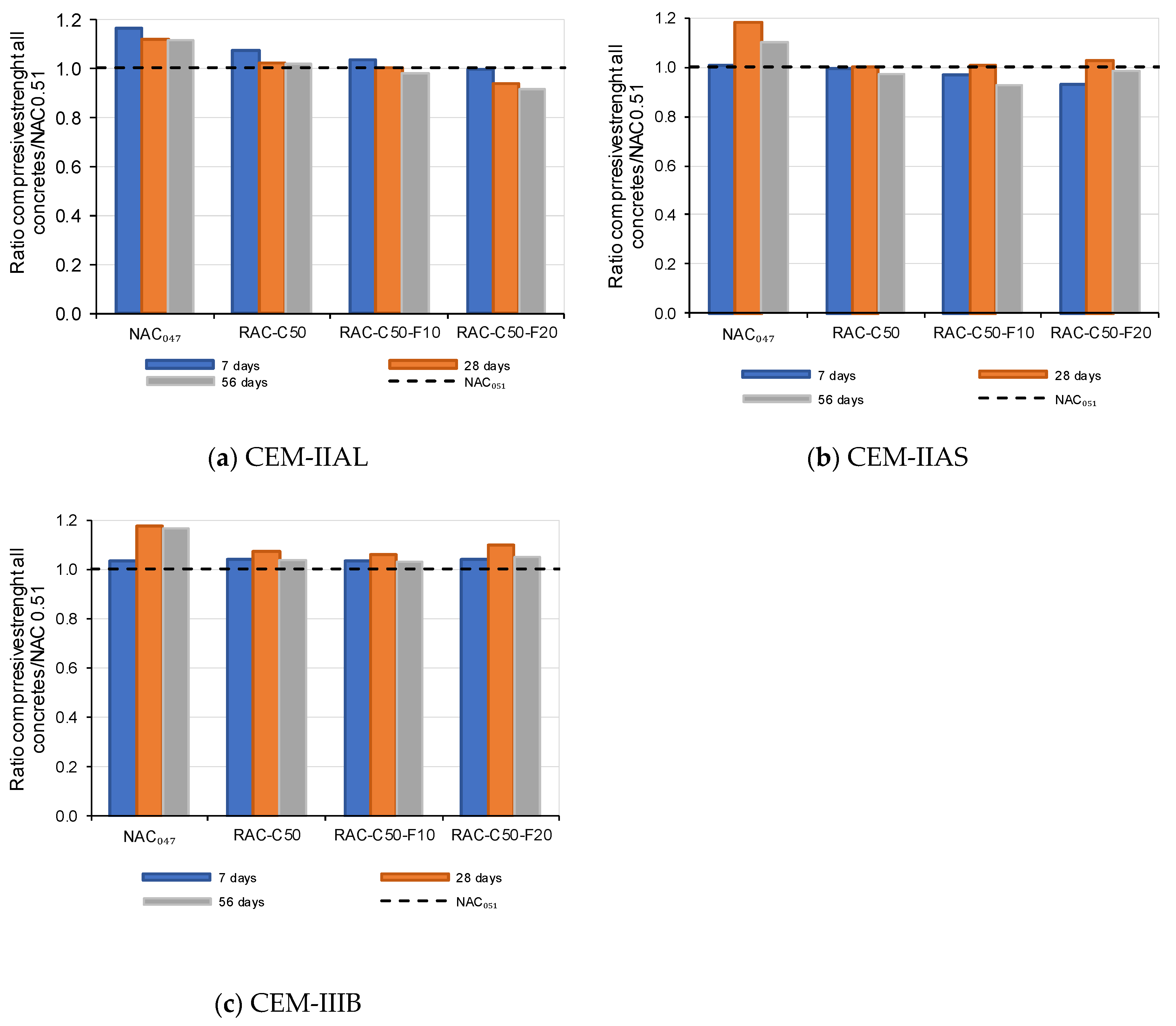
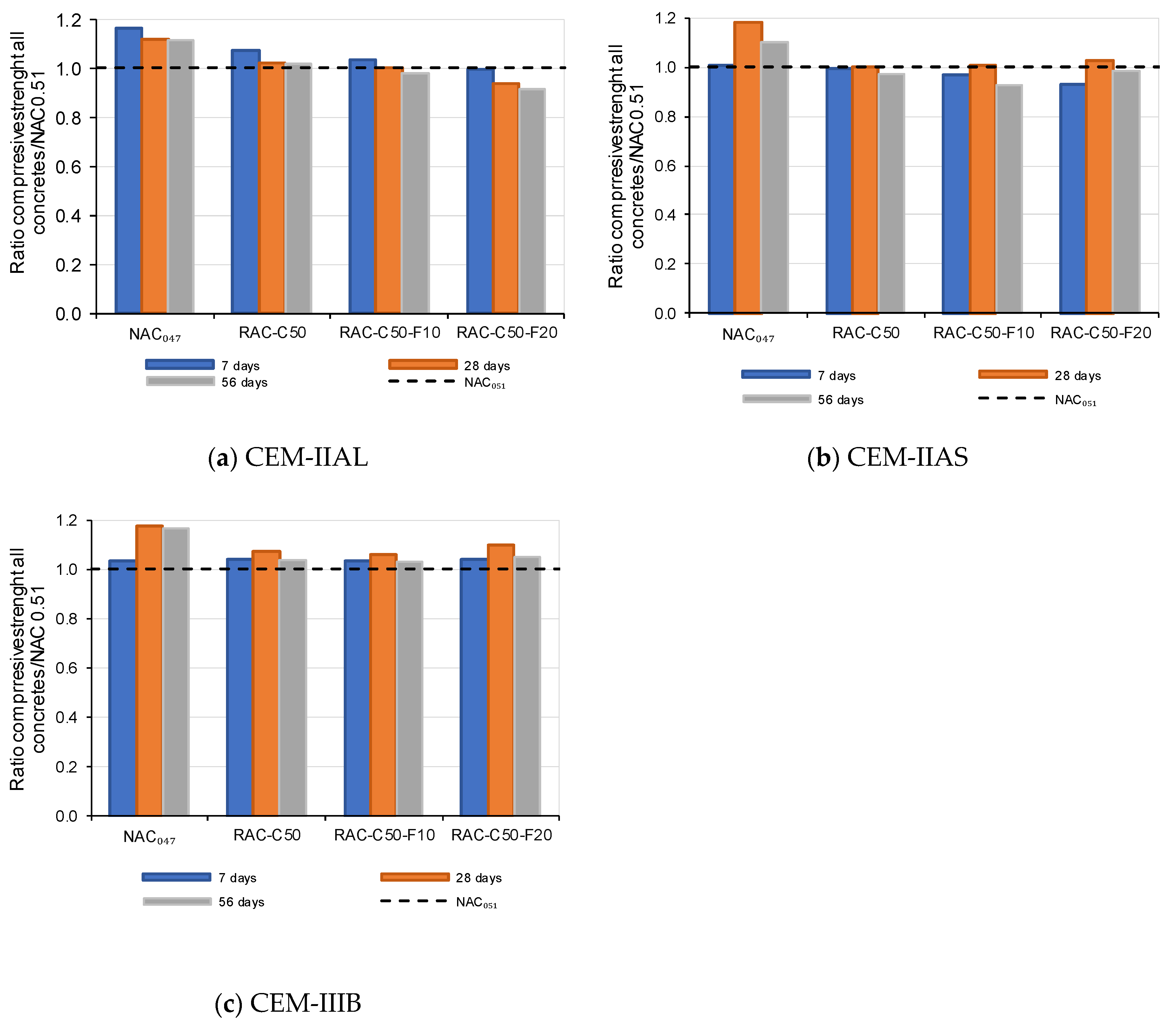
3.1. Compressive Strenght
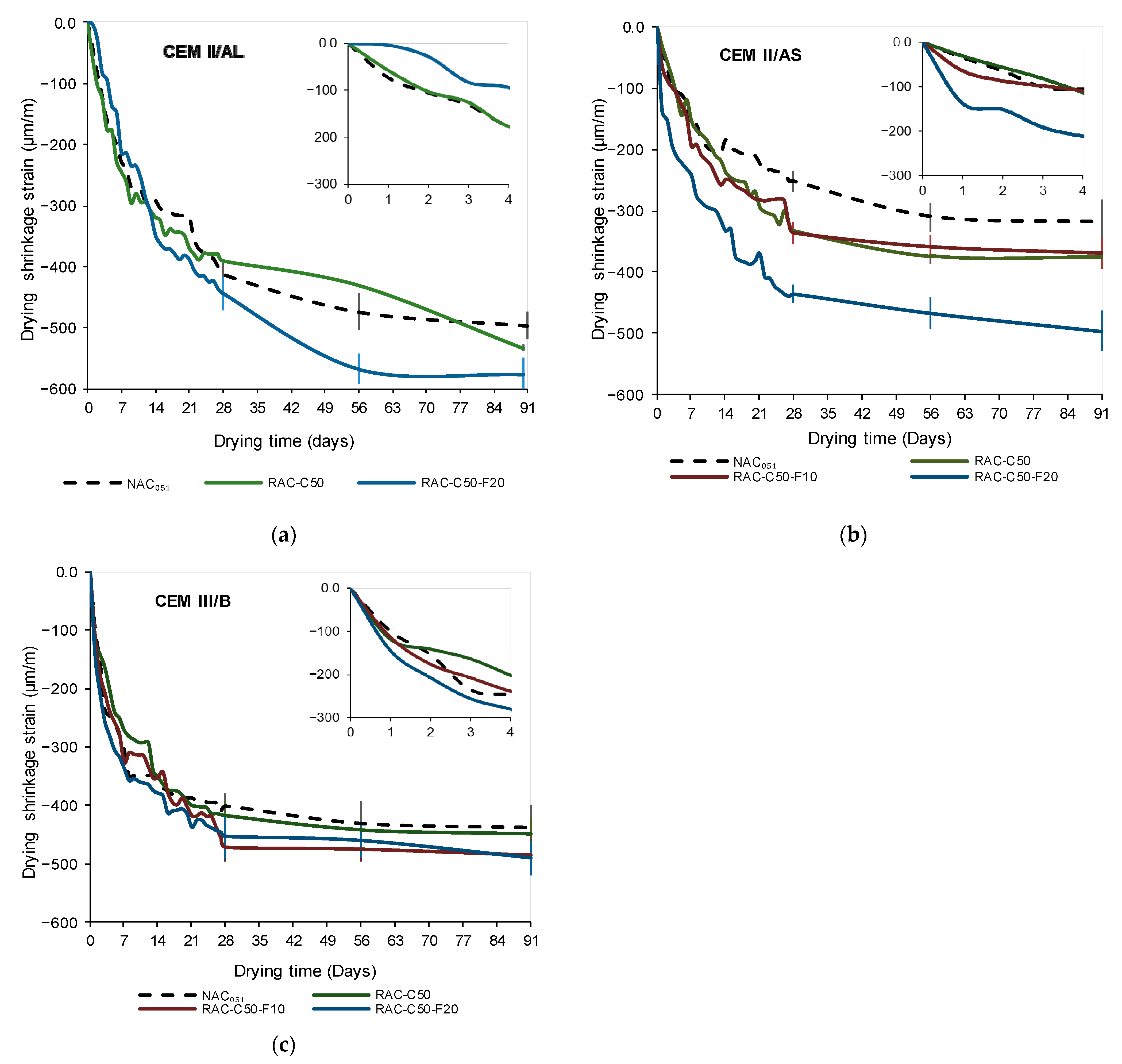
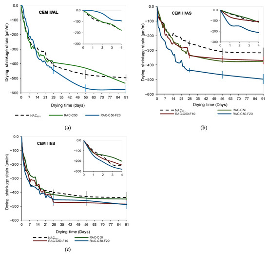
3.2. Drying Shrinkage
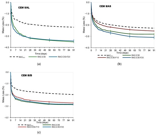
3.3. Chloride Ion Penetration
3.4. Carbonation Resistance
4. Conclusions
- The compressive strength of RAC using 50% CRCA and up to 20% FRCA was lower than that of NA when being produced with the same w/c ratio. Consequently, the RAC must have a 0.04 lower effective water–cement ratio than that of the NAC to achieve the same compressive strength.
- All the RAC using 50% CRCA and up to 20% FRCA achieved a suitably designed compressive strength of C30/37 for structural applications.
- RAC produced with 50% CRCA and up to 10% FRCA achieved a similar shrinkage value to that of NAC, independent of the cement type employed. Although the use of 20% FRCA increased the drying shrinkage values of the concretes, the total drying shrinkage values obtained by RAC-C50-F20 concretes were acceptable for a structural concrete application.
- A comparative study of both the EC-02 and SC-BOE standards determined that the first provided higher accuracy in predicting drying shrinkage of RAC than the latter, independent of the type of cement employed. However, there are no standards which precisely estimate the shrinkage value of NAC produced with CEM IIIB. This is probably due to the fact that the standards are mainly based on considering the compressive strength at 28 days as the prime factor instead of the initial shrinkage value.
- The use of BFS cement reduced ion chloride penetrability independently of the type of aggregates used. Concretes made with CEM IIIB, including RAC-C50-F20, reached a very low ion penetrability, suitable for structural applications. In addition, the CEM IIAS concretes achieved moderate ion penetrability, except for the RAC-C50-F20, which achieved a high chloride ion penetrability due to the use of 20% FRCA. Moreover, all of the concretes, including NAC with CEM IIAL cement, achieved high penetrability and were unsuitable for structural applications.
- All concrete produced with CEM IIAS, including the RAC-C50-F20, achieved a lower carbonation coefficient than NAC with CEM IIAL cement. However, concretes manufactured with CEM IIAL and CEM IIAS were suitable for use in XC3 and XC4 exposure environments at 50 and 100-year lifespans.
- The carbonation resistance of RAC decreased when the cement employed had a high BFS. In addition, incorporating 20% FRCA can lead to notable increases in carbonation depth.
Author Contributions
Funding
Institutional Review Board Statement
Informed Consent Statement
Data Availability Statement
Acknowledgments
Conflicts of Interest
References
- Alabi, S.A.; Mahachi, J. Chloride ion penetration performance of recycled concrete with different geopolymers. Mater. Today Proc. 2020, 38, 762–766. [Google Scholar] [CrossRef]
- Guo, H.; Shi, C.; Guan, X.; Zhu, J.; Ding, Y.; Ling, T.-C.; Zhang, H.; Wang, Y. Durability of recycled aggregate concrete—A review. Cem. Concr. Compos. 2018, 89, 251–259. [Google Scholar] [CrossRef]
- Plaza, P.; del Bosque, I.S.; Frías, M.; de Rojas, M.S.; Medina, C. Use of recycled coarse and fine aggregates in structural eco-concretes. Physical and mechanical properties and CO2 emissions. Constr. Build. Mater. 2021, 285, 122926. [Google Scholar] [CrossRef]
- Pedro, D.; de Brito, J.; Evangelista, L. Structural concrete with simultaneous incorporation of fine and coarse recycled concrete aggregates: Mechanical, durability and long-term properties. Constr. Build. Mater. 2017, 154, 294–309. [Google Scholar] [CrossRef]
- Guo, Z.; Chen, C.; Lehman, D.E.; Xiao, W.; Zheng, S.; Fan, B. Mechanical and durability behaviours of concrete made with recycled coarse and fine aggregates. Eur. J. Environ. Civ. Eng. 2020, 24, 171–189. [Google Scholar] [CrossRef]
- Berredjem, L.; Arabi, N.; Molez, L. Mechanical and durability properties of concrete based on recycled coarse and fine aggregates produced from demolished concrete. Constr. Build. Mater. 2020, 246, 118421. [Google Scholar] [CrossRef]
- Le, H.-B.; Bui, Q.-B. Recycled aggregate concretes—A state-of-the-art from the microstructure to the structural performance. Constr. Build. Mater. 2020, 257, 119522. [Google Scholar] [CrossRef]
- Thomas, C.; Setién, J.; Polanco, J.; Alaejos, P.; de Juan, M.S. Durability of recycled aggregate concrete. Constr. Build. Mater. 2013, 40, 1054–1065. [Google Scholar] [CrossRef]
- Kwan, W.H.; Ramli, M.; Kam, K.J.; Sulieman, M.Z. Influence of the amount of recycled coarse aggregate in concrete design and durability properties. Constr. Build. Mater. 2011, 26, 565–573. [Google Scholar] [CrossRef]
- Sereewatthanawut, I.; Prasittisopin, L. Environmental evaluation of pavement system incorporating recycled concrete aggregate. Int. J. Pavement Res. Technol. 2020, 13, 455–465. [Google Scholar] [CrossRef]
- Xing, W.; Tam, V.W.; Le, K.N.; Hao, J.L.; Wang, J. Life cycle assessment of recycled aggregate concrete on its environmental impacts: A critical review. Constr. Build. Mater. 2022, 317, 125950. [Google Scholar] [CrossRef]
- Velardo, P.; del Bosque, I.S.; de Rojas, M.S.; De Belie, N.; Medina, C. Durability of concrete bearing polymer-treated mixed recycled aggregate. Constr. Build. Mater. 2022, 315, 125781. [Google Scholar] [CrossRef]
- Li, X. Recycling and reuse of waste concrete in China. Resour. Conserv. Recycl. 2008, 53, 36–44. [Google Scholar] [CrossRef]
- Adessina, A.; Ben Fraj, A.; Barthélémy, J.-F. Improvement of the compressive strength of recycled aggregate concretes and relative effects on durability properties. Constr. Build. Mater. 2023, 384, 131447. [Google Scholar] [CrossRef]
- Zhan, B.J.; Xuan, D.X.; Zeng, W.; Poon, C.S. Carbonation treatment of recycled concrete aggregate: Effect on transport properties and steel corrosion of recycled aggregate concrete. Cem. Concr. Compos. 2019, 104, 103360. [Google Scholar] [CrossRef]
- Bravo, M.; De Brito, J.; Pontes, J.; Evangelista, L. Durability performance of concrete with recycled aggregates from construction and demolition waste plants. Constr. Build. Mater. 2015, 77, 357–369. [Google Scholar] [CrossRef]
- Evangelista, L.; de Brito, J. Durability performance of concrete made with fine recycled concrete aggregates. Cem. Concr. Compos. 2010, 32, 9–14. [Google Scholar] [CrossRef]
- Lotfi, S.; Eggimann, M.; Wagner, E.; Mróz, R.; Deja, J. Performance of recycled aggregate concrete based on a new concrete recycling technology. Constr. Build. Mater. 2015, 95, 243–256. [Google Scholar] [CrossRef]
- Sucic, A.; Lotfy, A. Effect of new paste volume on performance of structural concrete using coarse and granular recycled concrete aggregate of controlled quality. Constr. Build. Mater. 2016, 108, 119–128. [Google Scholar] [CrossRef]
- Sim, J.; Park, C. Compressive strength and resistance to chloride ion penetration and carbonation of recycled aggregate concrete with varying amount of fly ash and fine recycled aggregate. Waste Manag. 2011, 31, 2352–2360. [Google Scholar] [CrossRef]
- Pinto, S.R.; da Luz, C.A.; Munhoz, G.S.; Medeiros-Junior, R.A. Resistance of phosphogypsum-based supersulfated cement to carbonation and chloride ingress. Constr. Build. Mater. 2020, 263, 120640. [Google Scholar] [CrossRef]
- Nishida, T.; Otsuki, N.; Ohara, H.; Garba-Say, Z.M.; Nagata, T. Some Considerations for Applicability of Seawater as Mixing Water in Concrete. Sustain. Constr. Mater. Technol. 2013, 27. [Google Scholar] [CrossRef]
- Silva, R.; Neves, R.; de Brito, J.; Dhir, R. Carbonation behaviour of recycled aggregate concrete. Cem. Concr. Compos. 2015, 62, 22–32. [Google Scholar] [CrossRef]
- Etxeberria, M. Evaluation of Eco-Efficient Concretes Produced with Fly Ash and Uncarbonated Recycled Aggregates. Materials 2021, 14, 7499. [Google Scholar] [CrossRef]
- Xiao, J.; Lei, B.; Zhang, C. On carbonation behavior of recycled aggregate concrete. Sci. China Technol. Sci. 2012, 55, 2609–2616. [Google Scholar] [CrossRef]
- Pedro, D.; de Brito, J.; Evangelista, L. Influence of the use of recycled concrete aggregates from different sources on structural concrete. Constr. Build. Mater. 2014, 71, 141–151. [Google Scholar] [CrossRef]
- Zeng, X. Progress in the research of carbonation resistance of RAC. Constr. Build. Mater. 2020, 230, 116976. [Google Scholar] [CrossRef]
- Sideris, K.K.; Manita, P. Influence of Blended Cements on the Service Life of Reinforced Concrete Structures against Carbonation Induced Corrosion. In International RILEM Conference on Synergising Expertise towards Sustainability and Robustness of CBMs and Concrete Structures; Springer Nature Switzerland: Cham, Switzerland, 2023; pp. 1048–1054. [Google Scholar] [CrossRef]
- Kirthika, S.; Singh, S. Durability studies on recycled fine aggregate concrete. Constr. Build. Mater. 2020, 250, 118850. [Google Scholar] [CrossRef]
- von Greve-Dierfeld, S.; Lothenbach, B.; Vollpracht, A.; Wu, B.; Huet, B.; Andrade, C.; Medina, C.; Thiel, C.; Gruyaert, E.; Vanoutrive, H.; et al. Understanding the carbonation of concrete with supplementary cementitious materials: A critical review by RILEM TC 281-CCC. Mater. Struct. 2020, 53, 136. [Google Scholar] [CrossRef]
- Borges, P.H.; Costa, J.O.; Milestone, N.B.; Lynsdale, C.J.; Streatfield, R.E. Carbonation of CH and C–S–H in composite cement pastes containing high amounts of BFS. Cem. Concr. Res. 2010, 40, 284–292. [Google Scholar] [CrossRef]
- Flegar, M.; Bašić, A.D.; Bukvić, O.; Serdar, M. Carbonation of Concretes with Different Binder Chemistry–A Comparative Analysis. In International RILEM Conference on Synergising Expertise towards Sustainability and Robustness of Cement-Based Materials and Concrete Structures. SynerCrete 2023; Jędrzejewska, A., Kanavaris, F., Azenha, M., Benboudjema, F., Schlicke, D., Eds.; RILEM Bookseries; Springer: Cham, Switzerland, 2023; Volume 44. [Google Scholar] [CrossRef]
- Leemann, A.; Loser, R. Carbonation resistance of recycled aggregate concrete. Constr. Build. Mater. 2019, 204, 335–341. [Google Scholar] [CrossRef]
- Etxeberria, M. Carbonation resistance of recycled aggregate concrete using different cement types. In RILEM Bookseries; Springer: Cham, Switzerland, 2023; Volume 44, pp. 1065–1076. [Google Scholar] [CrossRef]
- Silva, R.; de Brito, J.; Dhir, R. Prediction of the shrinkage behavior of recycled aggregate concrete: A review. Constr. Build. Mater. 2015, 77, 327–339. [Google Scholar] [CrossRef]
- Vintimilla, C.; Etxeberria, M. Limiting the maximum fine and coarse recycled aggregates-Type A used in structural concrete. Constr. Build. Mater. 2023, 380, 131273. [Google Scholar] [CrossRef]
- Gonzalez-Corominas, A.; Etxeberria, M. Effects of using recycled concrete aggregates on the shrinkage of high performance concrete. Constr. Build. Mater. 2016, 115, 32–41. [Google Scholar] [CrossRef]
- Mcdonald, D.B.; Brooks, J.J.; Burg, R.G.; Daye, M.A.; Gardner, N.J.; Novak, L.C. Report on Factors Affecting Shrinkage and Creep of Hardened Concrete Reported by ACI Committee 209, 2014. Available online: https://scholar.google.es/scholar?hl=es&as_sdt=0%2C5&q=Mcdonald%2C+D.B.%3B+Brooks%2C+J.J.%3B+Burg%2C+R.G.%3B+Daye%2C+M.A.%3B+Gardner%2C+N.J.%3B+Novak%2C+L.C.+Report+on+Factors+Affecting+Shrinkage+and+Creep+of+Hardened+Concrete+Reported+by+ACI+Committee+20 (accessed on 14 September 2023).
- Şimşek, O.; Sefidehkhan, H.P.; Gökçe, H. Performance of fly ash-blended Portland cement concrete developed by using fine or coarse recycled concrete aggregate. Constr. Build. Mater. 2022, 357, 129431. [Google Scholar] [CrossRef]
- Sosa, M.E.; Zega, C.J. Experimental and Estimated Evaluation of Drying Shrinkage of Concrete Made with Fine Recycled Aggregates. Sustainability 2023, 15, 7666. [Google Scholar] [CrossRef]
- Revilla-Cuesta, V.; Evangelista, L.; de Brito, J.; Skaf, M.; Manso, J.M. Shrinkage prediction of recycled aggregate structural concrete with alternative binders through partial correction coefficients. Cem. Concr. Compos. 2022, 129, 104506. [Google Scholar] [CrossRef]
- Yang, J.; Wang, Q.; Zhou, Y. Influence of Curing Time on the Drying Shrinkage of Concretes with Different Binders and Water-to-Binder Ratios. Adv. Mater. Sci. Eng. 2017, 2017, 2695435. [Google Scholar] [CrossRef]
- Hooton, R.; Stanish, K.; Angel, J.; Prusinski, J. The Effect of Ground Granulated Blast Furnace Slag (Slag Cement) on the Drying Shrinkage of Concrete—A Critical Review of the Literature. In SP-263 Slag Cement Concrete; American Concrete Institute: Indianapolis, IN, USA, 2009; pp. 79–94. [Google Scholar] [CrossRef]
- EN 197-1:2001; Cement Part 1: Composition, Specifications and Conformity Criteria for Common Cements. European Committee for Standardization: Brussels, Belgium, 2011.
- UNE-EN 933-1; Tests for Geometrical Properties of Aggregates Part 1: Determination of Particle Size Distribution—Sieving Method. 2012. Available online: www.aenor.es (accessed on 14 September 2023).
- UNE-EN 12620: 2003+A1; Aggregates for Concrete, 2009. Available online: www.aenor.es (accessed on 14 September 2023).
- Boletín Oficial del Estado (BOE), Structural Concrete Code. 2021. Available online: https://www.boe.es/eli/es/rd/2021/06/29/470 (accessed on 14 September 2023).
- UNE-EN 1097-6; Determination of Particle Density and Water Absorption, 2014. Available online: www.aenor.es (accessed on 14 September 2023).
- UNE-EN 933-8: 2012+A1; Assessment of Fines—Sand Equivalent Test, 2015. Available online: www.aenor.es (accessed on 14 September 2023).
- UNE-EN 933-3; Determination of Particle Shape—Flakiness Index, 2012. Available online: www.aenor.es (accessed on 14 September 2023).
- UNE 146508; Determination of the Alkali-Silica and Alkali-Silicate Potential Reactivity of Aggregates. Accelerated Mortar bar Test. Spanish Standard: Madrid, Spain, 2018.
- Etxeberria, M.; Konoiko, M.; Garcia, C.; Perez, M. Water-Washed Fine and Coarse Recycled Aggregates for Real Scale Concretes Production in Barcelona. Sustainability 2022, 14, 708. [Google Scholar] [CrossRef]
- UNE-EN 933-11; Classification Test for the Constituents of Coarse Recycled Aggregate, 2009. Available online: www.aenor.es (accessed on 14 September 2023).
- UNE-EN 206: 2013+A1; Specification, Performance, Production and Conformity. Spanish Standard: Madrid, Spain, 2016.
- Nedeljković, M.; Visser, J.; Šavija, B.; Valcke, S.; Schlangen, E. Use of fine recycled concrete aggregates in concrete: A critical review. J. Build. Eng. 2021, 38, 102196. [Google Scholar] [CrossRef]
- Silva, S.; Evangelista, L.; de Brito, J. Durability and shrinkage performance of concrete made with coarse multi-recycled concrete aggregates. Constr. Build. Mater. 2021, 272, 121645. [Google Scholar] [CrossRef]
- Wagih, A.M.; El-Karmoty, H.Z.; Ebid, M.; Okba, S.H. Recycled construction and demolition concrete waste as aggregate for structural concrete. HBRC J. 2013, 9, 193–200. [Google Scholar] [CrossRef]
- Zega, C.J.; Di Maio, Á.A. Use of recycled fine aggregate in concretes with durable requirements. Waste Manag. 2011, 31, 2336–2340. [Google Scholar] [CrossRef]
- Sosa, M.E.; Zaccardi, Y.A.V.; Zega, C.J. A critical review of the resulting effective water-to-cement ratio of fine recycled aggregate concrete. Constr. Build. Mater. 2021, 313, 125536. [Google Scholar] [CrossRef]
- UNE EN 12350-2; Testing Fresh Concrete—Part 2: Slump Test. Spanish Standard: Madrid, Spain, 2019.
- UNE-EN-12390-3; Testing Hardened Concrete—Part 3: Compressive Strength of Test Specimens. Spanish Standard: Madrid, Spain, 2019.
- UNE EN 12390-16; Determination of the Shrinkage of Concrete. Spanish Standard: Madrid, Spain, 2019.
- ASTM C1202; Standard Test Method for Electrical Indication of Concrete’s Ability to Resist Chloride Ion Penetration. American Society for Testing and Materials: West Conshohocken, PA, USA, 2012; pp. 1–8.
- UNE-EN12390-12; Determination of the Carbonation Resistance of Concrete—Accelerated Carbonation Method. Spanish Standard: Madrid, Spain, 2020.
- UNE EN 14630:2007; Determination of Carbonation Depth in Hardened Concrete by the Phenolphthalein Method. Spanish Standard: Madrid, Spain, 2007.
- Ortiz, J.; Aguado, A.; Agulló, L.; García, T. Influence of environmental temperatures on the concrete compressive strength: Simulation of hot and cold weather conditions. Cem. Concr. Res. 2005, 35, 1970–1979. [Google Scholar] [CrossRef]
- Gao, D.; Wang, F. Effects of recycled fine aggregate and steel fiber on compressive and splitting tensile properties of concrete. J. Build. Eng. 2021, 44, 102631. [Google Scholar] [CrossRef]
- Evangelista, L.; de Brito, J. Mechanical behaviour of concrete made with fine recycled concrete aggregates. Cem. Concr. Compos. 2007, 29, 397–401. [Google Scholar] [CrossRef]
- Kim, J. Influence of quality of recycled aggregates on the mechanical properties of recycled aggregate concretes: An overview. Constr. Build. Mater. 2022, 328, 127071. [Google Scholar] [CrossRef]
- Lye, C.-Q.; Dhir, R.K.; Ghataora, G.S. Shrinkage of recycled aggregate concrete. Mater. Struct. 2018, 51, 129. [Google Scholar] [CrossRef]
- Bendimerad, A.; Delsaute, B.; Rozière, E.; Staquet, S.; Loukili, A. Advanced techniques for the study of shrinkage-induced cracking of concrete with recycled aggregates at early age. Constr. Build. Mater. 2020, 233, 117340. [Google Scholar] [CrossRef]
- Etxeberria, M.; Gonzalez-Corominas, A. The assessment of ceramic and mixed recycled aggregates for high strength and low shrinkage concretes. Mater. Struct. 2018, 51, 129. [Google Scholar] [CrossRef]
- EN 1992-1-1:2021; Eurocode 2: Design of Concrete Structures—Part 1-1: General Rules—Rules for Buildings, Bridges and Civil Engineering Structures. European Union: Brussels, Belgium, 2021.
- Wang, Q.; Geng, Y.; Wang, Y.; Zhang, H. Drying shrinkage model for recycled aggregate concrete accounting for the influence of parent concrete. Eng. Struct. 2019, 202, 109888. [Google Scholar] [CrossRef]
- Zhu, P.; Hao, Y.; Liu, H.; Wang, X.; Gu, L. Durability evaluation of recycled aggregate concrete in a complex environment. J. Clean. Prod. 2020, 273, 122569. [Google Scholar] [CrossRef]
- Vázquez, E.; Barra, M.; Aponte, D.; Jiménez, C.; Valls, S. Improvement of the durability of concrete with recycled aggregates in chloride exposed environment. Constr. Build. Mater. 2014, 67, 61–67. [Google Scholar] [CrossRef]
- Mohammed, T.U.; Rahman, M. Effects of cement types on chloride ingress in concrete. In Proceedings of the 3rd ACF Symposium on Assessment and Intervention of Existing Structures, Sapporo, Japan, 10–11 September 2019. [Google Scholar]
- Kopecskó, K.; Balázs, G.L. Concrete with Improved Chloride Binding and Chloride Resistivity by Blended Cements. Adv. Mater. Sci. Eng. 2017, 2017, 7940247. [Google Scholar] [CrossRef]
- Wu, J.; Zhang, Y.; Zhu, P.; Feng, J.; Hu, K. Mechanical Properties and ITZ Microstructure of Recycled Aggregate Concrete Using Carbonated Recycled Coarse Aggregate. J. Wuhan Univ. Technol. Mater. Sci. Ed. 2018, 33, 648–653. [Google Scholar] [CrossRef]
- Etxeberria, M.; Gonzalez-Corominas, A. Properties of Plain Concrete Produced Employing Recycled Aggregates and Sea Water. Int. J. Civ. Eng. 2018, 16, 993–1003. [Google Scholar] [CrossRef]
- Githachuri, K.; Alexander, M.G. Durability performance potential and strength of blended Portland limestone cement concrete. Cem. Concr. Compos. 2013, 39, 115–121. [Google Scholar] [CrossRef]
- Otieno, M.; Beushausen, H.; Alexander, M. Effect of chemical composition of slag on chloride penetration resistance of concrete. Cem. Concr. Compos. 2013, 46, 56–64. [Google Scholar] [CrossRef]
- Etxeberria, M.; Castillo, S. How the Carbonation Treatment of Different Types of Recycled Aggregates Affects the Properties of Concrete. Sustainability 2023, 15, 3169. [Google Scholar] [CrossRef]
- Leemann, A.; Nygaard, P.; Kaufmann, J.; Loser, R. Relation between carbonation resistance, mix design and exposure of mortar and concrete. Cem. Concr. Compos. 2015, 62, 33–43. [Google Scholar] [CrossRef]
- Pedro, D.; de Brito, J.; Evangelista, L. Performance of concrete made with aggregates recycled from precasting industry waste: Influence of the crushing process. Mater. Struct. 2015, 48, 3965–3978. [Google Scholar] [CrossRef]
- Parrott, L.J. Cement and Concrete Association; Building Research Establishment. A Review of Carbonation in Reinforced Concrete; Cement and Concrete Association. 1987. Available online: http://worldcat.org/isbn/0721013651 (accessed on 15 June 2023).
- Heede, P.V.D.; De Belie, N. A service life based global warming potential for high-volume fly ash concrete exposed to carbonation. Constr. Build. Mater. 2014, 55, 183–193. [Google Scholar] [CrossRef]
- Carević, V.; Ignjatović, I.; Dragaš, J. Model for practical carbonation depth prediction for high volume fly ash concrete and recycled aggregate concrete. Constr. Build. Mater. 2019, 213, 194–208. [Google Scholar] [CrossRef]







| Cement | CaO | SiO2 | Al2O3 | Fe2O3 | SO3 | MgO | K2O | TIO2 | Na2O |
|---|---|---|---|---|---|---|---|---|---|
| CEM II A-L 42.5 R | 61.47 | 17.87 | 3.61 | 2.64 | 3.69 | 1.45 | 0.736 | 0.183 | 0.228 |
| CEM II A-S 42.5 N/SRC | 59.97 | 21.66 | 4.35 | 3.75 | 3.47 | 2.1 | 0.395 | 0.327 | 0.314 |
| CEM III/B 42.5 N-LH/SR | 49.4 | 27.8 | 8.41 | 1.96 | 3.96 | 4.65 | 0.48 | 0.457 | 0.365 |
| Type | Concrete, Concrete Products, Mortar (Rc) | Unbound Mortar, Nature Stone (Ru) | Mansory (Rb) | Asphalt (Ra) | Glass (Rg) | Other (x) |
|---|---|---|---|---|---|---|
| CRCA-2 | 68.3% | 28.0% | 1.9% | 0.98% | 0.0% | 0.39% |
| EN 12620 | Rc + Ru > 95 | ≤10% | ≤1% | ≤1% | - | |
| Materials (kg) | Concrete Types | ||||
|---|---|---|---|---|---|
| NAC-0.51 | NAC-0.47 | RAC-C50 | RAC-C50-F10 | RAC-C50-F20 | |
| Cement | 300 | 300 | 300 | 300 | 300 |
| Total water | 165 | 150 | 175.8 | 179.5 | 182.3 |
| CNA 1 | 354.5 | 360.1 | 180.5 | 180.5 | 180.5 |
| CNA 2 | 723.68 | 737.2 | 369.3 | 369.3 | 369.3 |
| FNA | 954.1 | 971.9 | 1014.2 | 875.7 | 778.4 |
| CRCA 1 | - | - | 165.8 | 165.2 | 165.6 |
| CRCA 2 | - | - | 338.8 | 339.1 | 337.2 |
| FRCA | - | - | - | 87.1 | 174.1 |
| P (%) | 1/0.7 1 | 1 | 1/0.6 1 | 1/0.5 1 | 1/0.3 1 |
| S (%) | 1 | 1 | 1/1.5 1 | 1/1.5 1 | 1/1.5 1 |
| effective w/c | 0.51 | 0.47 | 0.47 | 0.47 | 0.47 |
| Slump-IIAS (mm) | 175 | 145 | 150 | 155 | 150 |
| Slump-IIIB (mm) | 175 | 160 | 135 | 150 | 150 |
| Slump-IIAL (mm) | 175 | 150 | 190 | 200 | 195 |
| Concrete Reference | IIAL | IIAS | IIIB | ||||||
|---|---|---|---|---|---|---|---|---|---|
| 7d | 28d | 56d | 7d | 28d | 56d | 7d | 28 d | 56d | |
| NAC47 | 52.5 (1.3) | 62.9 (1.3) | 65.5 (1.0) | 54.5 (1.3) | 69.8 (1.0) | 71.3 (1.9) | 53.1 (0.8) | 67.2 (0.4) | 69.9 (0.9) |
| NAC51 | 45.2 (2.0) | 56.2 (1.6) | 58.8 (1.0) | 54.1 (2.0) | 59.2 (0.5) | 64.7 (0.2) | 51.5 (0.1) | 57.2 (1.2) | 59.9 (0.9) |
| RAC-C50 | 48.6 (2.5) | 57.3 (1.0) | 59.9 (1.7) | 53.9 (2.5) | 59.2 (2.3) | 62.8 (1.2) | 53.7 (0.3) | 61.4 (2.0) | 62.0 (1.0) |
| RAC-C50-F10 | 46.9 (1.8) | 56.3 (1.5) | 57.5 (0.3) | 52.4 (1.8) | 59.7 (1.3) | 59.9 (0.2) | 53.4 (2.8) | 60.6 (1.7) | 61.6 (0.7) |
| RAC-C50-F20 | 44.9 (2.4) | 52.7 (0.3) | 53.8 (0.4) | 50.2 (2.4) | 60.7 (0) | 63.7 (1.2) | 53.6 (1.5) | 62.8 (1.4) | 62.9 (1.3) |
| Concrete Types | IIAL | IIAS | IIIB | ||||||
|---|---|---|---|---|---|---|---|---|---|
| (Coulombs) | Δ (%) | (Coulombs) | Δ (%) | (Coulombs) | Δ (%) | ||||
| 28d | 56d | 28d | 56d | 28d | 56d | ||||
| NAC-0.51 | 5314 (2) | 4096 (271) | 23 | 2897 (111) | 1976 (129) | 32 | 674 (15) | 501 (12) | 26 |
| RAC-C50 | 4479 (441) | 4065 (71) | 9 | 2535 (136) | 1962 (80) | 23 | 610 (9.0) | 503 (8) | 18 |
| RAC-C50-F10 | 6038 (596) | 4448 (97) | 26 | 3130 (58) | 2293 (5) | 27 | 626 (16) | 531 (15) | 15 |
| RAC-C50-F20 | 6401 (569) | 4944 (178) | 23 | 4515 (91) | 2866 (66) | 37 | 740 (40) | 532 (18) | 28 |
| Concrete Types | Carbonation Depth (mm) at 90 Days | Carbonation Coefficient | |||||||
|---|---|---|---|---|---|---|---|---|---|
| kacc (mm/day 0.5) | knatTHEO (mm/year 0.5) | ||||||||
| II AL | II AS | III B | II AL | II AS | III B | II AL | II AS | III B | |
| NAC-0.51 | 7.7 (0.1) | 6.0 (0.1) | 12.0 (0.4) | 0.81 | 0.65 | 1.22 | 1.84 | 1.48 | 2.79 |
| RAC-C50 | 8.0 (0.4) | 6.1 (0.2) | 12.1 (0.2) | 0.84 | 0.68 | 1.27 | 1.9 | 1.55 | 2.89 |
| RAC-C50-F10 | 8.7 (0.2) | 6.3 (0) | 12.1 (0.1) | 0.97 | 0.68 | 1.28 | 2.19 | 1.55 | 2.92 |
| RAC-C50-F20 | 9.8 (0.0 | 7.2 (0.2) | 12.9 (0.1) | 1.04 | 0.78 | 1.39 | 2.37 | 1.77 | 3.16 |
| Concrete Types | Carbonation Depth (50 Years) | Carbonation Depth (100 Years) | |||||
|---|---|---|---|---|---|---|---|
| II AL | II AS | III B | II AL | II AS | III B | ||
| NAC-051 | 13.0 | 10.4 | 19.7 | 18.4 | 14.8 | 27.9 | |
| RAC-C50 | 13.5 | 11.0 | 20.5 | 19.0 | 15.5 | 28.9 | |
| RAC-C50-F10 | 15.5 | 11.0 | 20.6 | 21.9 | 15.5 | 29.2 | |
| RAC-C50-F20 | 16.8 | 12.5 | 22.3 | 23.7 | 17.7 | 31.6 | |
| Min. Cover (mm) [47] | XC3 | 20 | 25 | ||||
| XC4 | 30 | 35 | |||||
Disclaimer/Publisher’s Note: The statements, opinions and data contained in all publications are solely those of the individual author(s) and contributor(s) and not of MDPI and/or the editor(s). MDPI and/or the editor(s) disclaim responsibility for any injury to people or property resulting from any ideas, methods, instructions or products referred to in the content. |
© 2023 by the authors. Licensee MDPI, Basel, Switzerland. This article is an open access article distributed under the terms and conditions of the Creative Commons Attribution (CC BY) license (https://creativecommons.org/licenses/by/4.0/).
Share and Cite
Vintimilla, C.; Etxeberria, M.; Li, Z. Durable Structural Concrete Produced with Coarse and Fine Recycled Aggregates Using Different Cement Types. Sustainability 2023, 15, 14272. https://doi.org/10.3390/su151914272
Vintimilla C, Etxeberria M, Li Z. Durable Structural Concrete Produced with Coarse and Fine Recycled Aggregates Using Different Cement Types. Sustainability. 2023; 15(19):14272. https://doi.org/10.3390/su151914272
Chicago/Turabian StyleVintimilla, Carla, Miren Etxeberria, and Zongyang Li. 2023. "Durable Structural Concrete Produced with Coarse and Fine Recycled Aggregates Using Different Cement Types" Sustainability 15, no. 19: 14272. https://doi.org/10.3390/su151914272
APA StyleVintimilla, C., Etxeberria, M., & Li, Z. (2023). Durable Structural Concrete Produced with Coarse and Fine Recycled Aggregates Using Different Cement Types. Sustainability, 15(19), 14272. https://doi.org/10.3390/su151914272

